"МР 2.3.7.0415-26. 2.3.7. Состояние здоровья населения в связи с состоянием питания. Оценка качества пищевой продукции и оценка доступа населения к отечественной пищевой продукции, способствующей устранению дефицита макро- и микронутриентов. Методические
ГОСУДАРСТВЕННОЕ САНИТАРНО-ЭПИДЕМИОЛОГИЧЕСКОЕ НОРМИРОВАНИЕ
РОССИЙСКОЙ ФЕДЕРАЦИИ
Утверждаю
Руководитель Федеральной службы
по надзору в сфере защиты прав
потребителей и благополучия человека,
Главный государственный санитарный
врач Российской Федерации
А.Ю.ПОПОВА
27 февраля 2026 г.
2.3.7. СОСТОЯНИЕ ЗДОРОВЬЯ НАСЕЛЕНИЯ В СВЯЗИ
С СОСТОЯНИЕМ ПИТАНИЯ
ОЦЕНКА
КАЧЕСТВА ПИЩЕВОЙ ПРОДУКЦИИ И ОЦЕНКА ДОСТУПА НАСЕЛЕНИЯ
К ОТЕЧЕСТВЕННОЙ ПИЩЕВОЙ ПРОДУКЦИИ, СПОСОБСТВУЮЩЕЙ УСТРАНЕНИЮ
ДЕФИЦИТА МАКРО- И МИКРОНУТРИЕНТОВ
МЕТОДИЧЕСКИЕ РЕКОМЕНДАЦИИ
МР 2.3.7.0415-26
1. Разработаны Федеральной службой по надзору в сфере защиты прав потребителей и благополучия человека (А.Ю. Попова, И.В. Брагина, Т.И. Мурагимов, Е.В. Бобылева); ФБУЗ ФЦГиЭ Роспотребнадзора (Р.К. Фридман, Т.А. Гречанинова, А.А. Гарбузова, Н.А. Пономаренко); ФГБУН "ФИЦ питания и биотехнологии" (В.А. Тутельян, Д.Б. Никитюк, А.К. Батурин, С.А. Хотимченко, Н.В. Жилинская, Н.А. Бекетова, О.А. Вржесинская, О.В. Кошелева, Э.А. Мартинчик, Е.А. Смирнова, Г.Г. Щербаков, В.В. Бессонов, М.Н. Богачук, Д.О. Боков, В.А. Зотов, М.А. Макаренко, А.Д. Малинкин, М.А. Палеева, А.В. Селифанов); ФБУЗ ИМЦ Роспотребнадзора (В.Г. Сенникова, О.С. Лиманская, А.Д. Гараева).
2. Утверждены руководителем Федеральной службы по надзору в сфере защиты прав потребителей и благополучия человека, Главным государственным санитарным врачом Российской Федерации А.Ю. Поповой 27 февраля 2026 г.
4. МР 2.3.7.0415-26 введены взамен МР 2.3.7.0369-25 "Оценка качества пищевой продукции и оценка доступа населения к отечественной пищевой продукции, способствующей устранению дефицита макро- и микронутриентов", утвержденных руководителем Федеральной службы по надзору в сфере защиты прав потребителей и благополучия человека, Главным государственным санитарным врачом Российской Федерации 24.03.2025.
I. ОБЛАСТЬ ПРИМЕНЕНИЯ
1.1. Настоящие методические рекомендации (далее - МР) описывают алгоритм определения и дальнейшей оценки показателей качества, в том числе пищевой ценности пищевой продукции (содержание макро- и микронутриентов) в рамках мониторинговых исследований качества пищевой продукции и алгоритм оценки доступа населения к отечественной пищевой продукции, способствующей устранению дефицита макро- и микронутриентов.
1.2. Настоящие МР предназначены для специалистов органов и организаций Федеральной службы по надзору в сфере защиты прав потребителей и благополучия человека, осуществляющих мониторинг качества пищевой продукции и оценку доступа населения к отечественной пищевой продукции, способствующей устранению дефицита макро- и микронутриентов.
II. ОБЩИЕ ПОЛОЖЕНИЯ
2.1. Мониторинг качества пищевой продукции и оценка доступа населения к пищевой продукции, в том числе отечественного производства, способствующей устранению дефицита макро- и микронутриентов (далее - пищевая продукция), являются составной частью социально-гигиенического мониторинга, проводимого в рамках мероприятий федерального проекта "Здоровье для каждого", входящего в национальный проект "Продолжительная и активная жизнь".
2.2. Оценка качества пищевой продукции и доступа населения к пищевой продукции, способствующей устранению дефицита макро- и микронутриентов, проводится на федеральном и региональном уровнях.
2.3. Мониторинг качества пищевой продукции позволяет:
- проводить оценку качества пищевой продукции, находящейся в обращении на территории Российской Федерации (см. приложение 1 к настоящим МР);
- выявлять пищевые продукты, которые имеют несоответствия между декларированным на этикетке составом и пищевой ценностью и данными их аналитического определения;
- проводить идентификацию пищевых продуктов с целью выявления их фальсификации;
- получить данные по частоте и видам определяемых несоответствий декларированным показателям качества пищевой продукции, группы и виды пищевой продукции, наиболее часто подвергающимися фальсификации;
- получить данные по вариабельности энергетической и пищевой ценности и других показателей качества пищевой продукции, используемых в определении потребности каждого человека;
- получить данные о необходимости модификации методов, используемых при определении показателей качества пищевой продукции, разработке новых методов;
- провести сравнительную оценку полученных результатов по показателям качества пищевой продукции, что позволит обосновать необходимость проведения дополнительных мероприятий по контролю качества за определенными видами пищевой продукции в регионе;
- разработать образовательные программы для производителей, направленные на повышение качества пищевой продукции.
2.4. Оценка доступа населения к пищевой продукции, способствующей устранению дефицита макро- и микронутриентов, в том числе пищевой продукции, обогащенной белком, полиненасыщенными жирными кислотами, витаминами, макро- и микроэлементами, пищевыми волокнами, биологически активными веществами, а также специализированной пищевой продукции, и пищевой продукции со сниженным содержанием насыщенных жирных кислот, трансизомеров жирных кислот, простых сахаров и пищевой соли, позволяет:
- проводить мониторинг наличия пищевой продукции и доступа населения к пищевой продукции, способствующей устранению дефицита макро- и микронутриентов;
- разрабатывать для пищевой промышленности предложения по расширению ассортимента и объемов производства пищевой продукции, способствующей устранению дефицита макро- и микронутриентов;
- вести учет предприятий пищевой промышленности, ассортимента и объемов производства в субъектах Российской Федерации, обогащенной пищевой продукции;
- получить данные по наполнению мобильного приложения, в рамках цветовой индикации по следующей пищевой продукции: мясные продукты; рыбные продукты; хлебобулочные изделия; молочные продукты; сыры твердые, полутвердые, мягкие; готовая еда, что позволит проводить индивидуализацию питания, направленную на устранение дефицита макро- и микронутриентов у населения, в том числе путем обучения принципам здорового питания (см. приложение 2 к настоящим МР);
- разрабатывать предложения по включению в рационы питания для организованных коллективов и предприятий общественного питания обогащенной пищевой продукции, а также пищевой продукции со сниженным содержанием насыщенных жирных кислот, трансизомеров жирных кислот, простых сахаров и пищевой соли.
2.5. Настоящие МР содержат:
- алгоритм выборки торговых точек для отбора образцов пищевой продукции с целью проведения исследований по оценке показателей качества и безопасности, для оценки доступа населения к пищевой продукции, способствующей устранению дефицита макро- и микронутриентов;
- алгоритм формирования перечня пищевой продукции для оценки ее качества, а также перечня пищевой продукции, способствующей устранению дефицита макро- и микронутриентов;
- алгоритм оценки результатов показателей качества пищевой продукции;
- алгоритм проведения мониторинга наличия пищевой продукции, способствующей устранению дефицита макро- и микронутриентов;
- алгоритм оценки обеспеченности доступа населения к пищевой продукции, способствующей устранению дефицита макро- и микронутриентов.
III. АЛГОРИТМ ВЫБОРКИ ТОРГОВЫХ ТОЧЕК
3.1. Для выборки торговых точек, деятельность которых подлежит федеральному государственному санитарно-эпидемиологическому контролю (надзору), используются данные реестра хозяйствующих субъектов Единой информационно-аналитической системы Роспотребнадзора (ЕИАС), который формируется с учетом видов деятельности, предусмотренных общероссийскими классификаторами - общероссийским классификатором видов экономической деятельности <1> (далее - ОКВЭД) и общероссийским классификатором пищевой продукции по видам экономической деятельности (ОКПД).
--------------------------------
<1> Общероссийский классификатор видов экономической деятельности (ОК 029-2014 (КДЕС Ред. 2), утвержденный приказом Росстандарта от 31.01.2014 N 14-ст.
3.2. Формирование списка торговых точек проводит Федеральное бюджетное учреждение здравоохранения "Федеральный центр гигиены и эпидемиологии" Федеральной службы по надзору в сфере защиты прав потребителей и благополучия человека.
3.3. Для формирования основы выборки создается база данных, в которую включаются все торговые объекты с кодами ОКВЭД:
- 47.1 Торговля розничная в неспециализированных магазинах,
- 47.11 Торговля розничная преимущественно пищевыми продуктами, включая напитки, и табачными изделиями в неспециализированных магазинах;
- 47.11.1 Торговля розничная замороженными продуктами в неспециализированных магазинах;
- 47.11.2 Торговля розничная не замороженными продуктами, включая напитки и табачные изделия, в неспециализированных магазинах;
- 47.11.3 Деятельность по розничной торговле большим товарным ассортиментом с преобладанием продовольственных товаров в неспециализированных магазинах;
- 47.19 Торговля розничная прочая в неспециализированных магазинах;
- 47.2 Торговля розничная пищевыми продуктами, напитками и табачными изделиями в специализированных магазинах;
- 47.81 Торговля розничная в нестационарных торговых объектах и на рынках пищевыми продуктами, напитками и табачной продукцией.
При этом из базы данных исключаются торговые точки, представленные без указания корректного физического (фактического) адреса или наименования торгового объекта, а также не специализирующиеся на продаже пищевой продукции, такие как: специализированные магазины, занимающиеся продажей алкогольной продукции, табака, чая, кулинарии; торговые палатки, занимающиеся продажей шаурмы, столовые, кафе, кондитерские, пекарни, павильоны горячего питания; торговые точки, находящиеся в зданиях аэропортов; вендинговые аппараты.
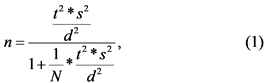
3.4. Объем выборки торговых точек (n) в каждом регионе определяется по формуле (1):

где: t - квантиль нормального распределения для заданного уровня доверительной вероятности (t = 1.96, при уровне доверительной вероятности P = 95%);
S - дисперсия изучаемого признака в совокупности;
d - ошибка выборки (d = 3%);
N - общее количество торговых точек в совокупности в регионе.
При отборе торговых объектов проводится стратификация, в процессе которой торговые точки группируются в первую очередь по типу населенного пункта (при их наличии), на территории которого расположен объект:
1) города с численностью более 1 млн;
2) города с численностью от 500 тыс. до 1 млн;
3) города с численностью от 100 тыс. до 500 тыс.;
4) города с численностью менее 100 тыс.;
5) муниципальные районы, включающие в себя поселки городского типа (ПГТ) и сельские населенные пункты.
Торговые точки каждой группы подразделяются по кодам ОКВЭД:
1) 47.1 Торговля розничная в неспециализированных магазинах;
2) 47.11 Торговля розничная преимущественно пищевыми продуктами, включая напитки, и табачными изделиями в неспециализированных магазинах;
3) 47.2 Торговля, розничная пищевыми продуктами, напитками и табачными изделиями в специализированных магазинах;
4) 47.81 Торговля розничная в нестационарных торговых объектах и на рынках пищевыми продуктами, напитками и табачной продукцией.
Число торговых точек (N(i)) <2> для каждой страты и доля этой страты в совокупности торговых точек (p(i)) <3> данного региона рассчитывается по формуле (2):
--------------------------------
<2> Примечание: при
.
<3> Примечание: при
.

Объем выборки в каждой страте (n(i)) <4> рассчитывается по формуле (3) <5>:
--------------------------------
<4> Примечание: при
.
<5> Примечание: при получении дробного результата, он округляется до ближайшего целого числа.

3.5. В качестве первой торговой точки для оценки наличия пищевой продукции и доступа населения к пищевой продукции в основной список включается объект, идущий в списке торговых точек страты под номером q(i), который сгенерирован при помощи датчика случайных чисел в интервале от 1 до h(i) (программа MS Excel <6>). В качестве второй торговой точки из данной страты в основной список включается объект, идущий в списке торговых точек страты под номером q(i) + h(i) и т.д., пока не будет отобрано необходимо количество торговых точек из данной страты - N(i).
--------------------------------
<6> Примечание: для выбора 1-ой точки - = СЛЧИС() * 10 (Выбор точки должен начинаться с 1 по 10 точку - пишется формула = СЛЧИС() * (10 - 1) + 1 т.е. = СЛЧИС() * 10).
Шаг отбора (h(i)) рассчитывается по формуле (4) <7>:
--------------------------------
<7> Примечание: полученный дробный результат округляется до ближайшего целого числа.

