"МР 4.3.0387-25. 4.3. Методы контроля. Физические факторы. Инструментальный контроль за гипогеомагнитными полями на рабочих местах. Методические рекомендации"
Утверждаю
Руководитель Федеральной службы
по надзору в сфере защиты прав
потребителей и благополучия человека,
Главный государственный
санитарный врач
Российской Федерации
А.Ю.ПОПОВА
4 августа 2025 г.
4.3. МЕТОДЫ КОНТРОЛЯ. ФИЗИЧЕСКИЕ ФАКТОРЫ
ИНСТРУМЕНТАЛЬНЫЙ КОНТРОЛЬ ЗА ГИПОГЕОМАГНИТНЫМИ ПОЛЯМИ
НА РАБОЧИХ МЕСТАХ
МЕТОДИЧЕСКИЕ РЕКОМЕНДАЦИИ
МР 4.3.0387-25
I. Общие положения и область применения
1.1. Настоящие методические рекомендации (далее - МР) описывают порядок и условия проведения инструментального контроля геомагнитного поля (далее - ГМП) и расчета коэффициента ослабления ГМП на рабочих местах с целью оценки их соответствия гигиеническим нормативам <1>, а также методическим документам <2>.
--------------------------------
<1> Пункты 53 - 55 СанПиН 1.2.3685-21 "Гигиенические нормативы и требования к обеспечению безопасности и (или) безвредности для человека факторов среды обитания", утвержденных постановлением Главного государственного санитарного врача Российской Федерации от 28.01.2021 N 2 (зарегистрировано Минюстом России 29.01.2021, регистрационный N 62296), с изменениями, внесенными постановлением Главного государственного санитарного врача Российской Федерации от 30.12.2022 N 24 (зарегистрировано Минюстом России 09.03.2023, регистрационный N 72558) (далее - СанПиН 1.2.3685-21).
<2> Таблица 15 Р 2.2.2006-05 "Руководство по гигиенической оценке факторов рабочей среды и трудового процесса. Критерии и классификация условий труда", утвержденного Руководителем Федеральной службы по надзору в сфере защиты прав потребителей и благополучия человека, Главным государственным санитарным врачом Российской Федерации 29.07.2005 (далее - Р 2.2.2006-05).
1.2. Объектами инструментального контроля являются постоянные рабочие места, организованные в помещениях, на объектах, технических средствах, специально экранированных соответствующими материалами и покрытиями.
1.3. Настоящие МР могут применяться при:
- осуществлении федерального государственного санитарно-эпидемиологического контроля (надзора);
- приемке в эксплуатацию после окончания строительства, капитального ремонта, реконструкции объектов с постоянными рабочими местами в помещениях, специально экранированных соответствующими материалами и покрытиями;
- организации новых рабочих мест;
- осуществлении санитарно-гигиенического мониторинга;
- осуществлении санитарно-эпидемиологических экспертиз, обследований, исследований, испытаний и оценок;
- осуществлении производственного лабораторного контроля.
1.4. МР предназначены для специалистов, осуществляющих федеральный государственный санитарно-эпидемиологический контроль (надзор), а также могут быть использованы специалистами организаций, аккредитованных в установленном порядке <3> на проведение инструментального контроля ГМП на рабочих местах и их гигиеническую оценку (санитарно-эпидемиологическую экспертизу).
--------------------------------
<3> Федеральный закон от 28.12.2013 N 412-ФЗ "Об аккредитации в национальной системе аккредитации".
1.5. МР не могут применяться при проведении измерений на рабочих местах на судах и морских сооружениях, летательных аппаратах и транспортных средствах.
1.6. При проведении контроля за уровнями интенсивности ГМП на рабочем месте рекомендуется соблюдение требований безопасности при эксплуатации электроустановок, электрооборудования, электрических сетей.
1.7. Интенсивность ГМП оценивается в единицах напряженности магнитного поля (H) в А/м или в единицах магнитной индукции (B) в Тл (мкТл) <4>.
--------------------------------
<4> Пункт 54 СанПиН 1.2.3685-21.
1.8. Контролируемым показателем является коэффициент ослабления интенсивности ГМП <5> (далее -
).
--------------------------------
<5> Пункт 55 СанПиН 1.2.3685-21.
