"МР 4.3.0386-25. 4.3. Методы контроля. Физические факторы. Инструментальный контроль за ультрафиолетовым излучением на рабочих местах. Методические рекомендации"
Утверждаю
Руководитель Федеральной службы
по надзору в сфере защиты прав
потребителей и благополучия человека,
Главный государственный санитарный
врач Российской Федерации
А.Ю.ПОПОВА
4 августа 2025 г.
4.3. МЕТОДЫ КОНТРОЛЯ. ФИЗИЧЕСКИЕ ФАКТОРЫ
ИНСТРУМЕНТАЛЬНЫЙ КОНТРОЛЬ
ЗА УЛЬТРАФИОЛЕТОВЫМ ИЗЛУЧЕНИЕМ НА РАБОЧИХ МЕСТАХ
МЕТОДИЧЕСКИЕ РЕКОМЕНДАЦИИ
МР 4.3.0386-25
I. Общие положения и область применения
1.1. Настоящие методические рекомендации (далее - МР) описывают порядок и условия проведения инструментального контроля ультрафиолетового излучения (далее - УФИ) на рабочих местах при эксплуатации источников УФИ с целью оценки их соответствия гигиеническим нормативам <1>.
--------------------------------
<1> Пункты 78 - 81 СанПиН 1.2.3685-21 "Гигиенические нормативы и требования к обеспечению безопасности и (или) безвредности для человека факторов среды обитания", утвержденных постановлением Главного государственного санитарного врача Российской Федерации от 28.01.2021 N 2 (зарегистрировано Минюстом России 29.01.2021, регистрационный N 62296), с изменениями, внесенными постановлением Главного государственного санитарного врача Российской Федерации от 30.12.2022 N 24 (зарегистрировано Минюстом России 09.03.2023, регистрационный N 72558) (далее - СанПиН 1.2.3685-21).
1.2. МР распространяются на излучение, создаваемое источниками УФИ: имеющими температуру выше плюс 2000 °C (например, электрические дуги, плазма, расплавленный металл, кварцевое стекло); люминесцентными источниками, используемыми в полиграфии, химическом и деревообрабатывающем производстве, сельском хозяйстве, при кино- и телесъемках, дефектоскопии, фотополимеризации, электронной промышленности и в других отраслях производства; на рабочих местах, находящихся в помещениях, в которых обеззараживание воздуха, предметов и поверхностей осуществляется в режиме "облучение в присутствии людей", а также на рабочих местах в помещениях, где используются источники для профилактического облучения людей. МР предназначены для инструментального контроля с учетом спектрального состава излучения для областей: УФ-A 320 - 400 нм, УФ-B 280 - 320 нм, УФ-C 200 - 280 нм.
1.3. Настоящие МР не распространяются на измерение УФИ, используемого для обеззараживания помещений при отсутствии обслуживающего персонала; УФИ, генерируемого лазерами, товарами народного потребления, изделиями медицинской техники различного назначения, а также контроля доз облучения для лечения и профилактики заболеваний.
1.4. Настоящие МР могут применяться при:
- осуществлении федерального государственного санитарно-эпидемиологического контроля (надзора);
- проведении производственного контроля;
- вводе в действие новых установок технологического и другого оборудования, включающего данные источники, организации новых рабочих мест;
- внесении изменений в конструкцию, размещение и режим работы действующих установок;
- проведении ремонтных работ, которые могут сопровождаться изменением спектрального состава, излучаемой мощности источника УФИ;
- внесении изменений в средства защиты от УФИ.
1.5. Объектами инструментального контроля являются:
- рабочие места (постоянные, непостоянные, временные, расположенные в рабочей и производственных зонах) персонала, профессионально связанного с обслуживанием и эксплуатацией источников УФИ, при работе установок для генерации искусственного УФИ и технологических процессов, при которых побочно формируется УФИ;
- рабочие места (постоянные, непостоянные, временные, расположенные в рабочей и производственных зонах) персонала, профессионально не связанного с обслуживанием и эксплуатацией источников УФИ, при работе установок для генерации искусственного УФИ и технологических процессов, при которых побочно формируется УФИ.
1.6. МР предназначены для специалистов Федеральной службы по надзору в сфере защиты прав потребителей и благополучия человека, а также могут быть использованы специалистами организаций, аккредитованных в установленном порядке <2> на проведение инструментального контроля УФИ на рабочих местах и их гигиеническую оценку (санитарно-эпидемиологическую экспертизу).