где: n(i) - общее число торговых точек в регионе;
N(i) - объем выборки для оценки качества и безопасности пищевой продукции в регионе.
Одновременно формируются два списка торговых точек для оценки наличия пищевой продукции и доступа населения к пищевой продукции: основной и запасной. Оба списка, "основной" и "запасной" нумеруются от первого номера до последнего.
В первую очередь обследуются торговые точки из основного списка. Если по каким-либо причинам объект из основного списка не может быть обследован (например, торговый объект прекратил свою работу, указан ошибочный адрес, другое юридическое лицо/индивидуальный предприниматель), на замену берется торговая точка с идентичным номером из запасного списка. Если по каким-либо причинам объект из запасного списка не может быть обследован (например, торговый объект прекратил свою работу, указан ошибочный адрес, другое юридическое лицо/индивидуальный предприниматель), торговая точка на замену не берется. Информация о прекращении деятельности торговых точек, изменении юридического лица/индивидуального предпринимателя передается в Управления Роспотребнадзора для корректировки Реестра хозяйствующих субъектов.
3.6. Рекомендуемый объем выборки торговых объектов для оценки качества пищевой продукции в каждом субъекте Российской Федерации - не менее 20 торговых точек из общего перечня торговых точек.
В качестве первой торговой точки для оценки показателей качества и безопасности в запасной список включается объект, идущий в списке торговых точек страты под номером q(i) + 1. В качестве второй торговой точки из данной страты в запасной список включается объект, идущий в списке торговых точек страты под номером q(i) + h(i) + 1 и т.д., пока не будет отобрано необходимое количество торговых точек из данной страты.
Одновременно формируются два списка торговых точек для оценки качества пищевой продукции: основной и запасной. Оба списка, "основной" и "запасной" нумеруются от первого номера до последнего.
В первую очередь обследуются торговые точки из основного списка. Если по каким-либо причинам объект из основного списка не может быть обследован (например, торговый объект прекратил свою работу, указан ошибочный адрес, другое юридическое лицо/индивидуальный предприниматель), на замену берется торговая точка с идентичным номером из запасного списка. Если по каким-либо причинам объект из запасного списка не может быть обследован (например, торговый объект прекратил свою работу, указан ошибочный адрес, другое юридическое лицо/индивидуальный предприниматель), торговая точка на замену не берется. Информация о прекращении деятельности торговых точек, изменении юридического лица/индивидуального предпринимателя передается в Управления Роспотребнадзора для корректировки Реестра хозяйствующих субъектов.
IV. АЛГОРИТМ ФОРМИРОВАНИЯ ПЕРЕЧНЯ ПИЩЕВОЙ ПРОДУКЦИИ
4.1. Формирование списков пищевых продуктов, подлежащих отбору для последующего проведения исследований по определению показателей качества, идентификации и выявления фальсификации, а также для оценки наличия пищевой продукции и доступа населения к пищевой продукции, способствующей устранению дефицита макро- и микронутриентов, подвергается ежегодной корректировке с учетом получаемых данных.
При составлении списка изучаемых образцов пищевой продукции также учитывается распространенность пищевого продукта, частота его присутствия в торговых точках, а также особенности национальных традиций питания и структуры потребления пищевых продуктов в регионе.
Обогащенные пищевые продукты, пищевые продукты, на этикетке которых приведены сведения об измененном составе, точном содержании в них витаминов и макро- и микроэлементов включаются в число исследуемых образцов в приоритетном порядке.
4.2. В качестве источника информации о структуре потребления пищевой продукции населением используются данные:
- Федеральной службы государственной статистики о среднедушевом годовом потреблении основных групп пищевых продуктов ("Потребление пищевых продуктов в домашних хозяйствах");
- специальных исследований фактического питания населения, основанных на оценке индивидуального потребления пищевых продуктов в рамках мониторинга за структурой питания населения.
4.3. Выбор продуктов формируется на основе их пищевой ценности, величины их суточного потребления и вклада в обеспечение потребности организма человека пищевыми веществами:
Основными источниками белка в рационе являются мясо и мясопродукты (говядина, мясо птицы, свинина нежирная, печень говяжья, колбасы, сосиски, мясные консервы), рыба и рыбные продукты (треска и другие виды рыб, рыбные консервы), а также морепродукты (например, креветки, кальмары, моллюски), яйца, молоко и молочная продукция (молоко, кисломолочные продукты, творог нежирный, сыр), бобовые (горох, фасоль, чечевица), хлеб.
Основными источниками насыщенных жирных кислот являются мясопродукты (колбаса вареная, сосиски, сардельки, варено-копченые и сырокопченые колбасы), молоко и молочные продукты (молоко, сметана, сливки, жирный творог, масло сливочное), майонез и другие соусы на жировой основе.
Основными источниками полиненасыщенных жирных кислот в рационе являются растительные масла (например, подсолнечное, оливковое, соевое, рапсовое), рыба морская (например, сельдь, скумбрия, лосось, форель), рыбный жир.
Основными источниками пищевых волокон в рационе является пища растительного происхождения, в основном, низкой степени переработки (овсяные отруби, хлеб зерновой из муки грубого помола, зелень, овощи, фрукты, крупы). Основная группа пищевых волокон, поступающая организм с рационом, относится к нерастворимым пищевым волокнам, источников растворимых пищевых волокон немного, к ним относятся фрукты, льняное семя и изделия из водорослей.
Основными источниками витаминов в рационе являются:
- витамина C - шиповник сушеный, перец сладкий, капуста брюссельская, цветная, белокочанная (в том числе квашеная), томаты, смородина черная, листовые салаты, цитрусовые;
- витамина B1 - хлеб (особенно из муки грубого помола), бобовые, крупы (гречневая, овсяная, пшенная), свинина, печень говяжья, дрожжи пекарские;
- витамина B2 - молоко и кисломолочные и жидкие молочные продукты, печень говяжья, сыр, творог, яйца, рыба, мясо, птица, пекарские дрожжи, крупа гречневая и овсяная;
- витамина B6 - мясо, печень говяжья, птица, рыба, бобовые, крупы, овсяные хлопья, хлеб, пекарские дрожжи;
- витамина PP - крупа гречневая и овсяная, мясо, птица, печень говяжья, рыба, бобовые, хлеб, пекарские дрожжи;
- фолиевой кислоты - листовая зелень, цветная капуста, спаржа, шпинат, печень говяжья, почки, сыр, грибы, орехи;
- витамина B12 - печень, субпродукты мясные (почки, сердце), мясо, жидкие молочные продукты, творог, сыр, яйца;
- биотина - яйцо куриное, печень говяжья, сыр, пшеничные отруби, пекарские дрожжи, орехи;
- витамина A - рыбный жир, масло сливочное, яйца, печень говяжья;
- витамина E - масла растительные (подсолнечное, оливковое, кукурузное, соевое, хлопковое, рапсовое), майонез, орехи (миндаль, лесной орех, арахис, грецкие орехи), горох, фасоль;
- витамина D - печень трески, рыба, масло сливочное, яйца.
Основными источниками минеральных веществ в рационе являются:
- кальция - молоко и кисломолочные продукты, творог, сыр, листовая зелень, соя;
- фосфора - сыр, творог, мясо, птица, рыба, хлеб, крупы (гречневая, овсяная), бобовые, картофель;
- калия - картофель, сухофрукты (изюм, курага, инжир, чернослив), сыр, мясо, бобовые, орехи, яблоки;
- магния - бобовые, гречневая и овсяная крупы, хлеб пшеничный с отрубями, орехи, сухофрукты (курага, чернослив, инжир);
- железа - мясо, печень говяжья, хлеб ржаной, грибы;
- цинка - печень говяжья, мясо, сыр, бобовые, орехи, крупа овсяная, яблоки;
- йода - рыба морская и морепродукты, морская капуста и другие продукты из водорослей, соль йодированная;
- марганца - овсяная крупа, фасоль, сыр, хлеб пшеничный, орехи, мясо, шпинат;
- селена - мясо, рыба и морепродукты, хлебобулочные изделия, грибы, чеснок.
4.4. Для оценки содержания в рационе веществ, которые могут оказать влияние на индивидуальное здоровье человека, основываясь на данных о частоте использования фермента микробная трансглутамин аза, в исследование включено определение содержания микробной трансглутаминазы в пищевой продукции с наибольшим риском фальсификации (см. приложение 3 к настоящим МР).
4.5. Отбор образцов для оценки качества пищевой продукции в торговых точках региона проводят таким образом, чтобы в течение года был произведен отбор образцов из всех торговых точек, определенных на текущий год, и в разные периоды года. План отбора образцов пищевых продуктов из торговых точек утверждается руководителем Управления Роспотребнадзора по субъекту Российской Федерации.
4.6. Отбор образцов разных изготовителей (с приоритетом включения в выборку региональной продукции, в случае ее отсутствия - отечественной) для оценки качества пищевой продукции проводят по всему ассортименту пищевой продукции, представленному в приложении 3 к настоящим МР, при наличии данных пищевых продуктов в торговых точках. При этом необязательно в одной торговой точке отбирать все образцы из ассортимента пищевой продукции, представленной в приложении 3 к настоящим МР.
При отсутствии в конкретной торговой точке тех или иных видов пищевой продукции, указанных в приложении 3 к настоящим МР, они могут быть отобраны в других торговых точках.
4.7. Для оценки качества пищевой продукции, а также объема отбираемой продукции необходимо руководствоваться действующими методиками исследования на продукцию (см. приложение 4 к настоящим МР).
4.8. Количество проб для исследования показателей качества пищевой продукции определяется планом на проведение лабораторных исследований в рамках реализации федерального проекта "Здоровье для каждого", входящего в национальный проект "Продолжительная и активная жизнь" в разрезе каждого субъекта (см. приложение 5 к настоящим МР).
4.9. Рекомендуемое количество образцов по каждой позиции пищевой продукции, указанной в приложении 5 к настоящим МР, для определения показателей качества отбирается из общей выборки торговых точек.
4.10. Пояснения к оценке, обогащенной и специализированной пищевой продукции, и заполнению анкеты по оценке обеспеченности населения доступом к пищевой продукции, способствующей устранению дефицита макро- и микронутриентов, в отношении этих продуктов представлены в приложении 6 к настоящим МР.
4.11. Анкетирование по оценке наличия пищевой продукции, проводится во всех торговых объектах, попавших в выборку в каждом субъекте Российской Федерации в течение года. При этом управлениями Роспотребнадзора по субъектам Российской Федерации совместно с ФБУЗ "Центр гигиены и эпидемиологии" в субъектах Российской Федерации формируется список торговых точек таким образом, чтобы в каждом районе, входящем в субъект Российской Федерации, равномерно было проведено анкетирование в течение года.
V. АЛГОРИТМ ОЦЕНКИ ДОСТУПА НАСЕЛЕНИЯ К ОТЕЧЕСТВЕННОЙ
ПИЩЕВОЙ ПРОДУКЦИИ, СПОСОБСТВУЮЩЕЙ УСТРАНЕНИЮ ДЕФИЦИТА
МАКРО- И МИКРОНУТРИЕНТОВ
5.1. Оценка доступа населения к пищевой продукции, способствующей устранению дефицита макро- и микронутриентов проводится в пять этапов.
5.2. На первом этапе осуществляется первичная оценка наличия в торговых точках в регионе пищевой продукции. Первичная оценка осуществляется путем внесения фактических сведений о наличии пищевой продукции в конкретной торговой точке в соответствующую анкету (см. приложение 7 к настоящим МР).
5.3. На втором этапе по анкетным данным (см. приложение 7 к настоящим МР) осуществляется анализ доли торговых точек региона, имеющих в наличии пищевую продукцию, способствующую снижению дефицита макро- и микронутриентов. Доля торговых точек, имеющих в наличии пищевую продукцию, определяется в процентах - как соотношение количества торговых точек, имеющих в наличии пищевую продукцию, к общему количеству торговых точек, попавших в выборку, умноженное на 100.
На этом же этапе проводится анализ доли отечественной пищевой продукции, способствующей снижению дефицита макро- и микронутриентов, в торговых точках региона. Доля отечественной пищевой продукции определяется в процентах - как соотношение количества наименований отечественной пищевой продукции к общему количеству наименований пищевой продукции, находящейся в наличии в торговых точках региона, умноженное на 100.
Аналогичным образом проводят анализ доли обогащенной пищевой продукции, а также анализ конкретных видов (по наименованиям) пищевой продукции в торговых точках региона.
Сведения, полученные в ходе анализа на втором этапе по региону, усредняются. В рамках второго этапа путем усреднения значения показателей также определяется минимальная цена на каждую категорию пищевой продукции, представленной в приложении 7 к настоящим МР.
5.4. На третьем этапе осуществляется оценка показателя доступа населения к пищевой продукции, способствующей снижению дефицита макро- и микронутриентов.
Показатель доступа населения к пищевой продукции выражается в доле населения, имеющего в регионе доступ к необходимому количеству торговых точек, способных обеспечить необходимой продукцией, и определяется, как соотношение минимального и фактического количества торговых точек в регионе, умноженное на 100.
Минимальное количество торговых точек определяется с учетом плотности населения:
- при плотности населения до 5 тыс. человек на кв. км - 2 торговых объекта;
- при плотности населения от 5 тыс. до 10 тыс. человек на кв. км - 4 торговых объекта;
- при плотности населения от 10 тыс. до 15 тыс. человек на кв. км - 6 торговых объектов;
- при плотности населения свыше 15 тыс. человек на кв. км - 8 торговых объектов.
Фактическое наличие торговых точек в регионе определяется на основании списка торговых точек, сформированного в соответствии с п. 3.3.
В качестве данных о плотности населения в регионе используются данные Федеральной службы государственной статистики о численности и составе населения региона.
Сведения, полученные в ходе анализа на третьем этапе, усредняют.
5.5. Полученные усредненные данные по наличию пищевой продукции и доступу населения к пищевой продукции, иллюстрируют долю населения, имеющего доступ к пищевой продукции, способствующей снижению дефицита макро- и микронутриентов, включая обогащенную пищевую продукцию и отдельные виды (по наименованиям) пищевых продуктов.
5.6. На четвертом этапе определяются коэффициенты доступа пищевой продукции, способствующей устранению дефицита макро- и микронутриентов, по ассортименту и по минимальной цене.
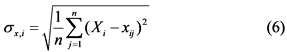
Среднее значение ассортимента пищевой продукции i-го типа (xi) определяется по формуле (5):

где: xij - количество пищевой продукции i-го рассматриваемого типа в j-ой торговой точке;
n - количество торговых точек.
Среднеквадратичное отклонение ассортимента пищевой продукции i-го типа
определяется по формуле (6):

