"МР 4.3.0389-25. 4.3. Методы контроля. Физические факторы. Инструментальный контроль за импульсными электромагнитными полями на рабочих местах. Методические рекомендации"
Утверждаю
Руководитель Федеральной службы
по надзору в сфере защиты прав
потребителей и благополучия человека,
Главный государственный санитарный
врач Российской Федерации
А.Ю.ПОПОВА
4 августа 2025 г.
4.3. МЕТОДЫ КОНТРОЛЯ. ФИЗИЧЕСКИЕ ФАКТОРЫ
ИНСТРУМЕНТАЛЬНЫЙ КОНТРОЛЬ
ЗА ИМПУЛЬСНЫМИ ЭЛЕКТРОМАГНИТНЫМИ ПОЛЯМИ НА РАБОЧИХ МЕСТАХ
МЕТОДИЧЕСКИЕ РЕКОМЕНДАЦИИ
МР 4.3.0389-25
I. Общие положения и область применения
1.1. Настоящие методические рекомендации (далее - МР) описывают порядок и условия проведения инструментального контроля импульсных электромагнитных полей (далее - ИЭМП) на рабочих местах при эксплуатации установок и технических средств специального назначения, расположенных в производственных помещениях и на открытой территории, с целью оценки их соответствия гигиеническим нормативам <1>.
--------------------------------
<1> Пункты 56 - 65 СанПиН 1.2.3685-21 "Гигиенические нормативы и требования к обеспечению безопасности и (или) безвредности для человека факторов среды обитания", утвержденных постановлением Главного государственного санитарного врача Российской Федерации от 28.01.2021 N 2 (зарегистрировано Минюстом России 29.01.2021, регистрационный N 62296), с изменениями, внесенными постановлением Главного государственного санитарного врача Российской Федерации от 30.12.2022 N 24 (зарегистрировано Минюстом России 09.03.2023, регистрационный N 72558) (далее - СанПиН 1.2.3685-21).
1.2. МР распространяются на источники ИЭМП, создающие ИЭМП с длительностями фронтов импульсов в диапазоне от 0,1 до 50 наносекунд (далее - нс), длительностями импульсов в диапазоне от 1 нс до 1000 нс и периодами повторения импульсов более 100 с.
1.3. Настоящие МР могут применяться при:
- осуществлении федерального государственного санитарно-эпидемиологического контроля (надзора);
- проведении производственного контроля, специальной оценки условий труда;
- вводе в действие новых установок; внесении изменений в конструкцию, размещение и режим работы действующих установок; во время и после проведения ремонтных работ, которые могут сопровождаться изменением излучаемой мощности; внесении изменений в средства защиты от ИЭМП.
1.4. Объектами инструментального контроля являются:
- рабочие места (постоянные, непостоянные, временные, расположенные в рабочей и производственных зонах) персонала радиотехнических объектов (далее - РТО), профессионально связанного с обслуживанием и эксплуатацией источников ИЭМП при работе установок и технических средств специального назначения;
- рабочие места (постоянные, непостоянные, временные, расположенные в рабочей и производственных зонах) персонала РТО, профессионально не связанного с обслуживанием и эксплуатацией источников ИЭМП, при работе установок и технических средств специального назначения.
1.5. МР предназначены для специалистов, осуществляющих федеральный государственный санитарно-эпидемиологический контроль (надзор), а также могут быть использованы специалистами организаций, аккредитованных в установленном порядке <2> на проведение инструментального контроля ИЭМП на рабочих местах и их гигиеническую оценку (санитарно-эпидемиологическую экспертизу).
--------------------------------
<2> Федеральный закон от 28.12.2013 N 412-ФЗ "Об аккредитации в национальной системе аккредитации".
1.6. При проведении контроля за уровнями ИЭМП на рабочем месте рекомендуется соблюдение требований безопасности при эксплуатации электроустановок, электрооборудования, электрических сетей.
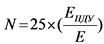
1.7. Основными нормируемыми параметрами при оценке воздействия ИЭМП на рабочих местах персонала РТО являются максимальное амплитудное значение напряженности электрического поля в импульсе (Eмакс, В/м) и общее количество электромагнитных импульсов (N) в течение рабочего дня <3>.
--------------------------------
<3> Пункт 58 СанПиН 1.2.3685-21.
1.8. Основными временными параметрами, характеризующими электромагнитный импульс, являются: длительность фронта импульса (tфр, нс), длительность импульса (tимп, нс) <4>.
