Постановление Госкомстата России от 16.07.1996 N 61
ГОСУДАРСТВЕННЫЙ КОМИТЕТ РОССИЙСКОЙ ФЕДЕРАЦИИ ПО СТАТИСТИКЕ
ПОСТАНОВЛЕНИЕ
от 16 июля 1996 г. N 61
ОБ УТВЕРЖДЕНИИ МЕТОДИК
РАСЧЕТА БАЛАНСА ДЕНЕЖНЫХ ДОХОДОВ И РАСХОДОВ НАСЕЛЕНИЯ
И ОСНОВНЫХ СОЦИАЛЬНО-ЭКОНОМИЧЕСКИХ ИНДИКАТОРОВ УРОВНЯ
ЖИЗНИ НАСЕЛЕНИЯ
Государственный комитет Российской Федерации по статистике постановляет:
1. Утвердить по согласованию с Министерством экономики Российской Федерации, Министерством финансов Российской Федерации, Министерством труда Российской Федерации, Центральным банком Российской Федерации "Методику расчета баланса денежных доходов и расходов населения" и ввести ее в действие с 25 апреля 1996 года.
2. Утвердить по согласованию с Министерством экономики Российской Федерации, Министерством труда Российской Федерации, Министерством социальной защиты населения Российской Федерации "Методику расчета основных социально-экономических индикаторов уровня жизни населения".
Председатель Госкомстата России
Ю.А.ЮРКОВ
МЕТОДИКА
РАСЧЕТА БАЛАНСА ДЕНЕЖНЫХ ДОХОДОВ И РАСХОДОВ НАСЕЛЕНИЯ
Утратила силу. - Приказ Росстата от 02.07.2014 N 465.
Утверждена
Постановлением Госкомстата России
от 16.07.1996 N 61
Согласовано
Первый Заместитель
Министра экономики
Российской Федерации
И.С.МАТЕРОВ
__ июня 1996 г.
Заместитель Министра труда
Российской Федерации
В.А.ЯНВАРЕВ
__ июня 1996 г.
Первый Заместитель Минсоцзащиты
Российской Федерации
А.Н.ХРОМУШИН
28 июня 1996 г.
МЕТОДИКА
РАСЧЕТА ОСНОВНЫХ СОЦИАЛЬНО-ЭКОНОМИЧЕСКИХ ИНДИКАТОРОВ УРОВНЯ
ЖИЗНИ НАСЕЛЕНИЯ
1. ОСНОВНЫЕ ПОЛОЖЕНИЯ
А. Общая характеристика и источники информации
Социально-экономические индикаторы являются неотъемлемыми компонентами социальных программ и используются в качестве инструмента измерения результатов влияния экономических реформ на уровень жизни населения.
Социально-экономические индикаторы уровня жизни населения формируются на основе статистических данных, характеризующих объем, состав, основные направления использования и распределения между отдельными группами денежных доходов населения, а также с использованием других данных, отражающих конечный результат экономической и социальной политики в областях, затрагивающих различные аспекты благосостояния населения.
Социально-экономические индикаторы выражаются через средние и медианные величины, темпы изменения, коэффициенты частоты, концентрации, дифференциации и покупательной способности. Расчет социально-экономических индикаторов производится в соответствии с общими требованиями по формированию макроэкономических показателей и с учетом специфики системы статистических социальных показателей.
Ниже приводятся основные определения исходных показателей, используемые в расчетах социально-экономических индикаторов.
РАСПОЛАГАЕМЫЙ ДОХОД ДОМАШНИХ ХОЗЯЙСТВ <1> определяется как доход, полученный домашними хозяйствами от производственной деятельности, от собственности, а также в результате перераспределительных операций: добавлением полученных субсидий на производство и импорт и текущих трансфертов <2> (кроме социальных трансфертов в натуре <3>) и вычитанием выплаченных налогов на производство и импорт и текущих трансфертов (включая текущие налоги на доходы и богатство). Располагаемый доход является источником для конечного потребления товаров и услуг и сбережения.
--------------------------------
<1> Домашнее хозяйство - небольшая группа людей, проживающих в одном и том же жилище, объединяющих часть или весь свой доход и имущество, и совместно потребляющих определенные типы продуктов и услуг, главным образом, жилищные услуги и продукты питания.
<2> Трансферты - операция, при которой товары, услуги или денежные средства предоставляются в одностороннем порядке без получения какого-либо эквивалента взамен.
<3> Социальные трансферты в натуре состоят из товаров и индивидуальных нерыночных услуг, предоставляемых конкретным домашним хозяйствам из федерального и местных бюджетов или от общественных организаций бесплатно.
ФАКТИЧЕСКОЕ КОНЕЧНОЕ ПОТРЕБЛЕНИЕ ДОМАШНИХ ХОЗЯЙСТВ включает расход на покупку потребительских товаров и услуг и стоимость индивидуальных товаров и услуг, полученных домашними хозяйствами от органов государственного управления и от некоммерческих организаций бесплатно в виде социальных трансфертов в натуре.