Нормированное среднее значение ассортимента, коэффициент Шарпа (Sx,i) определяется по формуле (7):

Среднее значение минимальной цены пищевой продукции i-го типа (Pi) определяется по формуле (8):

где: pij - соответствующая минимальная цена пищевой продукции.
Среднеквадратичное отклонение минимальной цены пищевой продукции i-го типа
определяется по формуле (9):

Нормированное среднее значение минимальной цены (Sp,i) определяется по формуле (10):

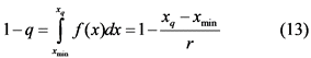
Эмпирический размах значений изучаемой величины (r) определяется по формуле (11):
r = xmax - xmin
(11)
Разбивается отрезок значений [0; 1] набора величин yi на N промежутков длины 1/N. Обозначается через
промежуток [(i - 1) / N; i / N), i = 1, 2, ..., N - 1;
.
Частотой события
, состоящего в том, что значение случайной величины yi принадлежали промежутку
, по данной выборке {y1, ... , yK} называется количество ni(N,K) значений yk, попавших в этот промежуток.
Частота события
определяется по формуле (12):
vi(N,K) = ni(N,K) / K
(12)
Совокупность величин vt(N,K) называют эмпирическим распределением или выборочной плотностью функции распределения fK(y).
Соответствующий график-гистограмма называют полигоном распределения вероятностей. Эмпирической или выборочной функцией распределения называют ступенчатую неубывающую функцию
, определяемую по эмпирическому распределению частот.
Согласованный уровень значимости (q), определяется по формуле (13):

Соответствующее значение xq реализует найденную зависимость.
Для анализа ассортимента выбирают естественную гистограммную оценку плотности распределения в виде эмпирической частоты vik того, что в торговой точке, относящейся к поселению i-го типа, находится в наличии k сортов данной продукции. Приводят характеристики этого распределения: мода (если есть), среднее значение и среднеквадратичное отклонение, согласованный уровень значимости и значение признака в стационарной точке.
При отсутствии моды и монотонном распределении, определяют полученные значения как наличие самоорганизации социально-экономической системы, для таких систем характерно наличие стационарной точки распределения признака на уровне "20 на 80". Наличие моды свидетельствует о наличии целеполагающего управления, для которого стационарная точка существенно сдвинута в большую или меньшую стороны.
Аналогичные величины определяют для распределения минимальной цены по торговым точкам с разницей, что эта величина нормируется в соответствии с размахом выборки, а гистограмму строят для 20 классовых интервалов равномерного разбиения.
Сравнительный анализ доступности проводят по следующим показателям для двух индикаторов доступности - ассортимента и минимальной цены:
- среднее значение ассортимента;
- устойчивость ассортимента, характеризующаяся величиной нормированного среднего;
- согласованный уровень значимости q распределения ассортимента, который показывает, что доля 1 - q ассортимента содержится в доле q торговых точек региона;
- критическое число xq, характеризующее стационарную точку q распределения ассортимента;
- коэффициент доступности пищевой продукции по ассортименту
определяется по формуле (14):

- среднее значение минимальной цены;
- устойчивость минимальной цены, характеризующаяся величиной нормированного среднего;
- согласованный уровень значимости q распределения минимальной цены, который показывает, что доля 1 - q цен содержится в доле q торговых точек региона;
- коэффициент доступности пищевой продукции по ассортименту
определяется по формуле (15):

5.7. На пятом этапе осуществляют оценку показателя экономической доступности для населения пищевой продукции, в том числе отечественного производства, способствующей снижению дефицита макро- и микронутриентов.
Оценка показателя экономической доступности (Э) определяется по формуле (16):

где: Пj - количество j-го пищевого продукта, кг;
Рj - средняя минимальная цена j-го пищевого продукта, руб./кг или руб./л;
Дi - расходы на питание населения в месяц, руб., определяются по формуле (17):

где: Зi - средняя заработная плата населения в регионе, руб.;
Сi - потребительские расходы на питание населения, руб.
В качестве данных о количестве j-го пищевого продукта используют рекомендации по рациональным нормам потребления <8>.
--------------------------------
<8> Приказ Минздрава России от 19.08.2016 N 614 "Об утверждении рекомендаций по рациональным нормам потребления пищевых продуктов, отвечающих современным требованиям здорового питания".
В качестве данных о средней заработной плате населения в регионах используют данные Федеральной службы государственной статистики о численности и составе населения региона.
5.8 Полученные данные могут быть дополнены информацией об использовании цветовой маркировки критически значимых пищевых веществ на этикетке пищевой продукции.
VI. ОЦЕНКА РЕЗУЛЬТАТОВ МОНИТОРИНГОВЫХ ИССЛЕДОВАНИЙ
ПОКАЗАТЕЛЕЙ КАЧЕСТВА И БЕЗОПАСНОСТИ ПИЩЕВОЙ ПРОДУКЦИИ
6.1. Данные по показателям пищевой ценности, указанные на этикетке, заносят в базу данных и сравнивают с результатами проведенных аналитических исследований по каждому образцу.
Содержание насыщенных жирных кислот (Мнжк) в пищевой продукции определяется по формуле (18):

где: ДНЖК(1-i) - сумма содержания насыщенных жирных кислот, определенных методом метиловых эфиров (% от суммы жирных кислот);
Мж - масса жира в продукте (г/100 г продукта).
Содержание мононенасыщенных жирных кислот (Ммнжк) в пищевой продукции определяется по формуле (19):

где: ДМНЖК(1-i) - сумма содержания мононенасыщенных жирных кислот, определенных методом метиловых эфиров (% от суммы жирных кислот).
Содержание полиненасыщенных жирных кислот (Ммнжк) в пищевой продукции определяется по формуле (20):

