Приказ Минприроды России от 08.12.2025 N 688
МИНИСТЕРСТВО ПРИРОДНЫХ РЕСУРСОВ И ЭКОЛОГИИ
РОССИЙСКОЙ ФЕДЕРАЦИИ
ПРИКАЗ
от 8 декабря 2025 г. N 688
ОБ УТВЕРЖДЕНИИ МЕТОДИК
ОПРЕДЕЛЕНИЯ КОЭФФИЦИЕНТОВ УПРАВЛЕНЧЕСКОЙ ЕМКОСТИ,
ПОПРАВОЧНЫХ КОЭФФИЦИЕНТОВ ЭКОЛОГИЧЕСКОГО, СОЦИАЛЬНОГО,
СОЦИАЛЬНО-ЭКОНОМИЧЕСКОГО И СОЦИОКУЛЬТУРНОГО ХАРАКТЕРА
И РАСЧЕТА ИХ ВЕЛИЧИН, А ТАКЖЕ ОПРЕДЕЛЕНИЯ ПЛОЩАДИ
ТУРИСТСКОГО ОБЪЕКТА, НЕОБХОДИМОЙ ДЛЯ ОДНОГО
ПОСЕТИТЕЛЯ, ПРИ ОСУЩЕСТВЛЕНИИ ТУРИЗМА
В соответствии с пунктом 18 Правил расчета предельно допустимой рекреационной емкости особо охраняемых природных территорий федерального значения при осуществлении туризма, утвержденных постановлением Правительства Российской Федерации от 31.10.2023 N 1811, приказываю:
утвердить:
методику определения коэффициентов управленческой емкости и расчета их величин согласно приложению N 1 к настоящему приказу;
методику определения поправочных коэффициентов экологического, социального, социально-экономического и социокультурного характера и расчета их величин согласно приложению N 2 к настоящему приказу;
методику определения площади туристского объекта, необходимой для одного посетителя, при осуществлении туризма согласно приложению N 3 к настоящему приказу.
Министр
А.А.КОЗЛОВ
Приложение N 1
к приказу Министерства
природных ресурсов и экологии
Российской Федерации
от 8 декабря 2025 г. N 688
МЕТОДИКА
ОПРЕДЕЛЕНИЯ КОЭФФИЦИЕНТОВ УПРАВЛЕНЧЕСКОЙ ЕМКОСТИ И РАСЧЕТА
ИХ ВЕЛИЧИН
1. Настоящая методика применяется федеральными государственными бюджетными учреждениями (далее - Учреждение) или иными государственными организациями (далее - Организация) в отношении особо охраняемых природных территорий федерального значения, управление которыми они осуществляют, либо их отдельных частей (далее - ООПТ) для определения коэффициентов управленческой емкости и расчета их величин.
2. Коэффициент управленческой емкости (МС) рассчитывается по формуле:

где:
МРЧ - управленческий параметр для оценки достаточности человеческих ресурсов, в долях от единицы;
МРИ - управленческий параметр для оценки достаточности объектов инфраструктуры для обеспечения рекреационной деятельности, в долях от единицы.
3. Управленческий параметр для оценки достаточности человеческих ресурсов (МРЧ) рассчитывается по формуле:

где:
NЧФАКТ - фактическое количество имеющихся человеческих ресурсов для обеспечения основной деятельности Учреждения или Организации, в единицах на 31 декабря года, предшествующего году проведения расчета предельно допустимой рекреационной емкости ООПТ, в единицах (за единицу принимается одна занятая штатная единица в рамках организационно-штатной структуры Учреждения или Организации);
NЧШТАТ - количество человеческих ресурсов для обеспечения основной деятельности, предусмотренное организационно-штатной структурой Учреждения или Организации, в единицах.
4. Для ООПТ, со дня создания которых прошло меньше года, управленческий параметр для оценки достаточности человеческих ресурсов применяется равным 1.
5. Управленческий параметр для оценки достаточности объектов инфраструктуры для обеспечения рекреационной деятельности (МРИ) рассчитывается по формуле:

где:
NИreal - фактическое количество имеющихся на ООПТ объектов инфраструктуры для обеспечения рекреационной деятельности, в единицах;
NИplan - планируемое количество объектов инфраструктуры, необходимое для обеспечения рекреационной деятельности на ООПТ, в единицах.
6. Расчет фактического количества имеющихся на ООПТ объектов инфраструктуры для обеспечения туристской деятельности (NИreal) осуществляется по формуле:

где:
Nreal - суммарное количество объектов инфраструктуры, имеющихся на ООПТ, использующихся для обеспечения рекреационной деятельности на ООПТ, на 31 декабря года, предшествующего году проведения расчета предельно допустимой рекреационной емкости, в единицах (за единицу принимается один объект инфраструктуры, необходимый для обеспечения рекреационной деятельности на ООПТ).
7. Расчет планируемого количества объектов инфраструктуры, необходимого для обеспечения рекреационной деятельности на ООПТ (NИplan), осуществляется по формуле:

где:
Nplan - планируемое количество объектов инфраструктуры, необходимое в 3-летней перспективе для обеспечения рекреационной деятельности на ООПТ, в единицах (за единицу принимается один объект инфраструктуры, необходимый для обеспечения туристской деятельности на ООПТ).
8. Планируемое количество объектов инфраструктуры, необходимое в 3-летней перспективе для обеспечения рекреационной деятельности на ООПТ, определяется на основании документально подтвержденных данных Учреждения или Организации, а также планов рекреационной деятельности национальных парков (при наличии) <1> и документации по планировке территории особой экономической зоны, расположенной в границах ООПТ <2>.
--------------------------------
<1> Подпункт "г" пункта 3 статьи 17.2 Федерального закона от 14.03.1995 N 33-ФЗ "Об особо охраняемых природных территориях".
<2> Часть 5 статьи 35.1 Федерального закона от 22.07.2005 N 116-ФЗ "Об особых экономических зонах в Российской Федерации".
9. Для ООПТ, со дня создания которых прошло меньше года, управленческий параметр для оценки достаточности объектов инфраструктуры для обеспечения рекреационной деятельности применяется равным 1.
Приложение N 2
к приказу Министерства
природных ресурсов и экологии
Российской Федерации
от 8 декабря 2025 г. N 688
МЕТОДИКА
ОПРЕДЕЛЕНИЯ ПОПРАВОЧНЫХ КОЭФФИЦИЕНТОВ ЭКОЛОГИЧЕСКОГО,
СОЦИАЛЬНОГО, СОЦИАЛЬНО-ЭКОНОМИЧЕСКОГО И СОЦИОКУЛЬТУРНОГО
ХАРАКТЕРА И РАСЧЕТА ИХ ВЕЛИЧИН
1. Настоящая методика применяется федеральными государственными бюджетными учреждениями (далее - Учреждение) или иными государственными организациями (далее - Организация) в отношении особо охраняемых природных территорий федерального значения, управление которыми они осуществляют, либо их отдельных частей (далее - ООПТ) для определения поправочных коэффициентов экологического, социального, социально-экономического и социокультурного характера и расчета их величин.
2. Поправочный коэффициент экологического характера (Cfeco) рассчитывается по формуле:

где:
- произведение лимитирующих факторов экологического характера;
Cfneco - поправочные коэффициенты по лимитирующему фактору экологического характера, в долях от единицы.
3. Поправочные коэффициенты рассчитываются по следующим лимитирующим факторам экологического характера:
1) пожароопасность (Cfneco1);
2) погодные условия (Cfneco2);
3) риск затопления, подтопления (Cfneco3);
4) развитие эрозионных процессов (Cfneco4);
5) изменение состояния почвенного и растительного покрова (Cfneco5);
6) изменение состояния, снижение эстетических свойств ландшафтов (Cfneco6);
7) изменение состояния водных объектов (Cfneco7);
8) воздействие на объекты животного и растительного мира (Cfneco8).
4. Поправочный коэффициент по лимитирующему фактору экологического характера "пожароопасность" (Cfneco1) рассчитывается по формуле:

где:
Lm1 - средняя продолжительность периода высокого класса природной пожарной опасности <1> за последние 3 года, когда доступ посетителей на ООПТ был закрыт или ограничен, на основании документально подтвержденных данных Учреждения или Организации, в сутках;
--------------------------------
<1> Часть 4 статьи 53 Лесного кодекса Российской Федерации.
Tm1 - средняя продолжительность туристского сезона за последние 3 года, определенная на основании документально подтвержденных данных Учреждения или Организации, в сутках.
5. Поправочный коэффициент по лимитирующему фактору экологического характера "погодные условия" (Cfneco2) рассчитывается по формуле:

где:
Lm2 - средняя продолжительность периода с неблагоприятными погодными условиями и опасными природными явлениями, определенная как среднее за последние 3 года суммарное значение продолжительности периодов с неблагоприятными погодными условиями и опасными природными явлениями для местности, когда посещение ООПТ было ограничено на основании документально подтвержденных данных Учреждения или Организации, в сутках;
Tm2 - средняя продолжительность туристского сезона за последние 3 года, определенная на основании документально подтвержденных данных Учреждения или Организации, в сутках.
6. Поправочный коэффициент по лимитирующему фактору экологического характера "риск затопления, подтопления" (Cfneco3) рассчитывается по формуле:

где:
Lm3л - средняя продолжительность периода затопления (подтопления) линейных туристских объектов (туристских маршрутов) <2>, определенная как среднее за последние 3 года значение продолжительности периода по указанному лимитирующему фактору экологического характера, когда линейный туристский объект (туристский маршрут) был недоступен для посещения, на основании документально подтвержденных данных Учреждения или Организации, в сутках;
--------------------------------
<2> Абзац пятый пункта 2 Правил расчета предельно допустимой рекреационной емкости особо охраняемых природных территорий федерального значения при осуществлении туризма, утвержденных постановлением Правительства Российской Федерации от 31.10.2023 N 1811 (далее - Правила расчета).
Lm3п - средняя продолжительность периода затопления (подтопления) площадных туристских объектов <3>, определенная как среднее за последние 3 года значение продолжительности периода по указанному лимитирующему фактору экологического характера, когда площадной туристский объект был недоступен для посещения, на основании документально подтвержденных данных Учреждения или Организации, в сутках;
--------------------------------
<3> Абзац восьмой пункта 2 Правил расчета.
Tm3 - средняя продолжительность туристского сезона за последние 3 года, определенная на основании документально подтвержденных данных Учреждения или Организации, в сутках.
7. Поправочный коэффициент по лимитирующему фактору экологического характера "развитие эрозионных процессов" (Cfneco4) рассчитывается по формуле:

где:
Lm4л - протяженность участков линейных туристских объектов (туристских маршрутов), подверженных эрозионным процессам, которые препятствуют использованию линейных туристских объектов (туристских маршрутов), определенная на основании документально подтвержденных данных Учреждения или Организации, в метрах;
Tm4л - общая протяженность линейных туристских объектов (туристских маршрутов) на основании документально подтвержденных данных Учреждения или Организации, в метрах;
Lm4п - площадь участков площадных туристских объектов, подверженных эрозионным процессам, которые препятствуют использованию площадных туристских объектов, определенная на основании документально подтвержденных данных Учреждения или Организации, в метрах квадратных;
Tm4п - общая площадь площадных туристских объектов, определенная на основании документально подтвержденных данных Учреждения или Организации, в метрах квадратных.
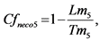
8. Поправочный коэффициент по лимитирующему фактору экологического характера "изменение состояния почвенного и растительного покрова" (Cfneco5) рассчитывается по формуле:

где:
Lm5 - суммарная площадь участков площадных туристских объектов, на которых за последние 3 года, предшествующие году проведения расчета предельно допустимой рекреационной емкости, выявлено существенное (не менее чем на 25%) снижение проективного покрытия растительных сообществ, увеличение площади участков, лишенных напочвенного покрова, уменьшение мощности поверхностного горизонта почв, разрушение местообитаний растений, животных и других организмов, определенные на основании документально подтвержденных данных Учреждения или Организации, в квадратных метрах;
Tm5 - общая площадь площадных туристских объектов, определенная на основании документально подтвержденных данных Учреждения или Организации, в квадратных метрах.
9. Поправочный коэффициент по лимитирующему фактору экологического характера "изменение состояния, снижение эстетических свойств ландшафтов" (Cfneco6) рассчитывается по формуле:

где:
Lm6ч - среднее количество таксонов (видов, подвидов, популяций) синантропных и инвазивных (чужеродных) объектов животного и растительного мира, выявленных на территории туристского объекта (включая водные объекты), за последние 3 года, предшествующие году проведения расчета предельно допустимой рекреационной емкости, на основании данных государственного экологического мониторинга (государственного мониторинга окружающей среды) <4>, в единицах;
--------------------------------
<4> Пункт 3 статьи 63.1 Федерального закона от 10.01.2002 N 7-ФЗ "Об охране окружающей среды".
Lm6м - среднее количество таксонов (видов, подвидов, популяций) местных объектов животного и растительного мира, исчезнувших с территории туристского объекта (включая водные объекты), за последние 3 года, предшествующие году проведения расчета предельно допустимой рекреационной емкости, на основании данных государственного экологического мониторинга (государственного мониторинга окружающей среды), в единицах;
Tm6 - общее количество таксонов (видов, подвидов, популяций) объектов животного и растительного мира, выявленных на территории туристского объекта, рассчитанное как среднее за последние 3 года, предшествующие году проведения расчета предельно допустимой рекреационной емкости, на основании данных государственного экологического мониторинга (государственного мониторинга окружающей среды), в единицах.
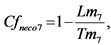
10. Поправочный коэффициент по лимитирующему фактору экологического характера "изменение состояния водных объектов" (Cfneco7) рассчитывается по формуле:

где:
Lm7 - количество проб воды, отобранных в водном объекте не ранее одного года, предшествующего году проведения расчета предельно допустимой рекреационной емкости, с содержанием загрязняющих веществ в водных объектах, превышающим значения показателей природных фоновых концентраций химических веществ в этом речном бассейне или его части, водном объекте или его части, в штуках;
Tm7 - общее количество проб воды, отобранных в водном объекте не ранее одного года, предшествующего году проведения расчета предельно допустимой рекреационной емкости, в границах туристского объекта, в штуках.
Расчет проводится только в отношении поверхностных водных объектов.
В случае, если в ста процентах отобранных проб выявлено превышение фоновых показателей концентрации химических веществ, то поправочный коэффициент по лимитирующему фактору экологического характера "изменение состояния водных объектов" применяется равным 0,1.
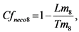
11. Поправочный коэффициент по лимитирующему фактору экологического характера "воздействие на объекты животного и растительного мира" (Cfneco8) рассчитывается по формуле:

где:
Lm8 - среднее количество таксонов (видов, подвидов, популяций) объектов животного и растительного мира, включая редкие и находящиеся под угрозой исчезновения, обитающих или произрастающих на территории туристского объекта, численность которых снизилась за последние 3 года, предшествующие году проведения расчета предельно допустимой рекреационной емкости, на основании данных государственного экологического мониторинга (государственного мониторинга окружающей среды), в единицах;
Tm8 - общее количество таксонов (видов, подвидов, популяций) объектов животного и растительного мира, включая редкие и находящиеся под угрозой исчезновения, обитающих или произрастающих на территории туристского объекта, рассчитанное как среднее за последние 3 года, предшествующие году проведения расчета предельно допустимой рекреационной емкости, на основании данных государственного экологического мониторинга (государственного мониторинга окружающей среды), в единицах.
12. Для расчета поправочных коэффициентов экологического характера Учреждение или Организация определяют перечень лимитирующих факторов экологического характера, отражающий специфику организации туризма на конкретной ООПТ.
Для ООПТ, со дня создания которых прошло менее трех лет, значения поправочных коэффициентов, указанных в пунктах 4 - 11 настоящей методики, применяется равным 0,9.
Для ООПТ, со дня создания которых прошло более трех лет и у которых отсутствуют данные для расчета поправочных коэффициентов, указанных в пунктах 4 - 11 настоящей методики, значения поправочных коэффициентов, указанных в пунктах 4 - 11 настоящей методики, применяется равным 0,8.
13. Поправочный коэффициент социального характера (Cfsoc) рассчитывается по формуле:

где:
Cfn - поправочный коэффициент по лимитирующему фактору социального характера, в долях от единицы.
14. Поправочные коэффициенты рассчитываются по следующим лимитирующим факторам социального характера:
1) соответствие ожиданий полученному опыту и общая удовлетворенность путешествием (Cfудв);
2) качество услуг и инфраструктуры (Cfусл.инфр);
3) отношение к управленческим действиям (Cfупр. действ);
4) плотность социальных контактов (Cfsoc).
15. Поправочный коэффициент по лимитирующему фактору социального характера "соответствие ожиданий полученному опыту и общая удовлетворенность путешествием" (CfУдв) рассчитываются по формуле:

где:
Lm9 - количество опрошенных посетителей, которые посетили в качестве туристов ООПТ, для которых полученный опыт и общая удовлетворенность путешествием не соответствуют ожиданиям, в количестве человек;
Tm9 - общее количество опрошенных посетителей, которые посетили в качестве туристов ООПТ, в количестве человек.
16. Поправочный коэффициент по лимитирующему фактору социального характера "качество услуг и инфраструктуры" (Cfусл.инфр) рассчитываются по формуле:

где:
Lm10 - количество опрошенных посетителей, которые посетили в качестве туристов ООПТ, для которых качество услуг и инфраструктуры не соответствуют ожиданиям, в количестве человек;
Tm10 - общее количество опрошенных посетителей, которые посетили в качестве туристов ООПТ, в количестве человек.
17. Поправочный коэффициент по лимитирующему фактору социального характера "отношение к управленческим действиям" (Cfупр.действ) рассчитывается по формуле:

где:
Lm11 - количество опрошенных посетителей, которые посетили в качестве туристов ООПТ, для которых управленческие действия Учреждения или Организации не соответствуют ожиданиям, в количестве человек;
Tm11 - общее количество опрошенных посетителей, которые посетили в качестве туристов ООПТ, в количестве человек.
18. Поправочный коэффициент по лимитирующему фактору социального характера "плотность социальных контактов" (Cfsoc) рассчитываются по формуле:

где:
Lm12 - количество опрошенных посетителей, которые посетили в качестве туристов ООПТ, для которых плотность социальных контактов не соответствовала ожиданиям, в количестве человек;
Tm12 - общее количество опрошенных посетителей, которые посетили в качестве туристов ООПТ, в количестве человек.
19. В качестве источников данных для расчета поправочных коэффициентов по лимитирующим факторам социального характера используются данные результатов опросов посетителей, которые посетили в качестве туристов ООПТ, проведенных Учреждением или Организацией не ранее одного года, предшествующего году проведения расчета предельно допустимой рекреационной емкости.
В качестве источников данных используются данные результатов опросов, проведенных не менее чем среди десяти процентов от общего количества посетителей, которые посетили в качестве туристов ООПТ (если количество посетителей за предыдущий календарный год превышает десять тысяч человек, допускается использовать данные результатов опросов, проведенных среди не менее тысячи посетителей), которые должны быть документально подтверждены Учреждением или Организацией.
Для ООПТ, со дня создания которых прошло меньше года, а также если количество посетителей, которые посетили в качестве туристов ООПТ, за предыдущий календарный год не превышает одну тысячу человек, поправочный коэффициент социального характера применяется равным 1.
Для ООПТ, со дня создания которых прошло больше года, в отношении которых опросы Учреждением или Организацией не проводились, коэффициент социального характера применяется равным 0,9.
20. Поправочный коэффициент социально-экономического характера (Cfsocec), включающий лимитирующий фактор "влияние туризма на ООПТ на социально-экономическую обстановку в регионе", рассчитывается по формуле:

где:
Nразрешений - количество разрешений, выданных на посещение ООПТ, по состоянию на 31 декабря года, предшествующего году проведения расчета предельно допустимой рекреационной емкости, на основании документально подтвержденных данных Учреждения или Организации, в штуках;
Nсреднее_разрешений - среднее за последние 3 года, предшествующие году проведения расчета предельно допустимой рекреационной емкости, количество разрешений, выданных на посещение ООПТ, на основании документально подтвержденных данных Учреждения или Организации, в штуках.
21. Для ООПТ, со дня создания которых прошло меньше года, поправочный коэффициент социально-экономического характера применяется равным 1.
22. Поправочный коэффициент социокультурного характера (Cfsoccult) рассчитывается по формуле:
Cfsoccult = Cfsoccult1 x Cfsoccult2,
где:
Cfsoccult1 - поправочный коэффициент по лимитирующему фактору социокультурного характера "влияние туризма на местную социокультурную среду", в долях от единицы;
Cfsoccult2 - поправочный коэффициент по лимитирующему фактору социокультурного характера "показатели гостеприимства и толерантности местного населения в отношении туристов", в долях от единицы.
23. Поправочный коэффициент по лимитирующему фактору социокультурного характера "влияние туризма на местную социокультурную среду" (Cfsoccult1) рассчитываются по формуле:

где:
Lm13 - количество обращений граждан, проживающих в населенных пунктах в границах ООПТ или в непосредственной близости от них (до 3 км), в которых выражается недовольство влиянием туризма на местную социокультурную среду и наличием туризма на территории, в штуках;
Tm13 - общее количество обращений граждан, проживающих в населенных пунктах в границах ООПТ или в непосредственной близости от них (до 3 км), в штуках.
24. В качестве источников данных для расчета поправочных коэффициентов по лимитирующему фактору социокультурного характера "влияние туризма на местную социокультурную среду" используются данные обращений граждан, проживающих в населенных пунктах в границах ООПТ или в непосредственной близости от них (до 3 км), которые поступили в Учреждение или Организацию в течение одного года, предшествующего году расчета предельно допустимой рекреационной емкости.
25. Поправочный коэффициент по лимитирующему фактору социокультурного характера "показатели гостеприимства и толерантности местного населения в отношении туристов" (Cfsoccult2) рассчитываются по формуле:

где:
Lm14 - количество обращений посетителей, которые посетили в качестве туристов ООПТ, в которых выражается недовольство качеством оказанных туристских услуг, гостеприимством и толерантностью местного населения, в штуках;
Tm14 - общее количество обращений посетителей, которые посетили в качестве туристов ООПТ, в штуках.
26. В качестве источников данных для расчета поправочного коэффициента по лимитирующему фактору социокультурного характера "показатели гостеприимства и толерантности местного населения в отношении туристов" используются данные обращений посетителей, которые посетили в качестве туристов ООПТ, которые поступили в Учреждение или Организацию в течение одного года, предшествующего году проведения расчета предельно допустимой рекреационной емкости.
27. Расчет поправочного коэффициента социокультурного характера проводится для тех ООПТ, в составе которых или в непосредственной близости от них (до 3 км) находятся населенные пункты. Для остальных ООПТ он применяется равным 1.
Приложение N 3
к приказу Министерства
природных ресурсов и экологии
Российской Федерации
от 8 декабря 2025 г. N 688
МЕТОДИКА
ОПРЕДЕЛЕНИЯ ПЛОЩАДИ ТУРИСТСКОГО ОБЪЕКТА, НЕОБХОДИМОЙ
ДЛЯ ОДНОГО ПОСЕТИТЕЛЯ ПРИ ОСУЩЕСТВЛЕНИИ ТУРИЗМА
1. Настоящая методика применяется федеральными государственными бюджетными учреждениями (далее - Учреждение) или иными государственными организациями (далее - Организация) в отношении особо охраняемых природных территорий федерального значения, управление которыми они осуществляют, либо их отдельных частей (далее - ООПТ) для определения площади туристского объекта, необходимой для одного посетителя при осуществлении туризма.
2. Площадь туристского объекта, необходимая для одного посетителя при осуществлении туризма (Au), в квадратных метрах, рассчитывается по формуле:

где:
An - норма площади туристского объекта, необходимой для одного посетителя при осуществлении туризма (в квадратных метрах), в соответствии с таблицами N 1 - 3 к настоящей методике;
Iz - зональный коэффициент, в долях от единицы, в соответствии с таблицей N 4 к настоящей методике;
Is - сезонный коэффициент, в долях от единицы, в соответствии с таблицей N 5 к настоящей методике.
3. Минимальные значения норм площади туристского объекта, необходимой для одного посетителя при осуществлении туризма, для разных туристских объектов, приведены в таблице N 1 к настоящей методике.
Таблица N 1
Туристский объект
Минимальные значения норм площади туристского объекта, необходимой для одного посетителя при осуществлении туризма, м2
1. Музеи, визит-центры с художественными экспозициями и мемориальные музейные комплексы
10
2. Музеи, визит-центры с интерактивными и мультимедийными зонами
7
3. Музеи, визит-центры с контекстными экспозициями коллекционно-павильонного типа
3
4. Кордоны и научные стационары
3
5. Гостиницы и иные средства размещения <1>:
для одноместного номера категорий средств размещения "одна звезда", "две звезды"
9
для одноместного номера категорий средств размещения "три звезды", "четыре звезды"
12
для одноместного номера категории средств размещения "пять звезд"
14
для двухместного номера категорий средств размещения "одна звезда", "две звезды"
12
для двухместного номера категорий средств размещения "три звезды", "четыре звезды"
15
для двухместного номера категории средств размещения "пять звезд"
16
для многоместных номеров (от 3 до 8 человек) категорий средств размещения "одна звезда", "две звезды"
6 (на каждого проживающего)
6. Оборудованные места ночлега в палаточных городках
4
7. Детские площадки для игр и отдыха
100
8. Зона массовых мероприятий
100
9. Зона культурно-просветительских мероприятий, оздоровительных мероприятий, активного отдыха в рекреационной зоне и зоне хозяйственного назначения национальных парков
100
10. Участки частичного хозяйственного использования государственных природных заповедников, биосферные полигоны государственных природных биосферных заповедников, рекреационная зона и зона хозяйственного назначения национальных парков, особо охраняемых природных территорий федерального значения других категорий, не оборудованные специальными настилами, в природных комплексах и объектах, в том числе в лесах
15000
11. Участки частичного хозяйственного использования государственных природных заповедников, биосферные полигоны государственных природных биосферных заповедников, участки рекреационной зоны и зоны хозяйственного назначения национальных парков, особо охраняемых природных территорий федерального значения других категорий, не оборудованные специальными настилами, в природных комплексах и объектах, находящихся в границах центральной экологической зоны Байкальской природной территории
20000
12. Необорудованная прибрежная защитная полоса водных объектов
5000
13. Оборудованные галечные пляжи
4 (пляжной полосы)
14. Оборудованные песчаные пляжи
9 (пляжной полосы)
--------------------------------
<1> Приложение N 2 к Положению о классификации средств размещения, утвержденному постановлением Правительства Российской Федерации от 27.12.2024 N 1951. Срок действия ограничен до 01.01.2031.
4. Если государственный кадастр особо охраняемых природных территорий содержит сведения о природных зонах и подзонах или такие сведения получены в результате комплексных экологических исследований на ООПТ, то для определения площади туристского объекта используются нормы площади туристского объекта, не оборудованного специальными настилами, необходимой для одного посетителя при осуществлении туризма в различных зонах и подзонах, представленные в таблице N 2 к настоящей методике.
Таблица N 2
Зона (подзона)
Нормы площади туристского объекта, не оборудованного специальными настилами, необходимой для одного посетителя при осуществлении туризма, м2
Полярные пустыни, тундры
50000
Лесотундра
30000
Северная тайга
25000
Средняя тайга
20000
Южная тайга
15000
Смешанные (хвойно-широколиственные) леса
15000
Широколиственные леса
20000
Лесостепь
17000
Степи и полупустыни
25000
Подвижные дюны
50000
Полузакрепленные и неподвижные дюны
30000