РАСХОДЫ НА КОНЕЧНОЕ ПОТРЕБЛЕНИЕ ДОМАШНИХ ХОЗЯЙСТВ включают расходы на приобретение потребительских товаров и услуг, а также потребление товаров и услуг в натуральной форме: произведенных для себя (сельскохозяйственная продукция личных подсобных хозяйств, условно исчисленные услуги по проживанию в собственном жилище) и полученных в качестве оплаты труда и различных видов вспомоществования.
ДЕНЕЖНЫЕ ДОХОДЫ НАСЕЛЕНИЯ <1> включают оплату по труду всех категорий населения, пенсии, пособия, стипендии и другие социальные трансферты, поступления от продажи продуктов сельского хозяйства, доходы от собственности в виде процентов по вкладам, ценным бумагам, дивидендов, доходы лиц, занятых предпринимательской деятельностью, а также страховые возмещения, ссуды, доходы от продажи иностранной валюты и другие доходы.
--------------------------------
<1> В соответствии с "Методикой расчета Баланса денежных доходов и расходов населения", утвержденной 25.04.96.
ДЕНЕЖНЫЕ РАСХОДЫ И СБЕРЕЖЕНИЯ НАСЕЛЕНИЯ <1> включают расходы на покупку товаров и оплату услуг, обязательные платежи и разнообразные взносы (налоги и сборы, платежи по страхованию, взносы в общественные и кооперативные организации, возврат банковских ссуд, проценты за товарный кредит и др.), покупку иностранной валюты, а также прирост сбережений во вкладах и ценных бумагах.
Публикация социально-экономических индикаторов уровня жизни населения производится на ежемесячной основе в докладах Госкомстата России "О социально-экономическом положении" в соответствии с нижеследующим перечнем:
СРЕДНЕДУШЕВЫЕ ДЕНЕЖНЫЕ ДОХОДЫ исчисляются делением общей суммы денежного дохода за отчетный период на численность наличного населения.
РЕАЛЬНЫЕ РАСПОЛАГАЕМЫЕ ДЕНЕЖНЫЕ ДОХОДЫ определяются исходя из денежных доходов текущего периода за минусом обязательных платежей и взносов, скорректированных на индекс потребительских цен.
СРЕДНЕМЕСЯЧНАЯ НАЧИСЛЕННАЯ ЗАРАБОТНАЯ ПЛАТА работающих в отраслях экономики определяется делением начисленного месячного фонда заработной платы на среднесписочную численность работающих. Социальные пособия, получаемые работающими из государственных и негосударственных внебюджетных фондов, не включаются в фонд заработной платы и среднюю заработную плату.
СРЕДНИЙ РАЗМЕР НАЗНАЧЕННОЙ МЕСЯЧНОЙ ПЕНСИИ пенсионера, установленный в соответствии с Законом РСФСР "О государственных пенсиях в РСФСР", определяется делением общей суммы назначенных месячных пенсий на соответствующую численность пенсионеров.
ПОКУПАТЕЛЬНАЯ СПОСОБНОСТЬ ДЕНЕЖНЫХ ДОХОДОВ НАСЕЛЕНИЯ отражает потенциальные возможности населения по приобретению товаров и услуг и выражается через товарный эквивалент среднедушевых денежных доходов населения и соотношение денежных доходов населения с величиной прожиточного минимума.
РАСПРЕДЕЛЕНИЕ НАСЕЛЕНИЯ ПО УРОВНЮ СРЕДНЕДУШЕВЫХ ДЕНЕЖНЫХ ДОХОДОВ характеризует дифференциацию населения по уровню материального достатка и представляет собой показатели численности (или долей) населения, сгруппированного в заданных интервалах по уровню среднедушевых денежных доходов.
РАСПРЕДЕЛЕНИЕ ОБЩЕГО ОБЪЕМА ДЕНЕЖНЫХ ДОХОДОВ ПО РАЗЛИЧНЫМ ГРУППАМ НАСЕЛЕНИЯ выражается через проценты общего объема денежных доходов, которым обладает каждая из 20-ти (10-ти) процентных групп населения.
КОЭФФИЦИЕНТЫ ДИФФЕРЕНЦИАЦИИ ДОХОДОВ НАСЕЛЕНИЯ: устанавливают размер превышения денежных доходов высокодоходных групп по сравнению с низкодоходными группами населения. Различаются: коэффициент фондов (соотношение между средними значениями доходов внутри сравниваемых групп населения или их долями в общем объеме доходов) и децильный коэффициент дифференциации (отношение уровней доходов, ниже и выше которых находятся десятые доли совокупности в разных концах ряда распределения населения по уровню среднедушевых денежных доходов).
КОЭФФИЦИЕНТ КОНЦЕНТРАЦИИ ДОХОДОВ (ИНДЕКС ДЖИНИ): устанавливает степень отклонения фактического объема распределения доходов населения от линии их равномерного распределения.