где: ДПНЖК(1-i) - сумма содержания полиненасыщенных жирных кислот, определенных методом метиловых эфиров (% от суммы жирных кислот).
Расчет общих углеводов так называемым методом "по разнице" проводят следующим образом. После определения влажности продукта, из массы сухого остатка вычитают сумму содержания белка, жира и золы. Содержание углеводов (Мугл.) в пищевой продукции рассчитывается по формуле (21):
Мугл. = Мобщ. - Вл. - Мбел. - Мж. - Зол.,
(21)
где: Мобщ. - общая масса продукта (условно 100 г);
Вл. - влажность продукта (г/100 г продукта);
Мбел. - содержание белка в продукте (г/100 г продукта);
Зол. - содержание золы в продукте (г/100 г продукта).
В приведенном варианте расчета общих углеводов пищевые волокна учитывают в их составе. В случае, если в пищевом продукте проводили определение пищевых волокон, содержание углеводов может быть указано в виде: углеводы - ............ г/100 г продукта (из них пищевых волокон - ............ г/100 г продукта).
Особенностью расчета энергетической ценности пищевого продукта, в составе которого были определены пищевые волокна, является то, что пищевые волокна не имеют энергетической ценности и поэтому вклад углеводов в энергетическую ценность продукта должен быть уменьшен на количество содержащихся в нем пищевых волокон.
Производитель вправе не проводить определение пищевых волокон, поэтому, если их содержание не было указано на этикетке продукта, но определено аналитически при выполнении настоящего исследования, то обнаруженное расхождение в энергетической ценности (связанное с содержанием пищевых волокон) не может расцениваться как отклонение в качественной характеристике продукта.
Для обогащенных пищевых продуктов данные аналитических исследований сравнивают с величинами, вынесенными на этикетку (или вкладыш). Для продуктов, у которых на этикетке вынесено, что они являются "источником" или "продуктов с высоким содержанием" нативных макро- или микронутриентов, полученные значения сравниваются с требованиями Технических регламентов Таможенного союза <9>.
--------------------------------
<9> Технический регламент Таможенного союза "Пищевая продукция в части ее маркировки" (ТР ТС 022/2011), утвержденный решением Комиссии Таможенного союза от 09.12.2011 N 881, с изменениями, внесенными решениями Совета Евразийской экономической комиссии от 20.12.2017 N 90, от 14.09.2018 N 75, от 22.04.2024 N 35 (далее - ТР ТС 022/2011).
6.2. Для продукции "без сахара" или "без добавленного сахара" и возможных заявленных "диетических" или "диабетических" свойствах необходимо проверить наличие продукции в Едином реестре свидетельств о государственной регистрации <10>.
--------------------------------
<10> Единый реестр свидетельств о государственной регистрации - nsi.eaeunion.org/portal/1995 (в свободном доступе).
6.3. Наличие и количественное содержание пищевых добавок оценивают в соответствии с Техническим регламентом Таможенного союза <11>.
--------------------------------
<11> Технический регламент Таможенного союза "Требования безопасности пищевых добавок, ароматизаторов и технологических вспомогательных средств" (ТР ТС 029/2012), утвержденный решением Совета Евразийской экономической комиссии от 20.07.2012 N 58, с изменениями, внесенными решениями Совета Евразийской экономической комиссии от 18.09.2014 N 69, от 29.08.2023 N 84.
6.4. Полученные аналитические данные используют для оценки качества по изученным показателям для каждого вида пищевой продукции.
6.5. При наличии данных, которые показывают, что исследуемая пищевая продукция не соответствует требованиям Технических регламентов Евразийского экономического союза (Таможенного союза), распространяющимся на данный вид пищевой продукции, в частности в области маркировки <12>, информацию передают в Управление Роспотребнадзора по субъекту Российской Федерации для принятия решения о проведении контрольно-надзорных мероприятий в отношении такой продукции.
--------------------------------
<12> ТР ТС 022/2011.
6.6. На основании полученных данных рассчитывают долю образцов пищевой продукции, не соответствующих установленным величинам по показателям пищевой ценности, вынесенным на этикетку (с учетом ошибки метода анализа и естественной вариабельности содержания), пищевым добавкам.
6.7. Полученные первичные данные и процент образцов пищевой продукции, не соответствующих установленным величинам по показателям пищевой ценности, вынесенным на этикетку (с учетом ошибки метода анализа и естественной вариабельности содержания), пищевым добавкам, направляют в ФБУЗ "Федеральный центр гигиены и эпидемиологии" Роспотребнадзора для обобщения и анализа полученных результатов по субъектам и в целом по Российской Федерации для формирования федерального информационного фонда.
6.8. Для получения данных по исследованиям показателей качества, идентификации и выявления фальсификации при необходимости могут использоваться все результаты исследований, проводимых в рамках мониторинга Роспотребнадзором.
Приложение 1
к МР 2.3.7.0415-26
ПЕРЕЧЕНЬ
СУБЪЕКТОВ РОССИЙСКОЙ ФЕДЕРАЦИИ, В КОТОРЫХ ПРОВОДИТСЯ ОЦЕНКА
КАЧЕСТВА ПИЩЕВОЙ ПРОДУКЦИИ И ОЦЕНКА ДОСТУПА НАСЕЛЕНИЯ
К ОТЕЧЕСТВЕННОЙ ПИЩЕВОЙ ПРОДУКЦИИ, СПОСОБСТВУЮЩЕЙ
УСТРАНЕНИЮ ДЕФИЦИТА МАКРО- И МИКРОНУТРИЕНТОВ
1. Республика Адыгея
2. Республика Башкортостан
3. Республика Бурятия
4. Республика Алтай
5. Республика Дагестан
6. Республика Ингушетия
7. Кабардино-Балкарская Республика
8. Республика Калмыкия
9. Карачаево-Черкесская Республика
10. Республика Карелия
11. Республика Коми
12. Республика Марий Эл
13. Республика Мордовия
14. Республика Саха (Якутия)
15. Республика Северная Осетия - Алания
16. Республика Татарстан
17. Республика Тыва
18. Удмуртская Республика
19. Республика Хакасия
20. Чеченская Республика
21. Чувашская Республика
22. Алтайский край
23. Краснодарский край
24. Красноярский край
25. Приморский край
26. Ставропольский край
27. Хабаровский край
28. Амурская область
29. Архангельская область
30. Астраханская область
31. Белгородская область
32. Брянская область
33. Владимирская область
34. Волгоградская область
35. Вологодская область
36. Воронежская область
37. Ивановская область
38. Иркутская область
39. Калининградская область
40. Калужская область
41. Камчатский край
42. Кемеровская область
43. Кировская область
44. Костромская область
45. Курганская область
46. Курская область
47. Ленинградская область
48. Липецкая область
49. Магаданская область
50. Московская область
51. Мурманская область
52. Нижегородская область
53. Новгородская область
54. Новосибирская область
55. Омская область
56. Оренбургская область
57. Орловская область
58. Пензенская область
59. Пермский край
60. Псковская область
61. Ростовская область
62. Рязанская область
63. Самарская область
64. Саратовская область
65. Сахалинская область
66. Свердловская область
67. Смоленская область
68. Тамбовская область
69. Тверская область
70. Томская область
71. Тульская область
72. Тюменская область
73. Ульяновская область
74. Челябинская область
75. Забайкальский край
76. Ярославская область
77. город федерального значения Москва
78. город федерального значения Санкт-Петербург
79. Еврейская автономная область
80. Ненецкий автономный округ
81. Ханты-Мансийский автономный округ - Югра
82. Чукотский автономный округ
83. Ямало-Ненецкий автономный округ
84. Республика Крым
85. Город федерального значения Севастополь
86. Запорожская область
87. Донецкая Народная Республика
88. Луганская Народная Республика
89. Херсонская область
Приложение 2
МР 2.3.7.0415-26
РЕКОМЕНДУЕМЫЙ ПЕРЕЧЕНЬ
ПОКАЗАТЕЛЕЙ ДЛЯ ПОПОЛНЕНИЯ БАЗЫ ДАННЫХ МОБИЛЬНОГО
ПРИЛОЖЕНИЯ "ЗДОРОВОЕ ПИТАНИЕ"
1. Na (поваренная соль).
2. Жиры, в том числе трансизомеры жирных кислот и насыщенные жирные кислоты.
3. Добавленный сахар.
4. Витамины A, B1, B2, C.
5. Кальций.
6. Железо.
7. Фосфор.
Приложение 3
к МР 2.3.7.0415-26
АССОРТИМЕНТ
ПИЩЕВОЙ ПРОДУКЦИИ ДЛЯ ОПРЕДЕЛЕНИЯ ПОКАЗАТЕЛЕЙ КАЧЕСТВА
1. Хлеб и хлебобулочные изделия из различных видов муки, в маркировке которых указано, что они являются "источником" или "продуктом с высоким содержанием" нативных макро- и/или микронутриентов.
1) жиры;
2) белки;
3) зола;
4) влажность;
5) углеводы (расчетные);
6) пищевые волокна (сумма);
7) витамин B1 (в пищевой продукции, для которой указано, что она является "источником" или "продуктом с высоким содержанием" нативных микронутриентов определяется весь спектр витаминов, указанных на этикетке);
8) Na, K (в пищевой продукции, для которой указано, что она является "источником" или "продуктом с высоким содержанием" нативных микронутриентов определяется весь спектр минеральных веществ, указанных на этикетке);
9) энергетическая ценность (расчетная).
2. Обогащенные зерновые продукты, в том числе экструдированные завтраки: хлопья (например, кукурузные, пшеничные), готовые завтраки (например, шарики, подушечки).
1) жиры;
2) белки;
3) зола;
4) влажность;
5) углеводы (расчетные);
6) пищевые волокна (сумма);
7) витамины (для обогащенной пищевой продукции определяется весь спектр витаминов, указанных на этикетке);
8) минеральные вещества Na, K (для обогащенной пищевой продукции определяется весь спектр минеральных веществ, указанных на этикетке);
9) энергетическая ценность (расчетная).
3. Обогащенные витаминами и/или минеральными веществами молоко и кисломолочные продукты (йогурты, кефир, напитки).
1) жиры;
2) жирнокислотный состав - насыщенные жирные кислоты, ненасыщенные жирные кислоты, полиненасыщенные жирные кислоты, трансизомеры жирных кислот (расчетные)
2.1) насыщенные жирные кислоты:
- масляная (бутановая) кислота C4:0;
- капроновая (гексановая) кислота C6:0;
- каприловая (октановая) кислота C8:0;
- каприновая (декановая) кислота C10:0;
- ундециловая (ундекановая) кислота C11:0;
- лауриновая (додекановая) кислота C12:0;
- тридециловая (тридекановая) кислота C13:0;
- миристиновая (тетрадекановая) кислота C14:0;
- пентадециловая (пентадекановая) кислота C15:0;
- пальмитиновая (гексадекановая) кислота C16:0;
- маргариновая (гептадекановая) кислота C17:0;
- стеариновая (октадекановая) кислота C18:0;
- арахиновая (эйкозановая) кислота C20:0;
- генэйкоциловая (генэйкозановая) кислота C21:0;
- бегеновая (докозановая) кислота C22:0;
- лигноцериновая (тетракозановая) кислота C24:0;
2.2) мононенасыщенные жирные кислоты:
- миристолеиновая (цис-9-тетрадеценовая) кислота C14:1;
- пентадеценовая кислота C15:1;
- пальмитолеиновая (цис-9-гексадеценовая) кислота C16:1;
- маргаринолеиновая (гептадеценовая) кислота C17:1;
- олеиновая (цис-9-октадеценовая) кислота C18:1;
- элаидиновая (транс-9-октадеценовая) кислота C18:1;
- эйкозеновая (гондоиновая) кислота C20:1;
- эруковая (цис-13-докозеновая) кислота C22:1;
- нервоновая (селахолевая) кислота C24:1;
2.3) полиненасыщенные жирные кислоты:
- линолевая (цис, цис-9, 12-октадекадиеновая) кислота C18:2;
- линоэладиковая кислота C18:2;
- a-линоленовая (цис, цис, цис-9, 12, 15-октадекатриеновая) кислота C18:3;
- Y-линоленовая (цис, цис, цис-6, 9, 12-октадекатриеновая) кислота C18:3;
- эйкозадиеновая (цис, цис-11, 14-эйкозадиеновая) кислота C20:2;
- эйкозатриеновая (цис, цис, цис-8, 11, 14-эйкозатриеновая) кислота C20:3 n6;
- эйкозатриеновая (цис, цис, цис-11, 14, 17-эйкозатриеновая) кислота C20:3 n3;
- арахидоновая (цис-5, 8, 11, 14-эйкозотетраеновая) кислота C20:4;
- эйкозапентаеновая (тимнодоновая) кислота C20:5;
- докозадиеновая (цис, цис-13, 16-докозадиеновая) кислота C22:2;
- цервоновая (докозагексаеновая) кислота C22:6;
- адреновая (докозатетраеновая) кислота C22:4;
- клупанодоновая (докозапентаеновая) кислота C22:5;
3) белки;
4) зола;
5) углеводы (расчетные);
6) витамин B2 (для обогащенной пищевой продукции определяется весь спектр витаминов, указанных на этикетке);
7) минеральные вещества Ca, P (для обогащенной пищевой продукции определяется весь спектр минеральных веществ, указанных на этикетке);
8) стерины - качественно (бета-ситостерин, брассикастерин, кампастерин, стигмастерин, холестерин);
9) энергетическая ценность (расчетная).
4. Обогащенное печенье.
1) жиры;
2) трансизомеры жирных кислот (сумма);
3) белки;
4) зола;
5) влажность;
6) углеводы (расчетные);
7) углеводы (моно- и дисахариды): сахароза, глюкоза, фруктоза;
8) пищевые волокна (сумма);
9) весь спектр витаминов, указанных на этикетке;
10) весь спектр минеральных веществ, указанных на этикетке;
11) энергетическая ценность (расчетная).
5. Йодированная соль.
1) минеральные вещества I.
6. Соки не концентрированные фруктовые (абрикосовый, ананасовый, апельсиновый, виноградный, вишневый, персиковый, сливовый, яблочный), овощные (морковный, свекольный, томатный), нектары.
1) углеводы (моно- и дисахариды) - сахароза, глюкоза, фруктоза;
2) пищевые волокна (сумма) - определяются только в неосветленных соках;
3) витамины - C (для обогащенной пищевой продукции определяется весь спектр витаминов, указанных на этикетке);
4) минеральные вещества Na, K (для обогащенной пищевой продукции определяется весь спектр минеральных веществ, указанных на этикетке);
5) консерванты E200 - E203, E210 - E213;
6) красители - E102, E110, E122, E123, E127 - E129, E131 - E133, E142 - необходимо учитывать возможное присутствие незаявленных химических веществ (синтетических красителей) в результате технологической обработки продукции и применения при производстве;
7) органические кислоты (щавелевая, муравьиная, винная, янтарная, молочная, уксусная, лимонная, яблочная);