1.9. МР основаны на методах прямых измерений и аттестованных методиках, внесенных в эксплуатационную документацию применяемых средств измерений (далее - СИ) утвержденного типа.
II. Средства измерений
2.1. Измерения проводятся с применением СИ утвержденного типа, имеющих сведения о поверке, соответствующие проводимым исследованиям в области применения и обеспечивающие соблюдение обязательных требований, включая метрологические и технические требования к средствам измерений <6>.
--------------------------------
<6> Статья 9 Федерального закона от 26.06.2008 N 102-ФЗ "Об обеспечении единства измерений"; пункт 4.15 постановления Правительства Российской Федерации от 16.11.2020 N 1847 "Об утверждении перечня измерений, относящихся к сфере государственного регулирования обеспечения единства измерений".
2.2. Эксплуатация и транспортирование СИ осуществляется в соответствии с эксплуатационной документацией СИ и с учетом параметров окружающей среды. В точках измерений, расположенных на открытом воздухе, измерения не проводятся при наличии атмосферных осадков.
2.3. Сведения об утвержденных типах СИ, о внесенных в них изменениях включены в Информационный фонд по обеспечению единства измерений (ФИФ ОЕИ) <7>.
--------------------------------
<7> Федеральный информационный фонд по обеспечению единства измерений - fgis.gost.ru/fundmetrology/registry/4 (в свободном доступе).
2.4. При проведении измерений соблюдают требования безопасности, установленные в эксплуатационной документации СИ.
III. Подготовка к проведению измерений
3.1. При подготовке к выполнению измерений проводится:
- ознакомление с документацией по технологическому процессу и помещению (сбор информации о наличии и расположении элементов специального экранирования соответствующими материалами и покрытиями), где имеются рабочие места, на которых предполагается проведение инструментального контроля интенсивности гипогеомагнитного поля (далее - ГГМП) и расчета
, в том числе уточняется информация о наличии результатов ранее проведенных исследований, а также проектной документации и значений расчетных показателей. При этом следует обращать внимание на соответствие существующей ситуации материалам проекта;
- планирование измерений: выбор рабочих мест, определение технологических операций, осуществляемых на каждом постоянном рабочем месте;
- сбор информации о рабочих местах, на которых планируется проведение измерений (характеристика рабочих мест): профессия работника, время работы в гипогеомагнитных условиях за рабочую смену (до 2 часов или более 2 часов);
- выбор точек измерений в открытом пространстве на прилегающей к обследуемому объекту территории;
- подготовка СИ в соответствии с эксплуатационной документацией, проверяется наличие действующих свидетельств о поверке СИ, проводится проверка работоспособности СИ в соответствии с эксплуатационной документацией.
Необходимые сведения могут быть получены от хозяйствующего субъекта, который несет ответственность за достоверность представленных материалов.
3.2. Для оценки соответствия фактических условий проведения измерений рабочим условиям эксплуатации СИ интенсивности ГГМП перед проведением измерений во всех включенных в программу обследования помещениях определяются значения параметров микроклимата.
Перед проведением измерений интенсивности ГМП в открытом пространстве проводятся измерения метеопараметров непосредственно на обследуемой территории для их проверки на соответствие требованиям, установленным в эксплуатационной документации СИ, интенсивности ГМП. Допускается получение значений метеопараметров по данным из официальных источников <8>. Для контрольных точек на открытой территории могут быть представлены их координаты с указанием расстояния от контрольной точки до границы здания, в котором проводятся измерения на рабочем месте.
--------------------------------
<8> Официальный сайт Федеральной Службы по гидрометеорологии и мониторингу окружающей среды - www.meteorf.gov.ru (в свободном доступе); официальный сайт ФГБУ "Гидрометцентр России" - www.meteoinfo.ru (в свободном доступе).
3.3. Измерения интенсивности ГГМП на рабочих местах осуществляются после вывода лиц, не связанных с технологическим процессом, из зоны контроля.
3.4. Измерения проводятся на расстоянии не ближе 0,5 м от железосодержащих предметов, конструкций, оборудования.
3.5. До начала проведения измерений ослабления интенсивности ГМП в помещениях рекомендуется отключать технические средства, которые могут создавать постоянные магнитные поля.