--------------------------------
<4> Пункт 59 СанПиН 1.2.3685-21.
1.9. Допустимое общее количество электромагнитных импульсов (N), воздействующих на персонал в течение всего рабочего дня (рабочей смены), рассчитывается по формуле (1) <5>:
--------------------------------
<5> Пункт 64 СанПиН 1.2.3685-21.
, где
(1)
E - наибольшее амплитудное значение напряженности электрического поля (Eмакс), которое определяется по выделенному пику на осциллограмме, кВ/м;
EПДУ ~ предельно допустимый уровень (далее - ПДУ) максимального амплитудного значения напряженности электрического поля в импульсе в зависимости от его временных характеристик, кВ/м.
1.10. МР основаны на методах измерений, указанных в аттестованных методиках, внесенных в эксплуатационную документацию применяемых средств измерений (далее - СИ) утвержденного типа.
1.11. МР носят рекомендательный характер.
II. Средства измерения
2.1. Измерения проводятся с применением СИ утвержденного типа, имеющих сведения о поверке и соответствующую проводимым исследованиям область применения, диапазон измерений и пределы допускаемой погрешности измерений <6>.
--------------------------------
<6> Статья 9 Федерального закона от 26.06.2008 N 102-ФЗ "Об обеспечении единства измерений"; постановление Правительства Российской Федерации от 16.11.2020 N 1847 "Об утверждении перечня измерений, относящихся к сфере государственного регулирования обеспечения единства измерений".
2.2. Для измерения используются средства, предназначенные для определения амплитудно-временных характеристик напряженности электрического поля ИЭМП. Сведения об утвержденных типах СИ и о внесенных в них изменениях включены в информационный фонд <7>, сведения о результатах поверки включены в информационный фонд <8>.
--------------------------------
<7> Федеральный информационный фонд по обеспечению единства измерений (утвержденные типы СИ) - fgis.gost.ru/fundmetrology/registry/4 (в свободном доступе).
<8> Федеральный информационный фонд по обеспечению единства измерений (результаты поверок СИ) - fgis.gost.ru/fundmetrology/cm/results (в свободном доступе).
2.3. Эксплуатация СИ ИЭМП, хранение и транспортирование СИ осуществляется в соответствии с эксплуатационной документацией СИ и с учетом параметров окружающей среды.
2.4. При проведении инструментальных исследований могут использоваться специализированные приборы, сопрягаемые с компьютерными программами поддержки контроля. Они предусматривают запуск загрузки алгоритма проведения измерений, после чего вырабатывают "подсказку" по измеряемым параметрам, количеству и положению точек измерения ИЭМП в каждой из запланированных контролируемых зон. В составе СИ предусматриваются первичные измерительные преобразователи с кабельными или волоконно-оптическими линиями связи и средства регистрации. Для контроля применяются различные первичные преобразователи, регистраторы, линии связи, компьютеры и вспомогательное оборудование, которое в комплексе создает измерительную установку.
III. Подготовка к проведению измерений
3.1. При подготовке к выполнению измерений проводится:
- ознакомление с документацией по работе установок и технических средств специального назначения, где имеются рабочие места, на которых предполагается проведение инструментального контроля за ИЭМП, в том числе уточняется информация о наличии результатов ранее проведенных исследований, а также проектной документации и значениях расчетных показателей (основные технические характеристики: частота или диапазон частот, режим генерации, максимальная и используемая мощность; показатели: длительность фронта импульса и длительность импульса);
- планирование измерений: выбор рабочих мест и определение контролируемых зон, технологических операций, выполняемых на каждом рабочем месте;
- сбор информации о рабочих местах, на которых планируется проведение измерений (характеристика рабочих мест): профессия работника, связан ли работающий профессионально с обслуживанием и эксплуатацией источников ИЭМП, время воздействия ИЭМП за рабочую смену, в том числе время выполнения работы в каждой из выделенных контролируемых зон или технологических операций в условиях воздействия ИЭМП за рабочую смену (хронометраж рабочего времени);
- сбор информации об особенностях контролируемых зон в составе каждого рабочего места, данные об оборудовании, являющемся источником ИЭМП (тип, временные характеристики режимов генерации и расположение источника(ов) ИЭМП по отношению к контролируемой зоне);
- сбор информации о наличии средств индивидуальной и коллективной защиты, их расположении по отношению к рабочему месту.