ВЕЛИЧИНА ПРОЖИТОЧНОГО МИНИМУМА представляет собой стоимостную оценку прожиточного минимума: натурального набора продуктов питания, учитывающего диетологические ограничения и обеспечивающего минимально необходимое количество калорий, а также расходов на непродовольственные товары и услуги, налоги и обязательные платежи, исходя из доли затрат на эти цели в бюджетах низкодоходных домашних хозяйств.
ЧИСЛЕННОСТЬ НАСЕЛЕНИЯ С ДЕНЕЖНЫМИ ДОХОДАМИ НИЖЕ ПРОЖИТОЧНОГО МИНИМУМА определяется на основе рядов распределения населения по уровню среднедушевых денежных доходов и является результатом суммирования числа лиц, чьи денежные доходы ниже величины прожиточного минимума.
ДЕФИЦИТ ДОХОДА определяется на основе данных о численности и размере доходов населения с доходами ниже прожиточного минимума и исчисляется как суммарное значение дохода, необходимое для его повышения до величины прожиточного минимума.
Б. Метод исчисления показателей в реальном выражении
(с корректировкой на индекс потребительских цен)
С целью устранения фактора изменений цен номинальные денежные доходы и расходы населения рассчитываются в реальном выражении с корректировкой на индекс-дефлятор, отражающий изменение цен на различные компоненты денежных расходов населения.
Результатом пересчета являются показатели, идентифицируемые в определениях как реальные (реальные денежные доходы, реальная заработная плата, реальный размер назначенной месячной пенсии, реальные расходы на конечное потребление домашних хозяйств и т.д.).
Пересчет в сопоставимые цены проводится с использованием:
- индексов потребительских цен: сводных или субиндексов на отдельные товарные группы;
- индексов потребительских цен, дифференцированных по группам населения с различным уровнем доходов.
Расчет показателей в реальном выражении осуществляется методом приведения показателей текущего периода в цены базисного периода по формуле:
Ir = In : ИПЦ * 100
где
Ir - значение показателя в реальном выражении за отчетный месяц;
In - значение показателя в номинальном выражении за отчетный месяц;
ИПЦ - Индекс потребительских цен в процентах к предыдущему месяцу <1>.
--------------------------------
<1> По отношению к конкретным целям исследования могут использоваться: сводные, дезагрегированные или дифференцированные индексы (субиндексы) потребительских цен.
Значение показателя в реальном выражении за период, превышающий месяц, является результатом действий с рядами месячных данных в реальном выражении либо (что то же самое) с применением модифицированных значений индексов-дефляторов, выражающих усредненное для соответствующего периода изменение цен.
В. Методы расчета покупательной способности денежных
доходов населения
Утратил силу. - Приказ Росстата от 20.11.2025 N 647.
2. МЕТОДИКА РАСЧЕТА ПОКАЗАТЕЛЕЙ РАСПРЕДЕЛЕНИЯ
И ДИФФЕРЕНЦИАЦИИ НАСЕЛЕНИЯ ПО УРОВНЮ ДОХОДОВ
2.1. Методика построения ряда распределения населения
по размеру среднедушевого денежного дохода <1>
--------------------------------
<1> Актуализируется ежегодно по согласованию с Минэкономики России, Минтруда России и Минсоцзащиты России.
К числу важнейших методов изучения дифференциации доходов населения относится построение вариационных рядов и, на их основе, - статистических рядов распределения населения по уровню среднедушевых денежных доходов, представляющих собой ранжированные и сгруппированные в определенных интервалах по величине дохода результаты наблюдений.
Расчеты распределения населения по уровню среднедушевых денежных доходов осуществляются с применением методов имитационного моделирования <2> путем преобразования эмпирического распределения, полученного на основе данных выборочных обследований <3>, в ряд распределения, соответствующий значению группировочного признака в генеральной совокупности <4>.
--------------------------------
<2> При наличии условий, не опровергающих относительного соответствия экономического и математического аспектов распределения исследуемого показателя в выборочной и генеральной совокупности.
<3> С 1992 г. в этих целях используются данные выборочного обследования бюджетов домашних хозяйств.
<4> Среднедушевой денежный доход, полученный на основе Баланса денежных доходов и расходов населения.
При расчете распределения населения по уровню среднедушевых денежных доходов используются данные эмпирического распределения и статистические оценки, рассчитываемые в среднем за месяц отчетного периода <5>. При этом условии показатели распределения характеризуют значение денежных доходов в среднем за месяц отчетного периода.
--------------------------------
<5> При этом эмпирическое распределение за отчетный период не является поинтервальной суммой частот месячных распределений.
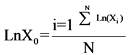
Процедура построения ряда распределения основывается на расчете частостей (частот), соответствующих заданным интервальным значениям среднедушевых доходов (переменной величины) и закону логнормального распределения. Расчеты производятся по следующей формуле:
при X > 0
где:
;
;
; 
где:
Xi - среднемесячный доход i-го члена выборочного обследования за отчетный период;
N - среднемесячная численность обследуемых за отчетный период;
- среднедушевой доход по генеральной совокупности в среднем за месяц отчетного периода.