IV. Проведение измерений
4.1. При выполнении измерений руководствуются положениями, изложенными в настоящей главе и эксплуатационной документации применяемого СИ.
4.2. Прямые измерения проводятся в соответствии с эксплуатационной документацией СИ.
4.3. Рекомендуется проводить измерения интенсивности ГМП с использованием СИ с датчиком ненаправленного приема (трехкомпонентным датчиком). В этом случае значение модуля вектора магнитной индукции
или модуля вектора напряженности магнитного поля
считывается непосредственно с индикатора СИ.
4.4. Допускается проведение измерений интенсивности ГМП с применением СИ с датчиком направленного приема (однокомпонентным датчиком) в соответствии с документами по стандартизации <9>, эксплуатационной документацией применяемого СИ и аттестованной методикой измерения.
--------------------------------
<9> Пункт 7.2.2 ГОСТ Р 51724-2001 "Экранированные объекты, помещения, технические средства. Поле гипогеомагнитное. Методы измерений и оценки соответствия уровней полей техническим требованиям и гигиеническим нормативам", введенного постановлением Госстандарта России от 27.03.2001 N 138-ст (далее - ГОСТ Р 51724-2001).
При этом в точке измерения могут проводиться измерения ортогональных составляющих вектора магнитной индукции (Bx, By, Bz) или вектора напряженности магнитного поля (Hx, Hv, Hz) с последующим вычислением модуля вектора магнитной индукции
по формуле (1) или модуля вектора напряженности магнитного поля
по формуле (2) <10>:
--------------------------------
<10> Пункт 3.1.12 ГОСТ Р 51724-2001.
, где (1)
Bx, By, Bz - ортогональные составляющие вектора магнитной индукции.
, где (2)
Hx, Hv, Hz - ортогональные составляющие вектора напряженности магнитного поля.
В качестве величины модуля вектора магнитной индукции
или модуля вектора напряженности магнитного поля
может быть использовано максимальное значение, полученное при непрерывном вращении датчика вокруг вертикальной и горизонтальных осей в точке измерения.
4.5. Измерения интенсивности геомагнитного поля внутри помещения на каждом рабочем месте проводятся с учетом рабочей позы на уровне 1,0 м от поверхности пола при рабочей позе "сидя"; 1,5 м - при рабочей позе "стоя" (не менее 4 измерений на каждом уровне).
4.6. Измерения интенсивности ГМП в открытом пространстве, прилегающем к обследуемому объекту, проводятся в трех точках, расположенных на расстоянии не менее 10 м от здания и друг от друга на уровнях 1,7 м от поверхности земли (не менее 4 измерений в каждой точке).
4.7. В каждой точке измерений проводится не менее 4 последовательных измерений, при этом продолжительность каждого измерения соответствует значению, указанному в эксплуатационной документации СИ.
При проведении измерений рекомендуется использовать штатив из немагнитных материалов.
V. Обработка и оформление результатов измерений
5.1. Результаты измерений оформляются в виде протокола измерений в соответствии с документами по стандартизации <11> и прописанными в лаборатории требованиями системы менеджмента качества (СМК). Перечень рекомендуемой информации, включаемой в протокол, представлен в приложении 1 к настоящим МР.
--------------------------------
<11> ГОСТ ISO/IEC 17025-2019 "Общие требования к компетентности испытательных и калибровочных лабораторий", введенный приказом Росстандарта от 15.07.2019 N 385-ст.
5.2. Результат измерений интенсивности ГГМП в точке измерений на постоянном рабочем месте представляется как среднее арифметическое значение не менее 4 последовательных измерений на каждом уровне. Определяющим при расчете
является минимальное из всех рассчитанных значений интенсивности ГГМП.
5.3. Результат измерений интенсивности ГМП в открытом пространстве представляется как среднее арифметическое значение результатов измерений, полученных во всех точках измерений (см. п. 4.6).
5.4.
на постоянном рабочем месте в помещении рассчитывается по формуле (3) <12>:
--------------------------------
<12> Пункт 55 СанПиН 1.2.3685-21.