5. В случае, если для природных комплексов в местах посещения выполнены работы по таксации леса, применяются нормы площади туристского объекта, не оборудованного специальными настилами, необходимой для одного посетителя при осуществлении туризма, представленные в таблице N 3 к настоящей методике.
Таблица N 3
Леса
Нормы площади туристского объекта, не оборудованного специальными настилами, необходимой для одного посетителя при осуществлении туризма (м2)
Молодняки
Средневозрастные леса
Старовозрастные леса
Дренированные почвы
избыточно увлажненные почвы
дренированные почвы
избыточно увлажненные почвы
дренированные почвы
избыточно увлажненные почвы
Сосновые леса, лиственничные леса, кедровые леса:
на сухих, свежих, влажных почвах
(лишайниковые, вересковые, брусничные, орляковые, кисличные, черничные)
20000
-
15000
-
18000
-
на сырых и мокрых почвах
(долгомошные, багульниковые, приручейно-травяные, сфагновые)
-
25000
-
20000
-
22000
Еловые леса, пихтовые леса:
на свежих и влажных почвах
(брусничные, мшистые, кисличные, черничные, орляковые, снытьевые)
20000
-
15000
-
18000
-
на сырых и мокрых почвах
(долгомошные, папоротниковые, приручейно-травяные, сфагновые)
-
22000
-
18000
-
20000
Березовые леса:
на сухих, свежих и влажных почвах
(лишайниковые, вересковые, брусничные, мшистые, орляковые, кисличные, черничные, снытьевые)
17000
-
12000
-
15000
-
на сырых и мокрых почвах
(крапивные, долгомошные, папоротниковые, приручейно-травяные, осоковые, осоково-сфагновые)
-
20000
-
13000
-
15000
Дубовые леса, грабовые леса, буковые леса, в том числе с кленом остролистным, ясенем:
на свежих и влажных почвах
(орляковые, кисличные, снытьевые, черничные, пойменные)
20000
-
15000
-
18000
-
на сырых почвах
(крапивные, злаковые, папоротниковые)
-
25000
-
18000
-
20000
Липовые леса, в том числе с вязом:
на свежих и влажных почвах
(ландышевые, снытьевые, звездчатковые, осоковые, злаковые, щитовниковые, купеновые, чистотеловые)
20000
-
15000
-
16000
-
на сырых почвах
(крапивные, злаковые, папоротниковые)
-
-
-
20000
-
-
Осиновые леса, ивняки, тополевые леса
18000
-
10000
-
15000
-
Леса с ольхой черной
-
17000
-
12500
-
14000
Леса с ольхой серой
10000
14000
7000
14000
10000
12500
Таблица N 4
Функциональная зона или участок особо охраняемой природной территории федерального значения
Значения зонального коэффициента
Государственный природный заповедник, в том числе биосферный: участок, на котором исключается всякое вмешательство человека в природные процессы
0
Государственный природный заповедник, в том числе биосферный: участок частичного хозяйственного использования, биосферный полигон
2
Национальный парк: заповедная зона
0
Национальный парк: особо охраняемая зона
2
Национальный парк: рекреационная зона, зона охраны объектов культурного наследия (памятников истории и культуры) народов Российской Федерации, зона хозяйственного назначения, зона традиционного экстенсивного природопользования
1
Иные категории особо охраняемых природных территорий федерального значения
1
Таблица N 5
Категория особо охраняемой природной территории федерального значения, на которой расположен туристский объект
Значения сезонного коэффициента
Государственный природный заповедник, в том числе биосферный: участок, на котором исключается всякое вмешательство человека в природные процессы (все сезоны года)
0
Государственный природный заповедник, в том числе биосферный: участок частичного хозяйственного использования, биосферный полигон (весна)
2
Государственный природный заповедник, в том числе биосферный: участок частичного хозяйственного использования, биосферный полигон (лето, осень)
1,5
Государственный природный заповедник, в том числе биосферный: участок частичного хозяйственного использования, биосферный полигон (зима)
1
Национальный парк: заповедная зона (все сезоны)
0
Национальный парк: особо охраняемая зона (весна)
2
Национальный парк: особо охраняемая зона (лето, осень)
1,5
Национальный парк: особо охраняемая зона (зима)
1
Национальный парк: рекреационная зона, зона охраны объектов культурного наследия (памятников истории и культуры) народов Российской Федерации, зона хозяйственного назначения, зона традиционного экстенсивного природопользования (все сезоны)
1
Иные категории особо охраняемых природных территорий федерального значения (все сезоны)
1