К характеристикам ряда распределения относятся оценки моды и медианы.
Модальный доход - значение показателя, наиболее часто встречающегося в распределении.
Его расчет производится по следующей формуле:

Медианный доход - значение показателя, стоящего в центре распределения.
Его расчет осуществляется по следующей формуле:
Me = Xo
2.2. Методика построения кривой Лоренца и расчета
показателей дифференциации доходов населения
Кривая Лоренца представляет собой кумулятивное распределение численности населения и соответствующих этой численности доходов. В результате она показывает соотношение процентов всех доходов и процентов всех их получателей.
Если бы доходы распределялись равномерно, т.е. 10% получателей имели бы десятую часть доходов, 50% - половину и т.д., то такое распределение имело бы вид диагонали квадрата со сторонами от 0% до 100%. Неравномерное же распределение характеризуется кривой, отстоящей от прямой тем дальше, чем больше дифференциация.
Графическое изображение кривой Лоренца представлено ниже (рис. 1):

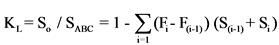
Коэффициент концентрации или индекс Джини (KL): устанавливает степень отклонения фактического объема распределения доходов населения от линии их равномерного распределения.
Коэффициент концентрации (индекс Джини) дает возможность численно оценить степень неравенства: чем больше дифференциация распределения, тем дальше кривая отстоит от диагональной прямой и тем больше коэффициент концентрации. Для равномерного распределения он равен нулю, в условиях абсолютного неравенства он равен единице.
Для расчета коэффициента концентрации Лоренца (индекса Джини) используется следующая формула:

где:
(Fi - Fi-1) - доля населения, относящаяся к i-му интервалу;
Si-1, Si - доля суммарного дохода, приходящаяся на начало и конец i-го интервала <1>.
--------------------------------
<1> Объем доходов по каждой интервальной группе определяется по кривой распределения населения по размеру среднедушевого дохода путем умножения середины доходного интервала на численность населения в этом интервале.
Коэффициент фондов (Kf) измеряет соотношение между средними доходами внутри сравниваемых групп или, что то же самое, между их долями в общем фонде доходов:
Kf = S10 / S1
где:
S10 - суммарный доход, который приходится на 10% населения с самыми высокими доходами;
S1 - суммарный доход, который приходится на 10% населения с самыми низкими доходами.
Для численной оценки дифференциации в распределении доходов используются также соотношения показателей доходов между квантилями (точками ряда распределения, делящих его в определенном соотношении). К их числу относятся: квартили (четверти), децили (десятые части), полудецили (двадцатые части) и перцентили (сотые части).
Децильный коэффициент дифференциации (Kd) рассчитывается как отношение уровней, ниже и выше которых находятся десятые доли совокупности в разных концах распределения по уровню доходов:
Kd = d9 / d1
где

где
Ud1,9 - определяется по таблице значений функций нормального распределения;
d1 - значение аргумента (в данном случае дохода), вероятность быть ниже которого равна 0,1 (F1) (т.е. 10% населения имеют доход ниже этого значения);
d9 - значение аргумента, вероятность быть ниже которого равна 0,9 (F9) (т.е. 10% населения имеют доход выше этого значения).
3. МЕТОДИКА РАСЧЕТА ПОКАЗАТЕЛЕЙ, ХАРАКТЕРИЗУЮЩИХ УРОВЕНЬ
И РАСПРОСТРАНЕНИЕ НИЗКИХ ДОХОДОВ
3.1. Определение показателей, характеризующих уровень низких доходов
Измерение уровня низких доходов производится путем установления линии (порога или ограничения), ниже которой лица или домохозяйства считаются имеющими недостаток средств для обеспечения стоимости жизни, определяемой исходя из понятий относительно низких (минимальных) потребностей.
Измерение основывается на подходах:
- абсолютном, исходя из совокупной стоимостной оценки прожиточного минимума основных потребностей (в продуктах питания, одежде, жилье и т.д.), которые устанавливаются нормативным (или дополненным другими способами измерения) методом на основе научно обоснованных нормативов потребления;
- относительном, исходя из сложившихся соотношений в распределении доходов по различным группам населения и определения на этой основе уровня средних доходов наименее обеспеченной группы (или нескольких групп);
- субъективном, основанном на обследованиях общественного мнения об уровне низких или недостаточных доходов.
Стоимостная величина, по отношению к которой производится измерение низких доходов, определяется на основе методологических положений, устанавливающих порядок включения в состав доходов населения (домохозяйств) статей денежных поступлений с добавлением (или без) иных видов поступлений в денежной оценке.
3.2. Методика расчета величины прожиточного минимума
Величина прожиточного минимума является показателем абсолютного измерения низких доходов с использованием нормативов потребления важнейших благ и услуг на минимально допустимом уровне.
Расчеты стоимостной величины прожиточного минимума осуществляются на основании Методических рекомендаций по расчетам прожиточного минимума по регионам Российской Федерации (утверждены Минтруда России 10.11.92) <1>.