--------------------------------
<2> Федеральный закон от 28.12.2013 N 412-ФЗ "Об аккредитации в национальной системе аккредитации".
1.7. При проведении контроля за уровнями УФИ на рабочем месте соблюдаются установленные требования безопасности при эксплуатации электроустановок, электрооборудования, электрических сетей.
1.8. Контролируемым показателем УФИ на рабочих местах является интенсивность облучения (энергетическая освещенность, далее - ЭО) УФИ, выраженная в энергетических единицах - Вт/м2.
1.9. МР основаны на методах прямых измерений, внесенных в эксплуатационную документацию применяемых средств измерений (далее - СИ) утвержденного типа и аттестованных методиках <3>.
--------------------------------
<3> Статья 5 Федерального закона от 26.06.2008 N 102-ФЗ "Об обеспечении единства измерений" (далее - Федеральный закон от 26.06.2008 N 102-ФЗ).
II. Средства измерения
2.1. Измерения проводятся с применением СИ утвержденного типа, имеющих сведения о действующей поверке и соответствующие проводимым исследованиям область применения, диапазон измерений и пределы допускаемой погрешности измерений <4>.
--------------------------------
<4> Статья 9 Федерального закона от 26.06.2008 N 102-ФЗ; пункт 4.17 постановления Правительства Российской Федерации от 16.11.2020 N 1847 "Об утверждении перечня измерений, относящихся к сфере государственного регулирования обеспечения единства измерений" (далее - постановление Правительства Российской Федерации от 16.11.2020 N 1847).
Применяются СИ, позволяющие получить результат измерений с заданной основной погрешностью измерений не более 10% <5>. При этом верхний и нижний пороги диапазона регистрации зависят от применяемого СИ и определяются испытательным лабораторным центром/испытательной лабораторией в заявленной области аккредитации.
--------------------------------
<5> Статья 5 Федерального закона от 26.06.2008 N 102-ФЗ.
2.2. Сведения об утвержденных типах СИ включены в Федеральный информационный фонд по обеспечению единства измерений (ФИФ ОЕИ) <6>.
--------------------------------
<6> Федеральный информационный фонд по обеспечению единства измерений - fgis.gost.ru/fundmetrology/registry/4 (в свободном доступе).
2.3. Измерения проводятся при соблюдении рабочих условий, изложенных в эксплуатационной документации применяемого СИ.
2.4. Эксплуатация и транспортирование СИ осуществляется в соответствии с эксплуатационной документацией СИ.
III. Подготовка к проведению измерений
3.1. Подготовительный этап проведения измерений ЭО на рабочих местах включает изучение технических характеристик оборудования, являющегося источником УФИ, режимов его работы, продолжительности воздействия УФИ за смену, размещения рабочего места, использования средств индивидуальной защиты (далее - СИЗ) персоналом, выбор СИ.
3.2. На рабочих местах, где проводится бактерицидное обеззараживание поверхностей, оборудования и воздуха, определяются условия обеззараживания (в присутствии или отсутствии персонала).
3.3. Для снижения времени нахождения в условиях облучения при проведении измерений УФИ заранее должны определяться точки измерений с учетом фактического местонахождения персонала при выполнении работ в зоне возможного УФИ.
3.4. Контрольные точки проведения измерений (далее - контрольные точки) на рабочих местах (в контролируемых зонах) располагаются в местах нахождения персонала при выполнении технологических операций.
3.5. На план или эскиз помещения (рабочего места) наносятся места размещения источников УФИ и контрольные точки или дается описание их расположения.
3.6. В местах проведения измерений определяют значения параметров микроклимата и проверяют их на соответствие требованиям, установленным в эксплуатационных документах СИ.
3.7. В соответствии с эксплуатационной документацией проводится подготовка СИ к проведению измерений.
3.8. Измерения ЭО проводятся при установившемся режиме работы оборудования, генерирующего УФИ, и на максимальной мощности оборудования, используемого в технологических процессах, при которых побочно формируется УФИ.
3.9. Прямые измерения ЭО выполняют в соответствии с методикой, изложенной в эксплуатационной документации на СИ.
3.10. Сотрудники, проводящие исследования уровней УФИ, обеспечиваются СИЗ <7> (защитными очками от УФИ, спецодеждой, средствами защиты рук, ног, головы и лица). Рекомендуется к измерению уровней УФИ допускать лиц, достигших 18-летнего возраста, ознакомившихся с инструкцией по технике безопасности при работе с источниками УФИ, изучивших инструкции по эксплуатации СИ и положения настоящих МР.
