Решение Минпромторга России от 12.02.2026 N 22-64250-00658-Р
МИНИСТЕРСТВО ПРОМЫШЛЕННОСТИ И ТОРГОВЛИ РОССИЙСКОЙ ФЕДЕРАЦИИ
РЕШЕНИЕ
от 12 февраля 2026 г. N 22-64250-00658-Р
Версия 2
Коды
12.02.2026
Главный распорядитель бюджетных средств
Министерство промышленности и торговли Российской Федерации
по БК
020
Бюджет
Федеральный бюджет
по ОКТМО
00000001
Направление расходов
Субсидии производителям сельскохозяйственной техники
по БК
64250
Национальный проект
по БК
Государственная программа
Государственная программа Российской Федерации "Развитие промышленности и повышение ее конкурентоспособности"
по БК
16
Структурный элемент
Федеральный проект "Развитие сельскохозяйственного машиностроения, специализированного машиностроения, машиностроения для пищевой и перерабатывающей промышленности"
по БК
02
Целевая статья расходов
Субсидии производителям сельскохозяйственной техники
по БК
16 2 02 64250
1. Общая информация
Наименование субсидии
Субсидии производителям сельскохозяйственной техники
Цель предоставления субсидии
Достижение индекса производства продукции по отношению к предыдущему финансовому году (производство машин и оборудования для сельского и лесного хозяйства) путем стимулирования реализации конкурентоспособной сельскохозяйственной техники на внутреннем рынке
Тип субсидии
Субсидии на производство (реализацию) продукции
Способ предоставления средств из бюджета
возмещение затрат (недополученных доходов)
Способ отбора получателей
запрос предложений
Для служебного пользования
Нет
Направлена на реализацию новаций в сфере искусственного интеллекта
Нет
2. Информация о получателях субсидии
Категории получателей субсидии
Категория
Тип субъекта экономической деятельности
Общества с ограниченной ответственностью
Юридическое лицо
Индивидуальные предприниматели
Индивидуальный предприниматель
Публичные акционерные общества
Юридическое лицо
Непубличные акционерные общества
Юридическое лицо
Требования к получателям субсидии
Наименование требования
Подтверждающий соответствие требованию документ
У участника отбора (получателя субсидии) отсутствуют неисполненные обязательства по заключенным ранее соглашениям с главным распорядителем бюджетных средств на аналогичные цели
Заявка
В отношении участника отбора (получателя субсидии) - юридического лица не введена процедура банкротства
Заявка
В отношении участника отбора (получателя субсидии) - индивидуального предпринимателя не введена процедура банкротства
Заявка
Участник отбора (получатель субсидии) - юридическое лицо не проходит процедуру ликвидации
Заявка
Деятельность участника отбора (получателя субсидии) - юридического лица не приостановлена в порядке, предусмотренном законодательством Российской Федерации
Заявка
Участник отбора (получатель субсидии) - юридическое лицо не находится в процессе реорганизации (за исключением реорганизации в форме присоединения к юридическому лицу, являющемуся участником отбора, другого юридического лица)
Заявка
В реестре дисквалифицированных лиц отсутствуют сведения о дисквалифицированном руководителе участника отбора (получателя субсидии), являющегося юридическим лицом
Заявка
В реестре дисквалифицированных лиц отсутствуют сведения о дисквалифицированном главном бухгалтере участника отбора (получателя субсидии), являющегося юридическим лицом
Заявка
В реестре дисквалифицированных лиц отсутствуют сведения о дисквалифицированных членах коллегиального исполнительного органа участника отбора (получателя субсидии), являющегося юридическим лицом
Заявка
Деятельность участника отбора (получателя субсидии) - индивидуального предпринимателя не прекращена в качестве индивидуального предпринимателя в порядке, предусмотренном законодательством Российской Федерации
Заявка
В реестре дисквалифицированных лиц отсутствуют сведения о дисквалифицированном индивидуальном предпринимателе
Заявка
Участник отбора (получатель субсидии) не является российским юридическим лицом, в уставном (складочном) капитале которого доля прямого или косвенного (через третьих лиц) участия иностранных юридических лиц, местом регистрации которых является государство или территория, включенные в утверждаемый Министерством финансов Российской Федерации перечень государств и территорий, используемых для промежуточного (офшорного) владения активами в Российской Федерации, в совокупности превышает 25 процентов (если иное не предусмотрено законодательством Российской Федерации)
Заявка
Участник отбора (получатель субсидии) не является иностранным юридическим лицом, в том числе местом регистрации которого является государство или территория, включенные в утверждаемый Министерством финансов Российской Федерации перечень государств и территорий, используемых для промежуточного (офшорного) владения активами в Российской Федерации
Заявка
Требования к получателям субсидии
Наименование требования
Подтверждающий соответствие требованию документ
Участник отбора (получатель субсидии) не должен получать средства из федерального бюджета (бюджета субъекта Российской Федерации, местного бюджета), из которого планируется предоставление субсидии, на основании иных нормативных правовых актов Российской Федерации (нормативных правовых актов субъекта Российской Федерации, муниципальных правовых актов), решений о порядке предоставления субсидии на цели, установленные решением о порядке предоставления субсидии, в целях определения получателей которой проводится отбор получателей субсидий
Заявка
Участник отбора (получатель субсидии) не является иностранным агентом в соответствии с Федеральным законом "О контроле за деятельностью лиц, находящихся под иностранным влиянием"
Заявка
Отсутствует просроченная задолженность по возврату иных субсидий, бюджетных инвестиций в бюджет бюджетной системы Российской Федерации, из которого планируется предоставление субсидии
Заявка
Отсутствует иная просроченная (неурегулированная) задолженность по денежным обязательствам перед Российской Федерацией
Заявка
Участник отбора (получатель субсидии) не находится в перечне организаций и физических лиц, связанных с распространением оружия массового уничтожения, составляемом в рамках реализации полномочий, предусмотренных главой VII Устава ООН, Советом Безопасности ООН или органами, специально созданными решениями Совета Безопасности ООН
Заявка
Участник отбора (получатель субсидии) не находится в перечне организаций и физических лиц, связанных с террористическими организациями и террористами, составляемом в рамках реализации полномочий, предусмотренных главой VII Устава ООН, Советом Безопасности ООН или органами, специально созданными решениями Совета Безопасности ООН
Заявка
Участник отбора не должен находиться в перечне организаций и физических лиц, в отношении которых имеются сведения об их причастности к экстремистской деятельности или терроризму
Заявка
Организатор отбора
Код организации по Сводному реестру
00100020
Наименование организации
МИНИСТЕРСТВО ПРОМЫШЛЕННОСТИ И ТОРГОВЛИ РОССИЙСКОЙ ФЕДЕРАЦИИ
Почтовый адрес
123317, Г. МОСКВА, НАБ. ПРЕСНЕНСКАЯ, ДОМ Д. 10, СТР. 2
Адрес электронной почты, сайт
info_admin@minprom.gov.ru, http://minpromtorg.gov.ru
Телефон
8 495 632 88 88
3. Результат предоставления субсидии
Перечень результатов
Код результата
Тип результата
Наименование результата
Целевая статья: 16 2 02 64250
X232670000
Производство (реализация) продукции
Обеспечена реализация сельскохозяйственной техники производителями на территории Российской Федерации в соответствующем финансовом году в натуральном выражении
Характеристики результата предоставления субсидии (количественные параметры, которым должен соответствовать результат)
Код результата
Наименование характеристики
X232670000
Отношение стоимостного объема сельскохозяйственной техники, реализованной производителем на территории Российской Федерации в соответствующем финансовом году (без учета налога на добавленную стоимость), к объему субсидии, предоставляемой производителю в соответствующем финансовом году.