8) массовая доля растворимых сухих веществ (BRIX).
7. Безалкогольные напитки, в том числе обогащенные.
1) углеводы (моно- и дисахариды) - сахароза, глюкоза, фруктоза;
2) консерванты E200 - E203, E210 - E213, E220 - E228;
3) красители - E100, E102, E104, E110, E120, E122 - E124, E127 - E129, E131 - E133, E142, E143, E151, E155, E160 - необходимо учитывать возможное присутствие незаявленных химических веществ (синтетических красителей) в результате технологической обработки продукции и применения при производстве;
4) витамины (для обогащенной пищевой продукции определяется весь спектр витаминов, указанных на этикетке);
5) минеральные вещества (для обогащенной пищевой продукции определяется весь спектр минеральных веществ, указанных на этикетке);
8. Сосиски ("Молочные"), сардельки ("Говяжьи" и "Свиные").
1) жиры;
2) жирнокислотный состав - насыщенные жирные кислоты, трансизомеры жирных кислот (сумма)
2.1) насыщенные жирные кислоты:
- масляная (бутановая) кислота C4:0;
- капроновая (гексановая) кислота C6:0;
- каприловая (октановая) кислота C8:0;
- каприновая (декановая) кислота C10:0;
- ундециловая (ундекановая) кислота C11:0;
- лауриновая (додекановая) кислота C12:0;
- тридециловая (тридекановая) кислота C13:0;
- миристиновая (тетрадекановая) кислота C14:0;
- пентадециловая (пентадекановая) кислота C15:0;
- пальмитиновая (гексадекановая) кислота C16:0;
- маргариновая (гептадекановая) кислота C17:0;
- стеариновая (октадекановая) кислота C18:0;
- арахиновая (эйкозановая) кислота C20:0;
- генэйкоциловая (генэйкозановая) кислота C21:0;
- бегеновая (докозановая) кислота C22:0;
- лигноцериновая (тетракозановая) кислота C24:0;
3) белки;
4) зола;
5) влажность;
6) углеводы (расчетные);
7) минеральные вещества Na, Fe, K
8) консерванты E200, E202, E210 - E213;
9) красители - E102, E104, E110, E122, E124, E129, E131, E132, E133 - необходимо учитывать возможное присутствие незаявленных химических веществ (синтетических красителей) в результате технологической обработки продукции и применения при производстве;
10) энергетическая ценность (расчетная);
11) микробная трансглутаминаза.
9. Сливки, стерилизованные, пастеризованные, ультрапастеризованные с жирностью 10,0%.
1) жиры;
2) жирнокислотный состав - насыщенные жирные кислоты, ненасыщенные жирные кислоты, полиненасыщенные жирные кислоты, трансизомеры жирных кислот (расчетные)
2.1) насыщенные жирные кислоты:
- масляная (бутановая) кислота C4:0;
- капроновая (гексановая) кислота C6:0;
- каприловая (октановая) кислота C8:0;
- каприновая (декановая) кислота C10:0;
- ундециловая (ундекановая) кислота C11:0;
- лауриновая (додекановая) кислота C12:0;
- тридециловая (тридекановая) кислота C13:0;
- миристиновая (тетрадекановая) кислота C14:0;
- пентадециловая (пентадекановая) кислота C15:0;
- пальмитиновая (гексадекановая) кислота C16:0;
- маргариновая (гептадекановая) кислота C17:0;
- стеариновая (октадекановая) кислота C18:0;
- арахиновая (эйкозановая) кислота C20:0;
- генэйкоциловая (генэйкозановая) кислота C21:0;
- бегеновая (докозановая) кислота C22:0;
- лигноцериновая (тетракозановая) кислота C24:0;
2.2) мононенасыщенные жирные кислоты:
- миристолеиновая (цис-9-тетрадеценовая) кислота C14:1;
- пентадеценовая кислота C15:1;
- пальмитолеиновая (цис-9-гексадеценовая) кислота C16:1;
- маргаринолеиновая (гептадеценовая) кислота C17:1;
- олеиновая (цис-9-октадеценовая) кислота C18:1;
- элаидиновая (транс-9-октадеценовая) кислота C18:1;
- эйкозеновая (гондоиновая) кислота C20:1;
- эруковая (цис-13-докозеновая) кислота C22:1;
- нервоновая (селахолевая) кислота C24:1;
2.3) полиненасыщенные жирные кислоты:
- линолевая (цис, цис-9, 12-октадекадиеновая) кислота C18:2;
- линоэладиковая кислота C18:2;
- a-линоленовая (цис, цис, цис-9, 12, 15-октадекатриеновая) кислота C18:3;
- Y-линоленовая (цис, цис, цис-6, 9, 12-октадекатриеновая) кислота C18:3;
- эйкозадиеновая (цис, цис-11, 14-эйкозадиеновая) кислота C20:2;
- эйкозатриеновая (цис, цис, цис-8, 11, 14-эйкозатриеновая) кислота C20:3 n6;
- эйкозатриеновая (цис, цис, цис-11, 14, 17-эйкозатриеновая) кислота C20:3 n3;
- арахидоновая (цис-5, 8, 11, 14-эйкозотетраеновая) кислота C20:4;
- эйкозапентаеновая (тимнодоновая) кислота C20:5;
- докозадиеновая (цис, цис-13, 16-докозадиеновая) кислота C22:2;
- цервоновая (докозагексаеновая) кислота C22:6;
- адреновая (докозатетраеновая) кислота C22:4;
- клупанодоновая (докозапентаеновая) кислота C22:5;
3) белки;
4) зола;
5) углеводы (расчетные);
6) витамин B2;
7) минеральные вещества Ca, P;
8) стерины - качественно (бета-ситостерин, брассикастерин, кампастерин, стигмастерин, холестерин);
9) энергетическая ценность (расчетная).
10. Кисломолочная продукция: кефир, простокваша, ряженка, сметана, продукт кисломолочный, обогащенные пробиотической микрофлорой (без фруктовых и иных наполнителей).
1) жиры;
2) жирнокислотный состав - насыщенные жирные кислоты, ненасыщенные жирные кислоты, полиненасыщенные жирные кислоты, трансизомеры жирных кислот (суммы)
2.1) насыщенные жирные кислоты:
- масляная (бутановая) кислота C4:0;
- капроновая (гексановая) кислота C6;0;
- каприловая (октановая) кислота C8:0;
- каприновая (декановая) кислота C10:0;
- ундециловая (ундекановая) кислота C11:0;
- лауриновая (додекановая) кислота C12:0;
- тридециловая (тридекановая) кислота C13:0;
- миристиновая (тетрадекановая) кислота C14:0;
- пентадециловая (пентадекановая) кислота C15:0;
- пальмитиновая (гексадекановая) кислота C16:0;
- маргариновая (гептадекановая) кислота C17:0;
- стеариновая (октадекановая) кислота C18:0;
- арахиновая (эйкозановая) кислота C20:0;
- генэйкоциловая (генэйкозановая) кислота C21:0;
- бегеновая (докозановая) кислота C22:0;
- лигноцериновая (тетракозановая) кислота C24:0;
2.2) мононенасыщенные жирные кислоты:
- миристолеиновая (цис-9-тетрадеценовая) кислота C14:1;
- пентадеценовая кислота C15:1;
- пальмитолеиновая (цис-9-гексадеценовая) кислота C16:1;
- маргаринолеиновая (гептадеценовая) кислота C17:1;
- олеиновая (цис-9-октадеценовая) кислота C18:1;
- элаидиновая (транс-9-октадеценовая) кислота C8:1;
- эйкозеновая (гондоиновая) кислота C20:1;
- эруковая (цис-13-докозеновая) кислота C22:1;
- нервоновая (селахолевая) кислота C24:1;
2.3) полиненасыщенные жирные кислоты:
- линолевая (цис, цис-9, 12-октадекадиеновая) кислота C18:2;
- линоэладиковая кислота C18:2;
-
-линоленовая (цис, цис, цис-9, 12, 15-октадекатриеновая) кислота C18:3;
-
-линоленовая (цис, цис, цис-6, 9, 12-октадекатриеновая) кислота C18:3;
- эйкозадиеновая (цис, цис-11, 14-эйкозадиеновая) кислота C20:2;
- эйкозатриеновая (цис, цис, цис-8, 11, 14-эйкозатриеновая) кислота C20:3 n6;
- эйкозатриеновая (цис, цис, цис-11, 14, 17-эйкозатриеновая) кислота C20:3 n3;
- арахидоновая (цис-5, 8, 11, 14-эйкозотетраеновая) кислота C20:4;
- эйкозапентаеновая (тимнодоновая) кислота C20:5;
- докозадиеновая (цис, цис-13, 16-докозадиеновая) кислота C22:2;
- цервоновая (докозагексаеновая) кислота C22:6;
- адреновая (докозатетраеновая) кислота C22:4;
- клупанодоновая (докозапентаеновая) кислота C22:5;
3) белки;
4) зола;
5) влажность;
6) углеводы (расчетные);
7) углеводы (моно- и дисахариды): сахароза, глюкоза, фруктоза (для продукции, содержащей сахара);
8) витамин B2;
9) минеральные вещества Na, Ca, K;
10) стерины - качественно (бета-ситостерин, брассикастерин, кампастерин, стигмастерин, холестерин);
11) энергетическая ценность (расчетная);
12) заквасочная (технологическая) и пробиотическая микрофлора
(Bifidobacterium spp., Lactobacillus spp., Streptococcus thermophilus, Lactococcus spp., Propionibacterium spp.) с последующей идентификацией указанных на этикетке микроорганизмов.
11. Оливковое, льняное масло.
1) жирнокислотный состав - насыщенные жирные кислоты, ненасыщенные жирные кислоты, полиненасыщенные жирные кислоты (суммы)
1.1) насыщенные жирные кислоты:
- масляная (бутановая) кислота C4:0;
- капроновая (гексановая) кислота C6:0;
- каприловая (октановая) кислота C8:0;
- каприновая (декановая) кислота C10:0;
- ундециловая (ундекановая) кислота C11:0;
- лауриновая (додекановая) кислота C12:0;
- тридециловая (тридекановая) кислота C13:0;
- миристиновая (тетрадекановая) кислота C14:0;
- пентадециловая (пентадекановая) кислота C15:0;
- пальмитиновая (гексадекановая) кислота C16:0;
- маргариновая (гептадекановая) кислота C17:0;
- стеариновая (октадекановая) кислота C18:0;
- генэйкоциловая (генэйкозановая) кислота C21:0;
- арахиновая (эйкозановая) кислота C20:0;
- бегеновая (докозановая) кислота C22:0;
- лигноцериновая (тетракозановая) кислота C24:0;
1.2) мононенасыщенные жирные кислоты:
- миристолеиновая (цис-9-тетрадеценовая) кислота C14:1;
- пентадеценовая кислота C15:1;
- пальмитолеиновая (цис-9-гексадеценовая) кислота C16:1;
- маргаринолеиновая (гептадеценовая) кислота C17:1;
- олеиновая (цис-9-октадеценовая) кислота C18:1;
- элаидиновая (транс-9-октадеценовая) кислота C18:1;
- эйкозеновая (гондоиновая) кислота C20:1;
- эруковая (цис-13-докозеновая) кислота C22:1;
- нервоновая (селахолевая) кислота C24:1;
1.3) полиненасыщенные жирные кислоты:
- линолевая (цис, цис-9, 12-октадекадиеновая) кислота C18:2;
- линоэладиковая кислота C18:2;
-
-линоленовая (цис, цис, цис-9, 12, 15-октадекатриеновая) кислота C18:3;
-
-линоленовая (цис, цис, цис-6, 9, 12-октадекатриеновая) кислота C18:3;
- эйкозадиеновая (цис, цис-11, 14-эйкозадиеновая) кислота C20:2;
- эйкозатриеновая (цис, цис, цис-8, 11, 14-эйкозатриеновая) кислота C20:3;
- эйкозатриеновая (цис, цис, цис-11, 14, 17-эйкозатриеновая) кислота C20:3;
- арахидоновая (цис-5, 8, 11, 14-эйкозотетраеновая) кислота C20:4;
- эйкозапентаеновая (тимнодоновая) кислота C20:5;
- докозадиеновая (цис, цис-13, 16-докозадиеновая) кислота C22:2;
- цервоновая (докозагексаеновая) кислота C22:6;
- адреновая (докозатетраеновая) кислота C22:4;
- клупанодоновая (докозапентаеновая) кислота C22:5;
2) кислотное число;
3) перекисное число.
12. Продукция, в маркировке которой используется "без сахара" или "без добавленного сахара": печенье, пастильные изделия (пастила, зефир).
12.1. Печенье:
1) жиры;
2) трансизомеры жирных кислот (сумма);
3) белки;
4) зола;
5) влажность;
6) углеводы (расчетные);
7) углеводы (моно- и дисахариды): сахароза, глюкоза, фруктоза;
8) пищевые волокна (сумма);
9) энергетическая ценность (расчетная);
12.2. Пастильные изделия:
1) белки;
2) зола;
3) влажность;
4) углеводы (расчетные);
5) углеводы (моно- и дисахариды): сахароза, глюкоза, фруктоза;
6) энергетическая ценность (расчетная);
7) красители - E102, E110, E122, E123, E127 - E129, E131 - E133, E142;
8) консерванты - E200, E202, E210 - E213.
Приложение 4
к МР 2.3.7.0415-26
ПЕРЕЧЕНЬ
РЕКОМЕНДУЕМЫХ МЕТОДОВ ИССЛЕДОВАНИЙ ДЛЯ ОЦЕНКИ ПОКАЗАТЕЛЕЙ
КАЧЕСТВА ПИЩЕВОЙ ПРОДУКЦИИ
1. Определение содержания жира:
- ГОСТ 5481-2022 "Масла растительные. Методы определения нежировых примесей и отстоя";
- ГОСТ 5668-2022 "Изделия хлебобулочные. Методы определения массовой доли жира";
- ГОСТ 5867-2023 "Молоко и молочные продукты. Методы определения жира";
- ГОСТ 8756.21-89 "Продукты переработки плодов и овощей. Методы определения жира";
- ГОСТ 15113.9-77 "Концентраты пищевые. Методы определения жира";
- ГОСТ 23042-2015 "Мясо и мясные продукты. Методы определения жира";
- ГОСТ 26183-84 "Продукты переработки плодов и овощей, консервы мясные и мясорастительные. Метод определения жира";
- ГОСТ 29247-91 "Консервы молочные. Методы определения жира";
- ГОСТ 31902-2012 "Изделия кондитерские. Методы определения массовой доли жира";
- ГОСТ Р 55361-2012 "Жир молочный, масло и паста масляная из коровьего молока. Правила приемки, отбор проб и методы контроля";
- Р 4.1.1672-03 "Руководство по методам контроля качества и безопасности биологически активных добавок к пище".
2. Определение жирнокислотного состава:
- ГОСТ 30418-96 "Масла растительные. Метод определения жирнокислотного состава";
- ГОСТ 31663-2012 "Масла растительные и жиры животные. Определение методом газовой хроматографии массовой доли метиловых эфиров жирных кислот";
- ГОСТ 31665-2012 "Масла растительные и жиры животные. Получение метиловых эфиров жирных кислот";
- ГОСТ 31754-2012 "Масла растительные, жиры животные и продукты их переработки. Методы определения массовой доли трансизомеров жирных кислот";
- ГОСТ 32915-2014 "Молоко и молочная продукция. Определение жирнокислотного состава жировой фазы методом газовой хроматографии";
- ГОСТ 34987-2023 "Мясо и мясные продукты. Методы определения жирнокислотного состава";
- ГОСТ Р 54686-2011 "Кондитерские изделия. Метод определения массовой доли насыщенных жирных кислот";
- Р 4.1.1672-03 "Руководство по методам контроля качества и безопасности биологически активных добавок к пище".
3. Определение белка:
- ГОСТ 10846-91 "Зерно и продукты его переработки. Метод определения белка";
- ГОСТ 23327-98 "Молоко и молочные продукты. Метод измерения массовой доли общего азота по Кьельдалю и определение массовой доли белка";
- ГОСТ 25011-2017 "Мясо и мясные продукты. Методы определения белка";
- ГОСТ 25179-2014 "Молоко и молочные продукты. Методы определения массовой доли белка";
- ГОСТ 34454-2018 "Продукция молочная. Определение массовой доли белка методом Кьельдаля".
4. Определение углеводов (моно-, дисахаридов):
- ГОСТ 31669-2012 "Пищевая продукция. Продукция соковая. Определение сахарозы, глюкозы, фруктозы и сорбита методом высокоэффективной жидкостной хроматографии";