или
, где (3)
Hо и Bо - модуль вектора напряженности
или модуль вектора магнитной индукции
ГМП в открытом пространстве;
HB и BB - модуль вектора напряженности
или модуль вектора магнитной индукции
ГГМП в точке измерений на постоянном рабочем месте внутри помещения.
5.5. Результаты измерений представляются с расширенной неопределенностью измерений. В приложении 2 к настоящим МР приведен алгоритм и пример расчета расширенной неопределенности измерений.
5.6. Гигиеническая оценка гипогеомагнитных условий проводится на основании расчета
для каждого постоянного рабочего места (см. п. 1.2) и его сопоставления с гигиеническим нормативом с учетом времени пребывания работника в этих условиях <13>.
--------------------------------
<13> Пункты 53, 55 СанПиН 1.2.3685-21; таблица 15 Р 2.2.2006-05.
Приложение 1
к МР 4.3.0387-25
РЕКОМЕНДУЕМЫЙ ПЕРЕЧЕНЬ
ИНФОРМАЦИИ, ВКЛЮЧАЕМОЙ В ПРОТОКОЛ ИЗМЕРЕНИЙ
1. Наименование и адрес организации, выполняющей измерения, сведения об аккредитации.
2. Наименование и адрес заказчика.
3. Объект измерений, адрес проведения измерений.
4. Место проведения измерений, наименование рабочего места.
5. Дата и время проведения измерений.
6. Фамилия, имя, отчество (при наличии) и должность уполномоченного представителя объекта, присутствующего при проведении измерений.
7. Цель проведения измерений.
8. Информация о СИ и вспомогательном оборудовании (наименование, тип, диапазон измерений, сведения о поверке, погрешность СИ).
9. Условия проведения измерений (метеоусловия).
10. Информация об использованной методике измерений.
11. Сведения о расположении точек измерения (для точек измерения в открытом пространстве дополнительно могут быть представлены их координаты).
12. Краткое описание технологического процесса (функциональное назначение помещения, характеристика выбранных интервалов времени в технологическом процессе (при необходимости), длительность работы на данном рабочем месте в гипогеомагнитных условиях за смену, вид рабочей позы).
13. Результаты измерений интенсивности ГМП на рабочем месте и в открытом пространстве в единицах напряженности магнитного поля (H) в А/м или в единицах магнитной индукции (B) в мкТл с указанием высоты контрольной точки от опорной поверхности (пола) для измерений на рабочем месте.
14. Схема расположения контрольных точек измерения на плане помещения и открытой территории (при необходимости с эскизом), расстояния между контрольными точками в открытом пространстве.
15. Должность, фамилия, имя, отчество (при наличии), подпись специалиста, проводившего измерения.
Приложение 2
к МР 4.3.0387-25
АЛГОРИТМ РАСЧЕТА РАСШИРЕННОЙ НЕОПРЕДЕЛЕННОСТИ ИЗМЕРЕНИЙ
1. Оценка неопределенности результатов измерений с уровнем доверия N = 95% проводится в 4 этапа по следующей схеме.
1.1. Оценивается стандартная неопределенность по типу A (uA) результата, вычисленного как среднее арифметическое
из n измерений по формуле (4):
(4)
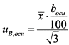
1.2. Оценивается стандартная неопределенность по типу B (uB), обусловленная основной (bосн и дополнительной (bдоп) приборной погрешностью по формулам (5.1, 5.2):
(5.1)
(5.2)
Если основная (bосн) и дополнительная (bдоп) приборная погрешность выражена в процентах, то стандартная неопределенность по типу B (bB,осн, bB,доп) вычисляется по формулам (6.1, 6.2):
(6.1)
(6.2)
1.3. Вычисляется суммарная стандартная неопределенность (uС) по формуле (7):
(7)
1.4. Вычисляется расширенная неопределенность (Uр) по формуле (8):
Uр = k · uС, где (8)
k - коэффициент охвата, значение которого принимается в зависимости от вида интервала (при одностороннем интервале - 1,645, при двустороннем - 2) и зависит от распределения возможных значений измеряемой величины и уровня доверия.
2. Результат измерения в зависимости от вида интервала представляется в виде:
или
.
Алгоритм расчета расширенной неопределенности
средней величины для открытого пространства
3. Оценивается стандартная неопределенность по типу A (uA,i) в каждой точке по формуле (4).