--------------------------------
<1> Разработаны в соответствии с Указом Президента Российской Федерации от 2 марта 1992 г. N 210 "О системе минимальных потребительских бюджетов".
Прожиточный минимум представляет собой натуральный набор продуктов питания, учитывающий диетологические ограничения и обеспечивающий минимально необходимое количество калорий, а также расходы на непродовольственные товары и услуги, налоги и обязательные платежи, соответствующие по структуре затрат на эти цели бюджетам низкодоходных домашних хозяйств <2>.
--------------------------------
<2> По порядку установления соответствует принятому в международной практике нормативно-статистическому методу расчета прожиточного минимума.
Продуктовые наборы, используемые в расчетах прожиточного
минимума для различных социально-демографических групп
населения России
(кг, в год)
В среднем на душу населения
Мужчины 16 - 59 лет
Женщины 16 - 54 лет
Пенсионеры
Дети
0 - 6 лет
7 - 15 лет
Хлебопродукты <*>, всего
130,8
177,0
124,9
119,0
64,4
112,3
бобовые
4,6
7,3
5,5
3,7
0,0
2,0
мука пшеничная
19,5
20,0
17,0
25,0
17,0
18,0
рис
3,7
5,0
2,9
2,9
3,0
4,0
крупа (кроме риса)
5,2
6,0
5,0
4,0
5,0
6,0
хлеб пшеничный
62,9
75,0
65,0
55,0
30,0
70,0
хлеб ржаной
68,7
115,0
62,0
55,0
20,0
40,0
макаронные изделия
5,2
6,0
5,0
6,0
4,0
4,0
Картофель
124,2
160,0
120,0
90,0
85,0
135,0
Овощи <*>, всего:
94,0
80,8
96,8
96,8
85,0
120,0
капуста
28,1
29,0
25,0
25,0
30,0
35,0
огурцы и помидоры
2,6
1,8
1,8
1,8
5,0
5,0
столовые корнеплоды
37,5
35,0
40,0
40,0
30,0
40,0
прочие овощи
25,9
15,0
30,0
30,0
20,0
40,0
Фрукты и ягоды <*>, всего
19,4
14,6
12,6
10,6
34,4
44,4
фрукты свежие
14,4
11,0
9,0
7,0
25,0
35,0
фрукты, ягоды сушеные
1,0
0,7
0,7
0,7
1,8
1,8
Сахар и конд. изделия <*>
20,7
20,8
19,8
18,8
19,7
26,1
сахар
19,7
20,0
19,0
18,0
18,0
24,0
конфеты
0,8
0,7
0,7
0,7
1,0
1,0
печенье и торты
1,2
0,7
0,7
0,7
2,0
3,0
Мясопродукты <*>, всего
26,6
32,2
25,0
19,8
18,7
33,5
говядина
4,8
4,0
2,0
3,0
8,0
12,0
баранина
0,9
1,8
1,0
0,7
0,0
0,0
свинина
1,5
2,0
2,0
0,7
0,0
2,0
субпродукты и проч. мясо
0,5
0,7
0,7
0,7
0,0
0,0
птица
17,5
22,0
18,0
14,0
10,0
18,0
сало
0,7
1,3
0,9
0,3
0,0
0,0
колб. изделия и копчености
0,8
0,6
0,6
0,6
1,0
2,0
Рыбопродукты <*>, всего
11,7
12,7
10,7
12,7
8,7
12,5
рыба свежая
10,9
12,0
10,0
12,0
8,0
11,0
сельди
0,8
0,7
0,7
0,7
0,7
1,5
Молокопродукты <*>, всего
212,4
201,7
179,4
174,1
279,0
303,4
молоко цельное
69,6
64,2
50,0
50,0
130,0
100,0
молоко нежирное
53,5
64,2
64,2
70,0
0,0
28,0
сметана и сливки
1,6
1,8
1,1
1,1
1,8
2,6
масло животное
2,5
1,8
1,8
1,8
4,0
5,0
творог
9,9
10,0
10,0
8,0
10,0
12,0
сыр и брынза
2,3
2,5
2,0
2,0
2,0
3,0
Яйца (штук)
151,4
180,0
150,0
90,0
150,0
180,0
Масло раст., маргарин
10,0
11,2
9,8
8,9
6,8
11,7
маргарин и др. жиры
3,9
5,5
4,0
3,0
2,0
3,0
масло растительное
6,4
6,2
6,2
6,2
5,0
9,0
--------------------------------
<*> В пересчете в первичный продукт.
Набор продуктов питания рассчитан на основе минимальных размеров потребления Институтом питания Академии медицинских наук Российской Федерации, Институтом социально-экономических проблем народонаселения РАН и Министерства труда Российской Федерации при участии Всемирной организации Здравоохранения.
В основу расчета набора положены:
- нормы физиологических потребностей в пищевых веществах и энергии для различных групп населения России и рекомендации ФАО/ВОЗ/УООН 1985 года о потребности человека в энергии и белке;
- сведения о химическом составе и энергетической ценности, величинах съедобной части пищевых продуктов и потерях пищевых веществ в процессе кулинарной обработки и приготовления продуктов;
- данные об усвояемости белка и содержании в нем незаменимых аминокислот.
