Приказ ФСТ России от 30.03.2012 N 228-э
ФЕДЕРАЛЬНАЯ СЛУЖБА ПО ТАРИФАМ
ПРИКАЗ
от 30 марта 2012 г. N 228-э
ОБ УТВЕРЖДЕНИИ МЕТОДИЧЕСКИХ УКАЗАНИЙ
ПО РЕГУЛИРОВАНИЮ ТАРИФОВ С ПРИМЕНЕНИЕМ МЕТОДА ДОХОДНОСТИ
ИНВЕСТИРОВАННОГО КАПИТАЛА
В соответствии с Федеральным законом от 26 марта 2003 г. N 35-ФЗ "Об электроэнергетике" (Собрание законодательства Российской Федерации, 2003, N 13, ст. 1177; 2004, N 35, ст. 3607; 2005, N 1 (часть I), ст. 37; 2006, N 52 (часть I), ст. 5498; 2007, N 45, ст. 5427; 2008, N 29 (часть I), ст. 3418; N 52 (часть I), ст. 6236; 2009, N 48, ст. 5711; 2010, N 11, ст. 1175; N 31, ст. 4156; N 31, ст. 4157; N 31, ст. 4158; N 31, ст. 4160; 2011, N 1, ст. 13; N 7, ст. 905; N 11, ст. 1502; N 23, ст. 3263; N 30 (часть I), ст. 4590; N 30 (часть I), ст. 4596; N 50, ст. 7336; N 50, ст. 7343), постановлением Правительства Российской Федерации от 29 декабря 2011 г. N 1178 "О ценообразовании в области регулируемых цен (тарифов) в электроэнергетике" (Собрание законодательства Российской Федерации, 2012, N 4, ст. 504), на основании Положения о Федеральной службе по тарифам, утвержденного постановлением Правительства Российской Федерации от 30 июня 2004 г. N 332 (Собрание законодательства Российской Федерации, 2004, N 29, ст. 3049; 2006, N 3, ст. 301; N 23, ст. 2522; N 48, ст. 5032; N 50, ст. 5354; 2007, N 16, ст. 1912; N 25, ст. 3039; N 32, ст. 4145; 2008, N 7, ст. 597; N 17, ст. 1897; N 23, ст. 2719; N 38, ст. 4309; N 46, ст. 5337; 2009, N 1, ст. 142; N 3, ст. 378; N 6, ст. 738; N 9, ст. 1119; N 18 (часть II), ст. 2249; N 33, ст. 4086; 2010, N 9, ст. 960; N 13, ст. 1514; N 25, ст. 3169; N 26, ст. 3350; N 30, ст. 4096; N 45, ст. 5851; 2011, N 14, ст. 1935; N 32, ст. 4831; N 42, ст. 5925), приказываю:
1. Утвердить прилагаемые Методические указания по регулированию тарифов с применением метода доходности инвестированного капитала.
2. Признать утратившими силу приказы ФСТ России:
- от 26.06.2008 N 231-э "Об утверждении Методических указаний по регулированию тарифов организаций, оказывающих услуги по передаче электрической энергии, с применением метода доходности инвестированного капитала" (зарегистрировано Минюстом России 07.07.2008, регистрационный N 11931);
- абзац утратил силу с 1 января 2014 года. - Приказ ФСТ России от 13.06.2013 N 760-э;
- от 30.11.2010 N 366-э/6 "О внесении изменений в Методические указания по регулированию тарифов с применением метода доходности инвестированного капитала, утвержденные приказом ФСТ России от 26.06.2008 N 231-э" (зарегистрировано Минюстом России 17.12.2010, регистрационный N 19229);
- от 21.06.2011 N 158-э/9 "О внесении изменений в Методические указания по регулированию тарифов организаций, оказывающих услуги по передаче электрической энергии, с применением метода доходности инвестированного капитала, утвержденные приказом ФСТ России от 26 июня 2008 N 231-э" (зарегистрировано Минюстом России 01.07.2011, регистрационный N 21231).
3. Настоящий приказ вступает в силу в установленном порядке.
Руководитель
Федеральной службы по тарифам
С.НОВИКОВ
Приложение
к приказу ФСТ России
от 30 марта 2012 г. N 228-э
МЕТОДИЧЕСКИЕ УКАЗАНИЯ
ПО РЕГУЛИРОВАНИЮ ТАРИФОВ С ПРИМЕНЕНИЕМ МЕТОДА ДОХОДНОСТИ
ИНВЕСТИРОВАННОГО КАПИТАЛА
I. Общие положения
1. Настоящие Методические указания по регулированию тарифов с применением метода доходности инвестированного капитала (далее - Методические указания) разработаны в соответствии с Федеральным законом от 26 марта 2003 г. N 35-ФЗ "Об электроэнергетике" (Собрание законодательства Российской Федерации, 2003, N 13, ст. 1177; 2004, N 35, ст. 3607; 2005, N 1 (часть I), ст. 37; 2006, N 52 (часть I), ст. 5498; 2007, N 45, ст. 5427; 2008, N 29 (часть I), ст. 3418; N 52 (часть I), ст. 6236; 2009, N 48, ст. 5711; 2010, N 11, ст. 1175; N 31, ст. 4156; N 31, ст. 4157; N 31, ст. 4158; N 31, ст. 4160; 2011, N 1, ст. 13; N 7, ст. 905; N 11, ст. 1502; N 23, ст. 3263; N 30 (часть I), ст. 4590; N 30 (часть I), ст. 4596; N 50, ст. 7336; N 50, ст. 7343), Основами ценообразования в области регулируемых цен (тарифов) в электроэнергетике (далее - Основы ценообразования) и Правилами государственного регулирования (пересмотра, применения) цен (тарифов) в электроэнергетике (далее - Правила регулирования), утвержденными постановлением Правительства Российской Федерации от 29 декабря 2011 г. N 1178 (Собрание законодательства Российской Федерации, 2012, N 4, ст. 504).
2. Методические указания предназначены для использования федеральным органом исполнительной власти в области регулирования тарифов и органами исполнительной власти субъектов Российской Федерации в области государственного регулирования тарифов (далее - регулирующие органы), а также организациями, осуществляющими регулируемые виды деятельности в сфере электроэнергетики (за исключением деятельности по производству тепловой энергии в режиме комбинированной выработки электрической и тепловой энергии) (далее - регулируемые организации), для расчета тарифов методом доходности инвестированного капитала.
3. Методические указания определяют порядок формирования необходимой валовой выручки, принимаемой к расчету при установлении тарифов, и включают в себя правила расчета нормы доходности инвестированного капитала, правила определения стоимости активов и размера инвестированного капитала и ведения их учета и правила определения долгосрочных параметров регулирования.
4. Расчет тарифов осуществляется исходя из указанной необходимой валовой выручки, установленной согласно Методическим указаниям, в соответствии с методическими указаниями по расчету тарифов для соответствующего вида деятельности, утверждаемыми Федеральной антимонопольной службой в соответствии с пунктами 80, 81 Основ ценообразования.
5. При применении метода доходности инвестированного капитала тарифы (необходимая валовая выручка) устанавливаются на основе долгосрочных параметров регулирования (далее - долгосрочные тарифы, долгосрочная НВВ), отдельно на каждый расчетный период регулирования в течение этого периода. Долгосрочные тарифы (долгосрочная НВВ) ежегодно корректируются в порядке, предусмотренном Методическими указаниями.
6. Понятия, используемые в Методических указаниях, соответствуют определениям, данным в Федеральном законе от 26 марта 2003 г. N 35-ФЗ "Об электроэнергетике" и Основах ценообразования.
II. Необходимая валовая выручка, принимаемая к расчету
при установлении тарифов
7. При расчете тарифов методом доходности инвестированного капитала необходимая валовая выручка, принимаемая к расчету при установлении тарифов, определяется в следующей последовательности.
Расчет необходимой валовой выручки на долгосрочный период регулирования осуществляется на основе следующих долгосрочных параметров регулирования:
1) базовый уровень операционных расходов;
2) индекс эффективности операционных расходов;
3) размер инвестированного капитала;
4) чистый оборотный капитал;
5) норма доходности инвестированного капитала;
6) срок возврата инвестированного капитала;
7) коэффициент эластичности подконтрольных операционных расходов по количеству активов, определяемый в соответствии с Методическими указаниями;
8) уровень потерь электрической энергии при ее передаче по электрическим сетям, определяемый в соответствии с пунктом 40(1) Основ ценообразования;
9) уровень надежности и качества реализуемых товаров (услуг), устанавливаемый в соответствии с Основами ценообразования.
Размер инвестированного капитала устанавливается регулирующими органами при переходе к регулированию тарифов с применением метода доходности инвестированного капитала с учетом результатов независимой оценки стоимости активов регулируемой организации.
Норма доходности инвестированного капитала учитывает норму доходности на капитал, инвестированный до перехода к установлению тарифов методом доходности инвестированного капитала.
Перед началом долгосрочного периода регулирования определяются планируемые значения параметров расчета тарифов:
1) индекс потребительских цен, определенный в соответствии с прогнозом социально-экономического развития Российской Федерации. В отсутствие одобренного прогноза социально-экономического развития Российской Федерации на очередной год долгосрочного периода регулирования применяется значение индекса потребительских цен, соответствующее последнему году периода, на который был одобрен указанный прогноз;
2) размер активов (в отношении услуг по передаче электрической энергии - условных единиц, относящихся к активам, необходимым для осуществления регулируемой деятельности), определяемый регулирующими органами;
3) расходы, включаемые в необходимую валовую выручку в фактическом объеме не относящиеся к операционным расходам (неподконтрольные расходы), определяемые регулирующими органами в соответствии с Методическими указаниями;
4) величина полезного отпуска электрической энергии;
5) величина мощности, в пределах которой сетевая организация принимает на себя обязательства обеспечить передачу электрической энергии потребителям услуг в соответствии с Правилами недискриминационного доступа к услугам по передаче электрической энергии и оказания этих услуг, утвержденными постановлением Правительства Российской Федерации от 27 декабря 2004 г. N 861 (Собрание законодательства Российской Федерации, 2004, N 52 (часть II), ст. 5525; 2006, N 37, ст. 3876; 2007, N 14, ст. 1687; N 31, ст. 4100; 2009, N 9, ст. 1103; N 8, ст. 979; N 17, ст. 2088; N 25, ст. 3073; N 41, ст. 4771; 2010, N 12, ст. 1333; N 21, ст. 2607; N 25, ст. 3175; N 40, ст. 5086; 2011, N 10, ст. 1406; 2012, N 4, ст. 504) (далее - величина мощности);
6) цена (тариф) покупки электрической энергии (мощности) в целях компенсации потерь.
При определении планируемых значений параметров расчета тарифов учитываются также следующие показатели:
1) расходы, предусмотренные утвержденным в соответствии с Правилами утверждения инвестиционных программ субъектов электроэнергетики, утвержденными постановлением Правительства Российской Федерации от 1 декабря 2009 г. N 977 (Собрание законодательства Российской Федерации, 2009, N 49 (часть II), ст. 5978; 2010, N 28, ст. 3702; 2012, N 4, ст. 504) (далее - Правила утверждения инвестиционных программ субъектов электроэнергетики), планом ввода объектов в эксплуатацию на период, соответствующий периоду установления долгосрочных тарифов;
2) величина технологического расхода (потерь) электрической энергии;
3) изменение необходимой валовой выручки, производимое в целях сглаживания роста тарифов, устанавливаемое регулирующими органами в соответствии с пунктом 37 Основ ценообразования.
Плановые значения полезного отпуска электрической энергии и величины мощности определяются регулирующими органами на предстоящий период регулирования в соответствии со сводным прогнозным балансом производства и поставок электрической энергии (мощности) в рамках Единой энергетической системы России по субъектам Российской Федерации (далее - прогнозный баланс), а на последующие периоды регулирования - в соответствии со схемами и программами перспективного развития электроэнергетики субъекта Российской Федерации, утвержденными согласно абзацу пятому пункта 1 статьи 21 Федерального закона от 26 марта 2003 г. N 35-ФЗ "Об электроэнергетике" (Собрание законодательства Российской Федерации, 2003, N 13, ст. 1177; 2022, N 24, ст. 3934).
Базовый уровень операционных расходов и величина технологического расхода (потерь) электрической энергии определяются в соответствии с пунктом 34 Основ ценообразования. Индекс эффективности определяется в соответствии с пунктом 33 Основ ценообразования.
7(1). В отношении территориальных сетевых организаций, указанных в пункте 38(4) Основ ценообразования, операционные расходы определяются с применением эталонов затрат территориальных сетевых организаций в соответствии с порядком, установленным пунктом 38(4) Основ ценообразования (далее - эталон затрат территориальной сетевой организации). При этом для расчета необходимой валовой выручки таких территориальных сетевых организаций на долгосрочный период регулирования не применяются (не устанавливаются) следующие долгосрочные параметры регулирования:
1) базовый уровень операционных расходов;
2) индекс эффективности операционных расходов;
3) коэффициент эластичности операционных расходов по количеству активов, определяемый в соответствии с Методическими указаниями.
8. На основе установленных долгосрочных параметров регулирования и планируемых значений параметров расчета тарифов, определяемых на долгосрочный период регулирования, регулирующие органы рассчитывают необходимую валовую выручку регулируемой организации отдельно на каждый год очередного долгосрочного периода регулирования, составляющий не менее пяти лет.
Необходимая валовая выручка в части содержания электрических сетей, определяемая при установлении тарифов на очередной долгосрочный период регулирования, рассчитывается по формуле:
,
где:
i - номер расчетного года долгосрочного периода регулирования, i = 1, 2, 3...
- необходимая валовая выручка в части содержания электрических сетей, определяемая при установлении долгосрочных тарифов на год i;
Рi - расходы, связанные с производством и реализацией продукции (услуг) по регулируемым видам деятельности, определяемые на год i в соответствии с пунктом 10 Методических указаний;
ВКi - возврат инвестированного капитала, определяемый на год i в соответствии с пунктами 29 - 33 Методических указаний;
ДКi - доход на инвестированный капитал, определяемый на год i в соответствии с пунктами 34 - 37 Методических указаний;
- экономия операционных расходов, учитываемая на год i очередного долгосрочного периода регулирования, определяемая в соответствии с пунктом 16 Методических указаний;
, di - соответственно экономия расходов на оплату потерь электрической энергии, полученная сетевой организацией при осуществлении деятельности по передаче электрической энергии в результате проведения мероприятий по сокращению объема используемых энергетических ресурсов, определяемая в соответствии с пунктом 34(2) или 34(3) Основ ценообразования, доля
, которая учитывается в составе необходимой валовой выручки в части содержания электрических сетей, определяемая регулирующим органом в диапазоне от 0 до 1;
- величина изменения необходимой валовой выручки, определяемого на год i, производимого в целях сглаживания тарифов в соответствии с пунктами 39 - 40 Методических указаний;
- учитываемая в году i величина исключаемых необоснованных доходов и расходов, выявленных в том числе по результатам проверки хозяйственной деятельности регулируемой организации, учитываемых экономически обоснованных расходов, не учтенных при установлении регулируемых цен (тарифов) на тот период регулирования, в котором они понесены, или доходов, недополученных при осуществлении регулируемой деятельности в этот период регулирования, а также результаты деятельности регулируемой организации за предыдущие годы до начала долгосрочного периода регулирования с применением метода доходности инвестированного капитала или до изменения метода регулирования согласно абзацу второму пункта 39 Основ ценообразования.
также включает в себя величину распределенных в целях сглаживания изменения тарифов в предыдущие периоды регулирования до 2025 года исключаемых экономически необоснованных доходов и расходов, выявленных в том числе по результатам проверки хозяйственной деятельности регулируемой организации, экономически обоснованных расходов, не учтенных при установлении регулируемых цен (тарифов) на тот период регулирования, в котором они понесены, или доходов, недополученных при осуществлении регулируемой деятельности в этот период регулирования, в том числе относящихся к предыдущему долгосрочному периоду регулирования.
Абзац утратил силу. - Приказ ФАС России от 10.12.2025 N 1066/25.
может принимать как положительные, так и отрицательные значения.
Абзац утратил силу. - Приказ ФАС России от 10.12.2025 N 1066/25.
9. Регулирующими органами ежегодно производится корректировка долгосрочных тарифов, осуществляемая на основе скорректированной необходимой валовой выручки, устанавливаемой на очередной финансовый год, с учетом отклонения фактических значений параметров расчета тарифов от планировавшихся значений параметров расчета тарифов, корректировки планируемых значений параметров расчета тарифов, величины изменения необходимой валовой выручки в целях сглаживания тарифов, исключаемых необоснованных доходов и расходов, выявленных в том числе по результатам проверки хозяйственной деятельности регулируемой организации, учитываемых экономически обоснованных расходов, не учтенных при установлении регулируемых цен (тарифов) на тот период регулирования, в котором они понесены, или доходов, недополученных при осуществлении регулируемой деятельности в этот период регулирования, а также результатов деятельности регулируемой организации за предыдущие годы до начала долгосрочного периода регулирования с применением метода доходности инвестированного капитала или до изменения метода регулирования согласно абзацу второму пункта 39 Основ ценообразования.
Корректировка может проводиться по итогам текущего года на основании фактических данных за истекший отчетный период текущего года.
Для целей корректировки по итогам истекшего периода текущего года фактические значения параметров расчета тарифов за текущий год принимаются равными прогнозным годовым значениям, определяемым регулирующим органом на основании фактических данных за истекший отчетный период текущего года.
Отклонения фактических значений параметров расчета тарифов за год от прогнозных годовых значений, учтенных регулирующим органом на основании фактических данных за истекший отчетный период текущего года, учитываются при корректировке необходимой валовой выручки в следующем году долгосрочного периода регулирования.
Скорректированная необходимая валовая выручка, определяемая при установлении тарифов на очередной год долгосрочного периода регулирования, рассчитывается в соответствии с пунктом 42 Методических указаний.
Абзацы шестой - четырнадцатый утратили силу. - Приказ ФАС России от 24.08.2017 N 1108/17.
Для целей Методических указаний объемы финансирования инвестиционной программы учитываются без налога на добавленную стоимость.
III. Расчет долгосрочной необходимой валовой выручки
10. Расходы, связанные с производством и реализацией продукции (услуг) по регулируемым видам деятельности, определяются перед началом долгосрочного периода регулирования и рассчитываются по формуле:
Рi = ОРi + НРi,
где:
i - номер расчетного года долгосрочного периода регулирования, i = 1, 2, 3...
Рi - расходы, связанные с производством и реализацией продукции (услуг) по регулируемым видам деятельности, определяемые на год i;
OPi - операционные расходы в году i, определяемые в соответствии с пунктами 11, 14 Методических указаний или в соответствии с пунктами 13(1) - 13(3) Методических указаний в случае применения эталонов затрат территориальных сетевых организаций;
НРi - расходы, включаемые в необходимую валовую выручку в объеме, определяемом регулирующими органами, не относящиеся к ОРi, в году i (неподконтрольные расходы).
11. Уровень операционных расходов, определяемый при установлении тарифов на очередной i период регулирования, рассчитывается по формуле:
,
Киндj = (1 - ИРj) x (1 + ИПЦj) x (1 + ИКАj),
где:
j - номер расчетного года долгосрочного периода регулирования, начиная с года, следующего за годом, на который установлен (пересмотрен) базовый уровень операционных расходов;
Киндj - коэффициент индексации на год j;
ОР0 - базовый уровень операционных расходов, установленный на долгосрочный период регулирования в соответствии с пунктами 14 и 15 Методических указаний. В случае пересмотра базового уровня операционных расходов по основаниям, установленным в абзаце восемнадцатом пункта 7, абзаце двадцатом пункта 12 Основ ценообразования, пункте 8 Правил регулирования, а также на основании поручений, содержащихся в актах Президента Российской Федерации, поручений и указаний Президента Российской Федерации, поручений, содержащихся в актах Правительства Российской Федерации и (или) протоколах заседаний Правительства Российской Федерации, поручений Председателя Правительства Российской Федерации, в качестве ОР0 принимается базовый уровень операционных расходов с учетом его пересмотра;
ИРj - индекс эффективности операционных расходов, установленный в процентах на год j;
ИПЦj - индекс потребительских цен, в соответствии с одобренным прогнозом социально-экономического развития Российской Федерации;
ИКАj - индекс изменения количества активов, рассчитанный в процентах на год j при расчете долгосрочных тарифов, определяемый в соответствии с пунктом 12 Методических указаний.
При определении операционных расходов (ОРi) должны учитываться положения абзацев пятнадцатого - двадцатого пункта 34 Основ ценообразования.
12. Индекс изменения количества активов применяется при установлении тарифов с целью учета зависимости операционных расходов от количества активов, необходимых для осуществления регулируемых видов деятельности. В отношении услуг по передаче электрической энергии индекс количества активов рассчитывается по формуле:
,
где:
УЕj УЕj-1 - среднегодовое (среднее за 12 месяцев) количество условных единиц, относящихся к активам и объектам электросетевого хозяйства, планируемым к эксплуатации в соответствующем году долгосрочного периода регулирования. При наличии известных фактических значений используется фактическое среднегодовое (среднее за 12 месяцев) количество условных единиц на соответствующий год долгосрочного периода регулирования, которое определяется с учетом фактического количества активов и объектов электросетевого хозяйства, участвующих в регулируемой деятельности, без учета месяца ввода в эксплуатацию. В отношении территориальных сетевых организаций, необходимая валовая выручка которых с учетом расходов на оплату потерь и оплату услуг других территориальных сетевых организаций за 3 последних периода регулирования превысила 10 процентов суммарной необходимой валовой выручки территориальных сетевых организаций, учтенной при установлении единых (котловых) тарифов на услуги по передаче электрической энергии, дополнительно учитывается среднегодовое (среднее за 12 месяцев) количество условных единиц, относящихся к активам и объектам электросетевого хозяйства, планируемым к вводу в соответствующем году долгосрочного периода регулирования в соответствии с долгосрочной инвестиционной программой, определяемое без учета месяца ввода в эксплуатацию. В случае если год j - 1 является первым (базовым) годом долгосрочного периода регулирования или годом, на который осуществлен пересмотр базового уровня операционных расходов, то в качестве показателя уеj-1 используется количество условных единиц, учтенных при установлении тарифов на услуги по передаче электрической энергии соответственно на первый (базовый) год или год, на который осуществлен пересмотр базового уровня операционных расходов;
Среднегодовое (среднее за 12 месяцев) количество условных единиц определяется как частное от деления суммы, полученной в результате сложения количества условных единиц на первое число каждого месяца регулируемого периода (финансового года) и последнее число регулируемого периода, на количество месяцев в году, увеличенное на единицу.
Кэл - коэффициент эластичности операционных расходов по количеству активов, необходимых для осуществления регулируемой деятельности, устанавливаемый регулирующим органом на долгосрочный период регулирования.
13. Коэффициент эластичности операционных расходов по количеству активов, необходимых для осуществления регулируемой деятельности, в отношении регулируемых организаций, осуществляющих передачу электрической энергии, устанавливается равным 0,75.
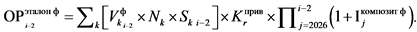
13(1). Для территориальных сетевых организаций, за исключением указанных в пункте 13(2) Методических указаний, операционные расходы, определяемые с применением эталонов затрат территориальных сетевых организаций и учитываемые при установлении тарифов на услуги по передаче электрической энергии
, рассчитываются по формуле:

где:
i - период регулирования;
j - год;
k - вид оборудования, к которому относятся объекты электросетевого хозяйства, принадлежащие территориальной сетевой организации на праве собственности или на ином законном основании и применяемые в сфере оказания услуг по передаче электрической энергии, вторичное оборудование, обеспечивающее функционирование и управление первичным (основным) электросетевым оборудованием, непосредственно участвующим в процессе передачи и распределения электрической энергии, а также приборы учета электрической энергии и иное оборудование, которые необходимы для выполнения в соответствии с пунктом 5 статьи 37 Федерального закона от 26 марта 2003 г. N 35-ФЗ "Об электроэнергетике" обязанностей по обеспечению коммерческого учета электрической энергии (мощности), в отношении которого утверждены значения эталонов затрат территориальных сетевых организаций в соответствии с приложением N 8 к Основам ценообразования;
r - субъект Российской Федерации;
Vk i _ среднегодовое (среднее за 12 месяцев) количество относящегося к виду k оборудования, планируемого к эксплуатации в соответствующем году i долгосрочного периода регулирования. При наличии известных фактических значений используется фактическое среднегодовое (среднее за 12 месяцев) количество относящегося к виду k оборудования, которое определяется с учетом фактического количества оборудования без учета месяца ввода в эксплуатацию. В отношении территориальных сетевых организаций, необходимая валовая выручка которых с учетом расходов на оплату потерь и оплату услуг других территориальных сетевых организаций за 3 последних периода регулирования превысила 10 процентов суммарной необходимой валовой выручки территориальных сетевых организаций, учтенной при установлении единых (котловых) тарифов на услуги по передаче электрической энергии, дополнительно учитывается среднегодовое (среднее за 12 месяцев) количество относящегося к виду k оборудования, планируемого к вводу в соответствующем году долгосрочного периода регулирования, в том числе в соответствии с долгосрочной инвестиционной программой, определяемое без учета месяца ввода в эксплуатацию.
Среднегодовое (среднее за 12 месяцев) количество относящегося к виду k оборудования определяется как частное от деления суммы, полученной в результате сложения количества относящегося к виду k оборудования на первое число каждого месяца регулируемого периода (финансового года) и последнее число регулируемого периода, на количество месяцев в году, увеличенное на единицу.
Nk - значение эталона затрат территориальных сетевых организаций в отношении относящегося к виду k оборудования, определяемое в соответствии с приложением N 8 к Основам ценообразования;
Sk i - коэффициент учета влияния сроков эксплуатации оборудования, определяемый ежегодно на год i в соответствии с приложением N 11 к Основам ценообразования в отношении каждого относящегося к виду k оборудования в зависимости от срока его эксплуатации;
Rr - региональный коэффициент, определяемый в соответствии с приложением N 9 к Основам ценообразования;
Mr - коэффициент распределения сетей территориальных сетевых организаций, определяемый в соответствии с приложением N 10 к Основам ценообразования.
При определении операционных расходов по формуле абзаца второго настоящего пункта в отношении территориальных сетевых организаций, у которых более 80 процентов количества условных единиц, относящихся к объектам электросетевого хозяйства, участвующих в регулируемой деятельности, расположено на территориях городских населенных пунктов в соответствии с данными первичного бухгалтерского учета, к значениям эталонов затрат территориальных сетевых организаций дополнительно применяется понижающий коэффициент 0,9 (за исключением территориальных сетевых организаций, осуществляющих регулируемую деятельность на территориях городов федерального значения).
При определении операционных расходов по формуле абзаца второго настоящего пункта в отношении территориальных сетевых организаций, оказывающих услуги по передаче электрической энергии на территории субъекта Российской Федерации, часть территории которого отнесена к районам Крайнего Севера и местностям, приравненным к районам Крайнего Севера, и на указанной части территории субъекта Российской Федерации расположено более 80 процентов общего количества условных единиц, относящихся к активам и объектам электросетевого хозяйства территориальной сетевой организации, участвующих в регулируемой деятельности, учитывается коэффициент 1,7, соответствующий уровню оплаты труда в районах Крайнего Севера и приравненных к ним местностях. Положения настоящего абзаца не применяются в случае отнесения всей территории субъекта Российской Федерации к районам Крайнего Севера и местностям, приравненным к районам Крайнего Севера.
13(2). Для территориальных сетевых организаций, являющихся единым хозяйствующим субъектом железнодорожного транспорта или дочерним (зависимым) обществом такого субъекта, которое владеет инфраструктурой железнодорожного транспорта общего пользования, или права акционера или собственника имущества которых осуществляют Российская Федерация в лице Министерства обороны Российской Федерации и (или) подведомственные Министерству обороны Российской Федерации организации, операционные расходы, определяемые с применением эталонов затрат территориальных сетевых организаций и учитываемые при установлении тарифов на услуги по передаче электрической энергии
, рассчитываются по формуле:

где:
- коэффициент приведения эталонов затрат, определяемый в соответствии с приложением N 12 к Основам ценообразования.
13(3). Для территориальных сетевых организаций, указанных в пунктах 13(1), 13(2) Методических указаний, величина операционных расходов, учитываемая в тарифах на услуги по передаче электрической энергии на 2026, 2027 годы (
,
), рассчитывается по формулам:


где:
,
- операционные расходы, определенные соответственно на 2026, 2027 годы с применением эталонов затрат территориальных сетевых организаций в соответствии с формулой абзаца второго пункта 13(1) Методических указаний или абзаца второго пункта 13(2) Методических указаний;
ОР2026, ОР2027 - операционные расходы, определенные соответственно на 2026, 2027 годы:
- с применением метода экономически обоснованных расходов (затрат) в случае если 2026 или 2027 год является первым годом долгосрочного периода регулирования территориальной сетевой организации;
- с применением метода экономически обоснованных расходов (затрат) на 2026 год с учетом индексации на индекс потребительских цен в соответствии с параметрами прогноза социально-экономического развития Российской Федерации и индекс изменения количества активов (без учета коэффициента эластичности операционных расходов) в случае если 2027 год является вторым годом долгосрочного периода регулирования территориальной сетевой организации;
- учтенных при установлении тарифов на услуги по передаче электрической энергии на 2025 год операционных расходов, проиндексированных на индексы потребительских цен в соответствии с параметрами прогноза социально-экономического развития Российской Федерации и индексы изменения количества активов (без учета коэффициента эластичности операционных расходов) в случае если 2026 год и 2027 год являются очередными годами долгосрочного периода регулирования территориальной сетевой организации.
14. Базовый уровень операционных расходов устанавливается на начало первого года долгосрочного периода регулирования регулирующими органами либо на начало очередного года долгосрочного периода регулирования с учетом его пересмотра по основаниям, установленным в абзаце восемнадцатом пункта 7, абзаце двадцатом пункта 12 Основ ценообразования, пункте 8 Правил регулирования, а также на основании поручений, содержащихся в актах Президента Российской Федерации, поручений и указаний Президента Российской Федерации, поручений, содержащихся в актах Правительства Российской Федерации и (или) протоколах заседаний Правительства Российской Федерации, поручений Председателя Правительства Российской Федерации. Базовый уровень операционных расходов рассчитывается с использованием метода экономически обоснованных расходов (затрат) при соблюдении положений, установленных в абзацах пятнадцатом - двадцатом пункта 34 Основ ценообразования. При установлении базового уровня операционных расходов учитываются результаты анализа обоснованности расходов регулируемой организации, понесенных в долгосрочном периоде регулирования, предшествующем очередному расчетному периоду регулирования, и результаты проведения контрольных мероприятий.
15. При расчете базового уровня операционных расходов, связанных с передачей электрической энергии, учитываются следующие статьи затрат:
1) сырье и материалы, определяемые в соответствии с пунктом 24 Основ ценообразования;
2) ремонт основных средств, определяемый на основе пункта 25 Основ ценообразования;
3) оплата труда, определяемая на основе пункта 26 Основ ценообразования;
4) другие расходы, связанные с производством и реализацией продукции (услуг) по регулируемым видам деятельности, в соответствии с Основами ценообразования.
В операционные расходы не включаются амортизация производственного оборудования, расходы на обслуживание заемных средств, расходы на аренду имущества, используемого для осуществления регулируемой деятельности, расходы на оплату услуг, оказываемых организациями, осуществляющими регулируемые виды деятельности в сфере электроэнергетики, расходы на оплату потерь, лизинговые платежи, налоги и сборы, предусмотренные законодательством Российской Федерации о налогах и сборах.
В состав операционных расходов включаются расходы, необходимые для исполнения предусмотренных пунктом 5 статьи 37 Федерального закона от 26 марта 2003 г. N 35-ФЗ "Об электроэнергетике" обязанностей сетевой организации по обеспечению коммерческого учета электрической энергии (мощности), не относящиеся к капитальным вложениям, а также величина расходов, связанных с исполнением Указа Президента Российской Федерации от 30 марта 2022 г. N 166 "О мерах по обеспечению технологической независимости и безопасности критической информационной инфраструктуры Российской Федерации" (далее - Указ) и требований принятых в соответствии с Указом нормативных правовых актов Правительства Российской Федерации, не относящихся к капитальным вложениям.
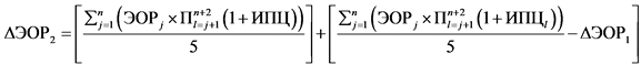
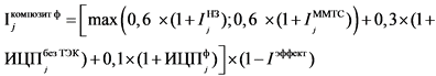
16. Экономия операционных расходов, достигнутая организацией, осуществляющей регулируемую деятельность, в каждом году j долгосрочного периода регулирования, в том числе в результате проведения мероприятий по сокращению объема используемых энергетических ресурсов, учитывается при установлении необходимой валовой выручки на очередной долгосрочный период регулирования в течение 5 лет и определяется по следующим формулам:
для первого года очередного долгосрочного периода регулирования:

где:
j - год, относящийся к предыдущему долгосрочному периоду регулирования, в котором была достигнута экономия операционных расходов;
n - последний год предыдущего долгосрочного периода регулирования;
ЭОРj - экономия операционных расходов, достигнутая организацией, осуществляющей регулируемую деятельность в году j предыдущего долгосрочного периода регулирования (может принимать только положительные значения);
ИПЦl - фактические (плановые) значения индекса потребительских цен в году l;
для второго года очередного долгосрочного периода регулирования:

для последующих годов очередного долгосрочного периода регулирования:

где:
i - номер расчетного года очередного долгосрочного периода регулирования, i = 2, 3, 4, 5.
17. Индекс эффективности операционных расходов территориальных сетевых организаций устанавливается на долгосрочный период регулирования в соответствии с пунктом 33 Основ ценообразования.
Абзац утратил силу. - Приказ ФАС России от 20.07.2023 N 485/23.
В случае если при установлении тарифов с применением метода доходности инвестированного капитала рост базового уровня операционных расходов организации на единицу количества активов, необходимых для осуществления регулируемой деятельности, по отношению к уровню аналогичных расходов, рассчитанных на единицу количества активов на основании данных, принятых при установлении тарифов на год, предшествующий году перехода к регулированию тарифов методом доходности инвестированного капитала, более чем в 2 раза превысил прогнозный индекс потребительских цен на 1-й год долгосрочного периода регулирования, в течение 1-го долгосрочного периода регулирования начиная с 2012 года индекс эффективности операционных расходов для такой организации устанавливается регулирующими органами в размере 3 процентов на соответствующий долгосрочный период регулирования.
18. Регулируемая организация в составе предложений по установлению тарифов, формируемых в соответствии с Правилами регулирования, направляет в регулирующие органы предложения по установлению базового уровня операционных расходов на очередной долгосрочный период регулирования. Предложения направляются с приложением перечня расходов, необходимых для осуществления регулируемой деятельности (приложения 1 - 3 к Методическим указаниям), и информацией о запланированных изменениях объема условных единиц.
19. Ежегодно в течение долгосрочного периода регулирования регулирующими органами производится корректировка величины операционных расходов с учетом отклонения фактической инфляции и фактического количества условных единиц оборудования от значений, учтенных при установлении тарифов на долгосрочный период регулирования, а также корректировки плановых значений указанных параметров.
Скорректированная величина операционных расходов, включаемая в необходимую валовую выручку регулируемой организации на очередной расчетный год долгосрочного периода регулирования, рассчитывается по следующей формуле:
,
где:
j - номер расчетного года долгосрочного периода регулирования, начиная с года, следующего за годом, на который установлен (пересмотрен) базовый уровень операционных расходов;
,
- прогнозное годовое значение индекса потребительских цен, а при наличии известных фактических значений используется фактическое годовое значение индекса потребительских цен.
,
,
- среднегодовое (среднее за 12 месяцев) количество условных единиц, относящихся к активам и объектам электросетевого хозяйства, планируемым к эксплуатации в соответствующем году долгосрочного периода регулирования. При наличии известных фактических значений используется фактическое среднегодовое (среднее за 12 месяцев) количество условных единиц на соответствующий год долгосрочного периода регулирования, которое определяется с учетом фактического количества активов и объектов электросетевого хозяйства, участвующих в регулируемой деятельности, без учета месяца ввода в эксплуатацию, в том числе в соответствии с долгосрочной инвестиционной программой. В отношении территориальных сетевых организаций, необходимая валовая выручка которых с учетом расходов на оплату потерь и оплату услуг других территориальных сетевых организаций за 3 последних периода регулирования превысила 10 процентов суммарной необходимой валовой выручки территориальных сетевых организаций, учтенной при установлении единых (котловых) тарифов на услуги по передаче электрической энергии, дополнительно учитывается среднегодовое (среднее за 12 месяцев) количество условных единиц, относящихся к активам и объектам электросетевого хозяйства, планируемым к вводу в соответствующем году долгосрочного периода регулирования в соответствии с долгосрочной инвестиционной программой, определяемое без учета месяца ввода в эксплуатацию. В случае если год j - 1 является первым (базовым) годом долгосрочного периода регулирования или годом, на который осуществлен пересмотр базового уровня операционных расходов, то в качестве показателя уеj-1 используется количество условных единиц, учтенных при установлении тарифов на услуги по передаче электрической энергии соответственно на первый (базовый) год или год, на который осуществлен пересмотр базового уровня операционных расходов.
Среднегодовое (среднее за 12 месяцев) количество условных единиц определяется как частное от деления суммы, полученной в результате сложения количества условных единиц на первое число каждого месяца регулируемого периода (финансового года) и последнее число регулируемого периода, на количество месяцев в году, увеличенное на единицу.
В случае пересмотра базового уровня операционных расходов по основаниям, установленным в абзаце восемнадцатом пункта 7, абзаце двадцатом пункта 12 Основ ценообразования, пункте 8 Правил регулирования, а также на основании поручений, содержащихся в актах Президента Российской Федерации, поручений и указаний Президента Российской Федерации, поручений, содержащихся в актах Правительства Российской Федерации и (или) протоколах заседаний Правительства Российской Федерации, поручений Председателя Правительства Российской Федерации, в качестве ОР0 принимается базовый уровень операционных расходов с учетом его пересмотра.
При определении скорректированной величины операционных расходов должны учитываться положения абзацев пятнадцатого - двадцатого пункта 34 Основ ценообразования.
19(1). Для территориальных сетевых организаций, за исключением указанных в пункте 19(2) Методических указаний, скорректированная величина операционных расходов, определяемых с применением эталонов затрат территориальных сетевых организаций
, рассчитывается по формуле:

где:
- скорректированное среднегодовое (среднее за 12 месяцев) количество относящегося к виду k оборудования, планируемого к эксплуатации в соответствующем году i долгосрочного периода регулирования. При наличии известных фактических значений используется фактическое среднегодовое (среднее за 12 месяцев) количество относящегося к виду k оборудования, которое определяется с учетом фактического количества оборудования без учета месяца ввода в эксплуатацию. В отношении территориальных сетевых организаций, необходимая валовая выручка которых с учетом расходов на оплату потерь и оплату услуг других территориальных сетевых организаций за 3 последних периода регулирования превысила 10 процентов суммарной необходимой валовой выручки территориальных сетевых организаций, учтенной при установлении единых (котловых) тарифов на услуги по передаче электрической энергии, дополнительно учитывается среднегодовое (среднее за 12 месяцев) количество относящегося к виду k оборудования, планируемого к вводу в соответствующем году долгосрочного периода регулирования, в том числе в соответствии с долгосрочной инвестиционной программой, определяемое без учета месяца ввода в эксплуатацию.
При определении скорректированных операционных расходов по формуле абзаца второго настоящего пункта в отношении территориальных сетевых организаций, у которых более 80 процентов количества условных единиц, относящихся к объектам электросетевого хозяйства, участвующих в регулируемой деятельности, расположено на территориях городских населенных пунктов в соответствии с данными первичного бухгалтерского учета, к значениям эталонов затрат территориальных сетевых организаций дополнительно применяется понижающий коэффициент 0,9 (за исключением территориальных сетевых организаций, осуществляющих регулируемую деятельность на территориях городов федерального значения).
При определении скорректированных операционных расходов по формуле абзаца второго настоящего пункта в отношении территориальных сетевых организаций, оказывающих услуги по передаче электрической энергии на территории субъекта Российской Федерации, часть территории которого отнесена к районам Крайнего Севера и местностям, приравненным к районам Крайнего Севера, и на указанной части территории субъекта Российской Федерации расположено более 80 процентов общего количества условных единиц, относящихся к активам и объектам электросетевого хозяйства территориальной сетевой организации, участвующих в регулируемой деятельности, учитывается коэффициент 1,7, соответствующий уровню оплаты труда в районах Крайнего Севера и приравненных к ним местностях. Положения настоящего абзаца не применяются в случае отнесения всей территории субъекта Российской Федерации к районам Крайнего Севера и местностям, приравненным к районам Крайнего Севера.
19(2). Для территориальных сетевых организаций, являющихся единым хозяйствующим субъектом железнодорожного транспорта или дочерним (зависимым) обществом такого субъекта, которое владеет инфраструктурой железнодорожного транспорта общего пользования, или права акционера или собственника имущества которых осуществляют Российская Федерация в лице Министерства обороны Российской Федерации и (или) подведомственные Министерству обороны Российской Федерации организации, скорректированная величина операционных расходов, определяемых с применением эталонов затрат территориальных сетевых организаций
, рассчитывается по формуле:

19(3). Для территориальных сетевых организаций, указанных в пунктах 19(1), 19(2) Методических указаний, скорректированная величина операционных расходов, учитываемая в тарифах на услуги по передаче электрической энергии на 2026, 2027 годы (
,
) рассчитывается по формулам:


где:
,
- скорректированные операционные расходы, определенные соответственно на 2026, 2027 гг с применением эталонов затрат территориальных сетевых организаций в соответствии с формулой абзаца второго пункта 19(1) или абзаца второго пункта 19(2) Методических указаний;
,
- скорректированные операционные расходы, определенные соответственно на 2026, 2027 годы:
- с применением метода экономически обоснованных расходов (затрат) в случае если 2026 или 2027 год является первым годом долгосрочного периода регулирования территориальной сетевой организации;
- с применением метода экономически обоснованных расходов (затрат) на 2026 год с учетом индексации на индекс потребительских цен в соответствии с параметрами прогноза социально-экономического развития Российской Федерации и индекс изменения количества активов (без учета коэффициента эластичности операционных расходов) в случае если 2027 год является вторым годом долгосрочного периода регулирования территориальной сетевой организации;
- учтенных при установлении тарифов на услуги по передаче электрической энергии на 2025 год операционных расходов, проиндексированных на индексы потребительских цен в соответствии с параметрами прогноза социально-экономического развития Российской Федерации и индексы изменения количества активов (без учета коэффициента эластичности операционных расходов) в случае если 2026 год и 2027 год являются очередными годами долгосрочного периода регулирования территориальной сетевой организации.
19(4). При определении операционных расходов в соответствии с абзацами седьмым - девятым пункта 13(3) Методических указаний, абзацами седьмым - девятым пункта 19(3) Методических указаний должно соблюдаться условие непревышения удельной величины операционных расходов территориальной сетевой организации в расчете на единицу количества активов, необходимых для осуществления регулируемой деятельности, над удельной величиной операционных расходов территориальной сетевой организации, которая соответствует на очередной период регулирования критериям отнесения территориальной сетевой организации к крупнейшей территориальной сетевой организации в административных границах субъекта Российской Федерации, предусмотренным приложением N 3(1) к Основам ценообразования, в расчете на единицу количества активов, необходимых для осуществления регулируемой деятельности в очередном периоде регулирования.
20. Расходы, включаемые в необходимую валовую выручку в объеме, определяемом регулирующими органами (неподконтрольные расходы), включают в себя:
1) расходы на оплату услуг, оказываемых организациями, осуществляющими регулируемые виды деятельности в сфере электроэнергетики, рассчитанные исходя из размера тарифов, установленных в отношении товаров и услуг указанных организаций;
2) плата за владение и (или) пользование имуществом, в том числе платежи в федеральный бюджет за пользование имуществом, находящимся в федеральной собственности, за исключением затрат, связанных с арендой объектов электросетевого хозяйства в случае если собственник объектов электросетевого хозяйства является единственным потребителем услуг по передаче электрической энергии, оказываемых с использованием указанных объектов электросетевого хозяйства, расходы на оплату системообразующей территориальной сетевой организацией по договору (соглашению), заключенному в соответствии с положениями пункта 2 статьи 46.4 Федерального закона от 26 марта 2003 г. N 35-ФЗ "Об электроэнергетике", определяемые в соответствии с пунктом 28 Основ ценообразования, расходы на амортизацию объектов электросетевого хозяйства, права владения и пользования которыми переданы системообразующей территориальной сетевой организации на основании договоров (соглашений), заключенных в соответствии с положениями пунктов 2 и 7 статьи 46.4 Федерального закона от 26 марта 2003 г. N 35-ФЗ "Об электроэнергетике", определяемые в соответствии с пунктом 27(1) Основ ценообразования;
3) налог на прибыль организаций и другие обязательные налоги, платежи и сборы, расходы на уплату страховых взносов на обязательное пенсионное страхование, на обязательное социальное страхование на случай временной нетрудоспособности и в связи с материнством, обязательное медицинское страхование, взносов на обязательное социальное страхование от несчастных случаев на производстве и профессиональных заболеваний;
4) расходы, связанные с возвратом собственникам или иным законным владельцам объектов электросетевого хозяйства, входящих в ЕНЭС, доходов, получаемых в результате осуществления их прав в соответствии с законодательством Российской Федерации об электроэнергетике;
5) выпадающие доходы сетевой организации от присоединения энергопринимающих устройств максимальной мощностью, не превышающей 15 кВт включительно (с учетом ранее присоединенной в данной точке присоединения мощности), определяемые регулирующими органами в соответствии с пунктом 87 Основ ценообразования и не связанные с компенсацией расходов на строительство объектов электросетевого хозяйства.
Величина налога на прибыль, включаемая в состав неподконтрольных расходов на год i очередного периода регулирования, определяется в соответствии с пунктом 20 Основ ценообразования:
Абзацы восьмой - тринадцатый утратили силу. - Приказ ФАС России от 20.07.2023 N 485/23.
21. Ежегодно в течение долгосрочного периода регулирования регулирующими органами производится корректировка величины неподконтрольных расходов с учетом:
отклонения фактического уровня неподконтрольных расходов от установленного уровня (с учетом документального подтверждения осуществления таких расходов);
изменения законодательства Российской Федерации, приводящего к изменению уровня расходов организации, осуществляющей регулируемую деятельность.
При этом корректировка величины неподконтрольных расходов осуществляется с учетом исполнения решений судебных органов и (или) предписаний ФАС России и решений ФАС России по рассмотрению разногласий и (или) досудебного урегулирования споров.
Абзац утратил силу. - Приказ ФАС России от 20.07.2023 N 485/23.
22. В составе предложений по установлению тарифов, формируемых в соответствии с Правилами регулирования, регулируемая организация предоставляет отчет о фактически произведенных за указанный период неподконтрольных расходах и об изменении планового объема неподконтрольных расходов на последующие годы периода регулирования (приложение 2 к Методическим указаниям). Также предоставляется информация о фактическом объеме и изменении планового объема условных единиц.
23. Скорректированный объем расходов, связанных с производством и реализацией продукции (услуг) по регулируемым видам деятельности, устанавливаемый на очередной год долгосрочного периода регулирования, определяется как:

где:
i - номер расчетного года долгосрочного периода регулирования, i = 1, 2, 3...
- скорректированные расходы, связанные с производством и реализацией продукции (услуг) по регулируемым видам деятельности, определяемые на год i;
- скорректированные операционные расходы на год i, определяемые в соответствии с пунктом 19 Методических указаний или в соответствии с пунктами 19(1) - 19(3) Методических указаний в случае применения эталонов затрат территориальных сетевых организаций;
- скорректированные неподконтрольные расходы, определяемые регулирующими органами, на год i в соответствии с пунктом 21 Методических указаний.
Уi - планируемые на период регулирования, соответствующий году i, расходы, признанные регулирующим органом экономически обоснованными, на выполнение, предусмотренных пунктом 5 статьи 37 Федерального закона от 26 марта 2003 г. N 35-ФЗ "Об электроэнергетике", обязанностей сетевой организации по обеспечению коммерческого учета электрической энергии (мощности), не относящиеся к капитальным вложениям, определяемые до завершения долгосрочного периода регулирования, на который базовый уровень операционных расходов устанавливался до вступления в силу постановления Правительства Российской Федерации от 7 марта 2020 г. N 246 "О внесении изменений в некоторые акты Правительства Российской Федерации по вопросу установления регулируемых цен (тарифов) в электроэнергетике и признании утратившими силу отдельных положений некоторых актов Правительства Российской Федерации" (Собрание законодательства Российской Федерации, 2020, N 11, ст. 1550), а также величина расходов, связанных с исполнением Указа и требований принятых в соответствии с Указом нормативных правовых актов Правительства Российской Федерации, не относящихся к капитальным вложениям и определяемых до завершения долгосрочного периода регулирования, на который базовый уровень операционных расходов устанавливался без учета указанных расходов.
24. НВВ ежегодно рассчитывается регулирующими органами на основе данных учета регулируемой организацией операционных и неподконтрольных расходов, представляемых регулируемой организацией (приложения 1, 2 к Методическим указаниям; для организации по управлению ЕНЭС - приложения 1 - 3 к Методическим указаниям).
25. Корректировка необходимой валовой выручки сетевой организации по результатам отклонения уровня расходов на оплату потерь электрической энергии при ее передаче по электрическим сетям от установленного уровня в зависимости от изменения полезного отпуска электрической энергии и цены покупки электрической энергии сетевой организацией в целях компенсации потерь электрической энергии при ее передаче по электрическим сетям рассчитывается по следующей формуле:
,
где:
- величина фактических потерь электрической энергии в сетях в году i - 2;
,
- соответственно плановый и фактический объемы отпуска электрической энергии в сеть сетевой организации, определяемые регулирующими органами за год i - 2 долгосрочного периода регулирования;
- средневзвешенная фактическая цена покупки электрической энергии (мощности) в целях компенсации потерь электрической энергии в сетях в году i - 2;
ЦПi-2 - прогнозная цена покупки потерь электрической энергии (мощности) в сетях в году i - 2, учтенная при установлении тарифов на услуги по передаче электрической энергии по электрическим сетям, принадлежащим на праве собственности или ином законном основании сетевым организациям;
- уровень потерь электрической энергии при ее передаче по электрическим сетям, установленный регулирующим органом на долгосрочный период регулирования, к которому относится год i - 2, в соответствии с пунктом 40(1) Основ ценообразования. В случае пересмотра на год i - 2 уровня потерь электрической энергии при ее передаче по электрическим сетям по основаниям, установленным в абзаце восемнадцатом пункта 7, абзацах двадцатом, двадцать первом пункта 12 Основ ценообразования, пункте 8 Правил регулирования, а также на основании поручений, содержащихся в актах Президента Российской Федерации, поручений и указаний Президента Российской Федерации, поручений, содержащихся в актах Правительства Российской Федерации и (или) протоколах заседаний Правительства Российской Федерации, поручений Председателя Правительства Российской Федерации, в качестве
принимается уровень потерь электрической энергии с учетом его пересмотра.
В случае учета в необходимой валовой выручке на год i - 2 экономии расходов на оплату потерь электрической энергии в соответствии с пунктом 34(3) Основ ценообразования корректировка с учетом изменения полезного отпуска и цен на электрическую энергию рассчитывается по следующей формуле:
,
где:
N - максимальное значение уровня потерь электрической энергии при ее передаче по электрическим сетям из значений уровня потерь электрической энергии, являющихся долгосрочными параметрами регулирования, определенными в соответствии с пунктом 40(1) Основ ценообразования для долгосрочного периода регулирования, к которому относится 2019 год, и следующих за ним долгосрочных периодов регулирования, но не ранее долгосрочного периода регулирования, к которому относится год, предшествующий на 10 лет году i, за который определяется экономия.
В случае пересмотра уровня потерь электрической энергии при ее передаче по электрическим сетям в соответствии с абзацем двадцать первым пункта 12 Основ ценообразования при определении величины N используется уровень потерь электрической энергии при ее передаче по электрическим сетям, определенный в соответствии с пунктом 40(1) Основ ценообразования, на наиболее поздний период регулирования, входящий в долгосрочный период регулирования, в котором произошел пересмотр уровня потерь.
В случае перехода к территориальной сетевой организации права собственности или иных предусмотренных законом прав на все объекты электросетевого хозяйства, ранее используемые одной территориальной сетевой организацией для осуществления регулируемой деятельности (при условии, что указанный переход не повлек за собой пересмотр уровня потерь электрической энергии при ее передаче по электрическим сетям в соответствии с абзацем двадцать первым пункта 12 Основ ценообразования), корректировка (ПОi) рассчитывается по формуле:
,
где:
- корректировка с учетом изменения полезного отпуска и цен на электрическую энергию, определяемая по формуле абзаца второго настоящего пункта исходя из показателей потерь электрической энергии (
,
) и отпуска электрической энергии (
,
) в отношении объектов электросетевого хозяйства, принадлежащих территориальной сетевой организации до начала текущего долгосрочного периода регулирования. В случае перехода к территориальной сетевой организации права собственности или иных предусмотренных законом прав на объекты электросетевого хозяйства, указанные в абзаце двадцатом настоящего пункта, корректировка
рассчитывается по формуле абзаца двадцать первого настоящего пункта;
- корректировка с учетом изменения полезного отпуска и цен на электрическую энергию, определяемая по формуле абзаца второго настоящего пункта исходя из показателей потерь электрической энергии (
,
) и отпуска электрической энергии (
,
) в отношении объектов электросетевого хозяйства, ранее используемых одной территориальной сетевой организацией для осуществления регулируемой деятельности, права собственности или иные предусмотренные законом права на которые перешли к территориальной сетевой организации.
При расчете корректировки
в качестве показателя
принимается уровень потерь электрической энергии при ее передаче по электрическим сетям, установленный на год перехода прав в отношении территориальной сетевой организации, все объекты электросетевого хозяйства которой переданы иной территориальной сетевой организации (при отсутствии установленного уровня потерь электрической энергии на год перехода прав используется уровень потерь электрической энергии, установленный на год, предшествующий году перехода прав).
В случае перехода к территориальной сетевой организации права собственности на объекты электросетевого хозяйства, которые ранее принадлежали садоводческому или огородническому некоммерческому товариществу и не учитывались при государственном регулировании цен (тарифов), и (или) перехода к территориальной сетевой организации права собственности или иных предусмотренных законом прав на отдельные объекты электросетевого хозяйства, ранее используемые иной территориальной сетевой организацией для осуществления регулируемой деятельности (при условии, что указанный переход не повлек за собой пересмотр уровня потерь электрической энергии при ее передаче по электрическим сетям в соответствии с абзацем двадцать первым пункта 12 Основ ценообразования), корректировка (ПОi) рассчитывается по формуле:
,
,
где:
- уровень потерь электрической энергии, определяемый с учетом величины потерь электрической энергии в объектах электросетевого хозяйства, указанных в абзацах восемнадцатом, девятнадцатом пункта 40(1) Основ ценообразования, права собственности или иные предусмотренные законом права на которые перешли к территориальной сетевой организации;
- Уровень потерь электрической энергии при ее передаче по электрическим сетям, установленный в отношении территориальной сетевой организации, к которой перешли права собственности или иные предусмотренные законом права на объекты электросетевого хозяйства;
- величина потерь электрической энергии, учтенная при установлении тарифов на услуги по передаче электрической энергии на год i - 2, определяемая в соответствии с абзацами восемнадцатым - двадцать восьмым пункта 40(1) Основ ценообразования.
В случае учета в необходимой валовой выручке территориальной сетевой организации на год i - 2 экономии расходов на оплату потерь электрической энергии в соответствии с пунктом 34(3) Основ ценообразования (за исключением случаев, указанных в абзаце тринадцатом пункта 34(3) Основ ценообразования) и перехода к территориальной сетевой организации права собственности или иных предусмотренных законом прав на объекты электросетевого хозяйства, указанные в абзацах семнадцатом - девятнадцатом пункта 40(1) Основ ценообразования (при условии, что указанный переход не повлек за собой пересмотр уровня потерь электрической энергии при ее передаче по электрическим сетям в соответствии с абзацем двадцать первым пункта 12 Основ ценообразования), корректировка (ПОi) рассчитывается по формуле:
.
В случае учета в необходимой валовой выручке территориальной сетевой организации на год i - 2 экономии расходов на оплату потерь электрической энергии в соответствии с абзацами тринадцатым, четырнадцатым пункта 34(3) Основ ценообразования и перехода к территориальной сетевой организации права собственности или иных предусмотренных законом прав на объекты электросетевого хозяйства, указанные в абзацах семнадцатом - девятнадцатом пункта 40(1) Основ ценообразования (при условии, что указанный переход не повлек за собой пересмотр уровня потерь электрической энергии при ее передаче по электрическим сетям в соответствии с абзацем двадцать первым пункта 12 Основ ценообразования), корректировка (ПОi) рассчитывается по формуле:
,
где:
Nki-2 - максимальное значение уровня потерь электрической энергии при ее передаче по электрическим сетям, определяемое раздельно в отношении объектов электросетевого хозяйства (k), принадлежащих территориальной сетевой организации до перехода к этой организации права собственности или иного предусмотренного законом права на объекты электросетевого хозяйства, ранее используемые иной территориальной сетевой организацией для осуществления регулируемой деятельности, и в отношении всех объектов электросетевого хозяйства, ранее используемых иной территориальной сетевой организацией для осуществления регулируемой деятельности, права собственности или иные предусмотренные законом права на которые в полном объеме перешли к территориальной сетевой организации в долгосрочном периоде регулирования, предшествующем текущему долгосрочному периоду регулирования;
- расчетный уровень потерь электрической энергии, определяемый в соответствии с пунктом 40(1) Основ ценообразования раздельно в отношении объектов электросетевого хозяйства (k), принадлежащих территориальной сетевой организации до перехода к этой организации права собственности или иного предусмотренного законом права на объекты электросетевого хозяйства, ранее используемые иной территориальной сетевой организацией для осуществления регулируемой деятельности, и в отношении всех объектов электросетевого хозяйства, ранее используемых иной территориальной сетевой организацией для осуществления регулируемой деятельности, права собственности или иные предусмотренные законом права на которые в полном объеме перешли к территориальной сетевой организации в долгосрочном периоде регулирования, предшествующем текущему долгосрочному периоду регулирования.
26. Утратил силу. - Приказ ФАС России от 01.09.2020 N 805/20.
27. Размер инвестированного капитала устанавливается на начало первого долгосрочного периода регулирования в соответствии с правилами определения стоимости активов и размера инвестированного капитала и ведения их учета, предусмотренными Методическими указаниями.
28. База инвестированного капитала определяется на начало каждого следующего после первого применения метода доходности инвестированного капитала года регулирования как стоимость активов в эксплуатации, необходимых для осуществления регулируемой деятельности, накопленных с момента перехода на регулирование по методу доходности инвестированного капитала с учетом изменения состава и стоимости таких активов, в соответствии с правилами определения стоимости активов и размера инвестированного капитала и ведения их учета Методических указаний.
29. В необходимую валовую выручку регулируемой организации на первый долгосрочный период регулирования включается возврат инвестированного капитала, рассчитываемый по следующей формуле:
ВКi = ВКР + ВКБi,
где:
i - номер расчетного года периода регулирования, i = 1, 2, 3..
ВКi - возврат на инвестированный капитал в году i;
ВКР - возврат на капитал, инвестированный до начала первого периода регулирования:
.
РИК - размер инвестированного капитала, установленный на начало первого долгосрочного периода регулирования в соответствии с правилами определения стоимости активов и размера инвестированного капитала и ведения их учета;
ИИК - физический износ инвестированного капитала, установленный на начало первого долгосрочного периода регулирования в соответствии с правилами определения стоимости активов и размера инвестированного капитала и ведения их учета;
СВК - срок возврата инвестированного капитала, устанавливаемый в соответствии с правилами определения стоимости активов и размера инвестированного капитала и ведения их учета;
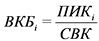
ВКБi - возврат на капитал, инвестированный после начала первого периода регулирования:
,
где:
ПИКi - первоначальная стоимость базы инвестированного капитала, определяемая на начало расчетного года i в соответствии с правилами определения стоимости активов и размера инвестированного капитала и ведения их учета.
30. В необходимую валовую выручку регулируемой организации во втором и последующих долгосрочных периодах регулирования включается возврат базы инвестированного капитала, рассчитанный по следующей формуле:
,
где:
ПИКi - первоначальная стоимость базы инвестированного капитала, определяемая на начало расчетного года i в соответствии с правилами определения стоимости активов и размера инвестированного капитала и ведения их учета;
СВК - срок возврата инвестированного капитала, определяемый в соответствии с правилами определения стоимости активов и размера инвестированного капитала и ведения их учета.
31. Ежегодно в течение долгосрочного периода регулирования регулирующими органами производится корректировка величины возврата и дохода на инвестированный капитал, устанавливаемой на очередной расчетный год периода регулирования, с учетом фактических данных о введенных в эксплуатацию объектах, списании (выбытии) активов до установленного срока их использования, а также с учетом корректировки утвержденного плана вводов, фактического изменения состава и стоимости активов.
32. Скорректированная величина возврата на инвестированный капитал, включаемая в необходимую валовую выручку регулируемой организации на очередной расчетный год первого долгосрочного периода регулирования, рассчитывается по следующей формуле:
,
где:
i - номер расчетного года периода регулирования, i = 1, 2, 3..
- скорректированный возврат на инвестированный капитал в году i;
.
ОРИКi - остаточная стоимость капитала, инвестированного до перехода к регулированию по методу доходности инвестированного капитала, с учетом начисленного возврата и выбытия объектов до окончания срока использования, определяемый на начало года i в соответствии с пунктом 73 правил определения стоимости активов и размера инвестированного капитала и ведения их учета.
- возврат на капитал, инвестированный после начала первого периода регулирования:
,
где:
- скорректированная первоначальная стоимость базы инвестированного капитала, определяемая на начало расчетного года i в соответствии с правилами определения стоимости активов и размера инвестированного капитала и ведения их учета.
33. Скорректированная величина возврата на инвестированный капитал, включаемая в необходимую валовую выручку регулируемой организации на очередной расчетный год второго и далее долгосрочного периода регулирования, рассчитывается по следующей формуле:
,
где:
- скорректированная первоначальная стоимость базы инвестированного капитала, определяемая на начало расчетного года i в соответствии с правилами определения стоимости активов и размера инвестированного капитала и ведения их учета.
34. В необходимую валовую выручку регулируемой организации на первый долгосрочный период регулирования включается доход на инвестированный капитал, рассчитываемый по следующей формуле:
ДКi = ДКРi + ДКБi,
где:
ДКi - доход на инвестированный капитал в году i;
ДКРi - доход на капитал, инвестированный до начала первого периода регулирования:
ДКРi = (РИК - ВКР x (i - 1)) x НДРi.
РИК - размер инвестированного капитала, установленный на начало первого долгосрочного периода регулирования;
ВКР x (i - 1) - возврат капитала, инвестированного до начала первого долгосрочного периода регулирования, накопленный с начала первого долгосрочного периода до года i-1 включительно;
НДРi - норма доходности капитала, созданного до перехода к регулированию методом доходности инвестированного капитала, установленная для регулируемой организации на год i первого долгосрочного периода регулирования;
ДКБi - доход на капитал, инвестированный после начала первого периода регулирования:
ДКБi = ОИКi · НДi.
ОИКi - остаточная стоимость базы инвестированного капитала, определяемая на начало расчетного года i в соответствии с правилами определения стоимости активов и размера инвестированного капитала и ведения их учета;
абзац утратил силу. - Приказ ФАС России от 20.07.2023 N 485/23;
НДi - норма доходности капитала, созданного после перехода к регулированию методом доходности инвестированного капитала, устанавливаемая в соответствии с правилами расчета нормы доходности инвестированного капитала на год i долгосрочного периода регулирования.
35. В необходимую валовую выручку регулируемой организации во втором и последующих долгосрочных периодах регулирования включается доход на инвестированный капитал, рассчитанный по следующей формуле:
ДКi = ОИКi · НДi,
где:
ОИКi - остаточная стоимость базы инвестированного капитала, определяемая на начало расчетного года i в соответствии с правилами определения стоимости активов и размера инвестированного капитала и ведения их учета;
НДi - норма доходности капитала, созданного после перехода к регулированию методом доходности инвестированного капитала, устанавливаемая в соответствии с правилами расчета нормы доходности инвестированного капитала на год i долгосрочного периода регулирования.
36. Скорректированная величина дохода на инвестированный капитал, включаемая в необходимую валовую выручку регулируемой организации на очередной расчетный год первого долгосрочного периода регулирования, рассчитывается по следующей формуле:
,
где:
- скорректированный доход на инвестированный капитал в году i;
.
ОРИКi - остаточная стоимость капитала, инвестированного до перехода к регулированию по методу доходности инвестированного капитала, с учетом начисленного возврата и выбытия объектов до окончания срока использования, определяемый на начало года i в соответствии с пунктом 73 правил определения стоимости активов и размера инвестированного капитала и ведения их учета.
- доход на капитал, инвестированный до начала первого периода регулирования;
- скорректированный доход на капитал, инвестированный после начала первого периода регулирования:
.
- скорректированная остаточная стоимость базы инвестированного капитала, определяемая в соответствии с правилами определения стоимости активов и размера инвестированного капитала и ведения их учета организации.
37. Скорректированная величина дохода на инвестированный капитал, включаемая в необходимую валовую выручку регулируемой организации на очередной расчетный год второго и далее долгосрочного периода регулирования, рассчитывается по следующей формуле:
.
38. Величина чистого оборотного капитала устанавливается органами регулирования на долгосрочный период регулирования в размере, соответствующем величине оборотного капитала, необходимого регулируемой организации для осуществления регулируемой деятельности без возникновения кассовых разрывов. Расчет величины чистого оборотного капитала производится по формуле:
,
где:
ЧОКi - величина чистого оборотного капитала на год i;
КА0 - суммарная величина краткосрочных оборотных активов регулируемой организации в соответствии с данными бухгалтерской отчетности на конец года, предшествующего первому году периода регулирования;
КП0 - суммарная величина текущих пассивов регулируемой организации в соответствии с данными бухгалтерской отчетности о размере краткосрочных обязательств на конец года, предшествующего первому году периода регулирования;
Величина чистого оборотного капитала не может составлять менее 2 процентов и более 8 процентов необходимой валовой выручки регулируемой организации, установленной на предыдущий финансовый год.
39. Органы регулирования вправе перераспределять необходимую валовую выручку организации между годами в пределах одного долгосрочного периода. Величина изменения необходимой валовой выручки, производимого в целях сглаживания роста тарифов, определяется органами регулирования. Величина изменения необходимой валовой выручки, производимого в целях сглаживания необходимой валовой выручки, в последний год долгосрочного периода регулирования, определяется по формуле:
,
где:
N - количество лет в текущем долгосрочном периоде регулирования;
- величина изменения необходимой валовой выручки в году i, проводимого в целях сглаживания тарифов;
абзац утратил силу. - Приказ ФАС России от 20.07.2023 N 485/23.
В каждом году долгосрочного периода регулирования необходимая валовая выручка, рассчитанная в соответствии с пунктами 8 и 42 Методических указаний с учетом ее перераспределения, осуществляемого в целях сглаживания тарифов, может отличаться от необходимой валовой выручки, рассчитанной без учета такого перераспределения на весь долгосрочный период регулирования, более чем на 12 процентов по согласованию с Федеральной антимонопольной службой.
40. При ежегодной корректировке тарифов величина изменения необходимой валовой выручки, производимого в целях сглаживания, может быть перераспределена между годами долгосрочного периода регулирования с учетом особенностей, определенных в соответствии с пунктом 39 Методических указаний.
При этом величина изменения необходимой валовой выручки, производимого в целях сглаживания роста тарифов, в последний год долгосрочного периода регулирования, определяется также с учетом результатов исполнения инвестиционных программ регулируемых организаций.
,
где:
N - последний год долгосрочного периода регулирования;
- величина изменения необходимой валовой выручки в году i, проводимого в целях сглаживания тарифов для скорректированных объемов необходимой валовой выручки;
- корректировка необходимой валовой выручки на i-й год долгосрочного периода регулирования, осуществляемая в связи с изменением (неисполнением) инвестиционной программы;
- объем собственных средств на реализацию инвестиционных программ, предусмотренных в НВВ, установленной на год i;
- суммарный фактический (прогнозный) размер финансирования инвестиционных программ, представляющих собой совокупность инвестиционных проектов, утвержденных (скорректированных) в установленном порядке на год i, за счет собственных средств (выручки от реализации товаров (услуг) по регулируемым ценам (тарифам)) без НДС, с первого и до предпоследнего года долгосрочного периода регулирования включительно;
41. Корректировка необходимой валовой выручки проводится по итогам текущего года на основании фактических данных за истекший отчетный период текущего года периода регулирования.
Для целей корректировки по итогам текущего года индекс текущего года принимается равным i-1, фактические значения параметров расчета тарифов за год i-1 принимаются равными прогнозным годовым значениям, определяемым регулирующим органом на основании фактических данных за истекший отчетный период текущего (i-1) года.
42. Скорректированная плановая необходимая валовая выручка в части содержания электрических сетей, определяемая при установлении тарифов на очередной год i долгосрочного периода регулирования, рассчитывается как:

где:
i - номер расчетного года долгосрочного периода регулирования, i = 2, 3...;
- скорректированная необходимая валовая выручка в части содержания электрических сетей, определяемая при установлении тарифов на очередной год i долгосрочного периода регулирования;
- скорректированные расходы, связанные с производством и реализацией продукции (услуг) по регулируемым видам деятельности, определяемые на год i в соответствии с пунктом 23 Методических указаний;
- скорректированный возврат инвестированного капитала, определяемый на год i в соответствии с пунктом 32 Методических указаний;
- скорректированный доход инвестированного капитала, определяемый на год i в соответствии с пунктом 36 Методических указаний;
- корректировка фактических расходов, признанных регулирующим органом экономически обоснованными в году i - 2, на выполнение предусмотренных пунктом 5 статьи 37 Федерального закона от 26 марта 2003 г. N 35-ФЗ "Об электроэнергетике" обязанностей сетевой организации по обеспечению коммерческого учета электрической энергии (мощности), не относящихся к капитальным вложениям, определяемых до завершения долгосрочного периода регулирования, на который базовый уровень операционных расходов устанавливался до вступления в силу постановления Правительства Российской Федерации от 7 марта 2020 г. N 246 "О внесении изменений в некоторые акты Правительства Российской Федерации по вопросу установления регулируемых цен (тарифов) в электроэнергетике и признании утратившими силу отдельных положений некоторых актов Правительства Российской Федерации", а также корректировка фактических расходов, связанных с исполнением Указа и требований принятых в соответствии с Указом нормативных правовых актов Правительства Российской Федерации, не относящихся к капитальным вложениям и определяемых до завершения долгосрочного периода регулирования, на который базовый уровень операционных расходов устанавливался без учета указанных расходов, которая может принимать как положительные, так и отрицательные значения, рассчитываемая по следующей формуле:
,
где:
Уi-2,
- плановые и фактические расходы (не относящиеся к капитальным вложениям), признанные регулирующим органом экономически обоснованными в году i - 2, на выполнение предусмотренных пунктом 5 статьи 37 Федерального закона от 26 марта 2003 г. N 35-ФЗ "Об электроэнергетике" обязанностей сетевой организации по обеспечению коммерческого учета электрической энергии (мощности), а также на исполнение Указа и требований принятых в соответствии с Указом нормативных правовых актов Правительства Российской Федерации;
- скорректированная необходимая валовая выручка в части содержания электрических сетей, установленная регулирующим органом на год i-2 долгосрочного периода регулирования;
КНКi-2 - понижающий (повышающий) коэффициент, корректирующий необходимую валовую выручку сетевой организации с учетом надежности и качества производимых (реализуемых) товаров (услуг) в году i-2, определяемый в процентах в соответствии с Методическими указаниями по расчету и применению понижающих (повышающих) коэффициентов, позволяющих обеспечить соответствие уровня тарифов, установленных для организаций, осуществляющих регулируемую деятельность, уровню надежности и качества поставляемых товаров и оказываемых услуг, утвержденными приказом Федеральной службы по тарифам от 26 октября 2010 г. N 254-э/1 (зарегистрировано Минюстом России 13 ноября 2010 г., регистрационный N 18951);
- величина изменения необходимой валовой выручки, производимого в целях сглаживания тарифов, определяемая в соответствии с пунктом 40 Методических указаний для скорректированных объемов необходимой валовой выручки;
- корректировка необходимой валовой выручки на i-й год долгосрочного периода регулирования, осуществляемая в связи с изменением (неисполнением) инвестиционной программы (не применяется при установлении тарифов на услуги по передаче электрической энергии в 2022 и 2023 годах за неисполнение инвестиционной программы в 2022 году (за исключением случаев выявления нарушений, связанных с использованием инвестиционных ресурсов, полученных за счет поступлений от регулируемой деятельности, на цели, не связанные с осуществлением регулируемой деятельности), с последующим учетом такой корректировки на 2025 год. При установлении тарифов на услуги по передаче электрической энергии на 2025 год
рассчитывается исходя из суммарных величин собственных средств на реализацию инвестиционных программ (
) в 2022 - 2023 годах и фактического финансирования мероприятий инвестиционных программ (
) в 2022 - 2023 годах, утвержденных (скорректированных) в соответствии с законодательством Российской Федерации об электроэнергетике, согласно пункту 1 постановления Правительства Российской Федерации от 29 марта 2022 г. N 507 "Об особенностях государственного регулирования цен (тарифов) в электроэнергетике в 2022 и 2023 годах".
- компенсация выпадающих/излишне полученных доходов регулируемой организации за предшествующие годы, возникающих в результате отличия фактических значений параметров регулирования от установленных при утверждении тарифов.
,
,
где:
- компенсация выпадающих/излишне полученных доходов за истекший отчетный период года i-1;
- компенсация выпадающих/излишне полученных доходов за 12 месяцев года i-2;
- компенсация выпадающих/излишне полученных доходов за отчетный период года i-2, составляющий менее года, учтенная при корректировке необходимой валовой выручки на год i-1;
,
где:
- фактический объем выручки за услуги по передаче электрической энергии за год i - 2 (с учетом фактически недополученной выручки по зависящим от сетевой организации причинам), определяемый исходя из установленных на год i - 2 тарифов на услуги по передаче электрической энергии и фактических объемов оказанных услуг за вычетом расходов на оплату услуг по передаче электрической энергии, оказываемых прочими территориальными сетевыми организациями. Расходы на оплату услуг по передаче электрической энергии, оказываемых прочими территориальными сетевыми организациями, определяются исходя из индивидуальных тарифов для взаиморасчетов между 2 сетевыми организациями, а за периоды регулирования начиная с 2025 года - исходя из индивидуальных цен (тарифов) на услуги по передаче электрической энергии для расчетов системообразующей территориальной сетевой организации за услуги по передаче электрической энергии, оказываемые территориальной сетевой организацией, индивидуальных цен (тарифов) на услуги по передаче электрической энергии для расчетов между системообразующими территориальными сетевыми организациями;
- компенсация фактически понесенных в году i-2 неподконтрольных расходов, не учтенных при установлении тарифов на год i-2, определяемая в соответствии с пунктами 20 - 21 Методических указаний. Компенсация может принимать как положительные, так и отрицательные значения. При расчете
не учитываются расходы на оплату стоимости услуг по передаче электрической энергии, оказываемых прочими территориальными сетевыми организациями, определяемые исходя из индивидуальных тарифов для взаиморасчетов между 2 сетевыми организациями, а за периоды регулирования начиная с 2025 года - исходя из индивидуальных цен (тарифов) на услуги по передаче электрической энергии для расчетов системообразующей территориальной сетевой организации за услуги по передаче электрической энергии, оказываемые территориальной сетевой организацией, индивидуальных цен (тарифов) на услуги по передаче электрической энергии для расчетов между системообразующими территориальными сетевыми организациями.
.
- объем неподконтрольных расходов, установленный регулирующими органами, при корректировке НВВ (тарифов) на год i-2;
- фактический объем неподконтрольных расходов, определяемый регулирующими органами с учетом результатов анализа обоснованности понесенных расходов регулируемой организации за год i-2;
- компенсация операционных расходов, связанная с изменением фактического индекса инфляции и объема условных единиц, по отношению к учтенным при установлении тарифа значениям, определяемая по формуле абзаца тридцать второго настоящего пункта или по формуле абзаца второго пункта 42(1) Методических указаний в случае применения эталонов затрат территориальных сетевых организаций. Компенсация может принимать как положительные, так и отрицательные значения.

- величина операционных расходов, учтенная при корректировке НВВ (тарифов) на год (i-2);
,
- соответственно фактический индекс потребительских цен, индекс потребительских цен, учтенный при расчете базового уровня операционных расходов в соответствии с одобренным прогнозом социально-экономического развития Российской Федерации в первом (базовом) году долгосрочного периода регулирования;
- коэффициент индексации операционных расходов, определяемый в соответствии с фактическими значениями индекса потребительских цен и объема условных единиц в году j, который начинается с года, следующего за годом, на который установлен (пересмотрен) базовый уровень операционных расходов;
,
- фактический индекс инфляции за расчетный год j;

,
- фактическое среднегодовое (среднее за 12 месяцев) количество условных единиц, относящихся к регулируемой организации, которое определяется с учетом фактического количества активов и объектов электросетевого хозяйства, участвующих в регулируемой деятельности, без учета месяца ввода в эксплуатацию, в том числе в соответствии с долгосрочной инвестиционной программой. В случае если год (j-1) является первым (базовым) годом долгосрочного периода регулирования или годом, на который осуществлен пересмотр базового уровня операционных расходов, то в качестве показателя
используется количество условных единиц, учтенных при установлении тарифов на услуги по передаче электрической энергии соответственно на первый (базовый) год или год, на которой осуществлен пересмотр базового уровня операционных расходов;
ОР0 - базовый уровень операционных расходов, установленный на долгосрочный период регулирования в соответствии с пунктами 14 - 15 Методических указаний;
ПОi - корректировка необходимой валовой выручки сетевой организации по результатам отклонения уровня расходов на оплату потерь электрической энергии при ее передаче по электрическим сетям от установленного уровня в зависимости от изменения полезного отпуска электрической энергии и цены покупки электрической энергии сетевой организацией в целях компенсации технологического расхода электрической энергии за истекший период регулирования, определяемая в соответствии с пунктом 25 Методических указаний;
рассчитывается по формуле расчета
, с соответствующей заменой индекса i-2 на i-1, при этом фактические значения параметров расчета тарифов за год i-1 принимаются равными прогнозным годовым значениям, определяемым регулирующим органом на основании фактических данных истекший отчетный период текущего года i-1.
Для первого года периода регулирования, а также для года пересмотра базового уровня операционных расходов
, за исключением корректировки операционных расходов, определенных с применением эталонов затрат территориальных сетевых организаций.
Абзац утратил силу. - Приказ ФАС России от 20.11.2024 N 878/24.
определяется для текущего (i-1) года. Для расчета скорректированной необходимой валовой выручки на прогнозные периоды расчетное значение корректировки
принимается равным нулю.
может принимать как положительные, так и отрицательные значения.
Величина
, которая может принимать как положительные, так и отрицательный значения, определяется по формуле:
,
где:
,
- объем собственных средств на реализацию инвестиционных программ, предусмотренных в НВВ, установленной на год (i-j);
абзац утратил силу. - Приказ ФАС России от 20.11.2024 N 878/24;
- объем фактического финансирования инвестиционной программы, представляющей собой совокупность инвестиционных проектов, утвержденной (скорректированной) в соответствии с законодательством Российской Федерации об электроэнергетике на год (i-j), за счет собственных средств (выручки от реализации товаров (услуг) по регулируемым ценам (тарифам) без налога на добавленную стоимость в году (i-j) долгосрочного периода регулирования;
j = 1, 2. Корректировка
по итогам истекшего периода текущего года осуществляется по решению регулирующего органа;
- учтенная при расчете тарифов на (i-1) год корректировка необходимой валовой выручки на (i-2)-й год долгосрочного периода регулирования, осуществленная в связи с изменением (неисполнением) инвестиционной программы за истекший период на (i-2)-го года по результатам 9 месяцев;
- величина возврата инвестированного капитала, учитываемого при расчете долгосрочных тарифов на услуги по передаче в году i-j долгосрочного периода регулирования;
- величина дохода на инвестированный капитал, учитываемая при расчете долгосрочных тарифов на услуги по передаче в году i-j долгосрочного периода регулирования;
- величина изменения необходимой валовой выручки, определяемого на год i-j, производимого в целях сглаживания тарифов;
Крi-j - величина фактической стоимости (процентов) заемных средств, привлеченных для осуществления регулируемой деятельности, в году i-j;
- выпадающие доходы сетевой организации от присоединения энергопринимающих устройств максимальной мощностью, не превышающей 15 кВт включительно (с учетом ранее присоединенной в данной точке присоединения мощности), энергопринимающих устройств максимальной мощностью до 150 кВт включительно (с учетом ранее присоединенных в данной точке присоединения энергопринимающих устройств), не включаемые в плату за технологическое присоединение, связанные с компенсацией расходов на строительство объектов электросетевого хозяйства, определяемые регулирующими органами в соответствии с пунктом 87 Основ ценообразования в году i-j;
- величина фактических расходов из прибыли (в том числе направленных на погашение кредитов) в году i-j, признанных регулирующим органом экономически обоснованными, в том числе расчетная предпринимательская прибыль сетевой организации, учитываемая регулирующим органом в соответствии с пунктом 34 Основ ценообразования (тыс. руб.).
Абзацы пятьдесят шестой - шестьдесят первый утратили силу. - Приказ ФАС России от 24.08.2017 N 1108/17.
- расходы по списанию задолженности, признанной безнадежной к взысканию в соответствии с Налоговым кодексом Российской Федерации, за последний отчетный год, за который имеются фактические данные.
- величина фактических расходов в году i - j, предусмотренных абзацами вторым - восьмым пункта 32(4) Основ ценообразования.
Для территориальных сетевых организаций, в отношении которых при определении величины операционных расходов (базового уровня операционных расходов) применяются положения постановления Правительства Российской Федерации от 19 ноября 2024 г. N 1582 "О внесении изменений в постановление Правительства Российской Федерации от 29 декабря 2011 г. N 1178", корректировка операционных расходов определяется по формуле абзаца тридцать второго настоящего пункта при соблюдении условий, указанных в абзацах семидесятом - семьдесят третьем настоящего пункта. Положения настоящего абзаца применяются при проведении корректировки операционных расходов не ранее, чем по результатам деятельности за 2025 год.
При расчете корректировки операционных расходов учитывается величина операционных расходов, которая определяется за год i - 2 с учетом фактического коэффициента индексации операционных расходов
при соблюдении условия непревышения этой величины в расчете на единицу фактического количества активов и объектов электросетевого хозяйства в году i - 2 над аналогичным показателем, рассчитанным для территориальной сетевой организации, которая соответствовала в году i - 2 критериям отнесения территориальной сетевой организации к крупнейшей территориальной сетевой организации в административных границах субъекта Российской Федерации, предусмотренным приложением N 3(1) к Основам ценообразования.
При проведении корректировки операционных расходов по результатам деятельности за 2025 год к величине корректировки, рассчитанной по формуле абзаца тридцать второго настоящего пункта при соблюдении условия абзаца семидесятого настоящего пункта, дополнительно учитывается 50-процентная разница между:
величиной операционных расходов, определяемой за 2025 год с учетом фактического коэффициента индексации операционных расходов
, величиной операционных расходов, определяемой за 2025 год с учетом фактического коэффициента индексации операционных расходов
при соблюдении условия непревышения этой величины в расчете на единицу фактического количества активов и объектов электросетевого хозяйства в 2025 году над аналогичным показателем, рассчитанным для территориальной сетевой организации, которая соответствовала в 2025 году критериям отнесения территориальной сетевой организации к крупнейшей территориальной сетевой организации в административных границах субъекта Российской Федерации, предусмотренным приложением N 3(1) к Основам ценообразования.
42(1). В отношении указанных в пункте 38(4) Основ ценообразования территориальных сетевых организаций, операционные расходы которых определяются с применением эталонов затрат территориальных сетевых организаций, корректировка операционных расходов в связи с изменением планируемых параметров расчета тарифов
рассчитывается по формуле:

где:
- операционные расходы, определенные исходя из фактического количества относящегося к виду k оборудования в году i - 2, тыс. руб.;
- операционные расходы, учтенные при установлении тарифов на год i - 2.
Для территориальных сетевых организаций, за исключением территориальных сетевых организаций, являющихся единым хозяйствующим субъектом железнодорожного транспорта или дочерним (зависимым) обществом такого субъекта, которое владеет инфраструктурой железнодорожного транспорта общего пользования, или права акционера или собственника имущества которых осуществляют Российская Федерация в лице Министерства обороны Российской Федерации и (или) подведомственные Министерству обороны Российской Федерации организации,
определяются по формуле:

где:
- фактическое среднегодовое (среднее за 12 месяцев) количество относящегося к виду k оборудования в году i - 2;
- фактический совокупный композитный индекс.
Для территориальных сетевых организаций, являющихся единым хозяйствующим субъектом железнодорожного транспорта или дочерним (зависимым) обществом такого субъекта, которое владеет инфраструктурой железнодорожного транспорта общего пользования, или права акционера или собственника имущества которых осуществляют Российская Федерация в лице Министерства обороны Российской Федерации и (или) подведомственные Министерству обороны Российской Федерации организации,
определяются по формуле:

Фактический совокупный композитный индекс
определяется по формуле:

где:
- прирост среднемесячной начисленной заработной платы работников организаций, установленный прогнозом социально-экономического развития Российской Федерации на год (j);
- прирост минимальной месячной тарифной ставки рабочих первого разряда промышленно-производственного персонала в году (j) по отношению к году (j - 1) в соответствии с отраслевыми тарифными соглашениями в электроэнергетике Российской Федерации с учетом применения регионального повышающего коэффициента;
- индекс цен производителей, в том числе без продукции топливно-энергетического комплекса (нефть, нефтепродукты, уголь, газ, энергетика), установленный прогнозом социально-экономического развития Российской Федерации на год (j);
Iэффект - индекс эффективности, определяемый в соответствии с пунктом 38(4) Основ ценообразования.
При отсутствии территориальной сетевой организации в реестре организаций, на которых распространяется действие отраслевого тарифного соглашения в электроэнергетике Российской Федерации, величина фактического совокупного композитного индекса
определяется без учета
.
При определении операционных расходов по формуле абзаца седьмого настоящего пункта, в отношении территориальных сетевых организаций, у которых более 80 процентов количества условных единиц, относящихся к объектам электросетевого хозяйства, участвующих в регулируемой деятельности, расположено на территориях городских населенных пунктов в соответствии с данными первичного бухгалтерского учета, к значениям эталонов затрат территориальных сетевых организаций дополнительно применяется понижающий коэффициент 0,9 (за исключением территориальных сетевых организаций, осуществляющих регулируемую деятельность на территориях городов федерального значения).
При определении операционных расходов по формуле абзаца седьмого настоящего пункта в отношении территориальных сетевых организаций, оказывающих услуги по передаче электрической энергии на территории субъекта Российской Федерации, часть территории которого отнесена к районам Крайнего Севера и местностям, приравненным к районам Крайнего Севера, и на указанной части территории субъекта Российской Федерации расположено более 80 процентов общего количества условных единиц, относящихся к активам и объектам электросетевого хозяйства территориальной сетевой организации, участвующих в регулируемой деятельности, учитывается коэффициент 1,7, соответствующий уровню оплаты труда в районах Крайнего Севера и приравненных к ним местностях. Положения настоящего абзаца не применяются в случае отнесения всей территории субъекта Российской Федерации к районам Крайнего Севера и местностям, приравненным к районам Крайнего Севера.
Расчет корректировки операционных расходов, определяемых с применением эталонов затрат территориальных сетевых организаций, по итогам деятельности в 2026 и 2027 годах (
,
) осуществляется по формулам:


где:
,
_ корректировка операционных расходов, рассчитанная по формуле абзаца второго настоящего пункта, при этом в качестве величины операционных расходов, учтенных при установлении тарифов на год i - 2
, принимается величина операционных расходов, определенных с применением эталонов затрат территориальных сетевых организаций в соответствии с формулой абзаца второго пункта 13(1) или абзаца второго пункта 13(2) Методических указаний или абзаца второго пункта 19(1) или абзаца второго пункта 19(2) Методических указаний;
,
- корректировка операционных расходов, рассчитанная как разность между фактической и плановой величинами операционных расходов, определенными в соответствии с абзацами седьмым - девятым пункта 13(3) Методических указаний или абзацами седьмым - девятым пункта 19(3) Методических указаний при соблюдении условия пункта 19(4) Методических указаний.
IV. Правила расчета нормы доходности
инвестированного капитала
43. Норма доходности инвестированного капитала (далее - норма доходности) регулируемой организации устанавливается на долгосрочный период регулирования.
44. Норма доходности устанавливается в номинальном выражении, после уплаты налогов и может дифференцироваться по видам деятельности.
45. Норма доходности в течение 1-го долгосрочного периода регулирования, за исключением его последнего года, может устанавливаться дифференцированно в отношении капитала, инвестированного до перехода к регулированию с применением метода доходности инвестированного капитала, а также в отношении капитала, созданного после перехода к регулированию методом доходности инвестированного капитала.
46. Инвестированный капитал включает в себя заемный и собственный капитал. Собственный капитал включает в себя капитал, использованный организацией для создания активов, необходимых для осуществления регулируемых видов деятельности, за вычетом заемного капитала. Заемный капитал включает в себя обязательства регулируемой организации перед кредиторами со сроком действия не менее чем один год. Доля заемного и собственного капитала определяется как отношение величины заемного и собственного капитала, соответственно, к величине инвестированного капитала.
Величина инвестированного капитала для целей расчета нормы доходности определяется как сумма собственного капитала и заемного капитала регулируемой организации.
Доля заемного капитала на первый долгосрочный период регулирования в сфере передачи электрической энергии по распределительным сетям устанавливается равной 0,3. Доля собственного капитала в сфере передачи электрической энергии по распределительным сетям устанавливается равной 0,7.
47. Норма доходности капитала, инвестированного после начала первого периода регулирования, рассчитывается по формуле:
НД = ДЗК x СЗК + ДСК x ССК,
где:
НД - норма доходности;
ДЗК - доля заемного капитала в структуре инвестированного капитала;
СЗК - стоимость заемного капитала;
ДСК - доля собственного капитала в структуре инвестированного капитала;
ССК - стоимость собственного капитала.
Стоимость заемного капитала определяется исходя из усредненной стоимости облигационных займов, размещенных регулируемыми организациями.
Стоимость собственного капитала рассчитывается как сумма величины средней доходности долгосрочных государственных обязательств, выраженных в рублях, со сроком до погашения не менее восьми и не более десяти лет за год, предшествующий установлению нормы доходности, и величины премии за риск инвестирования в собственный капитал регулируемой организации, определяемой с учетом премии за риск инвестирования в акции на основании данных международных оценочных организаций и статистической оценки степени риска инвестирования в собственный капитал организации на основании данных торгов рынка ценных бумаг.
48. Норма доходности для капитала, созданного до перехода к регулированию тарифов с применением метода доходности инвестированного капитала, устанавливается регулирующим органом на каждый год первого долгосрочного периода регулирования.
49. Норма доходности капитала, инвестированного до перехода к регулированию с применением метода доходности инвестированного капитала, не может быть меньше 1 процента и выше нормы доходности в отношении капитала, созданного после перехода к регулированию методом доходности инвестированного капитала.
50. Утратил силу. - Приказ ФАС России от 24.08.2017 N 1108/17.
V. Правила определения стоимости активов, размера
инвестированного капитала и ведения их учета
51. Размер инвестированного капитала регулируемой организации определяется при первом применении метода доходности инвестированного капитала на начало первого долгосрочного периода регулирования как стоимость капитала, инвестированного и использованного для создания активов, применяемых для осуществления регулируемой деятельности с учетом независимой оценки стоимости замещения, а также физического, морального и внешнего износа таких активов. По согласованию с регулирующими органами при расчете размера инвестированного капитала могут учитываться обязательства, возникшие по согласованию с регулирующими органами при реализации инвестиционной программы.
52. Определение размера и учет инвестированного капитала, применяемого в регулируемой деятельности с использованием метода доходности инвестированного капитала, ведется раздельно от учета стоимости активов организации, включая бухгалтерский и налоговый учет.
53. Учет размера инвестированного капитала регулируемой организации, утвержденного при первом применении метода доходности инвестированного капитала на начало первого периода регулирования, ведется раздельно от учета базы инвестированного капитала, сформированной после начала первого периода регулирования.
54. База инвестированного капитала регулируемой организации учитывается по первоначальной и остаточной стоимости и определяется на начало каждого года долгосрочного периода регулирования как изменение с момента перехода на регулирование по методу доходности инвестированного капитала стоимости активов в эксплуатации, необходимых для осуществления регулируемой деятельности, в соответствии с пунктами 60 - 61 и 65 - 67 Методических указаний.
55. База инвестированного капитала ведется в отношении каждого объекта, необходимого для осуществления регулируемого вида деятельности.
56. Первоначальная стоимость базы инвестированного капитала регулируемой организации на начало второго и последующих долгосрочных периодов регулирования ПИК0 отражает полную стоимость восстановления (замещения) объектов, используемых для осуществления регулируемой деятельности, за исключением стоимости объектов, построенных и реконструированных за счет поступлений от платы за технологическое присоединение (подключение).
57. Остаточная стоимость базы инвестированного капитала регулируемой организации на начало второго и последующих долгосрочных периодов регулирования ОИК0 отражает полную величину инвестированного капитала на начало долгосрочного периода регулирования, уменьшенную на величину возврата инвестированного капитала.
58. На начало второго долгосрочного периода регулирования первоначальная стоимость базы инвестированного капитала устанавливается равной сумме первоначальной стоимости базы инвестированного капитала и первоначальной стоимости капитала, инвестированного до перехода на регулирование по методу доходности инвестированного капитала с учетом выбытия объектов до окончания срока использования первого долгосрочного периода регулирования с учетом изменений за первый долгосрочный период регулирования, предусмотренных Методическими указаниями.
На начало второго долгосрочного периода регулирования остаточная стоимость базы инвестированного капитала устанавливается равной сумме остаточной стоимости базы инвестированного капитала и остаточной стоимости капитала, инвестированного до перехода на регулирование по методу доходности инвестированного капитала с учетом начисленного возврата и выбытия объектов до окончания срока использования первого долгосрочного периода регулирования с учетом изменений за первый долгосрочный период регулирования, предусмотренных Методическими указаниями.
Начиная с третьего долгосрочного периода регулирования первоначальная стоимость базы инвестированного капитала устанавливается равной первоначальной стоимости базы инвестированного капитала предшествующего долгосрочного периода регулирования с учетом изменений за предшествующий долгосрочный период регулирования, предусмотренных Методическими указаниями.
Начиная с третьего долгосрочного периода регулирования остаточная стоимость базы инвестированного капитала устанавливается равной остаточной стоимости базы инвестированного капитала предшествующего долгосрочного периода регулирования с учетом изменений за предшествующий долгосрочный период регулирования, предусмотренных Методическими указаниями.
59. При определении первоначальной и остаточной стоимости базы инвестированного капитала не учитывается капитал, который был возвращен в полном объеме. После возврата капитала, инвестированного в текущем году в полном объеме, первоначальная и остаточная стоимости базы инвестированного капитала регулируемой организации уменьшается на полную величину возвращенного инвестированного капитала.
60. В составе предложений по установлению тарифов, формируемом в соответствии с Правилами регулирования, регулируемая организация направляет в регулирующие органы предложения по установлению значений полной и остаточной стоимости базы инвестированного капитала на начало очередного долгосрочного периода регулирования. Предложения направляются с приложением реестра (перечня) и стоимости всех активов, используемых для осуществления регулируемой деятельности, с указанием оценочной полной и остаточной восстановительной стоимости по состоянию на последнюю отчетную дату (приложение 7 к Методическим указаниям). Также предоставляется информация о запланированных вводах в эксплуатацию объектов и возврате капитала за период с последней отчетной даты до начала долгосрочного периода регулирования.
61. Значение первоначальной стоимости базы инвестированного капитала регулируемой организации на начало i+1 года долгосрочного периода регулирования при установлении тарифов на очередной долгосрочный период регулирования определяется как:
,
ПИК1 = ПИК0,
где:
i - номер расчетного года периода регулирования, i = 1, 2, 3..
ПИК0 - первоначальная стоимость базы инвестированного капитала регулируемой организации на начало очередного (второго и далее) долгосрочного периода регулирования, установленная регулирующими органами долгосрочного периода регулирования в соответствии с пунктами 54 - 59 Методических указаний;
ПИК0 = 0 для первого долгосрочного периода регулирования;
- объем ввода объектов в эксплуатацию, запланированный к осуществлению в году j долгосрочного периода регулирования, определяемый в соответствии с пунктом 63 Методических указаний.
62. Значение остаточной стоимости базы инвестированного капитала регулируемой организации на начало i+1 года первого долгосрочного периода регулирования определяется как:
,
где:
k - номер года долгосрочного периода регулирования, соответствующий 2011 году.
- возврат нового инвестированного капитала, включенный в необходимую валовую выручку организации с начала первого периода регулирования, до 2011 года включительно.
Значение остаточной стоимости базы инвестированного капитала регулируемой организации на начало i+1 года второго и далее долгосрочного периода регулирования определяется как:
,
где:
ОИК0 - остаточная стоимость базы инвестированного капитала регулируемой организации на начало очередного (второго и далее) долгосрочного периода регулирования, устанавливаемая регулирующими органами в соответствии с пунктами 54 - 59 Методических указаний.
63. Объем ввода объектов в эксплуатацию, запланированный к осуществлению в году j долгосрочного периода регулирования для регулируемой организации, определяется как:
,
где:
- стоимость ввода объектов в эксплуатацию, предусмотренная утвержденным планом ввода объектов в эксплуатацию на год j долгосрочного периода регулирования, без учета НДС и стоимости объектов, учтенных в размере инвестированного капитала в качестве объектов незавершенного строительства;
- величина планируемых поступлений средств по оплате инвестиционной составляющей платы за технологическое присоединение объектов, введенных в эксплуатацию в году j, в соответствии с тарифными решениями, за вычетом планируемого к уплате налога на прибыль, без учета НДС.
64. Для целей определения величины базы инвестированного капитала регулируемая организация ежегодно, в соответствии с Правилами утверждения инвестиционных программ субъектов электроэнергетики предоставляет на утверждение регулирующих органов план ввода объектов в эксплуатацию на период, соответствующий периоду установления долгосрочных тарифов.
65. В течение периода регулирования ежегодно проводится корректировка первоначальной и остаточной стоимости базы инвестированного капитала с учетом фактических данных о введенных в эксплуатацию объектах, списании (выбытии) активов до установленного срока их использования, а также с учетом корректировки утвержденного плана вводов.
Для целей определения скорректированных значений по итогам текущего года, фактическое значение за данный год принимается равным прогнозному годовому значению, определяемому регулирующим органом на основании фактических данных за истекший отчетный период текущего года.
66. Скорректированная первоначальная стоимость базы инвестированного капитала регулируемой организации на начало i+1 года долгосрочного периода регулирования определяется как:
,
,
где:
i - номер расчетного года периода регулирования, i = 1, 2, 3..
- определяется для очередного (второго и далее) периода регулирования как величина первоначальной стоимости базы инвестированного капитала, утвержденной на начало очередного (второго и далее) долгосрочного периода регулирования, скорректированная с учетом фактических вводов (выбытий) активов, учтенных при установлении значения базы инвестированного капитала на начало долгосрочного периода регулирования, как планируемые за период с последней отчетной даты до начала долгосрочного периода регулирования, а также с учетом выбытия объектов до окончания срока полезного использования, определяемого в соответствии с пунктом 73 Методических указаний.
для первого долгосрочного периода регулирования;
- скорректированная стоимость объектов, введенных в эксплуатацию;
,
, для j = 1...k,
где:
k - текущий год периода регулирования для целей корректировки по итогам текущего года периода регулирования;
- стоимость фактически произведенного за год j ввода объектов в эксплуатацию, предусмотренных планом ввода объектов в эксплуатацию, или определенных по согласованию с регулирующим органом, без учета НДС и стоимости объектов, учтенных в размере инвестированного капитала в качестве объектов незавершенного строительства, определяемая с учетом особенностей, указанных в пунктах 68 - 72 Методических указаний.
, для j = k+1,...i,
где:
k+1 - следующий год периода регулирования для целей корректировки по итогам текущего года периода регулирования;
- стоимость ввода объектов в эксплуатацию, предусмотренная скорректированным утвержденным планом ввода объектов в эксплуатацию на год j долгосрочного периода регулирования.
, для j = 1...k,
где:
k - текущий год периода регулирования для целей корректировки по итогам текущего года периода регулирования;
- величина фактических поступлений средств по оплате инвестиционной составляющей платы за технологическое присоединение объектов, введенных в эксплуатацию в году j, в соответствии с тарифными решениями, за вычетом планируемого к уплате налога на прибыль, без учета НДС.
, для j = k+1,...i
где:
k+1 - следующий год периода регулирования для целей корректировки по итогам текущего года периода регулирования;
- скорректированная величина планируемых поступлений средств по оплате инвестиционной составляющей платы за технологическое присоединение объектов, введенных в эксплуатацию в году j, в соответствии с тарифными решениями, за вычетом планируемого к уплате налога на прибыль, без учета НДС;
- первоначальная стоимость базы инвестированного капитала, соответствующая фактическому списанию (выбытию) до установленного срока их использования активов, необходимых для осуществления регулируемой деятельности, за год j, определяемая в соответствии с пунктом 73 Методических указаний, а также первоначальная стоимость базы инвестированного капитала, который был возвращен в полном объеме. Определяется для j = 1..k, где k - текущий год периода регулирования;
- корректировка первоначальной стоимости базы инвестированного капитала по итогам года j периода регулирования, определяемая регулирующим органом, связанная с фактическим изменением состава и стоимости активов. Определяется для j = 1..k, где k - текущий год периода регулирования.
67. Скорректированная остаточная стоимость базы инвестированного капитала регулируемой организации на начало i+1 года первого долгосрочного периода регулирования определяется как:
,
где:
k - номер года долгосрочного периода регулирования, соответствующий 2011 году.
- возврат нового инвестированного капитала, включенный в необходимую валовую выручку организации с начала первого периода регулирования, до 2011 года включительно.
Скорректированная остаточная стоимость базы инвестированного капитала регулируемой организации на начало i+1 года второго и далее долгосрочного периода регулирования определяется как:
,
,
где:
i - номер расчетного года периода регулирования, i = 1, 2, 3..
- определяется для очередного (второго и далее) периода регулирования как величина остаточной стоимости базы инвестированного капитала, утвержденной на начало очередного (второго и далее) долгосрочного периода регулирования, скорректированная с учетом фактических параметров определения стоимости активов, учтенных при установлении значения базы инвестированного капитала на начало долгосрочного периода регулирования, как планируемые за период с последней отчетной даты до начала долгосрочного периода регулирования, а также с учетом выбытия объектов до окончания срока полезного использования, определяемого в соответствии с пунктом 73 Методических указаний.
68. Стоимость объектов, не предусмотренная утвержденным планом ввода объектов в эксплуатацию, учитывается при определении полной и остаточной стоимости базы инвестированного капитала регулируемой организации при условии их согласования регулирующими органами. Стоимость объектов, принятых на баланс организации, с целью ликвидации последствий аварий, чрезвычайных ситуаций и стихийных бедствий учитываются при расчете стоимости базы инвестированного капитала в объеме, установленном регулирующими органами на основе данных бухгалтерского учета.
Изменения стоимости объектов учитываются при определении полной и остаточной стоимости базы инвестированного капитала регулируемой организации в соответствии с Правилами утверждения инвестиционных программ субъектов электроэнергетики, Правилами осуществления контроля за реализацией инвестиционных программ субъектов электроэнергетики, утвержденными постановлением Правительства Российской Федерации от 1 декабря 2009 г. N 977 (Собрание законодательства Российской Федерации, 2009, N 49 (часть II), ст. 5978; 2010, N 28, ст. 3702; 2012, N 4, ст. 504).
При определении стоимости объектов для целей учета первоначальной и остаточной стоимости инвестированного капитала не учитываются:
- выплаты по кредитам (займам) и облигациям, комиссионные и иные платежи, произведенные в связи с привлечением заемного капитала до перехода к установлению тарифов с применением метода доходности инвестированного капитала;
- средства, полученные безвозмездно из бюджетов бюджетной системы Российской Федерации;
- стоимость объектов, финансирование которых осуществлено государственными корпорациями;
- стоимость объектов, учтенных в размере инвестированного капитала в качестве объектов незавершенного строительства.
При определении стоимости объектов для целей учета первоначальной и остаточной стоимости инвестированного капитала учитываются средства, полученные в качестве бюджетных инвестиций, влекущих за собой возникновение права государственной или муниципальной собственности на эквивалентную часть уставных (складочных) капиталов юридических лиц.
69. Размер арендных, лизинговых и других платежей за пользование регулируемой организацией имуществом иных собственников для осуществления регулируемой деятельности не включается в стоимость базы инвестированного капитала регулируемой организации.
Стоимость имущества, используемого регулируемой организацией для осуществления регулируемой деятельности на основании договоров аренды или лизинга, не учитывается для определения первоначальной и остаточной стоимости инвестированного капитала.
70. При переходе в собственность регулируемой организации активов, необходимых для осуществления регулируемой деятельности, ранее учитывавшихся при определении размера или базы инвестированного капитала другой регулируемой организации, полная и остаточная стоимость базы инвестированного капитала, относящаяся к этим активам, устанавливаются равными первоначальной и остаточной стоимости базы инвестированного капитала, относящейся к этим активам, регулируемой организации, передавшей указанные активы.
71. Для целей определения первоначальной и остаточной стоимости базы инвестированного капитала стоимость объектов электросетевого хозяйства, включаемых в базу инвестированного капитала, определяется с учетом положений, установленных пунктом 35 Основ ценообразования.
--------------------------------
<*> Сноска исключена. - Приказ ФАС России от 24.08.2017 N 1108/17.
72. Корректировка цен (тарифов) на услуги по передаче электрической энергии, связанная с учетом степени загрузки центров питания, осуществляется с 1 июля 2014 г.
Определение степени фактической загрузки объектов электросетевого хозяйства определяется в соответствии с методическими указаниями, утверждаемыми Министерством энергетики Российской Федерации <*>.
--------------------------------
<*> Пункт 35 Основ ценообразования.
73. При выбытии в течение текущего периода регулирования объектов, стоимость которых учитывалась при определении размера инвестированного капитала регулируемой организации, а также при определении базы инвестированного капитала регулируемой организации на начало второго и последующих периодов регулирования, определяется степень их износа на момент выбытия, по данным бухгалтерского учета (с подтверждением факта списания соответствующими актами выбытия). В случае полного износа признается факт своевременного выбытия объекта, и корректировка стоимости размера или базы инвестированного капитала не производится. В случае неполного износа признается факт досрочного выбытия объекта и производится уменьшение утвержденной первоначальной (остаточной) стоимости базы инвестированного капитала на величину утвержденной при определении стоимости базы инвестированного капитала на начало периода регулирования первоначальной (остаточной) стоимости выбывающего объекта.