4. Оценивается стандартная неопределенность по типу B (uB,i) в каждой точке по формуле (5.1), (5.2) или (6.1), (6.2).
5. Вычисляется суммарная стандартная неопределенность (uС,i) в каждой точке по формуле (7).
6. Вычисляется суммарная стандартная неопределенность средней величины (uС.ср) по формуле (9):
(9)
7. Расширенная неопределенность вычисляется по формуле (8).
Алгоритм расчета расширенной неопределенности коэффициента
ослабления геомагнитного поля
8. В соответствии с пунктами 3 - 6 приложения 1 к настоящим МР вычисляется суммарная стандартная неопределенность средних величин напряженности (индукции) ГМП в открытом пространстве (uС,0).
9. В соответствии с пунктом 1 приложения 1 к настоящим МР вычисляется суммарная стандартная неопределенность напряженности (индукции) ГГМП на рабочем месте в помещении (uС,B).
10. Вычисляется суммарная стандартная неопределенность
(uС,K) по формуле (10):
(10)
11. Расширенная неопределенность вычисляется по формуле (8).
Пример расчета расширенной неопределенности измерений
12. Для расчета расширенной неопределенности измерений интенсивности ГМП в открытом пространстве и на постоянном рабочем месте в помещении в табл. 1 и 2 приложения 2 к настоящим МР представлены исходные данные (в качестве примера модуля вектора магнитной индукции).
Таблица 1
Результаты измерений в открытом пространстве
Номер точки измерения
Расстояние от здания, м/направление
Интенсивность ГМП в точке измерения, мкТл
Среднее арифметическое значение интенсивности ГМП в открытом пространстве, Bо, мкТл
Измерение
Среднее значение ![]()
1
2
3
4
Т1
50 м в северном направлении
53
52
53
53
52,8
53,0
Т2
80 м в южном направлении
53
51
53
53
52,5
Т3
60 м в западном направлении
54
53
54
53
53,5
Таблица 2
Результаты измерений уровней интенсивности ГГМП
на рабочем месте (при рабочей позе стоя)
Номер измерения
Высота проведения измерений 1,5 м
Полученные результаты интенсивности ГМП, Bв, мкТл
Измерение N 1
29
Измерение N 2
29
Измерение N 3
30
Измерение N 4
28
Среднее значение уровней Bв, ![]()
29,0
Определяющим при расчете
является минимальное значение интенсивности ГГМП, Bв, на рабочем месте - 29,0 мкТл (см. п. 5.2). Основная приборная погрешность измерений равна 20%, дополнительная приборная погрешность, обусловленная отклонением температуры окружающего воздуха от нормальной (плюс 20 °C) в пределах рабочих температур, равна 6% на каждые 10 °C. Температура воздуха в месте проведения измерений на открытой территории плюс 8 °C, в помещении на рабочем месте - плюс 20 °C.
1. Расчет расширенной неопределенности измерений
интенсивности ГМП в открытом пространстве
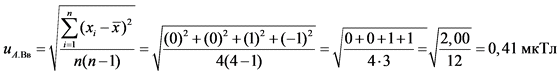
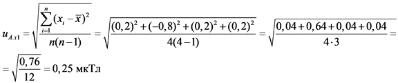
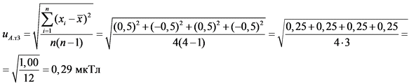
1.1. Для каждой контрольной точки вычисляется стандартная неопределенность по типу A (uA) по формуле (4):
;
;
;
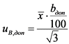
1.2. Для каждой контрольной точки вычисляется стандартная неопределенность по типу B (uB), обусловленная основной (bосн) и дополнительной (bдоп) приборными погрешностями, по формулам (6.1, 6.2):
;
;
;
;
;

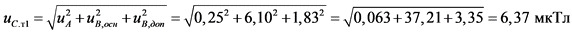
1.3. Для каждой точки вычисляется суммарная стандартная неопределенность (uС) по формуле (7):
;
;

1.4. Вычисляем суммарную стандартную неопределенность средней величины интенсивности ГМП в открытом пространстве (uС,О,ср) по формуле (9):

1.5. Расширенная неопределенность среднего значения интенсивности ГМП в открытом пространстве (UО,ср) определяется по формуле (8), при неизвестном законе распределения принимается коэффициент охвата k = 2:
UО,ср = 2 · uС,О,ср = 2 · 3,7 = 7,4 мкТл
1.6. Результат измерений в открытом пространстве: BО = 53,0 +/- 7,4 мкТл.