--------------------------------
<7> Технический регламент Таможенного союза "О безопасности средств индивидуальной защиты" (ТР ТС 019/2011), утвержденный решением Комиссии Таможенного союза от 09.12.2011 N 878, с изменениями, внесенными решением Совета Евразийской экономической комиссии от 28.05.2019 N 55; приказ Минтруда России от 29.10.2021 N 767н "Об утверждении Единых типовых норм выдачи средств индивидуальной защиты и смывающих средств" (зарегистрирован Минюстом России 29.12.2021, регистрационный N 66671).
IV. Проведение измерений
4.1. Измерения проводятся на рабочих местах (см. п. 1.6). При отсутствии постоянных рабочих мест измерения проводятся в нескольких точках в пределах рабочей и производственной зон, в местах возможного нахождения персонала в процессе работы.
4.2. Измерения проводятся в рабочей зоне с установлением датчика прибора в области облучаемой поверхности тела работника перпендикулярно основному направлению потока излучения (линии, связывающей источник излучения и объект). При облучении всей поверхности тела работника измерения проводятся на рабочем месте на высоте 0,5 м, 1,0 м и 1,7 м (рабочая поза "стоя") и на высоте 0,5 м, 1,0 м и 1,4 м (рабочая поза "сидя") от опорной поверхности.
При выполнении сварочных работ объектом облучения являются лицо, шея и руки сварщика. Приемная поверхность датчика располагается перпендикулярно основному направлению потока излучения, измерения проводятся перед маской сварщика. При установлении дальности распространения УФИ в рабочей зоне измерения проводятся на расстоянии от источника 0,5 - 1,0 м и более.
Допускается отклонение расстояния в процессе измерений +/- 0,05 м.
4.3. При применении источников УФИ в ряде отраслей промышленности, а также при осуществлении процессов дезинфекции и стерилизации в камерах с наличием смотрового окна измерения проводятся у отверстия смотрового окна.
4.4. При выполнении работ, связанных с материалами или продуктами, имеющими температуру свыше плюс 2000 °C (например, расплавленный металл, кварцевое стекло, осветительные установки с ДРА, ГЛН), либо когда УФИ является основным фактором технологического процесса, специально предназначенного для использования его свойств (например, полиграфическая промышленность, химическое и деревообрабатывающее производство, сельское хозяйство, кино- и телесъемки, здравоохранение), и объектами облучения являются открытые части тела (лица, шеи, рук, ног), проведение измерений ЭО осуществляется на уровне открытых частей тела (лица, шеи, рук и ног). Приемная поверхность датчика располагается перпендикулярно основному направлению потока излучения (линии, связывающей источник излучения и объект).
4.5. Для рабочих мест, находящихся в помещениях, в которых обеззараживание воздуха, предметов и поверхностей осуществляется в режиме "облучение в присутствии людей" (закрытые облучатели (рециркуляторы), приточно-вытяжная вентиляция, комбинированные облучатели), измерения ЭО проводятся при включенных экранированных лампах, направляющих бактерицидный поток в верхнюю зону помещения и исключающих выход прямого потока от лампы или отражателя в нижнюю зону, а работа ламп и (или) облучателей, направляющих бактерицидный поток в нижнюю полусферу, при этом прекращается.
4.6. В каждой точке или регламентированной высоте выполняется не менее 4 измерений ЭО. Результат измерений принимается в качестве итогового, если разность между максимальными и минимальными значениями, полученными в контрольной точке в заданном диапазоне, не превышает 10% <8> от полученного среднеарифметического значения этих результатов. Если данное условие не выполняется, проводятся повторные измерения. Определяющим является максимальное за время регистрации среднее арифметическое значение из измеренных ЭО, определенное по каждой из высот, на которых проводились измерения.
--------------------------------
<8> Раздел 3 ГОСТ Р 8.736-2011 "Измерения прямые многократные. Методы обработки результатов измерений. Основные положения", введенного приказом Росстандарта от 13.12.2011 N 1045-ст; пункт 4.17 постановления Правительства Российской Федерации от 16.11.2020 N 1847.