4. Направления финансирования
Направления затрат (недополученных доходов), на возмещение которых предоставляется субсидия
Наименование направления
Подтверждающий документ
Срок предоставления
Недополученные доходы
Заявление о предоставлении субсидии с приложением документов, указанных в разделе 12 настоящего Решения
не чаще одного раза в месяц не позднее 10-го числа соответствующего финансового года
5. Условия заключения соглашения о предоставлении субсидии
![]()
Не требуется заключение соглашения
![]()
Заключение соглашения о предоставлении субсидии с привлечением иного юридического лица (агента)
![]()
Предусматривается проведение мониторинга достижения результатов
Основная отчетность
Получатель субсидии представляет:
а) отчет о достижении значений результатов предоставления субсидий, а также характеристик результатов (при их установлении) (за исключением случаев, предусмотренных абзацем вторым пункта 44, абзацем вторым пункта 68, пунктом 70 Единых правил);
б) отчет о реализации плана мероприятий по достижению результата предоставления субсидии;
в) отчет об осуществлении инвестиций в производство продукции на территории Российской Федерации в текущем финансовом году.
6. Порядок расчета размера субсидии
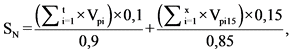
1. Размер субсидии, предоставляемой производителю, продукция которого указана в разделе 15.1 настоящего Решения, не может превышать величину (SN), определяемую по формуле:

где:
Vpi - совокупная стоимость продукции с учетом скидки по договору о реализации продукции, заключенному не ранее 1 октября года, предшествующего году получения субсидии, поставка продукции по которому осуществлена не ранее 1 января года получения субсидии (без учета налога на добавленную стоимость);
t - количество договоров о реализации продукции, заключенных не ранее 1 октября года, предшествующего году получения субсидии, поставка продукции по которым осуществлена не ранее 1 января года получения субсидии;
Vpi15 - совокупная стоимость продукции с учетом скидки по договору о реализации продукции, заключенному не ранее 1 октября года, предшествующего году получения субсидии, поставка продукции по которому осуществлена не ранее 1 января года получения субсидии, с покупателем, зарегистрированным на территории субъекта Российской Федерации, входящего в состав Сибирского федерального округа, или Дальневосточного федерального округа, или Республики Крым, или г. Севастополя, Калининградской области, Донецкой Народной Республики, или Луганской Народной Республики, или Запорожской области, или Херсонской области (без учета налога на добавленную стоимость), или с покупателем, являющимся лизинговой компанией, приобретающим продукцию для ее последующей передачи по договору финансовой аренды (лизинга) лизингополучателю, зарегистрированному на территории субъекта Российской Федерации, входящего в состав Сибирского федерального округа, или Дальневосточного федерального округа, или Республики Крым, или г. Севастополя, или Калининградской области, Донецкой Народной Республики, или Луганской Народной Республики, или Запорожской области, или Херсонской области (без учета налога на добавленную стоимость);
x - количество договоров о реализации продукции, заключенных не ранее 1 октября года, предшествующего году получения субсидии, поставка продукции по которым осуществлена не ранее 1 января года получения субсидии покупателям, зарегистрированным на территории субъектов Российской Федерации, входящих в состав Сибирского федерального округа и Дальневосточного федерального округа, а также Республики Крым, г. Севастополя и Калининградской области, Донецкой Народной Республики, или Луганской Народной Республики, или Запорожской области, или Херсонской области и покупателям, являющимся лизинговыми компаниями, приобретающими продукцию для ее последующей передачи по договору финансовой аренды (лизинга) лизингополучателям, зарегистрированным на территории субъекта Российской Федерации, входящего в состав Сибирского федерального округа и Дальневосточного федерального округа, а также Республики Крым, г. Севастополя и Калининградской области, Донецкой Народной Республики, или Луганской Народной Республики, или Запорожской области, или Херсонской области.
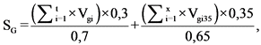
2. Размер субсидии, предоставляемой производителю в 2026 году, продукция которого указана в разделе 15.1 настоящего Решения и использует газ в качестве моторного топлива, не может превышать величину (SG), определяемую по формуле:

где:
Vgi - совокупная стоимость продукции с учетом скидки по договору о реализации продукции, заключенному не ранее 1 октября года, предшествующего году получения субсидии, поставка продукции по которому осуществлена не ранее 1 января года получения субсидии (без учета налога на добавленную стоимость);
t - количество договоров о реализации продукции, заключенных не ранее 1 октября года, предшествующего году получения субсидии, поставка продукции по которым осуществлена не ранее 1 января года получения субсидии;
Vgi35 - совокупная стоимость продукции с учетом скидки по договору о реализации продукции, заключенному не ранее 1 октября года, предшествующего году получения субсидии, поставка продукции по которому осуществлена не ранее 1 января года получения субсидии, с покупателем, зарегистрированным на территории субъекта Российской Федерации, входящего в состав Сибирского федерального округа, или Дальневосточного федерального округа, или Республики Крым, или г. Севастополя, Калининградской области, Донецкой Народной Республики, или Луганской Народной Республики, или Запорожской области, или Херсонской области (без учета налога на добавленную стоимость), или с покупателем, являющимся лизинговой компанией, приобретающим продукцию для ее последующей передачи по договору финансовой аренды (лизинга) лизингополучателю, зарегистрированному на территории субъекта Российской Федерации, входящего в состав Сибирского федерального округа, или Дальневосточного федерального округа, или Республики Крым, или г. Севастополя, или Калининградской области, Донецкой Народной Республики, или Луганской Народной Республики, или Запорожской области, или Херсонской области (без учета налога на добавленную стоимость);
x - количество договоров о реализации продукции, заключенных не ранее 1 октября года, предшествующего году получения субсидии, поставка продукции по которым осуществлена не ранее 1 января года получения субсидии покупателям, зарегистрированным на территории субъектов Российской Федерации, входящих в состав Сибирского федерального округа и Дальневосточного федерального округа, а также Республики Крым, г. Севастополя и Калининградской области, Донецкой Народной Республики, или Луганской Народной Республики, или Запорожской области, или Херсонской области и покупателям, являющимся лизинговыми компаниями, приобретающими продукцию для ее последующей передачи по договору финансовой аренды (лизинга) лизингополучателям, зарегистрированным на территории субъекта Российской Федерации, входящего в состав Сибирского федерального округа и Дальневосточного федерального округа, а также Республики Крым, г. Севастополя и Калининградской области, Донецкой Народной Республики, или Луганской Народной Республики, или Запорожской области, или Херсонской области.
3. Размер субсидии, предоставляемой производителю, продукция которого указана в разделе 15.2 настоящего Решения, не может превышать величину (S), определяемую по формуле:

где:
P - цена единицы продукции, указанная в справке, подписанной руководителем (уполномоченным лицом с представлением документов, подтверждающих полномочия указанного лица) и главным бухгалтером (при наличии) производителя, с указанием перечня моделей продукции и (или) их модификаций, предлагаемых производителем (продавцом) к поставке покупателям на территории Российской Федерации в соответствующем финансовом году, кодов Общероссийского классификатора продукции по видам экономической деятельности (ОКПД 2) и цены на каждую модель продукции и (или) ее модификацию (без учета налога на добавленную стоимость).