Необходимые сведения могут быть получены от хозяйствующего субъекта, который несет ответственность за достоверность представленных материалов.
3.2. На план помещения (территории) наносятся места размещения источников ИЭМП и контрольные точки. Для контрольных точек на открытой территории могут быть представлены их координаты с указанием расстояния от контрольной точки до источника ИЭМП и расположения источника(ов) ИЭМП по отношению к контрольной точке.
3.3. Измерения проводятся при условиях, соответствующих рабочим условиям эксплуатации, изложенным в эксплуатационной документации применяемого СИ. Допускается получение метеопараметров на территории по данным из официальных источников <9>.
--------------------------------
<9> www.meteorf.gov.ru - официальный сайт Федеральной Службы по гидрометеорологии и мониторингу окружающей среды (в свободном доступе); www.meteoinfo.ru - официальный сайт ФГБУ "Гидрометцентр России" (в свободном доступе).
3.4. Измерения уровней ИЭМП на рабочих местах рекомендуется осуществлять после вывода лиц, не связанных с технологическим процессом, из зоны контроля.
3.5. К выполнению измерений ИЭМП и обработке их результатов допускаются лица, прошедшие инструктирование по технике безопасности при работе с электроустановками <10>.
--------------------------------
<10> Пункт 2.1 приказа Минтруда России от 15.12.2020 N 903н "Об утверждении Правил по охране труда при эксплуатации электроустановок" (зарегистрирован Минюстом России 30.12.2020, регистрационный N 61957), с изменениями, внесенными приказом Минтруда России от 29.04.2022 N 279н (зарегистрирован Минюстом России 01.06.2022, регистрационный N 68657).
3.6. В соответствии с эксплуатационной документацией проводится подготовка СИ к проведению измерений. Проверяется наличие действующих свидетельств о поверке СИ, проводится проверка работоспособности СИ в соответствии с документами по эксплуатации.
IV. Проведение измерений
4.1. СИ регистрации ИЭМП с целью защиты от помех размещаются в экранированных камерах <11>.
--------------------------------
<11> Пункт 2.3 ГОСТ 30373-95/ГОСТ Р 50414-92 "Совместимость технических средств электромагнитная. Оборудование для испытаний. Камеры экранированные. Классы, основные параметры, технические требования и методы испытаний", введенного постановлением Госстандарта России от 15.05.1996 N 308.
4.2. Измерения проводятся на рабочих местах (см. п. 1.4). При отсутствии постоянных рабочих мест измерения проводятся в нескольких точках в пределах рабочей и производственной зон в местах возможного нахождения персонала в процессе работы.
4.3. В целях выявления внешнего и отраженного излучений рекомендуется дополнительно проводить измерения параметров ИЭМП в центре помещений, у окон, батарей отопления и других коммуникаций.
4.4. При измерениях параметров ИЭМП рекомендуется соблюдать минимальное расстояние между СИ и металлическими поверхностями (предметами), равное 0,5 м. При меньших расстояниях возрастает погрешность измерений. При проведении измерений рекомендуется исключить нахождение людей между источником излучения и измерительным преобразователем, а также в непосредственной близости от измерительного преобразователя на расстоянии меньше допустимого по документации на СИ.
4.5. Измерения параметров ИЭМП в помещениях проводятся на высотах 0,5; 1,0 и 1,7 м от пола. Измерения параметров ИЭМП на открытой территории проводятся на высотах 0,5; 1,0 и 1,7 м от уровня земли. Измерения в каждой точке проводятся не менее трех раз в трех взаимно перпендикулярных положениях измерительного преобразователя. При этом для дальнейшей обработки выбираются данные измерений с наибольшим значением амплитуды сигнала.
4.6. Измерения ИЭМП осуществляются в соответствии с методиками, разработанными в соответствии с документами по стандартизации <12>.
--------------------------------
<12> ГОСТ 8.010-2013 "Государственная система обеспечения единства измерений. Методики выполнения измерений. Основные положения", введенный приказом Росстандарта от 22.11.2013 N 2122-ст.
4.7. Измерения проводятся при работе источника ИЭМП с максимальной мощностью. Информация о величине наибольшей (максимальной) и фактической мощности в момент проведения измерений предоставляется организацией, эксплуатирующей установку, несущей ответственность за достоверность представленных данных. При отсутствии информации о величине наибольшей (максимальной) мощности измерения проводятся при всех режимах эксплуатации установки, предусмотренных технологическим процессом.