4.7. На рабочих местах в помещениях, где используются источники для профилактического облучения людей, определяются контрольные точки для проведения измерений под и между облучателями на рабочих местах в центре помещения и на периферии. В производственных и административных помещениях, где размещаются установки профилактического облучения длительного действия, измерения производятся на уровне 1,0 - 1,7 м от пола при нахождении работников в позе "стоя", на уровне 1,0 - 1,4 м - при нахождении работников в позе "сидя". В фотариях измерения выполняются в вертикальной плоскости на уровне 1,0 - 1,7 м от пола.
4.8. Измерения проводятся с поиском максимальных значений в каждом спектральном диапазоне ("A", "B", "C") с выполнением не менее 4 измерений ЭО в каждой точке или нормируемой высоте; при нестабильных производственных источниках (например, сварочная дуга, расплавленный металл) число измерений увеличивается. При совместном измерения УФ-B + УФ-C (200 - 315 нм) для оценки ЭО при использовании работником специальной одежды и средств защиты лица и рук, не пропускающих излучение, необходимо произвести алгебраическое сложение полученных в контрольной точке результатов в диапазонах УФ-B, УФ-C с учетом размерности отдельных значений измерений.
V. Обработка и оформление результатов измерений
5.1. Результаты измерений оформляются в виде протокола измерений в соответствии с документами по стандартизации <9> и требованиями системы менеджмента качества (СМК) лаборатории. Перечень рекомендуемой информации, включаемой в протокол, представлен в приложении 1 к настоящим МР.
--------------------------------
<9> ГОСТ ISO/IEC 17025-2019 "Общие требования к компетентности испытательных и калибровочных лабораторий", введенный приказом Росстандарта от 15.07.2019 N 385-ст.
5.2. Результаты измерений представляются с расширенной неопределенностью <10>. Оценка неопределенности результатов измерений проводится в 4 этапа по следующей схеме.
--------------------------------
<10> ГОСТ 34100.1-2017 "Неопределенность измерения. Часть 1. Введение в руководства по выражению неопределенности измерения", введенный приказом Росстандарта от 12.09.2017 N 1064-ст; ГОСТ 34100.3-2017 "Неопределенность измерения. Часть 3. Руководство по выражению неопределенности измерения", введенный приказом Росстандарта от 12.09.2017 N 1065-ст.
5.2.1. Результат измерений каждого показателя ЭО в каждой контрольной точке на каждой регламентированной высоте представляется как среднее арифметическое значение не менее 4 последовательных измерений, формула (1):
, где (1)
xi - результат, полученный в точке измерения;
n - количество измерений, выполненных в точке измерения.
5.2.2. Оценивается стандартная неопределенность по типу A(uA) результата, вычисленного как среднее арифметическое
из n измерений, формула (2):
(2)
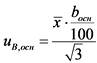
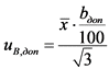
5.2.3. Оценивается стандартная неопределенность по типу B(uB), обусловленная основной (bосн) и дополнительной (bдоп) приборной погрешностью, формулы (3, 4):
(3)
(4)
Если основная (bосн) и дополнительная (bдоп) приборная погрешность выражена в процентах, то стандартная неопределенность по типу B(uB,осн, uB,доп) вычисляется по формулам (5 и 6):
(5)
(6)
5.2.4. Вычисляется суммарная стандартная неопределенность (uC), формула (7):
(7)
5.2.5. Вычисление расширенной неопределенности измерений U(N) выполняется по формуле (8):
U(N) = k · uC, где (8)
k - коэффициент охвата, значение которого зависит от распределения возможных значений измеряемой величины и уровня доверия N;
uC - суммарная стандартная неопределенность измерений.
Значение коэффициента охвата принимается в зависимости от цели измерений и от вида интервала (односторонний или двусторонний).
При предположении нормального закона распределения значений измеряемой величины коэффициент охвата для одностороннего интервала составляет: k = 1,3 при уровне доверия N = 90%; k = 1,65 при N = 95%.
Для двустороннего интервала коэффициент охвата составляет: k = 1,65 при N = 90%; k = 2 при N = 95%; k = 3 при N = 99%.
Для равномерного закона распределения принимают k = 1,65 при N = 95% и k = 1,71 при N = 99%.
При неизвестном распределении принимают коэффициент охвата, равный k = 2.
5.2.6. Результат измерения в зависимости от вида интервала представляется в виде:
(для двустороннего интервала) или
(для одностороннего интервала).