- ГОСТ 33527-2015 "Молочные и молочные составные продукты для детского питания. Определения массовой доли моно- и дисахаридов с использованием капиллярного электрофореза";
- Р 4.1.1672-03 "Руководство по методам контроля качества и безопасности биологически активных добавок к пище";
- М 04-69-2011 "Напитки. Плодоовощная продукция, БАД, мед. Определение фруктозы, глюкозы и сахарозы методом капиллярного электрофореза с использованием системы капиллярного электрофореза "Капель".
5. Определение пищевых волокон (сумма):
- ГОСТ 34844-2022 "Продукция пищевая. Определение массовой доли пищевых волокон";
- ГОСТ Р 54014-2010 "Продукты пищевые функциональные. Определение растворимых и нерастворимых пищевых волокон ферментативно-гравиметрическим методом";
- Р 4.1.1672-03 "Руководство по методам контроля качества и безопасности биологически активных добавок к пище";
- МИ 01.00282-2008/0174.01.07.13 "Продукты пищевые. Методические указания. Определение содержания растворимых и нерастворимых пищевых волокон в пищевых продуктах и БАД к пище".
6. Определение золы:
- ГОСТ ISO 2171-2016 "Культуры зерновые, бобовые и продукты их переработки. Определение золы при сжигании";
- ГОСТ 5901-2014 "Изделия кондитерские. Методы определения массовой доли золы и металломагнитной примеси";
- ГОСТ 15113.8-77 "Концентраты пищевые. Методы определения золы";
- ГОСТ 25555.4-91 "Продукты переработки плодов и овощей. Методы определения золы и щелочности общей и водорастворимой золы";
- ГОСТ 27494-2016 "Мука и отруби. Методы определения зольности";
- ГОСТ 31727-2012 "Мясо и мясные продукты. Метод определения массовой доли общей золы";
- ГОСТ 33946-2016 "Продукция соковая. Гравиметрический метод определения массовой доли золы".
7. Определение влажности:
- ГОСТ 5900-2014 "Изделия кондитерские. Методы определения влаги и сухих веществ";
- ГОСТ 9404-88 "Мука и отруби. Метод определения влажности";
- ГОСТ 9793-2016 "Мясо и мясные продукты. Методы определения влаги";
- ГОСТ 15113.4-2021 "Концентраты пищевые. Гравиметрические методы определения массовой доли влаги";
- ГОСТ 21094-2022 "Изделия хлебобулочные. Методы определения влажности";
- ГОСТ 30305.1-95 "Консервы молочные сгущенные. Методики выполнения измерений массовой доли влаги";
- ГОСТ 33319-2015 "Мясо и мясные продукты. Метод определения массовой доли влаги";
- ГОСТ 33977-2016 "Продукты переработки фруктов и овощей. Методы определения общего содержания сухих веществ";
- ГОСТ Р 54668-2011 "Молоко и продукты переработки молока. Методы определения массовой доли влаги и сухого вещества".
8. Определение витамина E:
- ГОСТ EN 12822-2020 "Продукция пищевая. Определение содержания витамина E методом высокоэффективной жидкостной хроматографии. Измерение альфа-, бета-, гамма- и дельта-токоферолов";
- ГОСТ ISO 20633-2018 "Смеси адаптированные для искусственного вскармливания детей раннего возраста и смеси для энтерального питания взрослых. Определение содержания витамина E и витамина A с помощью нормально-фазовой высокоэффективной жидкостной хроматографии" (предел обнаружения витамина E составляет от 0,1 мг/100 г);
- ГОСТ 32043-2012 "Премиксы. Методы определения витаминов A, D, E" (предел обнаружения витамина E составляет от 0,01 мг/г);
- ГОСТ 32307-2013 "Мясо и мясные продукты. Определение содержания жирорастворимых витаминов методом высокоэффективной жидкостной хроматографии" (предел обнаружения витамина E составляет от 0,1 мг/100 г);
- ГОСТ Р 54634-2011 "Продукты пищевые функциональные. Метод определения витамина E" (предел обнаружения витамина E составляет от 0,5 мг/100 г);
- Р 4.1.1672-03 "Руководство по методам контроля качества и безопасности биологически активных добавок к пище";
- М 04-10-2007 "Методика выполнения измерений массовой доли витаминов A (в форме ретинола) и E (в форме альфа-токоферола) в пробах пищевых продуктов, продовольственного сырья и БАД методом ВЭЖХ с флуориметрическим детектированием с использованием жидкостного хроматографа "Люмохром".
9. Определение витамина A:
- ГОСТ ISO 12080-1-2016 "Молоко обезжиренное сухое. Определение содержания витамина A. Часть 1. Колориметрический метод" (предел обнаружения витамина A составляет от 300 мкг/100 г);
- ГОСТ ISO 12080-2-2016 "Молоко обезжиренное сухое. Определение содержания витамина A. Часть 2. Метод высокоэффективной жидкостной хроматографии" (предел обнаружения витамина A составляет от 300 мкг/100 г);
- ГОСТ ISO 20633-2018 "Смеси адаптированные для искусственного вскармливания детей раннего возраста и смеси для энтерального питания взрослых. Определение содержания витамина E и витамина A с помощью нормально-фазовой высокоэффективной жидкостной хроматографии" (предел обнаружения витамина A составляет от 10 мкг/100 г);
- ГОСТ 26573.1-93 "Премиксы. Методы определения витамина A" (предел обнаружения витамина A составляет от 6 мкг/г);
- ГОСТ 32043-2012 "Премиксы. Методы определения витаминов A, D, E" (предел обнаружения витамина A составляет от 3 мкг/г);
- ГОСТ 32307-2013 "Мясо и мясные продукты. Определение содержания жирорастворимых витаминов методом высокоэффективной жидкостной хроматографии" (предел обнаружения витамина A составляет от 10 мкг/100 г);
- ГОСТ Р 54635-2011 "Продукты пищевые функциональные. Метод определения витамина A" (предел обнаружения витамина A составляет от 50 мкг/100 г);
- СТБ EN 12823-1-2012 "Продукты пищевые. Определение содержания витамина A методом жидкостной хроматографии. Часть 1. Измерение содержания полного транс-ретинола и 13-цис-ретинола" (предел обнаружения витамина A составляет от 30 мкг/100 г);
- Р 4.1.1672-03 "Руководство по методам контроля качества и безопасности биологически активных добавок к пище";
- М 04-10-2007 "Методика выполнения измерений массовой доли витаминов A (в форме ретинола) и E (в форме альфа-токоферола) в пробах пищевых продуктов, продовольственного сырья и БАД методом ВЭЖХ с флуориметрическим детектированием с использованием жидкостного хроматографа "Люмохром".
10. Определение витамина D:
- ГОСТ EN 12821-2014 "Продукты пищевые. Определение содержания холекальциферола (витамина D3) и эргокальциферола (витамина D2) методом высокоэффективной жидкостной хроматографии" (предел обнаружения витамина D составляет от 0,4 мкг/100 г);
- ГОСТ ISO 14892-2016 "Молоко сухое обезжиренное. Определение содержания витамина D с использованием высокоэффективной жидкостной хроматографии" (предел обнаружения витамина D составляет от 10 мкг/100 г);
- ГОСТ 32043-2012 "Премиксы. Методы определения витаминов A, D, E" (предел обнаружения витамина D составляет от 1 мкг/г);
- ГОСТ 32307-2013 "Мясо и мясные продукты. Определение содержания жирорастворимых витаминов методом высокоэффективной жидкостной хроматографии" (предел обнаружения витамина D составляет от 1 мкг/100 г);
- ГОСТ 32916-2014 "Молоко и молочная продукция. Определения массовой доли витамина D методом высокоэффективной жидкостной хроматографии" (предел обнаружения витамина D составляет от 1 мкг/100 г);
- ГОСТ Р 54637-2011 "Продукты пищевые функциональные. Метод определения витамина D3" (предел обнаружения витамина D составляет от 10 мкг/100 г).
11. Определение витамина B1:
- ГОСТ EN 14122-2020 "Продукция пищевая. Определение содержания витамина B1 методом высокоэффективной жидкостной хроматографии";
- ГОСТ 29138-91 "Мука, хлеб и хлебобулочные изделия пшеничные витаминизированные. Метод определения витамина B1 (тиамина)";
- Р 4.1.1672-03 "Руководство по методам контроля качества и безопасности биологически активных добавок к пище" (предел обнаружения витамина B1 составляет от 0,005 мкг/кг - подходит для определения витамина в обогащенной пищевой продукции и БАД к пище);
- М 04-56-2009 "Продукты пищевые и продовольственное сырье, БАД. Методика измерений массовой доли витаминов B1 и B2 флуориметрическим методом на анализаторе жидкости "Флюорат-02".
12. Определение витамина B2:
- ГОСТ EN 14152-2020 "Продукты пищевые. Определение содержания витамина B2 методом высокоэффективной жидкостной хроматографии";
- Р 4.1.1672-03 "Руководство по методам контроля качества и безопасности биологически активных добавок к пище" (предел обнаружения витамина B2 составляет от 0,006 мг/кг - подходит для определения витамина в обогащенной пищевой продукции и БАД к пище);
- М 04-56-2009 "Продукты пищевые и продовольственное сырье, БАД. Методика измерений массовой доли витаминов B1 и B2 флуориметрическим методом на анализаторе жидкости "Флюорат-02".
13. Определение витамина B6:
- ГОСТ EN 14164-2014 "Продукты пищевые. Определение витамина B6 с помощью высокоэффективной жидкостной хроматографии";
- ГОСТ EN 14663-2014 "Продукция пищевая. Определение витамина B6 (включая гликозилированные формы) методом высокоэффективной жидкостной хроматографии" (предел обнаружения витамина B6 составляет от 0,034 мг/100 г);
- Р 4.1.1672-03 "Руководство по методам контроля качества и безопасности биологически активных добавок к пище" (предел обнаружения витамина B6 составляет от 0,005 мкг/кг - подходит для определения витамина в обогащенной пищевой продукции и БАД к пище).
14. Определение фолиевой кислоты:
- ФР 1.31.2013.16147 "Методика измерений фолиевой кислоты в специализированных пищевых продуктах методом иммуноферментного анализа".
15. Определение витамина C:
- ГОСТ 24556-89 "Продукты переработки плодов и овощей. Методы определения витамина C";
- ГОСТ 30627.2-98 "Продукты молочные для детского питания. Методы измерений массовой доли витамина C (аскорбиновой кислоты)" (предел обнаружения аскорбиновой кислоты от 100 мг/кг);
- ГОСТ 31643-2012 "Продукция соковая. Определение аскорбиновой кислоты методом высокоэффективной жидкостной хроматографии" (предел обнаружения аскорбиновой кислоты от 5 до 1000 мг/дм3);
- Р 4.1.1672-03 "Руководство по методам контроля качества и безопасности биологически активных добавок к пище";
- М 04-07-2010 "Продукты пищевые и сырье продовольственное. Методика измерений массовой доли витамина C флуориметрическим методом на анализаторе жидкости "Флюорат-02".
16. Определение каротиноидов:
- ГОСТ ISO 6558-2-2019 "Фрукты, овощи и продукты их переработки. Определение содержания каротина спектрофотометрическим методом";
- ГОСТ Р 54058-2010 "Продукты пищевые функциональные. Метод определения каротиноидов";
- Р 4.1.1672-03 "Руководство по методам контроля качества и безопасности биологически активных добавок к пище".
17. Определение минеральных веществ:
- ГОСТ 9957-2015 "Мясо и мясные продукты. Методы определения содержания хлористого натрия";
- ГОСТ 26928-86 "Продукты пищевые. Метод определения железа";
- ГОСТ 30178-96 "Сырье и продукты пищевые. Атомно-адсорбционный метод определения токсичных элементов";
- ГОСТ 31707-2012 "Продукты пищевые. Определение следовых элементов. Определение общего мышьяка и селена методом атомно-абсорбционной спектрометрии с генерацией гидридов с предварительной минерализацией пробы под давлением";
- ГОСТ 33824-2016 "Продукты пищевые и продовольственное сырье. Инверсионно-вольтамперометрический метод определения содержания токсичных элементов (кадмия, свинца, меди и цинка)";
- ГОСТ 34228-2017 "Продукция соковая. Определение консервантов методом высокоэффективной жидкостной хроматографии";
- ГОСТ Р 51575-2000 "Соль поваренная пищевая йодированная. Методы определения йода и тиосульфата натрия";
- Р 4.1.1672-03 "Руководство по методам контроля качества и безопасности биологически активных добавок к пище";
- МУ 31-04/04 "Методика выполнения измерений массовых концентраций цинка, кадмия, свинца и меди во всех группах пищевых продуктов и продовольственного сырья, включая алкогольные и безалкогольные напитки, биологически активные добавки к пище, а также в кормах и продуктах их переработки";
- МУ 31-07/04 "Методика выполнения измерений содержания йода в пищевых продуктах, продовольственном сырье, кормах и продуктах их переработки, лекарственных препаратах, витаминах, биологически активных добавках, биологических объектах методом инверсионной вольтамперометрии на анализаторах типа ТА".
18. Определение консервантов:
- ГОСТ 8558.1-2015 "Продукты мясные. Методы определения нитрита";
- ГОСТ 9794-2015 "Продукты мясные. Методы определения общего фосфора";
- ГОСТ 31504-2012 "Молоко и молочная продукция. Определение содержания консервантов и красителей методом высокоэффективной жидкостной хроматографии";
- ГОСТ 33332-2023 "Продукты переработки фруктов и овощей. Определение массовой доли сорбиновой и бензойной кислот методом высокоэффективной жидкостной хроматографии";
- ГОСТ 33809-2016 "Мясо и мясные продукты. Определение сорбиновой и бензойной кислот методом высокоэффективной жидкостной хроматографии";
- ГОСТ 34228-2017 "Продукция соковая. Определение консервантов методом высокоэффективной жидкостной хроматографии";
- Р 4.1.1672-03 "Руководство по методам контроля качества и безопасности биологически активных добавок к пище";
- М 04-51-2008 "Безалкогольная, соковая, винодельческая, ликероводочная и пивоваренная продукция. Методика измерений массовой концентрации кофеина, аскорбиновой, сорбиновой, бензойной кислот и их солей, сахарина и ацесульфама K методом капиллярного электрофореза";
- М 04-59-2009 "Продовольственное сырье и пищевые продукты, БАД. Методика измерений массовой доли консервантов (сорбиновой, бензойной кислот и их солей) и подсластителей (ацесульфама калия, сахарина и его солей) методом капиллярного электрофореза".
19. Определение синтетических красителей:
- ГОСТ 31504-2012 "Молоко и молочная продукция. Определение содержания консервантов и красителей методом высокоэффективной жидкостной хроматографии";
- ГОСТ 33278-2015 "Консервы фруктовые. Определение массовой доли пищевых синтетических красителей методом тонкослойной хроматографии";
- ГОСТ 34229-2017 "Продукция соковая. Определение синтетических красителей методом высокоэффективной жидкостной хроматографии";
- ГОСТ 33457-2015 "Продукты переработки фруктов и овощей. Метод количественного определения синтетических красителей с применением ион-парного экстрагирования";
- ГОСТ Р ИСО 13496-2013 "Мясо и мясные продукты. Обнаружение красителей. Метод тонкослойной хроматографии";
- ГОСТ Р 57029-2016 "Продукты пищевые специализированные, специи, пряности, продукты их переработки и биологически активные добавки к пище. Определение непищевых красителей Судан I, Судан II, Судан III, Судан IV и Пара Ред (ParaRed)";
- Р 4.1.1672-03 "Руководство по методам контроля качества и безопасности биологически активных добавок к пище";
- М 04-48-2012 "Безалкогольная, соковая, винодельческая, ликероводочная и пивоваренная продукция. Методика измерений массовой концентрации синтетических красителей методом капиллярного электрофореза".
20. Определение органических кислот:
- ГОСТ 32771-2014 "Продукция соковая. Определение органических кислот методом обращенно-фазовой высокоэффективной жидкостной хроматографии";
- ГОСТ 33410-2015 "Продукция безалкогольная, слабоалкогольная, винодельческая и соковая. Определение содержания органических кислот методом высокоэффективной жидкостной хроматографии";
- М 04-47-2012 "Продукция винодельческая, соковая, безалкогольная, слабоалкогольная и алкогольная, продукты пивоварения. Методика измерения массовой концентрации органических кислот и солей методом капиллярного электрофореза с использованием системы капиллярного электрофореза "Капель".
21. Определение стеринов:
- ГОСТ 31979-2012 "Молоко и молочные продукты. Метод обнаружения растительных жиров в жировой фазе газожидкостной хроматографией стеринов";
- ГОСТ 33490-2015 "Молоко и продукция молочная. Обнаружение растительных масел и жиров на растительной основе методом газожидкостной хроматографии с масс-спектрометрическим детектированием";
- ГОСТ 33608-2015 "Мясо и мясные продукты. Идентификация немясных ингредиентов растительного происхождения методом газовой хроматографии с масс-спектрометрическим детектором";
- ГОСТ 34456-2018 "Молоко и продукция молочная. Определение состава стеринов методом высокоэффективной жидкостной хроматографии";
- Р 4.1.1672-03 "Руководство по методам контроля качества и безопасности биологически активных добавок к пище".
22. Определение заквасочной (технической) и пробиотической микрофлоры:
- ГОСТ ISO 7889-2015 "Йогурт. Подсчет характерных микроорганизмов. Методика подсчета колоний микроорганизмов после инкубации при температуре 37 °C";
- ГОСТ ISO 29981-2013 "Продукты молочные. Подсчет презумптивных бифидобактерий. Метод определения количества колоний при температуре 37 °C";
- ГОСТ 10444.11-2013 "Микробиология пищевых продуктов и кормов для животных. Методы выявления и подсчета количества мезофильных молочнокислых микроорганизмов";
- ГОСТ 31981-2013 "Йогурты. Общие технические условия";
- ГОСТ 33491-2015 "Продукты кисломолочные, обогащенные бифидобактериями бифидум. Технические условия";
- ГОСТ 56145-2014 "Продукты пищевые функциональные. Методы микробиологического анализа";
- ГОСТ Р 56139-2014 "Продукты пищевые функциональные. Методы определения и подсчета пробиотических микроорганизмов";
- ГОСТ Р 56201-2014 "Продукты пищевые функциональные. Методы определения бифидогенных свойств";
- МУ 2.3.2.2789-10 "Методические указания по санитарно-эпидемиологической оценке безопасности и функционального потенциала пробиотических микроорганизмов, используемых для производства пищевых продуктов";
- МУК 4.2.999-00 "Определение количества бифидобактерий в кисломолочных продуктах".
23. Определение трансглутаминазы:
- "Методика измерений массовой доли микробной трансглутаминазы в пробах продуктов питания методом иммуноферментного анализа с помощью набора реагентов "МГТ-ИФА".
24. Определение фосфора:
- ГОСТ 9794-2015 "Продукты мясные. Методы определения содержания общего фосфора";
- МУК 4.1.3217-14 "Определение фосфатов в пищевых продуктах и продовольственном сырье".
25. Определение подсластителей:
- ГОСТ EN 12856-2015 "Продукты пищевые. Определение ацесульфама калия, аспартама и сахарина. Метод высокоэффективной жидкостной хроматографии";
- ГОСТ EN 12857-2015 "Продукция пищевая. Определение цикламата методом высокоэффективной жидкостной хроматографии";
- ГОСТ EN 15086-2015 "Продукция пищевая. Определение содержания изомальта, лактита, мальтита, манита, сорбита и ксилита в пищевых продуктах";
- ГОСТ EN 16155-2015 "Продукты пищевые. Определение сукралозы методом высокоэффективной жидкостной хроматографии";
- ГОСТ 25268-82 "Изделия кондитерские. Методы определения ксилита и сорбита";
- ГОСТ 30059-93 "Напитки безалкогольные. Методы определения аспартама, сахарина, кофеина и бензоата натрия".
Приложение 5
к МР 2.3.7.0415-26
КОЛИЧЕСТВО
ИССЛЕДУЕМЫХ ПРОБ ПИЩЕВОЙ ПРОДУКЦИИ ЦЕНТРАМИ ГИГИЕНЫ
И ЭПИДЕМИОЛОГИИ В СУБЪЕКТАХ РОССИЙСКОЙ ФЕДЕРАЦИИ
N п/п
Наименование учреждения
Общее кол-во проб
Хлеб и хлебобулочные изделия из различных видов муки
Обогащенные зерновые продукты, в т.ч. экструдированные завтраки: хлопья (кукурузные, пшеничные и другие), готовые завтраки (шарики, подушечки и другие)
Обогащенные витаминами и/или минеральными веществами молоко и кисломолочные продукты (йогурты, кефир, напитки)
Обогащенное печенье
Йодированная соль
Соки неконцентрированные фруктовые, овощные
Безалкогольные напитки, в том числе обогащенные
Сосиски ("Молочные"), сардельки ("Говяжьи" и "Свиные")
Сливки, стерилизованные с жирностью 10,0%
Кисломолочная продукция: кефир, простокваша, ряженка, сметана, продукт кисломолочный, обогащенные пробиотической микрофлорой (без фруктовых и иных наполнителей)
Оливковое, льняное масло
Продукция, в маркировке которой используется "без сахара" или "без добавленного сахара" (печенье, пастила, зефир)
1
ФБУЗ Центр гигиены и эпидемиологии в Архангельской области и Ненецком АО
91
9
8
5
8
4
6
14
10
4
8
5
10
В т.ч.
Ненецкому АО
24
2
2
2
2
2
2
2
2
2
2
2
2
2
ФБУЗ Центр гигиены и эпидемиологии в Алтайском крае
109
10
9
8
10
3
10
19
10
8
9
3
10
3
ФБУЗ Центр гигиены и эпидемиологии в Амурской области
64
5
5
4
10
4
4
8
6
2
6
2
8
4
ФБУЗ Центр гигиены и эпидемиологии в Астраханской области
39
3
3
3
2
3
2
4
4
2
5
4
4
5
ФБУЗ Центр гигиены и эпидемиологии в Белгородской области
58
6
4
3
5
5
5
7
4
2
6
3
8
6
ФБУЗ Центр гигиены и эпидемиологии в Брянской области
68
5
5
4
5
3
6
9
8
3
7
5
8
7
ФБУЗ Центр гигиены и эпидемиологии в Владимирской области
48
4
4
4
4
4
4
6
4
2
5
3
4
8
ФБУЗ Центр гигиены и эпидемиологии в Волгоградской области
71
6
5
7
4
3
5
11
8
4
8
2
8
9
ФБУЗ Центр гигиены и эпидемиологии в Вологодской области
53
4
4
3
4
3
4
8
3
2
7
5
6
10
ФБУЗ Центр гигиены и эпидемиологии в Воронежской области
111
10
10
9
10
3
10
15
10
10
12
4
8
11
ФБУЗ Центр гигиены и эпидемиологии в г. Москве
239
20
20
20
21
6
20
34
21
21
20
16
20
12
ФБУЗ Центр гигиены и эпидемиологии в г. Санкт-Петербурге и Ленинградской области
179
20
20
20
10
4
21
21
20
13
10
10
10
В т.ч.
Ленинградская область
82
10
10
10
4
2
10
10
10
4
4
4
4
13
ФБУЗ Центр гигиены и эпидемиологии в Еврейском АО
54
4
4
3
4
2
5
8
6
2
6
2
8
14
ФБУЗ Центр гигиены и эпидемиологии в Забайкальском крае
107
15
15
8
10
3
5
13
9
6
10
5
8
15
ФБУЗ Центр гигиены и эпидемиологии в Ивановской области
59
6
5
4
5
3
5
9
6
2
6
2
6
16
ФБУЗ Центр гигиены и эпидемиологии в Иркутской области
131
20
20
10
6
3
10
16
18
6
10
6
6
17
ФБУЗ Центр гигиены и эпидемиологии в Калининградской области
45
3
3
4
4
3
3
7
5
2
4
3
4
18
ФБУЗ Центр гигиены и эпидемиологии в Калужской области
41
4
4
3
2
3
2
7
4
2
3
3
4
19
ФБУЗ Центр гигиены и эпидемиологии в Камчатском крае
74
6
6
6
4
4
5
13
8
4
7
3
8
20
ФБУЗ Центр гигиены и эпидемиологии в Кемеровской области
139
21
21
12
8
5
10
16
10
6
10
10
10
21
ФБУЗ Центр гигиены и эпидемиологии в Кировской области
61
5
5
5
4
3
5
8
7
2
6
3
8
22
ФБУЗ Центр гигиены и эпидемиологии в Костромской области
40
3
2
4
2
3
3
5
5
2
4
3
4
23
ФБУЗ Центр гигиены и эпидемиологии в Краснодарском крае
146
20
20
14
4
3
15
12
16
12
12
8
10
24
ФБУЗ Центр гигиены и эпидемиологии в Красноярском крае
149
20
20
14
4
4
16
12
16
12
15
10
6
25
ФБУЗ Центр гигиены и эпидемиологии в Курганской области
47
4
3
4
4
4
4
5
6
2
4
3
4
26
ФБУЗ Центр гигиены и эпидемиологии в Курской области
57
5
5
4
4
4
5
6
6
2
6
2
8
27
ФБУЗ Центр гигиены и эпидемиологии в Липецкой области
55
5
5
4
4
4
4
7
6
2
6
2
6
28
ФБУЗ Центр гигиены и эпидемиологии в Магаданской области
48
4
3
4
3
4
4
6
6
2
6
2
4
29
ФБУЗ Центр гигиены и эпидемиологии в Московской области
127
20
20
14
4
5
10
10
15
8
10
5
6
30
ФБУЗ Центр гигиены и эпидемиологии в Мурманской области
86
10
10
9
5
4
4
8
10
6
10
4
6
31
ФБУЗ Центр гигиены и эпидемиологии в Нижегородской области
85
10
10
9
5
3
4
8
10
6
10
4
6
32
ФБУЗ Центр гигиены и эпидемиологии в Новгородской области
47
4
3
4
3
5
4
5
6
2
4
3
4
33
ФБУЗ Центр гигиены и эпидемиологии в Новосибирской области
77
10
10
4
5
4
4
10
10
2
6
6
6
34
ФБУЗ Центр гигиены и эпидемиологии в Омской области
81
10
10
4
5
4
6
10
10
2
6
8
6
35
ФБУЗ Центр гигиены и эпидемиологии в Оренбургской области
99
20
20
9
3
2
5
9
11
6
6
2
6
36
ФБУЗ Центр гигиены и эпидемиологии в Орловской области
54
3
3
3
4
4
6
8
6
3
6
2
6
37
ФБУЗ Центр гигиены и эпидемиологии в Пензенской области
55
5
6
5
4
2
5
7
5
2
6
2
6
38
ФБУЗ Центр гигиены и эпидемиологии в Пермском крае
127
20
20
10
6
5
10
16
10
10
12
2
6
39
ФБУЗ Центр гигиены и эпидемиологии в Приморском крае
98
20
20
4
4
4
10
12
6
3
6
3
6
40
ФБУЗ Центр гигиены и эпидемиологии в Псковской области
47
3
3
4
4
5
4
6
5
2
5
2
4
41
ФБУЗ Центр гигиены и эпидемиологии в Республике Кабардино-Балкария
48
3
3
4
4
5
4
6
5
2
5
3
4
42
ФБУЗ Центр гигиены и эпидемиологии в Республике Карачаево-Черкесия
35
4
3
2
2
3
3
4
4
2
4
2
2
43
ФБУЗ Центр гигиены и эпидемиологии в Республике Татарстан
90
10
10
10
4
4
5
11
10
6
8
6
6
44
ФБУЗ Центр гигиены и эпидемиологии в Республике Северная Осетия - Алания
46
3
3
4
3
4
4
7
6
2
6
2
2
45
ФБУЗ Центр гигиены и эпидемиологии в Республике Адыгея
44
4
2
4
3
2
4
7
6
2
5
3
2
46
ФБУЗ Центр гигиены и эпидемиологии в Республике Алтай
35
2
2
3
2
3
3
4
5
2
4
3
2
47
ФБУЗ Центр гигиены и эпидемиологии в Республике Башкортостан
85
15
15
5
4
4
5
9
10
3
6
3
6
48
ФБУЗ Центр гигиены и эпидемиологии в Республике Бурятия
88
12
12
6
6
4
5
12
14
3
6
2
6
49
ФБУЗ Центр гигиены и эпидемиологии в Республике Дагестан
68
5
5
5
5
5
5
8
8
4
8
4
6
50
ФБУЗ Центр гигиены и эпидемиологии в Республике Ингушетия
31
2
2
2
3
4
2
3
2
2
4
3
2
51
ФБУЗ Центр гигиены и эпидемиологии в Республике Калмыкия
26
3
2
2
2
2
2
3
2
2
2
2
2
52
ФБУЗ Центр гигиены и эпидемиологии в Республике Карелия
50
4
3
4
4
4
4
7
6
2
7
3
2
53
ФБУЗ Центр гигиены и эпидемиологии в Республике Коми
56
5
5
4
5
3
5
7
6
2
6
2
6
54
ФБУЗ Центр гигиены и эпидемиологии в Республике Марий Эл
34
2
2
2
2
5
2
5
3
2
5
2
2
55
ФБУЗ Центр гигиены и эпидемиологии в Республике Мордовия
55
5
4
4
4
2
4
8
6
2
6
4
6
56
ФБУЗ Центр гигиены и эпидемиологии в Республике Саха (Якутия)
88
10
10
6
6
2
8
13
10
4
8
3
8
57
ФБУЗ Центр гигиены и эпидемиологии в Республике Тыва
35
3
2
2
2
2
3
6
4
2
3
4
2
58
ФБУЗ Центр гигиены и эпидемиологии в Удмуртской Республике
60
5
5
4
4
3
5
9
7
2
6
2
8
59
ФБУЗ Центр гигиены и эпидемиологии в Республике Хакасия
31
2
3
3
3
4
2
4
2
2
2
2
2
60
ФБУЗ Центр гигиены и эпидемиологии в Республике Чувашия
45
4
3
3
4
4
3
7
6
2
5
2
2
61
ФБУЗ Центр гигиены и эпидемиологии в Ростовской области
193
20
20
18
16
4
20
18
20
20
16
11
10
62
ФБУЗ Центр гигиены и эпидемиологии в Рязанской области
56
5
5
3
4
2
4
10
6
2
7
2
6
63
ФБУЗ Центр гигиены и эпидемиологии в Самарской области
100
10
10
10
10
4
10
9
10
6
10
5
6
64
ФБУЗ Центр гигиены и эпидемиологии в Саратовской области
82
10
10
6
5
2
10
12
8
4
6
3
6
65
ФБУЗ Центр гигиены и эпидемиологии в Сахалинской области
80
7
7
8
8
4
4
9
8
8
4
5
8
66
ФБУЗ Центр гигиены и эпидемиологии в Свердловской области
141
21
20
10
10
3
10
22
10
10
12
5
8
67
ФБУЗ Центр гигиены и эпидемиологии в Смоленской области
46
6
5
4
2
2
4
5
6
2
6
2
2
68
ФБУЗ Центр гигиены и эпидемиологии в Ставропольском крае
86
10
10
8
5
3
10
10
8
4
8
4
6
69
ФБУЗ Центр гигиены и эпидемиологии в Тамбовской области
60
5
5
4
4
4
6
9
6
3
6
2
6
70
ФБУЗ Центр гигиены и эпидемиологии в Тверской области
59
4
4
4
4
4
7
8
6
2
8
2
6
71
ФБУЗ Центр гигиены и эпидемиологии в Томской области
54
5
3
4
4
4
4
7
6
2
6
3
6
72
ФБУЗ Центр гигиены и эпидемиологии в Тульской области
41
4
3
2
4
4
4
5
4
2
4
3
2
73
ФБУЗ Центр гигиены и эпидемиологии в Тюменской области
66
6
5
4
4
4
6
8
9
4
8
2
6
74
ФБУЗ Центр гигиены и эпидемиологии в Ульяновской области
62
5
5
5
4
3
5
9
7
3
8
2
6
75
ФБУЗ Центр гигиены и эпидемиологии в Хабаровском крае
74
10
8
4
4
3
10
13
6
2
6
2
6
76
ФБУЗ Центр гигиены и эпидемиологии в Ханты-Мансийском АО - Югре
72
7
7
6
4
3
8
8
8
3
6
4
8
77
ФБУЗ Центр гигиены и эпидемиологии в Челябинской области
118
15
15
8
5
3
18
15
12
6
8
5
8
78
ФБУЗ Центр гигиены и эпидемиологии в Чеченской Республике
32
3
3
2
3
2
2
5
3
2
3
2
2
79
ФБУЗ Центр гигиены и эпидемиологии в Чукотском АО
35
4
4
2
2
2
2
6
4
2
2
3
2
80