Набор продуктов питания, т.н. минимальная продовольственная "корзина", обеспечивает содержание по химическому составу продуктов и их калорийности в следующих пропорциях (в сутки):
В среднем на душу населения
Мужчины 16 - 59 лет
Женщины 16 - 54 лет
Пенсионеры
Дети
0 - 6 лет
7 - 15 лет
Белки, граммов
73,6
88,7
70,3
65,3
49,4
74,5
в том числе животного происхождения
28,9
31,5
27,3
25,6
25,1
33,1
Жиры, граммов
56,8
64,1
54,3
48,3
51,6
73,9
Углеводы, граммов
353,3
441,2
337,6
316,9
228,1
351,7
Энергетическая ценность, ккал
2236,7
2720,4
2138,4
1979,6
1581,1
2385,6
Минимальная продовольственная "корзина" дифференцируется по 8 природно-климатическим зонам. Зонирование территории России сделано на основе количественной оценки факторов, определяющих материальные и культурные потребности населения и их территориальную дифференциацию по интегральному показателю условий жизни населения <1>.
--------------------------------
<1> Интегральный показатель условий жизни населения определяет территориальную дифференциацию в зависимости от воздействия комплекса зональных факторов, влияющих на различие в объеме и структуре минимальных потребительских бюджетов (природно-климатические условия, половозрастной состав населения, размер и структура семей, плотность населения, характер расселения, экономическое развитие территории, особенности национального быта и др.). Зонирование проведено Центральным научно-исследовательским институтом экономики при Министерстве экономики России.
Идентификация регионов России по зонам производится по следующей таблице:
Зоны
Области, края, республики
Зоны
Области, края, республики
I
Краснодарский край, Ставропольский край
V
Астраханская область, Саратовская область, Волгоградская область, Самарская область, Республика Башкортостан, Оренбургская область, Удмуртская республика, Челябинская область, Курганская область
II
Республики: Калмыкия, Дагестан, Кабардино-Балкарская, Северная Осетия - Алания, Ингушетия, Чеченская Республика
VI
Кировская область, Архангельская область, Республика Карелия, Алтайский край, Бурятская республика, Республика Тыва, Кемеровская область, Новосибирская область, Омская область, юг Тюменской области, Свердловская область, Пермская область
III
Брянская область, Орловская область, Рязанская область, Калужская область, Смоленская область, Белгородская область, Курская область, Липецкая область, Тамбовская область, Воронежская область, Республика Марий Эл, Мордовская республика, Чувашская республика, Пензенская область, Ростовская область, Ульяновская область, Республика Татарстан
VII
Мурманская область, Республика Коми, север Архангельской области, Хабаровский край, Приморский край, Амурская область, Читинская область, юг Красноярского края, Томская область, Иркутская область
IV
Владимирская область, Ивановская область, Нижегородская область, Костромская область, Вологодская область, Московская область, Тверская область, Новгородская область, Псковская область, Ленинградская область, Калининградская область, Тульская область, Ярославская область, г. Москва, г. Санкт-Петербург
VIII
Республика Саха (Якутия), Магаданская область, Камчатская область, Сахалинская область, север Тюменской области, север Красноярского края
Продуктовые наборы, используемые в расчетах прожиточного
минимума по регионам России
(кг на душу, в год)
Зоны
I
II
III
IV
V
VI
VII
VIII