Рекомендуется использовать односторонний интервал охвата для сравнения границы этого интервала с некоторым предельно допустимым значением; в качестве коэффициента охвата k для уровня доверия 95% берут значение k = 1,65.
В приложении 2 к настоящим МР приведен пример расчета расширенной неопределенности измерений.
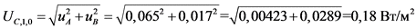
5.3. Оценка неопределенности измерения энергетической освещенности в контрольной точке в спектральном диапазоне свыше 200 - 315 нм (диапазон УФ-B + УФ-C) проводится в несколько этапов.
5.3.1. По формулам (2 - 7) рассчитывается суммарная стандартная неопределенность измерений энергетической освещенности диапазона B(uC,УФВ).
5.3.2. По формулам (2 - 7) рассчитывается суммарная стандартная неопределенность измерений энергетической освещенности диапазона C(uC,УФВ).
5.3.3. Вычисляется суммарная стандартная неопределенность (uC,УФВС), формула (9):
(9)
5.3.4. Вычисляется расширенная неопределенность (Up), формула (10):
Up = k · uC,УФАВ, где (10)
k - коэффициент охвата.
Значение коэффициента охвата принимается в зависимости от цели измерений и от вида интервала (односторонний или двусторонний).
5.3.5. Результат измерения в зависимости от вида интервала представляется в виде:
(при двустороннем интервале) или
(при одностороннем интервале).
Приложение 1
к МР 4.3.0386-25
РЕКОМЕНДУЕМЫЙ ПЕРЕЧЕНЬ
ИНФОРМАЦИИ, ВКЛЮЧАЕМОЙ В ПРОТОКОЛ ИЗМЕРЕНИЙ УФИ
1. Наименование и адрес организации, выполняющей измерения, сведения об аккредитации.
2. Наименование и адрес заказчика.
3. Объект измерений, адрес проведения измерений.
4. Место проведения измерений, наименование рабочего места.
5. Дата и время проведения измерений.
6. Фамилия, имя, отчество (при наличии) и должность уполномоченного представителя объекта, присутствующего при проведении измерений.
7. Цель проведения измерений.
8. Информация о СИ и вспомогательном оборудовании (наименование, тип, диапазон измерений, сведения о поверке, погрешность прибора).
9. Условия проведения измерений (метеоусловия и прочее).
10. Информация об использованной методике измерений.
11. Сведения об источнике УФИ: наименование; основные технические характеристики (спектральный состав излучения; максимальная и используемая мощность (при необходимости); описание излучающего элемента; сведения о режимах эксплуатации оборудования.
12. Краткое описание технологического процесса (характер облучения при наличии у работающих незащищенных участков поверхности кожи не более 0,2 м2 или их отсутствии, продолжительность облучения до 5 мин или более 5 мин с общей продолжительностью воздействия в течение рабочей смены (до 60 мин или 50% и более), характеристика выбранных интервалов времени в технологическом процессе (при необходимости), использование СИЗ.
13. Результаты измерений энергетической освещенности с учетом диапазонов спектрального состава УФИ (УФ-A, УФ-B, УФ-C, УФ-B + УФ-C).
14. Схема расположения источников УФИ с указанием контрольных точек измерения на плане (при необходимости с эскизом), расстояния от источника до контрольной точки и высоты до опорной поверхности.
15. Должность, фамилия, имя, отчество (при наличии), подпись специалиста, проводившего измерения.
Приложение 2
к МР 4.3.0386-25
ПРИМЕР РАСЧЕТА РАСШИРЕННОЙ НЕОПРЕДЕЛЕННОСТИ ИЗМЕРЕНИЙ
1. Для расчета расширенной неопределенности измерений интенсивности ЭО УФ-A на рабочем месте представлены исходные данные (табл. 1).
Таблица 1
Результаты измерений уровней ЭО УФ-A на рабочем месте
Номер измерения
Место проведения измерений, расстояние от источника, м
Высота проведения измерений, м
0,5
1,0
1,7
Полученные результаты интенсивности ЭО, Вт/м2
Измерение N 1
Рабочее место оператора, 1,5
2,9
2,9
3,1
Измерение N 2
2,9
3,1
3,0
Измерение N 3
3,0
2,8
2,8
Измерение N 4
2,8
3,0
2,8
Основная приборная погрешность измерений равна 10%.
Выполняется не менее 4 измерений ЭО на каждой регламентированной высоте 0,5 м, 1,0 м и 1,7 м, вычисляется среднее арифметическое значение этих результатов для каждой из высот, оценивается максимальное из этих среднеарифметических значений с учетом расширенной неопределенности в сравнении с допустимой интенсивностью облучения на рабочих местах.