C - цена единицы продукции, указанная в договоре о реализации продукции, заключенном не ранее 1 октября года, предшествующего году получения субсидии, поставка продукции по которому осуществлена не ранее 1 января года получения субсидии (без учета налога на добавленную стоимость).
x - количество договоров о реализации продукции, заключенных не ранее 1 октября года, предшествующего году получения субсидии, поставка продукции по которым осуществлена не ранее 1 января года получения субсидии.
7. Порядок расчета штрафных санкций и размера средств
субсидии, подлежащих возврату в бюджет
1. Представление производителем не позднее 1 августа текущего финансового года сведений о сокращении в текущем финансовом году потребности в средствах субсидии, предусмотренных абзацем первым пункта 2 раздела 14 настоящего Решения, и неиспользование по итогам текущего финансового года средств субсидии менее, чем на 20 процентов от выделенных средств субсидии, влекут применение к такому производителю штрафных санкций (Снеисп1), размер которых определяется по формуле:

где:
Sп - объем средств субсидии, выделенных производителю в текущем финансовом году <1>;
--------------------------------
<1> Средства субсидии, выделенные производителю по итогам отбора (дополнительного отбора) с учетом абзаца второго пункта 2 раздела 14 настоящего Решения.
Sф - объем средств субсидии, фактически предоставленных производителю в текущем финансовом году;
k - коэффициент возврата, учитывающий средний размер ключевой ставки, устанавливаемой Центральным банком Российской Федерации, за период предоставления субсидии в текущем финансовом году, выраженный в долях единицы.
2. Непредставление производителем до 1 августа текущего финансового года сведений о сокращении в текущем финансовом году потребности в средствах субсидии, предусмотренных абзацем первым пункта 2 раздела 14 настоящего Решения, и неиспользование по итогам текущего финансового года средств субсидии менее, чем на 20 процентов от выделенных средств субсидии, влекут применение к такому производителю штрафных санкций (Снеисп2), размер которых определяется по формуле:

где:
Sп - объем средств субсидии, выделенных производителю в текущем финансовом году <2>;
--------------------------------
<2> Средства субсидии, выделенные производителю по итогам отбора (дополнительного отбора).
Sф - объем средств субсидии, фактически предоставленных производителю в текущем финансовом году;
k - коэффициент возврата, учитывающий средний размер ключевой ставки, устанавливаемой Центральным банком Российской Федерации, за период предоставления субсидии в текущем финансовом году, выраженный в долях единицы.
3. Представление производителем не позднее 1 августа текущего финансового года сведений о сокращении в текущем финансовом году потребности в средствах субсидии, предусмотренных абзацем первым пунктом 2 раздела 14 настоящего Решения, и неиспользование по итогам текущего финансового года средств субсидии более, чем на 20 процентов от выделенных средств субсидии, влекут применение к такому производителю штрафных санкций (Снеисп3), размер которых определяется по формуле:

где:
Sп - объем средств субсидии, выделенных производителю в текущем финансовом году <3>;
--------------------------------
<3> Средства субсидии, выделенные производителю по итогам отбора (дополнительного отбора) с учетом абзаца второго пункта 2 раздела 14 настоящего Решения.
Sф - объем средств субсидии, фактически предоставленных производителю в текущем финансовом году;
k - коэффициент возврата, учитывающий средний размер ключевой ставки, устанавливаемой Центральным банком Российской Федерации, за период предоставления субсидии в текущем финансовом году, выраженный в долях единицы.
4. Непредставление производителем до 1 августа текущего финансового года сведений о сокращении в текущем финансовом году потребности в средствах субсидии, предусмотренных абзацем первым пунктом 2 раздела 14 настоящего Решения, и неиспользование по итогам текущего финансового года средств субсидии более, чем на 20 процентов от выделенных средств субсидии, влекут применение к такому производителю штрафных санкций (Снеисп4), размер которых определяется по формуле:

где:
Sп - объем средств субсидии выделенных производителю в текущем финансовом году <4>;
--------------------------------
<4> Средства субсидии, выделенные производителю по итогам отбора (дополнительного отбора).
Sф - объем средств субсидии, фактически предоставленных производителю в текущем финансовом году;
k - коэффициент возврата, учитывающий средний размер ключевой ставки, устанавливаемой Центральным банком Российской Федерации, за период предоставления субсидии в текущем финансовом году, выраженный в долях единицы.
5. Коэффициент возврата, учитывающий средний размер ключевой ставки, устанавливаемой Центральным банком Российской Федерации, за период предоставления субсидии в текущем финансовом году (k), определяется по формуле:

где:
n - количество периодов, в которых в текущем финансовом году, начиная с даты заключения производителем соглашения о предоставлении субсидии, изменялось значение ключевой ставки, устанавливаемой Центральным банком Российской Федерации;
ki - выраженный в долях единицы размер устанавливаемой Центральным банком Российской Федерации в текущем финансовом году, начиная с даты заключения производителем соглашения о предоставлении субсидии, ключевой ставки в i-м периоде;
di - количество календарных дней начиная с даты заключения производителем соглашения о предоставлении субсидии в периоде, в котором в текущем финансовом году изменялось значение ключевой ставки, устанавливаемой Центральным банком Российской Федерации.
6. В случае недостижения производителем значения характеристики менее, чем на 10 процентов от значения, установленного в соглашении о предоставлении субсидии, к производителю применяются штрафные санкции в размере 1 процентов от объема средств субсидии, фактически предоставленных производителю в соответствующем финансовом году в рамках такого соглашения о предоставлении субсидии;
7. В случае недостижения производителем значения характеристики более, чем на 10 процентов от значения, установленного в соглашении о предоставлении субсидии, к производителю применяются штрафные санкции в размере 10 процента от объема средств субсидии, фактически предоставленных производителю в соответствующем финансовом году в рамках такого соглашения о предоставлении субсидии.
8. В случае недостижения производителем значения результата предоставления субсидии, установленного в соглашении о предоставлении субсидии, производитель осуществляет возврат в доход федерального бюджета средств субсидии, порядок расчета размера которых установлен пунктами 37 - 39 <5> Правил предоставления из бюджетов бюджетной системы Российской Федерации субсидий, в том числе грантов в форме субсидий, юридическим лицам, индивидуальным предпринимателям, физическим лицам, утвержденных постановлением Правительства Российской Федерации от 25 октября 2023 г. N 1780 (далее - Правила).
--------------------------------
<5> За исключением положений абзацев 1 - 5 пункта 39 Правил N 1780, требования которых не применяются в отношении настоящего Решения.
9. В случае нарушения производителем срока представления в Министерство промышленности и торговли Российской Федерации отчетности, указанной в разделе 5 настоящего Решения, производитель уплачивает пени за каждый день просрочки в размере одной трехсотшестидесятой ключевой ставки Центрального банка Российской Федерации, действующей на 11-й рабочий день со дня окончания отчетного квартала финансового года получения субсидии, от объема средств субсидии, фактически предоставленных производителю в соответствующем финансовом году в рамках соглашения о предоставлении субсидии.