Хлебопродукты <*>, всего
137,2
124,4
128,2
124,4
130,8
134,6
135,9
141,1
бобовые
4,8
4,4
4,5
4,4
4,6
4,7
4,8
5,0
мука пшеничная
20,5
18,5
19,1
18,5
19,5
20,1
20,3
21,0
рис
3,9
3,5
3,6
3,5
3,7
3,8
3,8
4,0
крупа (кроме риса)
5,5
4,9
5,1
4,9
5,2
5,4
5,4
5,6
хлеб пшеничный
66,0
59,8
61,7
59,8
62,9
64,8
65,4
67,8
хлеб ржаной
72,1
65,3
67,4
65,3
68,7
70,7
71,4
74,1
макаронные изделия
5,5
4,9
5,1
4,9
5,2
5,4
5,4
5,6
Картофель
79,3
101,7
126,6
124,2
132,6
134,8
132,5
106,5
Овощи <*>, всего:
97,4
126,5
98,3
101,7
86,3
83,7
85,5
90,6
капуста
29,1
37,8
29,4
30,4
25,8
25,0
25,5
27,1
огурцы и помидоры
2,7
3,5
2,7
2,8
2,4
2,3
2,4
2,5
столовые корнеплоды
38,9
50,5
39,2
40,6
34,4
33,4
34,1
36,1
прочие овощи
26,8
34,8
27,1
28,0
23,8
23,1
23,5
25,0
Фрукты и ягоды <*>, всего
22,7
25,6
19,4
20,3
20,3
15,6
17,0
21,3
фрукты свежие
16,9
19,0
14,4
15,1
15,1
11,6
12,6
15,8
фрукты, ягоды сушеные
1,2
1,3
1,0
1,0
1,0
0,8
0,9
1,1
Сахар и конд. изделия <*>
20,0
20,0
20,0
20,0
21,4
21,4
21,4
23,7
сахар
19,0
19,0
19,0
19,0
20,4
20,4
20,4
22,5
конфеты
0,8
0,8
0,8
0,8
0,8
0,8
0,8
0,9
печенье и торты
1,2
1,2
1,2
1,2
1,2
1,2
1,2
1,2
Мясопродукты <*>, всего
25,5
23,9
24,5
26,1
26,6
27,1
27,7
32,5
говядина
4,6
4,3
4,4
4,7
4,8
4,9
5,0
5,9
баранина
0,9
0,8
0,8
0,9
0,9
0,9
0,9
1,1
свинина
1,4
1,4
1,4
1,5
1,5
1,5
1,6
1,8
субпродукты и проч. мясо
0,5
0,5
0,5
0,5
0,5
0,5
0,5
0,6
птица
16,8
15,8
16,1
17,2
17,5
17,9
18,2
21,4
сало
0,7
0,7
0,7
0,7
0,7
0,7
0,7
0,7
колб. изделия и копчености
0,8
0,7
0,7
0,8
0,8
0,8
0,8
1,0
Рыбопродукты <*>, всего
6,2
14,0
11,7
11,7
10,9
10,9
12,1
17,9
рыба свежая
5,8
13,1
10,9
10,9
10,2
10,2
11,3
16,7
сельди
0,4
1,0
0,8
0,8
0,8
0,8
0,9
1,3
Молокопродукты <*>, всего
162,6
165,9
210,4
208,5
217,0
221,6
222,9
268,1
молоко цельное
53,3
54,3
69,0
68,3
71,1
72,6
73,0
87,9
молоко н/жирн.
41,0
41,0
41,0
41,0
41,0
41,0
41,0
41,0
сметана и сливки
1,2
1,2
1,6
1,6
1,6
1,7
1,7
2,0
масло животное
1,9
2,0
2,5
2,5
2,6
2,6
2,6
3,2
творог
7,6
7,7
9,8
9,7
10,1
10,3
10,4
12,5
сыр и брынза
1,8
1,8
2,3
2,3
2,3
2,4
2,4
2,9
Яйца (штук)
120,0
142,2
152,0
151,4
154,5
154,5
156,3
158,8
Масло раст., маргарин
7,6
8,5
9,8
10,0
10,0
10,1
10,7
11,8
маргарин и др. жиры
3,0
3,3
3,8
3,9
3,9
3,9
4,2
4,6
масло растительное
4,9
5,4
6,3
6,4
6,4
6,5
6,8
7,6
Белки, граммов
69,9
70,1
73,2
72,5
74,5
76,0
76,9
82,8
в том числе животного происхождения
24,4
26,3
28,4
28,8
29,2
29,6
30,1
35,2
Жиры, граммов
54,8
57,3
64,7
65,6
66,6
67,5
69,4
78,6
Углеводы, граммов
357,6
346,7
358,3
351,0
367,2
373,7
375,7
386,3
Энергетическая ценность, ккал
2222,4
2204,2
2331,0
2306,4
2389,2
2429,4
2458,9
2607,0
--------------------------------
<*> В пересчете в первичный продукт.
Нормативы на непродовольственные товары, услуги и обязательные платежи устанавливаются по доле затрат на эти цели в бюджете низкодоходных домохозяйств. Информационной базой для их обоснования служат материалы обследования бюджетов домашних хозяйств о фактической структуре расходов у 10% наименее обеспеченного населения <1>.
--------------------------------
<1> Указанные соотношения относятся к расчетам за 1992 - 1995 гг. В настоящее время проводится работа по актуализации структуры прожиточного минимума. Предпосылки для совершенствования обусловлены существенными изменениями фактической структуры семейного бюджета, в первую очередь, за счет увеличения доли расходов на платные услуги.