4.8. При одновременной работе различных источников ИЭМП измерения проводятся для каждого источника ИЭМП отдельно.
V. Определение амплитудно-временных параметров импульсных
электромагнитных полей
5.1. Для определения амплитудно-временных параметров ИЭМП производится анализ графического изображения импульса (осциллограммы напряженности электрической составляющей ИЭМП), полученного в результате проведенных измерений с использованием осциллографа (рис. 1), по которому определяются основные нормируемые и контролируемые параметры ИЭМП.

Рис. 1. Пример функции изменения напряженности составляющих
ИЭМП во времени
5.2. На осциллограмме выделяется пик с наибольшим амплитудным значением напряженности (Eмакс), по которому определяются основные нормируемые и контролируемые параметры ИЭМП:
- Eмакс - максимальное амплитудное значение напряженности, кВ/м;
- tфр - длительность фронта импульса, которая определяется как интервал времени между первыми достижениями значений напряженности электрической составляющей ИЭМП уровней 10% и 90% максимального амплитудного значения, нс;
- tимп - длительность импульса, которая определяется как интервал времени между первым достижением значения напряженности электрической составляющей ИЭМП уровня 50% амплитуды и моментом времени, после которого значение напряженности электрической составляющей ИЭМП становится меньше 50% максимального амплитудного значения, нс.
5.3. Значение напряженности электрической составляющей ИЭМП в динамике времени измерения (E(t) определяется по соотношению (2):
, где
(2)
Eмакс - амплитудное значение электрической составляющей электромагнитного поля, кВ/м;
f(t) - функция изменения напряженности составляющих ИЭМП во времени, составляющая для 10%, 50% и 90% максимального амплитудного значения соответственно 0,1; 0,5 и 0,9 (рис. 1).
5.4. Во время проведения измерений информация регистрируется согласно документам по стандартизации <13> и в соответствии с прописанными в лаборатории требованиями системы менеджмента качества (СМК) к первичным записям. Дополнительно регистрируется информация: цель измерений, дата и время проведения измерений, параметры микроклимата в помещениях (или на территории), сведения о рабочих местах и контролируемых зонах согласно п. 3.1, а также сведения о лицах, присутствовавших при проведении измерений.
--------------------------------
<13> ГОСТ ISO/IEC 17025-2019 "Общие требования к компетентности испытательных и калибровочных лабораторий", введенный приказом Росстандарта от 15.07.2019 N 385-ст (далее - ГОСТ ISO/IEC 17025-2019).
VI. Обработка и оформление результатов измерений
6.1. Результаты измерений оформляются в виде протокола измерений в соответствии с документами по стандартизации <14> и прописанными в лаборатории требованиями СМК. Перечень рекомендуемой информации, включаемой в протокол, представлен в приложении к настоящим МР.
--------------------------------
<14> Раздел 7.8 ГОСТ ISO/IEC 17025-2019.
6.2. Результаты измерений представляются с расширенной неопределенностью <15>. Оценка неопределенности результатов измерений с уровнем доверия p = 0,95 проводится в 4 этапа.
--------------------------------
<15> ГОСТ 34100.1-2017 "Неопределенность измерения. Часть 1. Введение в руководства по выражению неопределенности измерения", введенный приказом Росстандарта от 12.09.2017 N 1064-ст; ГОСТ 34100.3-2017 "Неопределенность измерения. Часть 3. Руководство по выражению неопределенности измерения", введенный приказом Росстандарта от 12.09.2017 N 1065-ст.
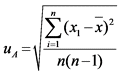
6.2.1. Оценивается стандартная неопределенность по типу A (uA) результата, вычисленного как среднее арифметическое
из n измерений, формула (3):

(3)
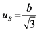
6.2.2. Оценивается стандартная неопределенность по типу B (uB), обусловленная приборной погрешностью (b), по формуле (4):

(4)
Если приборная погрешность b выражена в процентах, то стандартная неопределенность по типу B (uB) вычисляется по формуле (5):

(5)
6.2.3. Вычисляется суммарная стандартная неопределенность (uC) по формуле (6):

(6)
6.2.4. Вычисляется расширенная неопределенность (Up) по формуле (7):
, где
(7)
k - коэффициент охвата, значение которого принимается в зависимости от вида интервала (при одностороннем интервале равное 1,645, при двустороннем равное 2), и зависит от распределения возможных значений измеряемой величины и уровня доверия.