10. В случае нарушения производителем условий, установленных при предоставлении субсидии, выявленного в том числе по фактам проверок, проведенных Министерством промышленности и торговли Российской Федерации и (или) органом государственного (муниципального) финансового контроля, к производителю применяются штрафные санкции в размере выявленных нарушений от объема средств субсидии, фактически предоставленных производителю в соответствующем периоде в рамках соответствующего соглашения о предоставлении субсидии.
11. В случае возврата производителем средств субсидии, за исключением случая, определенного пунктом 8 настоящего раздела, производитель уплачивает пени за каждый день пользования соответствующими средствами субсидии в размере одной трехсотшестидесятой ключевой ставки Центрального банка Российской Федерации, действующей в соответствующие периоды.
12. В случае невыполнения производителем показателя инвестиций, требование по выполнению которого установлено пунктом 4 раздела 14 настоящего Решения, более чем на 20 процентов, к производителю применяются штрафные санкции в размере пропорциональном величине невыполнения показателя инвестиций от объема средств субсидии, фактически предоставленных производителю в соответствующем финансовом году.
8. Используемые понятия
"высокоавтоматизированная самоходная сельскохозяйственная машина" - самоходная сельскохозяйственная машина, не оборудованная рабочим местом оператора, в отношении которой подтверждено соответствие требованиям, установленным национальными стандартами Российской Федерации в отношении безопасности работы автоматизированной системы управления в совокупности с исполнительными механизмами таких самоходных сельскохозяйственных машин согласно уровню автоматизации 4;
"дата поставки продукции" - день подписания производителем (продавцом) и покупателем акта приема-передачи продукции или акта технической приемки продукции;
"дилерский договор" - договор поставки продукции, заключенный с продавцом (дополнительное соглашение, приложение и (или) спецификация к нему);
"договор о реализации продукции" - договор о реализации продукции (дополнительное соглашение, приложение и (или) спецификация к нему), в соответствии с которым производитель (продавец) обязуется передать продукцию в собственность покупателю;
"инвестиции" - общий объем денежных средств, который производитель вкладывает в собственное развитие и (или) развитие дочерних и взаимозависимых лиц, включая увеличение производственных площадок, развитие инфраструктуры, в том числе затраты на приобретение земельных участков, оборудования, ремонт и (или) реконструкцию зданий, сооружений, затраты на научно-исследовательские и опытно-конструкторские работы, имущественные права, иные права, имеющие денежную оценку, вкладываемые в объекты предпринимательской и (или) иной деятельности в целях получения прибыли и (или) достижения иного полезного эффекта.
Инвестиции, направленные на развитие дочерних и (или) взаимозависимых лиц, признанных таковыми в соответствии с пунктом 1 статьи 105.1 Налогового кодекса Российской Федерации, в документально подтвержденном объеме учитываются при выполнении следующих условий:
- более 50% выручки дочернего и (или) взаимозависимого лица, осуществляющего производство продукции и (или) комплектующих (деталей, сборочных единиц) продукции, формируется за счет поставок продукции и (или) комплектующих (деталей, сборочных единиц) продукции получателю субсидии;
- имеется документальное подтверждение, осуществления инвестиций получателем субсидии в адрес дочерних и (или) взаимозависимых лиц;
"лизинговая компания" - коммерческая организация - резидент Российской Федерации, приобретающая в ходе реализации договора финансовой аренды (лизинга) в собственность продукцию у производителя (продавца) и предоставляющая ее в соответствии с договором финансовой аренды (лизинга) лизингополучателю за определенную плату, на определенный срок и на определенных условиях во временное владение и в пользование с переходом или без перехода к лизингополучателю права собственности на продукцию;
"лизингополучатель" - юридическое лицо или индивидуальный предприниматель, заключившие договор финансовой аренды (лизинга) с лизинговой компанией;
"показатель инвестиций" - объем инвестиций, непосредственно связанных с производством, реализацией и обслуживанием продукции и (или) компонентов к ней;
"покупатель" - отдельный потребитель, являющийся юридическим лицом, или индивидуальным предпринимателем, приобретающий продукцию для собственного использования в соответствии с ее назначением и гарантирующий не осуществлять перепродажу продукции в течение одного года с даты ее поставки, или являющийся лизинговой компанией, приобретающей продукцию для последующей передачи лизингополучателю;
"производитель" - производитель продукции, возмещающий недополученные доходы, возникшие вследствие реализации продукции;
"продавец" - юридическое лицо или индивидуальный предприниматель, реализующие продукцию;
"продукция" - сельскохозяйственная техника или оборудование, предназначенные для выполнения сельскохозяйственных работ, классифицируемые в соответствии с кодами Общероссийского классификатора продукции по видам экономической деятельности (ОКПД 2), указанными в разделе 15 настоящего Решения;
"перечень продукции" - справка, подписанная руководителем (уполномоченным лицом с представлением документов, подтверждающих полномочия указанного лица) и главным бухгалтером (при наличии) производителя, с указанием перечня моделей продукции и (или) их модификаций, предлагаемых производителем (продавцом) к поставке покупателям на территории Российской Федерации в соответствующем финансовом году, кодов Общероссийского классификатора продукции по видам экономической деятельности (ОКПД 2) и цены на каждую модель продукции и (или) ее модификацию (без учета налога на добавленную стоимость).
Цена на каждую модель продукции и (или) ее модификацию (без учета налога на добавленную стоимость), предлагаемую производителем (продавцом) к поставке покупателям на территории Российской Федерации, устанавливается производителем на соответствующий финансовый год и не превышает цену, представленную производителем в Министерство промышленности и торговли Российской Федерации в предыдущем году, увеличенную на индекс цен производителей промышленной продукции на соответствующий финансовый год в составе прогноза социально-экономического развития Российской Федерации на очередной год и на плановый период и (или) сценарных условий, основных параметров прогноза социально-экономического развития Российской Федерации на очередной год и на плановый период (далее - ИЦП);
"промышленный робот" - автоматизированная производственная система, соответствующая следующим требованиям: оснащена манипуляторами с тремя или более степенями подвижности и может применяться как для производственной обработки (сварки, резки, покраски), так и для выполнения вспомогательных операций (сборки, сортировки, транспортировки, упаковки);
"скидка" - льгота в виде скидки, предоставляемая покупателю непосредственно производителем или через продавца в соответствии с договором о реализации продукции.
Иные понятия и термины, используемые в настоящем Решении, применяются в значениях, определенных Федеральным законом "О промышленной политике Российской Федерации".
9. Дополнительные требования к участнику отбора
получателей субсидии, которым он должен соответствовать
на даты подачи заявки
1. В отношении продукции, указанной в разделе 15.1 настоящего Решения:
совокупный размер субсидии, предоставляемой производителям в соответствующем финансовом году, не превышает 45 процентов лимитов бюджетных обязательств (далее - ЛБО), доведенных в установленном порядке до Министерства промышленности и торговли Российской Федерации как получателя средств федерального бюджета (далее - доведенные ЛБО), при этом в отношении продукции, указанной в разделе 15.1 настоящего Решения и использующей газ в качестве моторного топлива, совокупный размер субсидии предоставляемой производителям в 2026 году не превышает 5 процентов указанного объема ЛБО;
размер субсидии, заявляемый на отбор получателей субсидии (далее - отбор) одним производителем (группой производителей, являющихся взаимозависимыми лицами, признанными таковыми в соответствии с пунктом 1 статьи 105.1 Налогового кодекса Российской Федерации) в соответствующем году, не может превышать 70 процентов размера субсидии, указанного в абзаце втором настоящего пункта.