Структура величины прожиточного минимума
по социально-демографическим группам населения и регионам
России (в процентах)
Всего расходов
Питание
Непродовольственные товары
Услуги
Налоги и платежи
Все население
100
68,3
19,1
7,4
5,2
Трудоспособное население
100
61,6
21,4
8,9
8,1
Пенсионеры
100
82,9
10,0
7,1
-
Дети:
0 - 6 лет
100
74,5
18,9
6,6
-
7 - 15 лет
100
73,4
19,8
6,8
-
Зоны:
I
100
68,4
19,6
8,0
4,0
II
100
69,1
19,4
8,3
3,2
III
100
69,8
18,2
7,4
4,6
IV
100
68,9
19,2
7,3
4,6
V
100
69,1
18,9
7,2
4,8
VI
100
67,4
19,7
7,5
5,4
VII
100
66,8
19,4
7,6
6,2
VIII
100
66,5
19,0
7,8
6,7
Величина прожиточного минимума представляет собой суммарную стоимостную оценку продуктового набора (минимальной продовольственной "корзины") и соответствующих ей по доле затрат стоимости непродовольственных товаров и услуг с добавлением величины налогов по следующей формуле:
Cmini = Cfi + Cgi + Csi + Cti
где
Cmini - величина прожиточного минимума i-ой половозрастной группы населения
Cfi - стоимостная оценка продуктового набора (минимальной продовольственной "корзины") i-ой половозрастной группы населения

где
Qji - норматив потребления j-го продукта питания i-ой половозрастной группы населения
Pj - средняя цена j-го продукта питания
Cgi - стоимостная оценка потребления непродовольственных товаров i-ой половозрастной группы населения
Csi - стоимостная оценка расходов на платные услуги i-ой половозрастной группы населения
Cti - расходы на налоги i-ой половозрастной группы населения
Cgi, si, ti = Cfi * (Kgi, si, ti : Kfi)
где
Kfi, gi, si, ti - показатели структуры прожиточного минимума i-ой половозрастной группы населения.
j - принимает значение по числу товаров, цены на которые регистрируются для расчета прожиточного минимума
Расчет величины прожиточного минимума в ценах отчетного периода производится в следующем порядке:
- стоимостная оценка минимальной продовольственной "корзины" (Cfi) определяется по средним ценам продажи товаров предприятиями торговли всех видов собственности на основе регистрации цен на конкретные товары-представители, входящие в малую товарную группу.
При расчетах соблюдается следующее соответствие:
Товары-представители
Норматив потребления, в среднем на душу, кг в год
Товары-представители
Норматив потребления, в среднем на душу, кг в год
1.
мука пшеничная
19,5
13.
говядина
8,4
2.
рис
3,7
14.
мясо - птицы
17,5
3.
пшено
9,8
15.
колбаса вареная
0,45
4.
хлеб ржано-пшеничный
68,7
16.
колбаса полукопченая
0,35
5.
хлеб и хлебобулочные изделия из пшеничной муки 1 и 2 с.
62,9
17.
рыба мороженая (без деликатесной)
11,7
6.
вермишель
5,2
18.
молоко
123,1
7.
картофель
124,2
19.
сметана
1,6
8.
капуста свежая белокочанная
28,1
20.
масло животное (сливочное топленое)
2,5
9.
морковь
37,5
21.
творог жирный
9,9
10.
лук репчатый
28,4
22.
сыры сычужные твердые
2,3
11.
яблоки
19,4
23.
яйца, штук
151,4
12.
сахар-песок
20,7
24.
маргарин
3,9
25.
масло растительное
6,4
- Cgi, si определяется путем корректировки на соответствующие субиндексы потребительских цен.
3.3. Расчет показателей численности населения с доходами ниже прожиточного минимума
Показатели численности населения (домохозяйств) с доходами ниже прожиточного минимума рассчитываются на основании данных о распределении населения (домохозяйств) по уровню среднедушевых доходов.
Уровень доходов, с которыми соизмеряется величина прожиточного минимума, определяется в соответствии с методикой по расчету Баланса денежных доходов и расходов населения.
Группировка населения (домохозяйств) по уровню среднедушевых доходов для получения данных о распределении производится на основании данных о среднедушевых денежных доходах в среднем за месяц отчетного периода.
Расчеты доли (численности) населения с доходами ниже прожиточного минимума осуществляется по формуле:

где

Cmin5 - величина прожиточного минимума в среднем на душу населения
3.4. Расчет показателей, характеризующих дефицит дохода
Показатели дефицита низких доходов относятся к числу важнейших характеристик степени распространения бедности.
Дефицит дохода - определяется как суммарное значение доходов населения, недостающих до величины прожиточного минимума, по следующей формуле:

где
Np - общая численность населения;
Smin - доля суммарного дохода, которая приходится на население с доходами 1 ниже Cmin5
Индекс глубины бедности (P1) <1> - характеризует среднее отклонение доходов бедных семей от величины прожиточного минимума и выражается величиной суммарного дефицита дохода, соотнесенного с общим числом семей.
--------------------------------
<1> По классификации основных измерителей бедности Фостера-Гриер-Торбеке.
Индекс остроты бедности (P2) <1> - характеризует средневзвешенное отклонение доходов бедных семей от величины прожиточного минимума и выражается величиной суммарного квадратического дефицита доходов, соотнесенного с общим числом семей. Показатель остроты бедности рассчитывается с учетом большего веса для семей с более высоким размером дефицита дохода и используется в целях сопоставления его чрезмерных величин.
Расчеты производятся по следующей формуле:

где
= 1, 2;
N - общая численность обследуемых домохозяйств;
Nf - численность обследуемых домохозяйств с доходами ниже прожиточного минимума;
Cminj - величина прожиточного минимума для j-го домохозяйства, рассчитанного в среднем на душу с учетом половозрастного состава данного домохозяйства;
Ij - среднедушевой доход j-го домохозяйства с доходом ниже прожиточного минимума.