2. Оценка неопределенности результатов измерений проводится в 4 этапа по следующей схеме.
2.1. Для расчета стандартной неопределенности по типу A по формуле (1) вычисляются средние значения уровней ЭО:



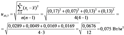
2.2. Вычисляется стандартная неопределенность по типу A(uA) по формуле (2):



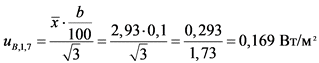
2.3. Вычисляется стандартная неопределенность по типу B(uB), обусловленная приборной погрешностью, по формуле (5):
;
;

2.4. Вычисляется суммарная стандартная неопределенность (uC) по формуле (7):
;
;

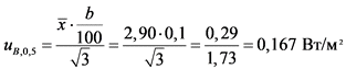
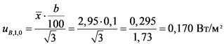
2.5. При одностороннем интервале охвата задаем коэффициент k = 1,65 и вычисляем расширенную неопределенность измерений:
;
;

2.6. С учетом расширенной неопределенности результат измерения максимального значения при одностороннем интервале охвата составит:
ЭО0,5 = 2,90 + 0,28 Вт/м2;
ЭО1,0 = 2,95 + 0,30 Вт/м2;
ЭО1,7 = 2,93 + 0,30 Вт/м2
3. Указываем максимальное значение ЭО в контрольной точке (на расстоянии 1,5 м от источника) 2,95 + 0,30 Вт/м2, что меньше ПДУ 50 Вт/м2 (при наличии у работающих незащищенных участков поверхности кожи не более 0,2 м2 и продолжительности облучения до 5 мин с общей продолжительностью воздействия за смену до 60 мин).
БИБЛИОГРАФИЧЕСКИЕ ССЫЛКИ
1. Федеральный закон от 30.03.1999 N 52-ФЗ "О санитарно-эпидемиологическом благополучии населения".
2. Федеральный закон от 28.12.2013 N 412-ФЗ "Об аккредитации в национальной системе аккредитации".
3. Федеральный закон от 26.06.2008 N 102-ФЗ "Об обеспечении единства измерений".
4. Постановление Правительства Российской Федерации от 16.11.2020 N 1847 "Об утверждении перечня измерений, относящихся к сфере государственного регулирования обеспечения единства измерений".
5. Технический регламент Таможенного союза "О безопасности средств индивидуальной защиты" (ТР ТС 019/2011).
6. СанПиН 1.2.3685-21 "Гигиенические нормативы и требования к обеспечению безопасности и (или) безвредности для человека факторов среды обитания".
7. СП 2.2.3670-20 "Санитарно-эпидемиологические требования к условиям труда".
8. Приказ Минтруда России от 29.10.2021 N 767н "Об утверждении Единых типовых норм выдачи средств индивидуальной защиты и смывающих средств".
9. Р 3.5.1.4025-24 "Использование ультрафиолетового бактерицидного излучения для обеззараживания воздуха в помещениях".
10. МР 2.2.0244-21 "Методические рекомендации по обеспечению санитарно-эпидемиологических требований к условиям труда".
11. ГОСТ 34100.1-2017 "Неопределенность измерения. Часть 1. Введение в руководства по выражению неопределенности измерения".
12. ГОСТ 34100.3-2017 "Неопределенность измерения. Часть 3. Руководство по выражению неопределенности измерения".
13. ГОСТ ISO/IEC 17025-2019 "Общие требования к компетентности испытательных и калибровочных лабораторий".
14. ГОСТ 12.0.002-2014 "Система стандартов безопасности труда. Термины и определения".
15. РМГ 29-2013 "Государственная система обеспечения единства измерений. Метрология. Основные термины и определения".
Методические рекомендации разработаны ФБУН "ФНЦГ им. Ф.Ф. Эрисмана" Роспотребнадзора (С.В. Кузьмин, О.О. Синицына, А.М. Егорова, Т.Н. Газиева, Л.А. Луценко, А.В. Ильницкая, А.В. Сухова, Р.В. Турдыев, И.Д. Гарбузов), ФГБНУ "НИИ МТ" (И.В. Бухтияров, Л.В. Прокопенко, Ю.П. Пальцев, Л.В. Походзей, А.В. Лагутина).