2. В отношении продукции, указанной в разделе 15.2 настоящего Решения:
совокупный размер субсидии, предоставляемой производителям в соответствующем финансовом году, не превышает 55 процентов доведенных ЛБО;
размер субсидии, заявляемый на отбор одним производителем (группой производителей, являющихся взаимозависимыми лицами, признанными таковыми в соответствии с пунктом 1 статьи 105.1 Налогового кодекса Российской Федерации) в соответствующем году, не может превышать 27 процентов размера субсидии, указанного в абзаце втором настоящего пункта.
3. Для производителей, продукция которых указана в пунктах 2 и 3 раздела 15.2 настоящего Решения, значение результата предоставления субсидии, заявляемое в рамках отбора, определяется по формуле:

где:
S - размер субсидии, запрашиваемый производителем в рамках отбора, на соответствующий финансовый год, рублей;
К1 - минимальный коэффициент эффективности на 100,0 тыс. рублей субсидии, запрашиваемой производителем в рамках отбора на соответствующий финансовой год (далее - коэффициент эффективности К1).
Значение коэффициент эффективности К1 для продукции, указанной в пункте 2 раздела 15.2 настоящего Решения, составляет 0,2042, для продукции, указанной в пункте 3 раздела 15.2 настоящего Решения, - 0,0823.
Министерство промышленности и торговли Российской Федерации вправе пересмотреть значение коэффициента эффективности К1 на соответствующий финансовый год в пределах ИЦП путем внесения изменений в настоящее Решение.
4. Значение характеристики результата предоставления субсидии на соответствующий финансовый год для производителей, продукция которых указана в разделе 15.1 настоящего Решения, составляет не менее 6.
Для производителей, продукция которых указана в разделе 15.1 настоящего Решения, значение характеристики результата предоставления субсидии рассчитывается как отношение стоимостного объема продукции, реализованной производителем на территории Российской Федерации в соответствующем финансовом году (без учета налога на добавленную стоимость), к объему субсидии, предоставляемой производителю в соответствующем финансовом году.
5. Значение характеристики результата предоставления субсидии на соответствующий финансовый год для производителей, продукция которых указана в разделе 15.2 настоящего Решения, составляет не менее:
1 - для продукции, указанной в пункте 1 раздела 15.2 настоящего Решения;
5 - для продукции, указанной в пункте 2 раздела 15.2 настоящего Решения;
7,3 - для продукции, указанной в пункте 3 раздела 15.2 настоящего Решения.
Для производителей, продукция которых указана в разделе 15.2 настоящего Решения, значение характеристики результата предоставления субсидии рассчитывается как отношение стоимостного объема продукции, реализованной покупателям на территории Российской Федерации со скидкой в соответствующем финансовом году (без учета налога на добавленную стоимость), к объему субсидии, предоставляемой производителю в соответствующем финансовом году.
6. Значение коэффициента роботизации (Кр) (далее - коэффициент Кр) определяется по формуле:

где:
Np - количество промышленных роботов, задействованных в производстве продукции, принадлежащими производителю на праве собственности и (или) ином законном основании, штук;
Nr - число занятых рабочих мест работниками, непосредственно задействованными в процессе производства продукции (выполнения работ, услуг), управляющие этим процессом и обслуживающие его, человек.
7. В отношении продукции, указанной производителем в перечне продукции, имеются сведения о ее включении в реестр российской промышленной продукции, размещаемый в государственной информационной системе промышленности в информационно-телекоммуникационной сети "Интернет" (далее - ГИСП), и о ее соответствии на дату подачи заявки на участие в отборе требуемому показателю локализации (при наличии), установленному постановлением Правительства Российской Федерации от 17 июля 2015 г. N 2 719 в соответствии со статьей 17.1 Федерального закона от 31 декабря 2014 г. N 488-ФЗ, для целей получения мер государственной поддержки.
10. Порядок проведения отбора
1. Отбор осуществляется в соответствии с требованиями, установленными Правилами отбора получателей субсидий, в том числе грантов в форме субсидий, предоставляемых из бюджетов бюджетной системы Российской Федерации юридическим лицам, индивидуальным предпринимателям, а также физическим лицам-производителям товаров, работ, услуг, утвержденными постановлением Правительства Российской Федерации от 25 октября 2023 г. N 1781 (далее - Правила отбора).
2. Отбор производителей, продукция которых указана в разделе 15.1 настоящего Решения, осуществляется в сроки, указанные в объявлении о проведении отбора, в пределах доведенных ЛБО, указанных в пункте 1 раздела 9 настоящего Решения. Распределение субсидии в рамках данного отбора осуществляется способом, указанным в подпункте "б" пункта 80 Правил отбора с учетом положений абзацев второго и третьего пункта 1 раздела 9 настоящего Решения.
3. Отборы производителей, продукция которых указана в разделе 15.2 настоящего Решения, осуществляются по видам продукции последовательно в сроки, указанные в объявлении о проведении отбора, а распределение субсидии осуществляется способом, указанным в подпункте "а" пункта 80 Правил отбора с учетом положений абзацев второго и третьего пункта 2 раздела 9 настоящего Решения:
а) отбор производителей, продукция которых указана в пункте 1 раздела 15.2 настоящего Решения, осуществляется в пределах доведенных ЛБО, указанных в пункте 2 раздела 9 настоящего Решения;
б) отбор производителей, продукция которых указана в пункте 2 раздела 15.2 настоящего Решения, осуществляется в два этапа путем ранжирования заявок на участие в отборе получателей субсидий (далее - заявки) в пределах ЛБО, оставшихся по результатам отбора, указанного в подпункте "а" настоящего пункта Решения:
на первом этапе заявкам присваиваются порядковые номера в порядке убывания значения заявленного коэффициента Кр;
на втором этапе заявкам присваиваются порядковые номера в порядке убывания значения заявленного коэффициента эффективности К1 (в случае отсутствия заявленного коэффициента Кр) начиная с порядкового номера, следующего за последним порядковым номером, присвоенной заявке по итогам первого этапа.
В случае если производитель заявляет в рамках отбора коэффициент Кр, коэффициент эффективности К1 рассчитывается производителем самостоятельно без учета положений абзаца шестого пункта 3 раздела 9 настоящего Решения исходя из заявленного значения результата предоставления субсидии.
В случае равенства значений коэффициента Кр у нескольких производителей более высокий ранг присваивается заявке, в которой значение коэффициента эффективности К1 выше.
В случае равенства заявленных значений коэффициента Кр и коэффициента эффективности К1 у нескольких производителей, более высокий ранг присваивается заявке, в которой запрашивается меньший размер субсидии;
в) отбор производителей, продукция которых указана в пункте 3 раздела 15.2 настоящего Решения, осуществляется в пределах ЛБО, оставшихся по результатам отбора, указанного в подпункте "б" настоящего пункта Решения, в аналогичном порядке.