ФБУЗ Центр гигиены и эпидемиологии в Ямало-Ненецком АО
48
4
3
4
4
4
4
6
6
2
6
3
2
81
ФБУЗ Центр гигиены и эпидемиологии в Ярославской области
47
3
3
4
4
2
4
9
6
2
6
2
2
82
ФБУЗ "Центр гигиены и эпидемиологии в Республике Крым и городе федерального значения Севастополе"
88
8
8
5
7
4
10
12
10
4
8
4
8
В т.ч. г. Севастополь
24
2
2
2
2
2
2
2
2
2
2
2
2
83
ФБУЗ Центр гигиены и эпидемиологии в Луганской Народной Республике
25
2
2
3
2
2
2
2
2
2
2
2
2
84
ФБУЗ Центр гигиены и эпидемиологии в Донецкой Народной Республике
27
2
2
2
2
3
2
3
2
2
2
3
2
85
ФБУЗ Центр гигиены и эпидемиологии в Запорожской области
24
2
2
2
2
2
2
2
2
2
2
2
2
86
ФБУЗ Центр гигиены и эпидемиологии в Херсонской области
24
2
2
2
2
2
2
2
2
2
2
2
2
Приложение 6
к МР 2.3.7.0415-26
ПОЯСНЕНИЯ
К ОЦЕНКЕ ДОСТУПА НАСЕЛЕНИЯ К ОБОГАЩЕННОЙ
И СПЕЦИАЛИЗИРОВАННОЙ ПИЩЕВОЙ ПРОДУКЦИИ
N
Группа пищевой продукции
Пояснения к оценке доступа населения к отдельным группам пищевой продукции
1
Обогащенная пищевая продукция (в т.ч. хлеб и хлебобулочные изделия, зерновые продукты (экструдированные завтраки), соковая продукция, пищевые концентраты, молочная продукция, масложировая продукция)
При оценке наличия обогащенной пищевой продукции в торговых точках необходимо обращать внимание на упаковку пищевого продукта. На потребительской упаковке обогащенной пищевой продукции в наименовании такой продукции или в непосредственной близости от него должно быть указано слово "обогащенный".
Дополнительно указываются наименования внесенных в состав такой продукции макро- и микронутриентов (в том числе белка, пищевых волокон, витаминов, минеральных веществ, пробиотических микроорганизмов и др.), их гарантированное содержание на конец срока годности пищевого продукта в мг (г) на 100 г (мл) или (КОЕ/г) или среднюю суточную порцию продукта, а также содержание, выраженное в процентах от норм физиологической потребности в этих пищевых веществах, и рекомендации по применению или особенности применения таких продуктов, если они установлены
2
Специализированная пищевая продукция для питания детей раннего возраста
При оценке наличия специализированной пищевой продукции для питания детей до 3 лет в торговых точках необходимо обращать внимание на упаковку пищевого продукта. На потребительской упаковке этой специализированной пищевой продукции необходимо обращать внимание на возраст детей, для которых предназначена данная категория продукции. Дополнительно указываются наименования внесенных в состав такой продукции витаминов и (или) минеральных веществ и (или) пробиотических микроорганизмов, их гарантированное содержание на конец срока годности пищевого продукта в мг на 100 г (мл) или (КОЕ/г) или среднюю суточную порцию продукта, а также содержание, выраженное в процентах от норм физиологической потребности детей в зависимости от возраста в этих пищевых веществах, и рекомендации по применению или особенности применения таких продуктов, если они установлены
3
Специализированная пищевая продукция для питания детей старше 3 лет
При оценке наличия специализированной пищевой продукции для питания детей старше 3 лет в торговых точках необходимо обращать внимание на индивидуальную упаковку пищевого продукта. На потребительской упаковке этой специализированной пищевой продукции необходимо обращать внимание на возраст детей, для которых предназначена данная категория продукции.
Дополнительно указываются наименования внесенных в состав такой продукции витаминов и/или минеральных веществ и/или пробиотических микроорганизмов, их гарантированное содержание на конец срока годности пищевого продукта в мг на 100 г (мл) или (КОЕ/г) или среднюю суточную порцию продукта, а также содержание, выраженное в процентах от норм физиологической потребности детей в зависимости от возраста в этих пищевых веществах, и рекомендации по применению или особенности применения таких продуктов, если они установлены
4
Биологически активные добавки к пище
При оценке наличия биологически активных добавок к пище в торговых точках в "Анкеты по оценке обеспеченности населения доступом к отечественной пищевой продукции на 2026 год" не следует вносить данные по наличию натуральных травяных сборов, травяных чаев и фиточаев.
При оценке наличия биологически активных добавок к пище в торговых точках необходимо обращать внимание на индивидуальную упаковку пищевого продукта. На потребительской упаковке этой продукции в области применения обращать внимание для какой возрастной группы предназначена данная продукция.
Дополнительно указываются наименования входящих в состав такой продукции макро- и микронутриентов (в том числе белка, пищевых волокон, витаминов, минеральных веществ, пробиотических микроорганизмов и др.), их гарантированное содержание на конец срока годности пищевого продукта на 100 г (мл) или (КОЕ/г) или среднюю суточную порцию продукта, а также содержание, выраженное в процентах от норм физиологической потребности в этих пищевых веществах в зависимости от половозрастной принадлежности населения, и рекомендации по применению или особенности применения таких продуктов, если они установлены
Приложение 7
к МР2.3.7.0415-26
(рекомендуемый образец)
ПРИМЕР АНКЕТЫ
ПО ОЦЕНКЕ НАЛИЧИЯ ПИЩЕВОЙ ПРОДУКЦИИ, В ТОМ ЧИСЛЕ
ОТЕЧЕСТВЕННОГО ПРОИЗВОДСТВА, НА 2026 ГОД
Вид продукта
Количество наименований продуктов (общее)
Количество наименований продуктов (отечественного производства)
Количество наименований продуктов с маркировкой "светофор"
Минимальная цена, руб./кг (л) <1>
Максимальная цена, руб./кг (л) <1>
хлеб пшеничный
хлеб ржано-пшеничный
хлебобулочные изделия из муки грубого помола или с отрубями, в том числе хлеб зерновой
рис
крупа манная
крупа гречневая
крупа овсяная
крупа пшенная
крупа перловая
макаронные изделия
обогащенные хлеб и хлебобулочные изделия
обогащенные зерновые продукты, в том числе экструдированные завтраки
специализированная пищевая продукция для питания детей на зерновой основе
картофель
капуста
морковь
свекла
томаты
квашеная капуста
замороженные овощные смеси
специализированная пищевая продукция для питания детей на основе овощей
яблоки
сухофрукты
обогащенная соковая продукция
специализированная пищевая продукция для питания детей на плодово-ягодной основе
говядина
баранина
свинина
мясные субпродукты
индейка
курица
колбаса вареная
сосиски
мясные консервы
специализированная пищевая продукция для питания детей на мясной основе
-
молоко
кефир
йогурт
творог
сыр
обогащенная молочная продукция
специализированная пищевая продукция для питания детей на молочной основе
яйцо куриное
рыба океаническая
рыба пресноводная
рыбные консервы
масло подсолнечное
обогащенная масложировая продукция
растительные напитки "не молоко"
биологически активные добавки к пище
йодированная соль
Примечание: <1> - цена для яиц указывается за 1 десяток.
НОРМАТИВНЫЕ И МЕТОДИЧЕСКИЕ ДОКУМЕНТЫ
1. Федеральный закон от 30.03.99 N 52-ФЗ "О санитарно-эпидемиологическом благополучии населения".
2. Федеральный закон от 02.01.2000 N 29-ФЗ "О качестве и безопасности пищевых продуктов".
3. Федеральный закон от 27.12.2002 N 184-ФЗ "О техническом регулировании".
4. Указ Президента Российской Федерации от 21.01.2020 N 20 "Об утверждении Доктрины продовольственной безопасности Российской Федерации".
5. Паспорт федерального проекта "Здоровье для каждого" национального проекта "Продолжительная и активная жизнь".
6. Постановление Правительства Российской Федерации от 02.02.2006 N 60 "Об утверждении Положения о проведении социально-гигиенического мониторинга".
7. Постановление Правительства Российской Федерации от 21.12.2000 N 987 "О государственном надзоре и контроле в области обеспечения качества и безопасности пищевых продуктов".
8. Постановление Правительства Российской Федерации от 09.04.2016 N 291 "Об утверждении Правил установления субъектами Российской Федерации нормативов минимальной обеспеченности населения площадью торговых объектов и методики расчета нормативов минимальной обеспеченности населения площадью торговых объектов, а также о признании утратившим силу постановления Правительства Российской Федерации от 24.09.2010 N 754".
9. Распоряжение Правительства Российской Федерации от 29.06.2016 N 1364-р "Об утверждении Стратегии повышения качества пищевой продукции в Российской Федерации до 2030 года".
10. Распоряжение Правительства Российской Федерации от 19.04.2017 N 738-р "Об утверждении плана мероприятий по реализации Стратегии повышения качества пищевой продукции в Российской Федерации до 2030 г.".
11. Технический регламент Таможенного союза "О безопасности пищевой продукции" (ТР ТС 021/2011).
12. Технический регламент Таможенного союза "Пищевая продукция в части ее маркировки" (ТР ТС 022/2011).
13. Технический регламент Таможенного союза "Технический регламент на соковую продукцию из фруктов и овощей" (ТР ТС 023/2011).
14. Технический регламент Таможенного союза "Технический регламент на масложировую продукцию" (ТР ТС 024/2011).
15. Технический регламент Таможенного союза "О безопасности отдельных видов специализированной пищевой продукции, в том числе диетического лечебного и диетического профилактического питания" (ТР ТС 027/2012).
16. Технический регламент Таможенного союза "Требования безопасности пищевых добавок, ароматизаторов и технологических вспомогательных средств" (ТР ТС 029/2012).
17. Технический регламент Таможенного союза "О безопасности молока и молочной продукции" (ТР ТС 033/2013).
18. Технический регламент Таможенного союза "О безопасности мяса и мясной продукции" (ТР ТС 034/2013).
19. Технический регламент Евразийского экономического союза "О безопасности рыбы и рыбной продукции" (ТР ЕАЭС 040/2016).
20. Технический регламент Евразийского экономического союза "О безопасности мяса птицы и продукции его переработки" (ТР ЕАЭС 051/2021).
21. Приказ Минздрава России от 19.08.2016 N 614 "Об утверждении Рекомендаций по рациональным нормам потребления пищевых продуктов, отвечающих современным требованиям здорового питания".
22. Общероссийский классификатор видов экономической деятельности (ОК 029-2014 (КДЕС Ред. 2)).
СПРАВОЧНАЯ ИНФОРМАЦИЯ
В настоящих МР используются следующие термины и определения:
База данных - упорядоченная совокупность данных, предназначенных для хранения, накопления и обработки информации.
Доступ населения к пищевой продукции - сопоставление минимального и фактического количества продовольственных торговых объектов, при котором во всех населенных пунктах страны оценивается возможность приобретения населением пищевых продуктов.
Жирные кислоты - алифатические одноосновные карбоновые кислоты с открытой цепью, содержащиеся в этерифицированной форме в жирах, маслах и восках растительного и животного происхождения.
Жиры - сложные эфиры глицерина и высших жирных карбоновых кислот.
Качество пищевой продукции - совокупность характеристик пищевой продукции, соответствующих заявленным требованиям и включающих ее безопасность, потребительские свойства, энергетическую и пищевую ценность, аутентичность, способность удовлетворять потребности человека в пище при обычных условиях использования в целях обеспечения сохранения здоровья человека.
Мониторинг за качеством пищевой продукции - система наблюдения, анализа, оценки качества пищевой продукции, производимой, импортируемой и реализуемой на территории Российской Федерации.
Мононасыщенные жирные кислоты - алифатические одноосновные карбоновые кислоты, содержащие, в основном, одну двойную связь или, редко, тройную связь.
Насыщенные жирные кислоты - алифатические одноосновные карбоновые кислоты с открытой неразветвленной цепью, содержащей четное число атомов углерода, соединенных одинарными связями.
Образец пищевой продукции - единица потребительской продукции, используемая в качестве представителя этой продукции при испытаниях или оценке качества.
Пищевая ценность пищевой продукции - потребительское свойство пищевой продукции, характеризующее наличие и количество составляющих ее нутриентов (пищевых веществ) и энергетическую ценность, необходимых для удовлетворения физиологических потребностей организма.
Полиненасыщенные жирные кислоты - алифатические одноосновные карбоновые кислоты, содержащие две или более двойных или тройных связей.
Проба пищевой продукции - представительное количество пищевой продукции, отобранное из общего количества образца.
Социально-гигиенический мониторинг - государственная система наблюдения, анализа, оценки и прогноза состояния здоровья, оценки и прогноза состояния здоровья населения и среды обитания человека, а также определения причинно-следственных связей между состоянием здоровья населения и воздействием на него факторов среды обитания человека для принятия мер по устранению вредного воздействия на население факторов среды обитания человека.
Стерины - полициклические спирты, относящиеся к классу стероидов, которые содержатся в животном и растительном пищевом сырье и продукции из них.
Трансизомеры жирных кислот - ненасыщенные жирные кислоты с как минимум одной двойной связью в транс-конфигурации.
Фальсифицированная пищевая продукция - пищевые продукты, умышленно измененные (поддельные) и (или) имеющие скрытые свойства и качество, информация о которых является заведомо неполной, и (или) недостоверной.
Экономическая доступность пищевой продукции - возможность приобретения пищевой продукции по сложившимся ценам в объемах и ассортименте, которые не меньше установленных рациональных норм потребления.