6.2.5. Результат измерения в зависимости от вида интервала представляется в виде:
(для двустороннего интервала) или
(для одностороннего интервала).
Пример определения амплитудно-временных параметров ИЭМП
и соответствия измеренной напряженности ПДУ

Рис. 2. Пример осциллограммы напряженности электрической
составляющей ИЭМП
1. Первый пик на осциллограмме имеет амплитуду (Eмакс) 8 кВ/м, второй - 2,3 кВ/м, следовательно определять параметры необходимо по первому положительному пику: Eмакс = 8 кВ/м; tфр= 13 нс; tимп = 62 нс.
Исходя из установленных длительностей фронта и импульса воздействующего ИЭМП (tфр = 13 нс; tимп = 62 нс), выбираются соответствующие строка и колонка в таблицах <16> с учетом категории облучаемого контингента (персонал РТО ИЭМП) со значением ПДУ, Eпду = 2,8 кВ/м.
--------------------------------
<16> Таблицы 5.13, 5.14 СанПиН 1.2.3685-21.
Реальное значение Eмакс составляет 8 кВ/м, что значительно больше, чем ПДУ, указанные в гигиенических нормативах <17>.
--------------------------------
<17> Пункты 61, 62 СанПиН 1.2.3685-21.
2. Заключение: электромагнитная обстановка на обследованном рабочем месте персонала РТО ИЭМП не соответствует требованиям гигиенических нормативов <18>. Для снижения амплитудного значения напряженности ИЭМП до ПДУ рекомендуется провести комплекс мероприятий в соответствии с санитарно-эпидемиологическими требованиями <19>.
--------------------------------
<18> Пункты 61, 62 СанПиН 1.2.3685-21.
<19> Пункты 3.1, 3.2, 4.48 СП 2.2.3670-20 "Санитарно-эпидемиологические требования к условиям труда", утвержденных постановлением Главного государственного санитарного врача Российской Федерации от 02.12.2020 N 40 (зарегистрировано Минюстом России 29.12.2020, регистрационный N 61893).
Приложение
к МР 4.3.0389-25
РЕКОМЕНДУЕМЫЙ ПЕРЕЧЕНЬ
ИНФОРМАЦИИ, ВКЛЮЧАЕМОЙ В ПРОТОКОЛ ИЗМЕРЕНИЙ ИЭМП
1. Наименование и адрес организации, выполняющей измерения, сведения об аккредитации.
2. Наименование и адрес заказчика.
3. Объект измерений, адрес проведения измерений.
4. Место проведения измерений, наименование рабочего места.
5. Дата и время проведения измерений.
6. Фамилия, имя, отчество (при наличии) и должность уполномоченного представителя объекта, присутствующего при проведении измерений.
7. Цель проведения измерений.
8. Информация о средствах измерения (наименование, тип, диапазон измерений, сведения о поверке, погрешность прибора).
9. Условия проведения измерений.
10. Информация об использованной методике измерений.
11. Сведения об источнике ИЭМП: наименование, тип, год выпуска; основные технические характеристики (частота или диапазон частот, режим генерации; максимальная и используемая мощность; описание излучающего элемента; сведения о режимах эксплуатации оборудования (штатный или специально организованный режим для проведения измерений); показатели - длительность фронта импульса и длительность импульса.
12. Краткое описание технологического процесса.
13. Результаты измерений и определения Eмакс, tфр, tимп.
14. Схема расположения источников ИЭМП с указанием точек измерения на плане (при необходимости с эскизом).
15. Должность, фамилия, имя, отчество (при наличии), подпись специалиста, проводившего измерения.
Библиографические ссылки
1. Федеральный закон от 30.03.1999 N 52-ФЗ "О санитарно-эпидемиологическом благополучии населения".
2. Федеральный закон от 28.12.2013 N 412-ФЗ "Об аккредитации в национальной системе аккредитации".
3. Федеральный закон от 26.06.2008 N 102-ФЗ "Об обеспечении единства измерений".
4. Постановление Правительства Российской Федерации от 16.11.2020 N 1847 "Об утверждении перечня измерений, относящихся к сфере государственного регулирования обеспечения единства измерений".
5. СанПиН 1.2.3685-21 "Гигиенические нормативы и требования к обеспечению безопасности и (или) безвредности для человека факторов среды обитания".