11. Дополнительные требования к получателю субсидии
1. Субсидия предоставляется на основании соглашения о предоставлении субсидии, заключенного между Министерством промышленности и торговли Российской Федерации и производителем, с соблюдением положений, предусмотренных Правилами, в соответствии с типовой формой, установленной Министерством финансов Российской Федерации, по итогам проведения отбора по соответствующим видам продукции.
В соглашении помимо условий предоставления субсидии, определенных Правилами, а также настоящим Решением предусматривается в том числе:
формы и сроки представления производителем дополнительной отчетности (отчет об осуществлении инвестиций в производство продукции на территории Российской Федерации в текущем финансовом году);
порядок рассмотрения Министерством промышленности и торговли Российской Федерации заявления о включении в перечень моделей продукции и (или) их модификаций, предлагаемых производителем (продавцом) к поставке покупателям на территории Российской Федерации в соответствующем финансовом году, новых моделей продукции и (или) их модификаций и документов, указанных в пункте 1 раздела 14 настоящего Решения.
2. Субсидия предоставляется производителю при выполнении следующих условий:
а) покупателю продукции в соответствии с договором о реализации продукции предоставлена в отношении единицы продукции скидка в размере не меньше размера субсидии;
б) продукция произведена не ранее чем за 3 года до года получения субсидии;
в) договор о реализации продукции заключен не ранее 1 октября года, предшествующего текущему финансовом году, и поставка продукции по нему осуществлена не ранее 1 января текущего финансового года;
г) сведения о производителе, предусмотренные постановлением Правительства Российской Федерации от 21 декабря 2017 г. N 1604, размещены в ГИСП;
д) государственная поддержка производства и реализации одной и той же единицы продукции оказывается производителю один раз в течение срока службы такой единицы продукции, за исключением государственной поддержки, оказываемой в рамках решения о порядке предоставления субсидии N 24-68761-01328-Р и решения о порядке предоставления субсидии N 22-68760-00531-Р;
е) в отношении продукции, указанной производителем в справке для получения субсидии, указанной в подпункте "а" раздела 12 настоящего Решения, имеются сведения о ее включении в реестр российской промышленной продукции, размещаемый в ГИСП, и о ее соответствии на дату подачи заявления о предоставления субсидии требуемому показателю локализации (при наличии), установленному постановлением Правительства Российской Федерации от 17 июля 2015 г. N 719 в соответствии со статьей 17.1 Федерального закона от 31 декабря 2014 г. N 488-ФЗ для целей получения мер государственной поддержки.
12. Перечень документов, предоставляемых производителями
для получения субсидии
Для получения субсидии производитель в отношении каждого заключенного соглашения о предоставлении субсидии по соответствующему виду продукции, указанному в разделе 15 настоящего Решения, представляет в Министерство промышленности и торговли Российской Федерации не чаще одного раза в месяц не позднее 10-го числа соответствующего финансового года заявление о предоставлении субсидии по форме, приведенной в соглашении о предоставлении субсидии, подписанное руководителем (уполномоченным лицом с представлением документов, подтверждающих полномочия указанного лица) производителя, с приложением следующих документов, заверенных руководителем (уполномоченным лицом с представлением документов, подтверждающих полномочия указанного лица) и главным бухгалтером (при наличии) производителя:
а) справка для получения субсидии по форме, предусмотренной соглашением о предоставлении субсидии <5>;
--------------------------------
<5> Заверенные руководителем (уполномоченным лицом с представлением документов, подтверждающих полномочия указанного лица) и главным бухгалтером (при наличии) производителя копии документов, подтверждающих достоверность сведений, указанных в справке для получения субсидии, хранятся у производителя в течение 5 лет со дня перечисления Министерством промышленности и торговли Российской Федерации субсидии в установленном порядке на расчетный счет производителя, открытый в кредитных организациях.
б) расчет размера субсидии по форме, предусмотренной соглашением о предоставлении субсидии;
в) справка о выполнении производителем требований, предусмотренных пунктами 3 и 5 Правил предоставления субъектами деятельности в сфере промышленности, органами государственной власти и органами местного самоуправления информации для включения в государственную информационную систему промышленности, утвержденных постановлением Правительства Российской Федерации от 21 декабря 2017 г. N 1604;
г) выписки из реестра российской промышленной продукции в отношении каждой единицы продукции, указанной в справке для получения субсидии, предусмотренной подпунктом "а" настоящего раздела, соответствующие требованиям подпункта "е" пункта 2 раздела 11 настоящего Решения и действующие в течение не менее 30 календарных дней после дня подачи заявления о предоставлении субсидии;
д) справка о соответствии производителя требованиям настоящего Решения по форме, предусмотренной соглашением о предоставлении субсидии.
13. Порядок предоставления субсидии
1. Министерство промышленности и торговли Российской Федерации при рассмотрении заявлений о предоставлении субсидии:
а) регистрирует заявления о предоставлении субсидии и документы, указанные в разделе 12 настоящего Решения, в порядке их поступления (за исключением документов, поступивших через ГИСП при наличии технической возможности);
б) в течение 15 рабочих дней со дня регистрации заявлений и документов, указанных в разделе 1 2 настоящего Решения, проверяет их, в том числе полноту и достоверность содержащихся в них сведений и их соответствие требованиям настоящего Решения, и принимает решения о предоставлении субсидии либо об отказе в предоставлении субсидии;
в) в случае принятия решения об отказе в предоставлении субсидии в течение 15 рабочих дней со дня окончания проверки, предусмотренной подпунктом "б" настоящего пункта, направляет производителю уведомление об отказе в предоставлении субсидии с приложением заявления о предоставлении субсидии и документов, представленных производителем в соответствии с разделом 12 настоящего Решения.
2. Основаниями для отказа производителю в предоставлении субсидии являются:
а) несоответствие представленных документов требованиям настоящего Решения, непредставление (представление не в полном объеме) указанных документов, нарушение сроков их представления;
б) установление факта недостоверности представленной производителем информации;
в) превышение производителем объемов средств субсидии на текущий финансовый год, предусмотренных соглашением о предоставлении субсидии;
г) наличие у производителя неисполненной обязанности по уплате налогов, сборов, страховых взносов, пеней, штрафов, процентов, подлежащих уплате в соответствии с законодательством Российской Федерации о налогах и сборах, и (или) просроченной задолженности по денежным обязательствам перед Российской Федерацией, определенным в статье 93.4 Бюджетного кодекса Российской Федерации, превышающей размер, определенный пунктом 3 статьи 47 Налогового кодекса Российской Федерации;
д) несоответствие производителя требованиям, установленным настоящим Решением.
14. Иные условия
1. Производитель вправе в отношении моделей продукции и (или) их модификаций, которые ранее не были представлены производителем в Министерство промышленности и торговли Российской Федерации, не чаще трех раз в год представлять в Министерство промышленности и торговли Российской Федерации заявление о включении в перечень моделей продукции и (или) их модификаций, предлагаемых производителем (продавцом) к поставке покупателям на территории Российской Федерации в соответствующем финансовом году (далее - перечень продукции, предлагаемой к поставке), новых моделей продукции и (или) их модификаций с приложением документов, перечень которых предусмотрен соглашением о предоставлении субсидии.
2. В случае сокращения в текущем финансовом году потребности в средствах субсидии, производитель не позднее 1 августа текущего финансового года представляет в Министерство промышленности и торговли Российской Федерации скорректированные сведения о потребности в средствах субсидии на текущий финансовый год, подписанные руководителем (уполномоченным лицом с представлением документов, подтверждающих полномочия указанного лица) и главным бухгалтером (при наличии) производителя.