При выбытии в течение первого периода регулирования объектов, стоимость которых учитывалась при определении размера инвестированного капитала, размер инвестированного капитала регулируемой организации уменьшается на величину утвержденной на начало первого периода регулирования остаточной стоимости такого объекта.
При выбытии в течение текущего периода регулирования объектов, стоимость которых учитывалась при определении объема ввода объектов в эксплуатацию, осуществляемого в течение текущего периода регулирования, производится уменьшение первоначальной стоимости базы инвестированного капитала на сумму фактической первоначальной балансовой стоимости этих объектов (по данным бухгалтерского учета, подтвержденным актами выбытия).
При выбытии в течение текущего периода регулирования части объекта производится уменьшение первоначальной стоимости базы инвестированного капитала (размера инвестированного капитала) на сумму, равную отношению списанной бухгалтерской стоимости к полной бухгалтерской стоимости, умноженному на полную величину инвестированного капитала всего объекта.
74. Остаточная стоимость капитала, инвестированного до перехода на регулирование по методу доходности инвестированного капитала, с учетом начисленного возврата и выбытия объектов до окончания срока использования на начало каждого i+1 года первого долгосрочного периода регулирования определяется как:
,
где:
i - номер расчетного года периода регулирования, i = 1, 2, 3...;
РИК - размер инвестированного капитала, установленный на начало первого долгосрочного периода регулирования в соответствии с пунктами 51 - 53 Методических указаний;
- остаточная стоимость, соответствующая фактическому за год j списанию (выбытию) до установленного срока их использования активов, необходимых для осуществления регулируемой деятельности, учтенная при утверждении размера инвестированного капитала на начало первого долгосрочного периода регулирования, определяемая в соответствии с пунктом 73 Методических указаний, а также остаточная стоимость капитала, инвестированного до перехода на регулирование по методу доходности инвестированного капитала, который был возвращен в полном объеме; определяется для j = 1..k, где k - текущий год периода регулирования;
ИИК - физический износ инвестированного капитала, установленный на начало первого долгосрочного периода регулирования в соответствии с пунктом 51 Методических указаний.
75. Срок возврата инвестированного капитала регулируемой организации составляет 35 лет.
76. Регулируемая организация ежегодно, не позднее 1 декабря - за истекший отчетный период текущего года и не позднее 1 мая - за предыдущий год, предоставляет информацию о движении инвестированного капитала (приложения 6 и 7 к Методическим указаниями), а также предложения по установлению полной и остаточной стоимости базы инвестированного капитала на начало очередного года периода регулирования.
77. Регулируемая организация ежегодно, не позднее 1 декабря - за отчетный период текущего года и не позднее 1 мая - за предыдущий год предоставляет отчет о выбытии объектов до окончания установленного срока их использования за указанный период, с указанием первоначальной и остаточной стоимости выбывших объектов, с разделением на группы по признаку учета стоимости этих объектов при установлении значения размера/базы инвестированного капитала на начало текущего периода регулирования или при установлении стоимости базы инвестированного капитала в течение текущего периода регулирования (приложения 6 и 7 к Методическим указаниям).
По запросу регулирующих органов дополнительно к ведомости выбытия предоставляются в электронном виде копии соответствующих первичных документов, подтверждающих выбытие (акты списания, накладные по реализации и так далее).
78. Регулируемая организация ежегодно, не позднее 1 декабря - за отчетный период текущего года и не позднее 1 мая - за предыдущий год предоставляет отчет о фактической стоимости объектов, введенных в эксплуатацию за указанный период, с указанием суммы поступлений средств по оплате инвестиционной составляющей платы за технологического присоединения объектов, введенных в эксплуатацию за указанный период. Отчет предоставляется в электронном виде (приложение 5 к Методическим указаниям).
79. По запросу регулирующего органа в согласованные сроки регулируемой организацией предоставляется вся детализирующая информация (приложения 4 - 9 к Методическим указаниям).
Регулирующие органы осуществляют проверку представленных данных на предмет их достоверности.
80. Регулирующие органы ежегодно на основе данных, представляемых регулируемой организации (приложения 4 - 9 к Методическим указаниям), ведут учет инвестированного капитала и активов, стоимость которых учитывается при определении стоимости базы инвестированного капитала.
VI. Правила определения долгосрочных параметров
регулирования с применением метода сравнения аналогов
Глава исключена. - Приказ ФСТ России от 18.03.2015 N 421-э.
VII. Расчет необходимой валовой выручки на оплату
технологического расхода (потерь) электрической энергии
81. Необходимая валовая выручка в части оплаты технологического расхода (потерь) электрической энергии в i-м году долгосрочного периода регулирования определяется по формуле:
,
где:
ЦПi - прогнозная цена (тариф) покупки потерь электрической энергии в сетях (с учетом мощности) в году i, учитываемая при установлении тарифа на услуги по передаче электрической энергии по электрическим сетям, принадлежащим на праве собственности или ином законном основании территориальным сетевым организациям, в соответствии с пунктом 81 Основ ценообразования;
- величина технологического расхода (потерь) электрической энергии в сетях территориальной сетевой организации, определенная на i-й год долгосрочного периода регулирования в соответствии с пунктом 40(1) Основ ценообразования;
- экономия расходов на оплату потерь электрической энергии, полученная сетевой организацией при осуществлении деятельности по передаче электрической энергии в результате проведения мероприятий по сокращению объема используемых энергетических ресурсов, определяемая в соответствии с пунктом 34(2) или 34(3) Основ ценообразования;
di - доля
, которая учитывается в составе необходимой валовой выручки в части содержания электрических сетей, определяемая регулирующим органом в диапазоне от 0 до 1.
ПРИЛОЖЕНИЯ
К МЕТОДИЧЕСКИМ УКАЗАНИЯМ ПО РЕГУЛИРОВАНИЮ ТАРИФОВ
С ПРИМЕНЕНИЕМ МЕТОДА ДОХОДНОСТИ ИНВЕСТИРОВАННОГО
КАПИТАЛА, УТВЕРЖДЕННЫМ ПРИКАЗОМ ФСТ РОССИИ
ОТ 30 МАРТА 2012 Г. N 228-Э
Приложение 1
(рекомендуемый образец)
Реестр операционных расходов
Коэффициент индексации операционных расходов
Период регулирования
N
п. п.
Параметры расчета расходов
Единица измерения
год k
год k+1
...
год N
1.
Индекс потребительских цен на расчетный период регулирования (ИПЦ)
%
2.
Индекс эффективности операционных расходов (ИР)
%
3.
Индекс изменения количества активов (ИКА)
%
4.
Коэффициент эластичности затрат по росту активов (Эл)
5.
Итого коэффициент индексации
Подконтрольные расходы
Период регулирования
N
п. п.
Наименование расхода
Единица измерения
Заявлено регулирующей организацией
Базовый уровень операционных рас ходов
год k
год k+1
...
год N
гр. 1
гр. 2
гр. 3
...
гр. N
6.
тыс. руб.
тыс. руб.
тыс. руб.
9.
ИТОГО операционных расходов
тыс. руб.
Рекомендации по заполнению:
1. строки 1 - 4 заполняются в соответствии с пунктами 2 - 4 настоящего раздела. Коэффициент индексации (строка 5) определяется по данным строк 1 - 4 по формуле, приведенной в пункте 2 настоящего раздела.
2. гр. 1 заполняется регулирующей организацией по итогам понесенных в предыдущем долгосрочном периоде регулирования расходов организации в соответствии с пунктами 5 - 7 настоящего раздела.
3. гр. 2 определяется регулирующим органом с учетом результатов анализа обоснованности расходов регулируемой организации, понесенных в предыдущем долгосрочном периоде регулирования, и результатов осуществления контрольных мероприятий.
4. гр. 3 - N заполняются расчетно, как значение предыдущей графы, умноженное на коэффициент индексации текущего года, в соответствии с пунктом 2 настоящего раздела.
5. строки 7 и 8 для граф 1 - 2 (установления базового уровня операционных расходов) заполняются в соответствии с пунктом 7 настоящего раздела, для граф 3 - N расчетно, аналогично предыдущим строкам.
6. год k - первый год периода регулирования, год N - последний год периода регулирования.
Приложение 2
(рекомендуемый образец)
Реестр неподконтрольных расходов
N
п. п.
год I-1
год I
...
год N
Наименование расхода
Единица измерения
утверждено на год i-1
фактически понесенные расходы по данным регулируемой организации
определено регулирующим органом по итогам года i-1
Корректировка по итогам года i-1
прогноз расходов по данным регулируемой организации
определенный регулирующим органом скорректированный объем расходов
ск
(HP i)
прогноз расходов по данным регулируемой организации
определенный регулирующим органом скорректированный объем расходов
ск
(HP i)
1.
гр. 1
гр. 2
гр. 3
гр. 4
гр. 5
гр. 6
тыс. руб.
тыс. руб.
тыс. руб.
тыс. руб.
тыс. руб.
тыс. руб.
тыс. руб.
тыс. руб.
ИТОГО
тыс. руб.
2.
Налог на прибыль
тыс. руб.
3.
ИТОГО неподконтрольных расходов
тыс. руб.
Рекомендации по заполнению:
1. год I - следующий год периода регулирования, год N - последний год периода регулирования.
2. гр. 2 заполняется регулируемой организацией по итогам фактически понесенных расходов за год i-1. При предоставлении данных за 9 месяцев текущего года указывается прогнозное годовое значение.
3. гр. 3 определяется регулирующим органом с учетом данных графы 2 и результатов анализа обоснованности расходов регулируемой организации.
4. гр. 4 определяет компенсацию понесенных неподконтрольных расходов, не учтенных при установлении тарифов на год i-1, в соответствии с разделом 2.5 Методических указаний.
5. гр. 5 - 6 заполняются в соответствии с пунктами 20, 21 Методических указаний.
Приложение 3
(рекомендуемый образец)
Расчет экономии операционных расходов
N
п. п.
Наименование расхода
Единица измерения
Год p-4
...
Год p-1
утверждено на год p-4
фактически понесенные расходы по данным регулируемой организации
определено регулирующим органом с учетом анализа обоснованности
экономия операционных расходов (ЭОРp-4)
...
утверждено на год p-1
фактически понесенные расходы по данным регулируемой организации
определено регулирующим органом с учетом анализа обоснованности
экономия операционных расходов (ЭОРp-1)
тыс. руб.
гр. 1
гр. 2
гр. 3
гр. 4
...
тыс. руб.
тыс. руб.
тыс. руб.
тыс. руб.
тыс. руб.
тыс. руб.
тыс. руб.
тыс. руб.
ИТОГО
тыс. руб.
Рекомендации по заполнению:
Приложение заполняется организацией по управлению ЕНЭС
1. приложение заполняется за четыре года, предшествующих очередному долгосрочному периоду регулирования (р-4й, -3й, -2й, -1й).
2. при заполнении граф за год р-1 (год, предшествующий долгосрочному периоду регулирования) в отсутствие фактических могут использоваться прогнозные годовые значения.
3. гр. 4 = гр. 1 - гр. 3, последующие графы заполняются аналогично, в соответствии с пунктом 16 Методических указаний.
Приложение 4
(рекомендуемый образец)
Размер инвестированного капитала на начало первого
периода регулирования XX.XX.XXXX (реестр)
Рекомендации по заполнению:
В гр. 3 указывается название группы основных средств, в соответствии с группировкой, определенной в приложении 7.
В гр. 4 указывается наименование электросетевого объекта, в состав которого входит ОС (например, название подстанции, ЛЭП и т.д.)
В гр. 5 опционально указывается двузначный код региона (субъекта РФ), в котором расположен данный объект. Если объект находится на территории нескольких регионов (например, ЛЭП), перечисляются через запятую коды всех регионов, по территории которых проходит данный объект.
В гр. 6 могут дополнительно на усмотрение организации указываться прочие технические, функциональные, географические, учетные характеристики или признаки основного средства (либо относящегося к нему объекта), для которых в дальнейшем целесообразно проводить сводное аналитическое сравнение или выборку.
В гр. 7 указывается полная восстановительная стоимость (полная стоимость замещения) основного средства, утвержденная на начало долгосрочного периода регулирования, актуальная на дату построения реестра.
В гр. 8 указывается сумма остаточной восстановительной стоимости (остаточной стоимости замещения) основного средства, утвержденная на начало долгосрочного периода регулирования, актуальная на дату построения реестра.
В гр. 9 указывается расчетный процент износа ОС, гр. 9 = 1 - гр. 8 / гр. 7 * 100%.
Сумма обязательств организации, возникших по согласованию с регулирующими органами при реализации инвестиционной программы, указывается одной строкой.
Приложение 5
(рекомендуемый образец)
Реестр формирования базы инвестированного капитала
за период XXX-XXX.XXXX
Стоимость объекта, тыс. руб., без НДС
Включено в базу RAB (факт ввода), тыс. руб. без НДС:
Код проекта инвестиционной программы (либо указание на согласование регулятора)
Наименование проекта ИП (либо обоснование ввода объекта)
Код ОС
Наименование ОС
Группа ОС
Наименование объекта (ЛЭП, ПС и т.д.)
Регион (местонахождение)
Доп. хар-ки ОС
План на период
Факт за период
1
2
3
4
5
6
7
8
9
10
Итого стоимость активов:
-
-
x
Инвестиционная составляющая оплаченной выручки за услуги по техприсоединению, тыс. руб.:
План на период
Фактически начислено
Фактически оплачено
11
12
13
-
-
-
Итого стоимость базы инвестированного капитала за период, тыс. руб.:
План на период
x
Факт за период
14
x
15
-
x
-
Рекомендации по заполнению:
В гр. 1 указывается уникальный код проекта инвестиционной программы (ИП), в соответствии с которым объект вводится в эксплуатацию, соответствующий долгосрочному периоду регулирования.
В гр. 2 указывается наименование проекта ИП в соответствии с утвержденной ИП.
Гр. 3 - 4 заполняются аналогично графам 1 - 5 приложения 4.
Гр. 5 указывается название группы основных средств, в соответствии с группировкой, определенной в приложении 10.
Гр. 6, 7 заполняются аналогично графам 3, 4 приложения 4.
В гр. 8 указывается стоимость объекта, запланированного ко вводу в эксплуатацию на отчетный период (год) в соответствии с утвержденной ИП.
В гр. 9 указывается фактическая стоимость объекта, введенного в эксплуатацию за отчетный период. Также включаются объекты, не включенные в утвержденную ИП, но фактически введенные в отчетный период (год), для согласования включения таких объектов в базу инвестированного капитала с ФАС России.
Гр. 10 заполняется по согласованию с регулятором и отражает стоимость принятых регулятором к учету в базу инвестированного капитала объектов.
В гр. 11 - 13 указывается сумма инвестиционной составляющей выручки за услуги по технологическому присоединению объектов, введенных в эксплуатацию за отчетный период (в тыс. руб., без НДС).
Общая сумма планового формирования нового капитала в гр. 14 рассчитывается по формуле: гр. 14 =
гр. 8 (без НДС) - гр. 11.
Общая сумма нового капитала за отчетный период в гр. 15 рассчитывается по формуле: гр. 15 =
гр. 10 - гр. 13.
Приложение 6
(рекомендуемый образец)
Реестр выбытия активов из базы "старого" капитала
за период XXX-XXX.XXXX
Исключается из базы RAB, тыс. руб.
Инвентарный N ОС
Наименование ОС
Наименование объекта
N акта списания
Дата списания
Остаточная балансовая ст-ть на дату списания, тыс. руб.
Полная восст. ст-ть
Остаточная восст. ст-ть
1
2
3
4
5
6
7
8
Итого стоимость выбывших объектов:
-
-
Итого выбытие инвестированного капитала в отчетном периоде,
тыс. руб.:
10
11
-
-
Рекомендации по заполнению:
Приложение заполняется для объектов "старого" капитала (по утвержденному реестру активов при утверждении размера инвестированного капитала), выбывающих до окончания нормативного срока использования.
В случае, если остаточная стоимость объекта ОС на дату списания (выбытия) по данным бухгалтерского учета, отраженная в акте списания, равна нулю (т.е. объект на момент списания полностью самортизирован в бухгалтерском учете), то объект ОС не включается в реестр выбытия (и продолжает учитываться в реестре инвестированного капитала).
В гр. 3 указывается наименование объекта, в состав которого входит ОС (например, название подстанции, ЛЭП и т.д.) - см. аналогично гр. 4 для приложения 4.
В гр. 4 указывается номер акта списания ОС (по форме ОС-4 или ОС-4б, другие унифицированные формы учета ОС), согласно которому было отражено выбытие соответствующих объектов основных средств.
В гр. 5 указывается дата фактически проведенного списания ОС в бухгалтерском учете.
В гр. 6 указывается остаточная стоимость ОС на дату списания (выбытия) по данным бухгалтерского учета, отраженная в акте списания.
В гр. 7 и 8 указывается сумма оценочной стоимости (полной восстановительной и остаточной восстановительной) объекта ОС (идентификация объекта производится по инвентарному номеру), утвержденная на начало первого долгосрочного периода регулирования, в соответствии с данными приложения 1.
Общее суммарное уменьшение базы RAB в отчетном периоде, по полной восстановительной стоимости, равно сумме стоимостей выбывших объектов по гр. 7 (гр. 10 =
гр. 7).
Общее суммарное уменьшение базы RAB в отчетном периоде, по остаточной восстановительной стоимости, равно сумме стоимостей выбывших объектов по гр. 8, скорректированной на сумму возврата за отчетный период (гр. 11 =
гр. 8 -
гр. 7 / 35 * N, где N - количество полных расчетных периодов (годов), прошедших с начала первого долгосрочного периода регулирования до начала отчетного периода).
Приложение 7
(рекомендуемый образец)
Реестр выбытия активов из базы "нового" капитала
за период XXX-XXX.XXXX
Исключается из базы RAB, тыс. руб.
Код ОС
Наименование ОС
Дата ввода
N акта списания
Дата списания
Первоначальная балансовая ст-ть
Остаточная балансовая ст-ть на дату списания
1
2
3
4
5
6
7
Итого выбытие базы инвестированного капитала в отчетном периоде, тыс. руб.:
-
-
Рекомендации по заполнению:
Приложение заполняется отдельно для объектов "нового" капитала (по реестру формирования базы инвестированного капитала), выбывающих до окончания нормативного срока использования.
В случае, если остаточная стоимость объекта ОС на дату списания (выбытия) по данным бухгалтерского учета, отраженная в акте списания, равна нулю (т.е. объект на момент списания полностью самортизирован в бухгалтерском учете), то объект ОС не включается в реестр выбытия (и продолжает учитываться в базе инвестированного капитала).
В гр. 3 указывается дата ввода объекта ОС в эксплуатацию (по данным из соответствующего акта, при наличии соответствующих данных).
В гр. 4 указывается номер акта списания ОС (по форме ОС-4 или ОС-4б, другие унифицированные формы учета ОС), согласно которому было отражено выбытие соответствующих объектов основных средств.
В гр. 5 указывается дата фактически проведенного списания ОС в бухгалтерском учете.
В гр. 6 и 7 указываются соответственно первоначальная и остаточная стоимость ОС на дату списания (выбытия) по данным бухгалтерского учета, отраженная в акте списания.
Приложение 8
(рекомендуемый образец)
Ведомость движения "старого" инвестированного капитала
Рекомендации по заполнению:
Приложение заполняется для инвестированного капитала, утвержденного на начало первого периода регулирования.
В гр. 1 и 2 указываются суммы полной и остаточной стоимости соответствующих подразделов из приложения 1 (графы 6 и 7).
В гр. 3 и 4 указываются суммы уменьшения базы капитала за счет исключения стоимостей выбывших активов, рассчитанные в приложении 3:
гр. 3 = приложение 3, гр. 10,
гр. 4 = приложение 3, гр. 11.
В гр. 5 указывается расчетная сумма возврата капитала за каждый отчетный период (год).
В гр. 6 указывается расчетная сумма полной стоимости капитала, по формуле:
для 1-го года: гр. 6 = гр. 1 - гр. 3
со 2-го года: гр. 6 = гр. 6_пред_год - гр. 3.
В гр. 7 указывается расчетная сумма остаточной стоимости капитала, по формуле:
для 1-го года: гр. 7 = гр. 2 - гр. 4 - гр. 5
со 2-го года: гр. 7 = гр. 7_пред_год - гр. 4 - гр. 5.
Приложение 9
(рекомендуемый образец)
Ведомость движения базы инвестированного капитала
тыс. руб.
Рекомендации по заполнению:
Приложение заполняется отдельно для объектов, введенных в эксплуатацию с начала первого периода регулирования, включаемых в базу инвестированного капитала.
В гр. 1 указывается сумма прироста базы инвестированного капитала за счет фактического ввода объектов в эксплуатацию, скорректированного на сумму полученных средств за техприсоединение, по формуле:
гр. 1 =
приложение2_гр. 15.
В гр. 2 и 3 указываются суммы уменьшения базы капитала за счет исключения стоимостей выбывших активов, рассчитанные в приложении 3:
гр. 2 =
приложение4_гр. 6,
гр. 3 =
приложение4_гр. 7.
В гр. 4 указывается расчетная сумма возврата капитала за каждый отчетный период.
В гр. 5 указывается расчетная сумма первоначальной стоимости базы капитала, по формуле:
для 1-го года: гр. 5 = гр. 1 - гр. 2
со 2-го года: гр. 5 = гр. 5_пред_год + гр. 1 - гр. 2.
В гр. 6 указывается расчетная сумма остаточной стоимости базы капитала, по формуле:
для 1-го года: гр. 6 = гр. 1 - гр. 3 - гр. 4
со 2-го года: гр. 6 = гр. 6_пред_год + гр. 1 - гр. 3 - гр. 4.
Приложение 10
(рекомендуемый образец)
Справочник Групп ОС для заполнения приложений 4 и 5
(заполняется для организации по управлению ЕНЭС
и рекомендован для других сетевых организаций)
Классы ОС
Группы оборудования
ОС/Рабочие машины и оборудование
Трансформаторы
Технологическое оборудование
ОС/Передаточные устройства (ЛЭП)
Кабельные линии
ВЛ-110 кВ
ВЛ-220 кВ
ВЛ-330 кВ
ВЛ-500 кВ
Прочее
ОС/Оборудование систем связи
Коммуникационные устройства
Волоконно-оптический кабель
ОС/Сооружения
Сооружения технологические
Сооружения инфраструктурные
ОС/Здания (кроме жилых)
Здания технологические (производственные)
Здания инфраструктурные (инженерная инфраструктура, склады, транспорт)
Прочие здания (административные)
ОС/Измерительные и регулирующие приборы
Измерительные и регулирующие приборы
ОС/Транспортные средства
Автоспецтехника
Прочие средства передвижения производственного назначения
Легковые автомобили производственного назначения
Легковые автомобили административного назначения
ОС/Земельные участки
Земельные участки под объектами технологического назначения
Земельные участки под объектами административного назначения
ОС/Вычислительная техника
Компьютерная техника административного назначения
Компьютерная техника производственного назначения
Оргтехника административного назначения
Оргтехника производственного назначения
ОС/Инвентарь (кроме мебели)
Производственный инвентарь
Хозяйственный инвентарь производственного назначения
Хозяйственный инвентарь административного назначения
ОС/Прочие
Прочие производственного назначения
Прочее административного назначения
ОС/Мебель
Мебель производственного назначения
Мебель административного назначения