6. СП 2.2.3670-20 "Санитарно-эпидемиологические требования к условиям труда".
7. СП 2.1.3678-20 "Санитарно-эпидемиологические требования к эксплуатации помещений, зданий, сооружений, оборудования и транспорта, а также условиям деятельности хозяйствующих субъектов, осуществляющих продажу товаров, выполнение работ или оказание услуг".
8. Приказ Минтруда России от 15.12.2020 N 903н "Об утверждении Правил по охране труда при эксплуатации электроустановок".
9. МР 2.2.0244-21 "Методические рекомендации по обеспечению санитарно-эпидемиологических требований к условиям труда".
10. ГОСТ ISO/IEC 17025-2019 "Общие требования к компетентности испытательных и калибровочных лабораторий".
11. ГОСТ 22261-94 "Средства измерений электрических и магнитных величин".
12. ГОСТ 12.0.002-2014 "Система стандартов безопасности труда. Термины и определения".
13. РМГ 29-2013 "Государственная система обеспечения единства измерений. Метрология. Основные термины и определения".
14. ГОСТ Р 50397-2011 "Совместимость технических средств электромагнитная. Термины и определения".
15. ГОСТ Р 51317.4.3-99 "Совместимость технических средств электромагнитная. Устойчивость к радиочастотному электромагнитному полю. Требования и методы испытаний".
16. ГОСТ 8.010-2013 "Государственная система обеспечения единства измерений. Методики выполнения измерений. Основные положения".
17. ГОСТ 34100.1-2017 "Неопределенность измерения. Часть 1. Введение в руководства по выражению неопределенности измерения".
18. ГОСТ 34100.3-2017 "Неопределенность измерения. Часть 3. Руководство по выражению неопределенности измерения".
19. ГОСТ 30373-95/ГОСТ Р 50414-92 "Совместимость технических средств электромагнитная. Оборудование для испытаний. Камеры экранированные. Классы, основные параметры, технические требования и методы испытаний".
СПРАВОЧНАЯ ИНФОРМАЦИЯ
В настоящих МР используются следующие термины и определения:
ИЭМП (электромагнитные импульсы) - редко повторяющиеся (период повторения превышает 100 с) импульсы электромагнитного поля без частотного заполнения (видеоимпульсы), с длительностями фронтов импульсов в диапазоне от 0,1 до 50 наносекунд (нс), длительностями импульсов в диапазоне от 1 нс до 1000 нс. По форме импульса различают прямоугольные, трапециевидные, пилообразные, экспоненциальные и колоколообразные.
Параметры воздействия ИЭМП - совокупность амплитудно-временных характеристик ИЭМП.
Источник ИЭМП - установка или иное техническое средство, генерирующее в процессе работы ИЭМП.
Персонал - совокупность всех работающих (в том числе входящих в штатный состав) и временно не работающих в связи с различными причинами <20>.
--------------------------------
<20> Пункт 2.1.25 ГОСТ 12.0.002-2014 "Система стандартов безопасности труда. Термины и определения", введенного приказом Росстандарта от 19.10.2015 N 1570-ст (далее - ГОСТ 12.0.002-2014).
Персонал РТО ИЭМП (персонал) - лица из числа военнослужащих и служащих Вооруженных Сил Российской Федерации, работники научно-исследовательских учреждений и организаций, которые могут подвергаться воздействию ИЭМП в ходе выполнения служебных обязанностей, непосредственно занятые по штатному расписанию обслуживанием, эксплуатацией, ремонтом, настройкой, испытанием, поверкой источников ИЭМП, а также измерением параметров этих полей.
Рабочее место - пространство трудовой деятельности работающего, его рабочая зона. <21>
--------------------------------
<21> Пункт 2.4.16 ГОСТ 12.0.002-2014.
Постоянное рабочее место - рабочее место в физическом пространстве, на котором работающий ежедневно работает большую часть своего рабочего времени нормальной продолжительности (более 50%) или не менее 2 ч непрерывно <22>.
--------------------------------
<22> Пункт 2.4.17 ГОСТ 12.0.002-2014.
Непостоянное рабочее место - место, на котором работающий находится меньшую часть (менее 50% или менее 2 ч непрерывно) своего рабочего времени <23>.