На основании указанных сведений Министерство промышленности и торговли Российской Федерации не позднее 15 сентября текущего финансового года заключает с таким производителем дополнительное соглашение к соглашению о предоставлении субсидии, в котором предусматривается уменьшение субсидии на текущий финансовый год.
В отношении соглашений о предоставлении субсидии, заключенных в отношении продукции, предусмотренной разделом 15.2 настоящего Решения, в дополнительных соглашениях к соглашениям о предоставлении субсидии, указанных в абзаце втором настоящего пункта, также предусматривается пропорциональное снижение значения результата предоставления субсидии на текущий финансовый год. В таком случае достижение производителем установленного значения результата предоставления субсидии в соответствующем финансовом году будет относится к пропорционально сниженному значению результата предоставления субсидии.
4. К производителю применяется требование по выполнению показателя инвестиций совокупно по всем заключенным в соответствующем финансовом году соглашениям о предоставлении субсидии.
Учитываются инвестиции, сформированные за год получения субсидии, а также два года, предшествующих году получения субсидии.
Суммы инвестиций за год получения субсидии и два года, предшествующих году получения субсидии, подтверждаются справкой производителя, подписанной руководителем (уполномоченным лицом с представлением документов, подтверждающих полномочия указанного лица) и главным бухгалтером (при наличии) производителя, в произвольной форме.
В случае если чистая прибыль (после налогообложения) производителя в соответствующем финансовом году меньше объема средств субсидии, фактически предоставленных производителю в соответствующем финансовом году, то показатель инвестиций должен быть равен или больше объему указанной чистой прибыли (после налогообложения), полученной в соответствующем финансовом году.
В случае если чистая прибыль (после налогообложения) производителя в соответствующем финансовом году больше объема средств субсидии, фактически предоставленных производителю в соответствующем финансовом году, то показатель инвестиций должен быть равен или больше объема средств субсидии, фактически предоставленных производителю в соответствующем финансовом.
15. Перечень сельскохозяйственной техники или оборудования
15.1 Перечень комбайнов (зерноуборочных и кормоуборочных
самоходных), прицепного и навесного оборудования к ним,
тракторов сельскохозяйственных
Код Общероссийского классификатора продукции по видам экономической деятельности (ОКПД 2)
Виды/наименование продукции
28.30.59.111
комбайны зерноуборочные
из 28.30.59.111
комбайны зерноуборочные в комплектации: агрегат молотильный без навесного оборудования
из 28.30.59.190
комбайны кормоуборочные самоходные
из 28.30.59.190
комбайны кормоуборочные самоходные в комплектации: агрегат измельчающий без навесного оборудования
из 28.30.59.112,
из 28.30.59.143
жатки очесывающе-теребильные
из 28.30.59.112,
из 28.30.59.120
жатки кукурузные и собиратели початков
из 28.30.86.110
приспособления и тележки для перемещения адаптеров зерноуборочных и кормоуборочных комбайнов
из 28.30.59.114
подборщики-копнители, стогообразователи
из 28.30.59.110,
из 28.30.59.112
жатки для уборки зерновых, масличных, бобовых и крупяных культур
из 28.30.59.110,
из 28.30.59.112,
из 28.30.59.190
жатки для уборки трав, силоса и соломы, камыша и сахарного тростника
из 28.30.59
жатки для уборки и первичной обработки зерновых, крупяных и масличных культур
из 28.30.59.110,
из 28.30.59.114,
из 28.30.59.190,
из 28.30.86.110
подборщики для зерноуборочных комбайнов и
кормоуборочных комбайнов
из 28.30.93
системы (комплекты сменных частей) переоборудования зерноуборочных комбайнов для уборки риса, кукурузы, труднообмолачиваемых зерновых культур и семенников трав
из 28.30.93
системы доизмельчения зерна кормоуборочных комбайнов
из 28.30.2
тракторы общего назначения, тракторы сельскохозяйственные универсальные, тракторы сельскохозяйственные универсально-пропашные и тракторы специальные
15.2 Перечень прочей сельскохозяйственной техники
или оборудования по видам продукции
Код Общероссийского классификатора продукции по видам экономической деятельности (ОКПД 2)
Виды/наименование продукции
1. Узкоспециализированные виды сельскохозяйственной техники и оборудования, высокоавтоматизированные самоходные сельскохозяйственные машины
из 28.30.33.120
сажалки саженцев прицепные
из 28.30.86.120
платформы подъемные для обрезки и (или) сбора урожая в садах
из 28.30.32.130
фрезы садовые для междурядной обработки почвы с гидравлической регулировкой ширины навесные
из 28.30.51.000
косилки-измельчители молотковые садовые с рабочей шириной до 2,2 м, диаметром рабочего вала до 0,2 м навесные и прицепные
из 28.30.86.110,
из 28.30.86.120
контурные обрезчики деревьев навесные
из 28.30.86.110
машины чеканочные навесные
из 28.30.86.110
машины для подвязки лозы навесные
из 28.30.86.110
столбоставы шпалерных столбов навесные
из 28.30.86.110
предобрезчики для виноградников
из 28.30.86.120
механические прореживатели цветов на ветках деревьев
из 28.30.86.120
мульчеры садовые рабочей шириной до 1,8 м с подборщиком веток
из 28.30.86.120
машины для искусственного сброса листвы с деревьев (дефолиаторы)
из 28.30.86.120
машины для подметания приствольной зоны
из 28.30.32.130
навесные культиваторы садовые для междурядной обработки с гидравлической регулировкой ширины и с боковыми поворотными рабочими органами
из 28.30.32.140
глубокорыхлители для внесения удобрений в садах и виноградниках в корневую зону с рабочей шириной до 2,1 м
из 28.30.33.110
сеялки селекционные с рабочей шириной до 2 м навесные
из 28.30.59.111
самоходные селекционные комбайны с мощностью двигателя не более 100 кВт
из 28.30.23
тракторы для садов и виноградников с мощностью двигателя от 59 кВт и шириной до 1,5 м
из 28.30.54
самоходные комбайны корнеуборочные или клубнеуборочные
из 28.30.54.120
самоходные перегружатели свеклы
из 28.30.59.140
самоходные комбайны для уборки и первичной обработки овощей, фруктов, ягод, технических культур
из 28.30.59.140
машины для уборки падалицы в садах
из 28.30.86.110
высококлиренсные самоходные кастрационные машины для селекции и семеноводства (детасслеры)
из 28.30.86.110
самоходные роботизированные платформы для овощеводства, садоводства и виноградарства
из 28.30.6
опрыскиватели для садов и виноградников туннельного типа прицепные
из 28.30.59.140
комбайны для уборки ягод прицепные
из 28.30.59.140
машины для вибрационной уборки фруктов
из 28.30.82.110
доильные установки типа "Карусель"
из 28.30.82.110
роботизированные доильные установки
из 28.30.8
роботизированное оборудование для приготовления кормов, кормораздачи, пододвигания кормов, формирования подстилки, уборки в животноводстве и птицеводстве
28.30.59.111
высокоавтоматизированные комбайны зерноуборочные
из 28.30.59.111
высокоавтоматизированные комбайны зерноуборочные в комплектации: агрегат молотильный без навесного оборудования
из 28.30.59.190
высокоавтоматизированные комбайны кормоуборочные самоходные
из 28.30.59.190
высокоавтоматизированные комбайны кормоуборочные самоходные в комплектации: агрегат измельчающий без навесного оборудования
из 28.30.2
высокоавтоматизированные тракторы общего назначения,
высокоавтоматизированные тракторы
сельскохозяйственные универсальные, высокоавтоматизированные тракторы
сельскохозяйственные универсально-пропашные и высокоавтоматизированные тракторы специальные
из 28.30.2,
из 28.30.5,
из 28.30.86,
из 29.10.44
высокоавтоматизированные косилки самоходные и шасси
самоходные для уборочных машин
из 28.30.33.120,
из 28.30.34,
из 28.30.39,
из 28.30.6
высокоавтоматизированные самоходные машины для внесения минеральных удобрений, средств защиты
растений и извести
28.22.18.246
высокоавтоматизированные погрузчики универсальные сельскохозяйственного назначения
из 28.30.59.143
высокоавтоматизированные комбайны льноуборочные самоходные теребильные
из 28.30.59.143
высокоавтоматизированные льнотеребилки самоходные
из 28.30.59.143
высокоавтоматизированные оборачиватели лент льна самоходные
из 28.30.59.143
высокоавтоматизированные пресс-подборщики льносырья самоходные
2. Прочая прицепная и навесная сельскохозяйственная техника и оборудование
из 28.30.59.143
пресс-подборщики льносырья прицепные
из 28.30.59.143
комбайны льноуборочные прицепные
из 28.30.59.143
оборачиватели лент льна прицепные
из 28.30.59.143
вспушиватели лент льна
из 28.30.59.143
сушилки для послеуборочной сушки льновороха
из 28.30.59.143
молотилки льновороха
из 28.30.59.143
сушилки для послеуборочной сушки льнотресты
из 28.30.59.143
мяльно-трепальные агрегаты для послеуборочной обработки льнотресты
из 28.30.59.143
куделеприготовительные агрегаты для послеуборочной обработки льнотресты
из 28.30.59.143
агрегаты по производству льноволокна
из 28.30.33.110,
из 28.30.33.112
сеялки тракторные (без туковых), сеялки зернотуковые
из 28.30.32.130
культиваторы для сплошной обработки почвы
из 28.30.31.110,
из 28.30.32.112,
из 28.30.39
машины комбинированные и универсальные, плуги общего назначения, дисковые бороны
из 28.30.54.110
копатели картофеля и комбайны картофелеуборочные прицепные
из 28.30.51,
из 28.30.52,
из 28.30.53
косилки навесные и прицепные, плющилки тракторные,
волокуши тракторные, ворошилки и пресс-подборщики
из 28.30.33.120,
из 28.30.34,
из 28.30.39,
из 28.30.59.119,
из 28.30.6
картофелесажалки, опрыскиватели и аэрозольные аппараты, машины для уборки зерновых, масличных, бобовых и крупяных культур (кроме зерноуборочных комбайнов)
из 28.30.32.130
культиваторы для сахарной свеклы неполивной, овощей сеяных (низкостебельных культур) и культиваторы для кукурузы, подсолнечника, картофеля, капусты, томатов, сахарной свеклы поливной (высокостебельных культур)
из 28.30.34
машины для внесения минеральных удобрений и извести
из 28.30.86.110
сцепки тракторные
из 28.30.52
грабли тракторные
из 28.30.32.119
бороны ножевые, игольчатые, ротационные, пружинные, шарнирные
из 28.30.34
разбрасыватели органических удобрений
из 28.30.54
машины для уборки ботвы корнеклубнеплодов
из 28.30.54.120
комбайны свеклоуборочные прицепные
28.22.18.210
устройства загрузочные, специально разработанные для использования в сельском хозяйстве, навесные для сельскохозяйственных тракторов
28.22.18.220
погрузчики сельскохозяйственные прочие, кроме универсальных и навесных
28.22.18.230,
из 28.22.18.231
загрузчики, разгрузчики сельскохозяйственные
из 28.30.7,
из 29.20.23.130,
из 28.30.86.110
из 28.30.51,
из 28.30.83.120
прицепы и полуприцепы, раздатчики кормов для ферм крупного рогатого скота и раздатчики кормов для свиноферм
косилки-измельчители и измельчители грубых и сочных кормов
28.30.83.110
дробилки для кормов
28.30.83.140
смесители кормов
из 28.30.86
комплекты оборудования сборных стойл для коров
из 28.22.17
транспортеры для навоза
28.30.32.140
рыхлители
из 28.30.31.120
машины для пахоты и глубокого рыхления (специального назначения) прочие
из 28.30.32.111
бороны зубовые, лущильники лемешные и лущильники дисковые
из 28.30.39
катки
из 28.30.32.130
культиваторы фрезерные
из 28.30.54.110
сортировки и пункты первичной обработки картофеля
из 28.22.17
транспортеры погрузочные и разгрузочные картофеля
из 28.30.54.110
машины для уборки и первичной обработки картофеля прочие
из 28.30.59.143
теребилки льна (кроме самоходных)
из 29.20.23.190
тележки
28.22.18.254
фуражиры
из 28.30.86.110
установки искусственного досушивания сена и машины заготовки грубых кормов прочие
из 28.30.7,
из 30.99.10
тележки - подборщики тюков
из 28.30.86.110
упаковщики рулонов
из 28.30.59.141
машины капустоуборочные
из 28.30.86.110
установки для удаления навоза и навозной жижи
из 28.30.60
машины, установки и аппараты дождевальные и поливные, насосные станции, дождеватели
из 28.30.54.120
машины для уборки и первичной обработки свеклы и других корнеплодов прочие
из 28.93.13
мельницы агрегатные стационарные
из 28.93.13.140
машины для приготовления обогатительных смесей (премиксов), белково-витаминных добавок
из 28.93.13.140
агрегаты комбикормовые
из 28.30.60.000,
из 28.30.86
протравливатели семян
из 28.30.60
навесная система (комплект оборудования) для внесения минеральных удобрений
из 28.22.14.129
краноманипуляторная установка, устанавливаемая на колесных транспортных средствах, используемая в сельском хозяйстве
3. Прочая самоходная сельскохозяйственная техника
из 28.30.2,
из 28.30.5,
из 28.30.86,
из 29.10.44
косилки самоходные и шасси самоходные для уборочных машин
из 28.30.33.120,
из 28.30.34,
из 28.30.39,
из 28.30.6
самоходные машины для внесения минеральных удобрений, средств защиты растений и извести
28.22.18.246
погрузчики универсальные сельскохозяйственного назначения
из 28.30.59.143
комбайны льноуборочные самоходные теребильные
из 28.30.59.143
льнотеребилки самоходные
из 28.30.59.143
оборачиватели лент льна самоходные
из 28.30.59.143
пресс-подборщики льносырья самоходные
Утверждено:
Руководитель (уполномоченное лицо)
Заместитель Министра промышленности и торговли Российской Федерации
Каримов А.А.
(должность)
(подпись)
(фамилия, инициалы)
12
Февраля
2026
г.
Согласовано:
Руководитель (уполномоченное лицо)
Референт
Бикаленко М.С.
(должность)
(подпись)
(фамилия, инициалы)
25
Февраля
2026
г.