--------------------------------
<23> Приложение 1 ГОСТ 12.1.005-88 "Система стандартов безопасности труда. Общие санитарно-гигиенические требования к воздуху рабочей зоны", введенного постановлением Госстандарта СССР от 29.09.1988 N 3388.
Временное рабочее место - рабочее место в физическом пространстве, на котором работающий работает разово или эпизодически <24>.
--------------------------------
<24> Пункт 2.4.19 ГОСТ 12.0.002-2014.
Рабочая зона - физическое пространство, ограниченное по высоте 2 м над уровнем пола или площадки, на которых находятся места постоянного или временного пребывания работающих <25>.
--------------------------------
<25> Пункт 2.4.20 ГОСТ 12.0.002-2014.
Производственная зона - физическая зона, оснащенная необходимыми техническими средствами, в которой осуществляется производственная деятельность и находятся рабочие зоны трудовой деятельности работающих <26>.
--------------------------------
<26> Пункт 2.4.21 ГОСТ 12.0.002-2014.
Контролируемая зона - места возможного нахождения персонала при выполнении им работ, связанных с эксплуатацией и ремонтом установок.
Контрольная точка - место проведения контроля.
Методика (выполнения) измерений - установленная логическая последовательность операций и правил при измерении, выполнение которых обеспечивает получение результатов измерений в соответствии с принятым методом измерений <27>.
--------------------------------
<27> Пункт 4.11 РМГ 29-2013 "Государственная система обеспечения единства измерений. Метрология. Основные термины и определения", введенных приказом Росстандарта от 05.12.2013 N 2166-ст (далее - РМГ 29-2013).
Неопределенность измерений - неотрицательный параметр, характеризующий рассеяние значений величины, приписываемых измеряемой величине на основании измерительной информации <28>.
--------------------------------
<28> Пункт 5.34 РМГ 29-2013.
Точка измерения - точка пространства, в которой осуществляется измерение и размещается датчик СИ.
Установка (измерительная) - совокупность функционально объединенных и расположенных в одном месте мер, измерительных приборов, измерительных преобразователей и других устройств, предназначенных для измерений одной или нескольких величин. <29>
--------------------------------
<29> Пункт 6.4 РМГ 29-2013.
Экран (электромагнитный) - экран из проводящего материала, предназначенный для ослабления проникновения изменяющегося электромагнитного поля в определенную область <30>.
--------------------------------
<30> Пункт 161-03-26 ГОСТ Р 50397-2011 "Совместимость технических средств электромагнитная. Термины и определения", введенный приказом Госстандарта от 08.12.2011 N 756-ст (далее - ГОСТ Р 50397-2011).
Экранирование (электромагнитное) - способ ослабления электромагнитной помехи с помощью экрана с высокой электрической и (или) магнитной проводимостями.
Экранированная камера - камера, изготовленная из металлической сетки или металлических листов, предназначенная для отделения внутренней электромагнитной обстановки от внешней <31>.
--------------------------------
<31> Пункт 161-04-37 ГОСТ Р 50397-2011.
Экранированное помещение - экранированное или имеющее металлические внутренние поверхности помещение, сконструированное специально для отделения внутренней электромагнитной обстановки от внешней в целях предотвращения ухудшения качества функционирования технических средств при воздействии внешних полей и ослабления электромагнитных излучений от технических средств во внешнее пространство <32>.
--------------------------------
<32> ГОСТ Р 51317.4.3-99 "Совместимость технических средств электромагнитная. Устойчивость к радиочастотному электромагнитному полю. Требования и методы испытаний", введенный постановлением Госстандарта России от 28.12.1999 N 794-ст.
Методические рекомендации разработаны ФБУН "ФНЦГ им. Ф.Ф. Эрисмана" Роспотребнадзора (С.В. Кузьмин, О.О. Синицына, А.М. Егорова, Т.Н. Газиева, Р.В. Турдыев); ФГБНУ "НИИ МТ" (С.Ю. Перов, Л.В. Походзей, Н.Б. Рубцова, Ю.П. Пальцев); ФГКУ "12 ЦНИИ" Минобороны России (П.В. Никулин, А.Н. Зеленин, В.Л. Мокочунин); ФГКУ "ГЦ ГСЭН (СПН)" Минобороны России (Е.В. Белов, Р.И. Валиахметов); ФГБУ "ГНИИИ ВМ" Минобороны России (С.В. Чепур, А.Б. Селезнев, В.И. Ефремов, И.М. Карпин).