2. Расчет расширенной неопределенности измерений
интенсивности ГМП на рабочем месте в помещении
2.1. Для рабочего места вычисляется стандартная неопределенность по типу A (uA) по формуле (4) с учетом того, что определяющим при расчете
является минимальное значение интенсивности ГГМП, Bв, на рабочем месте (п. 5.2):

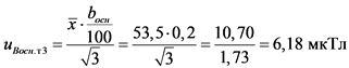
2.2. Для рабочего места вычисляется стандартная неопределенность по типу B (uB), обусловленная основной приборной погрешностью, по формуле (6.1):

2.3. Для рабочего места вычисляется суммарная стандартная неопределенность (uС) по формуле (7):

Расширенная неопределенность измерений интенсивности ГГМП на рабочем месте (UB) определяется по формуле (8), при неизвестном законе распределения принимается коэффициент охвата k = 2:
UBв,ср = 2 · uС,Bв,ср = 2 · 3,4 = 6,8 мкТл
2.4. Результат измерений в помещении: BВ = 29,0 +/- 6,8 мкТл.
3. Расчет расширенной неопределенности коэффициента
ослабления геомагнитного поля
3.1. По формуле (3) вычисляем
:

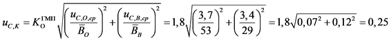
3.2. Вычисляется суммарная стандартная неопределенность
(uС,K) по формуле (10):

3.3. Расширенная неопределенность
(UK) (определяется по формуле (8), при неизвестном законе распределения принимается коэффициент охвата k = 2:
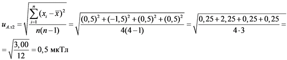
UK = 2 · uС,K = 2 · 0,25 = 0,5
3.4. Результат расчета
:

Примечание: расчет расширенной неопределенности измерений модуля вектора напряженности ГМП проводится аналогично пунктам 1 - 3 приложения 2 к настоящим МР.
БИБЛИОГРАФИЧЕСКИЕ ССЫЛКИ
1. Федеральный закон от 30.03.1999 N 52-ФЗ "О санитарно-эпидемиологическом благополучии населения".
2. Федеральный закон от 28.12.2013 N 412-ФЗ "Об аккредитации в национальной системе аккредитации".
3. Федеральный закон от 26.06.2008 N 102-ФЗ "Об обеспечении единства измерений".
4. Постановление Правительства Российской Федерации от 16.11.2020 N 1847 "Об утверждении перечня измерений, относящихся к сфере государственного регулирования обеспечения единства измерений".
5. СанПиН 1.2.3685-21 "Гигиенические нормативы и требования к обеспечению безопасности и (или) безвредности для человека факторов среды обитания".
6. Р 2.2.2006-05 "Гигиена труда. Руководство по гигиенической оценке факторов рабочей среды и трудового процесса. Критерии и классификация условий труда".
7. ГОСТ Р 51724-2001 "Экранированные объекты, помещения, технические средства. Поле гипогеомагнитное. Методы измерений и оценки соответствия уровней полей техническим требованиям и гигиеническим нормативам".
8. ГОСТ ISO/IEC 17025-2019 "Общие требования к компетентности испытательных и калибровочных лабораторий".
9. ГОСТ Р ИСО/МЭК 17020 "Оценка соответствия. Требования к работе различных типов органов инспекции".
10. ГОСТ 34100.1-2017 "Неопределенность измерения. Часть 1. Введение в руководства по выражению неопределенности измерения".
11. ГОСТ 34100.3-2017 "Неопределенность измерения. Часть 3. Руководство по выражению неопределенности измерения".
12. ГОСТ Р ИСО 10576-1-2006 "Статистические методы. Руководство по оценке соответствия установленным требованиям. Часть 1. Общие принципы".
13. ГОСТ 12.0.002-2014 "Система стандартов безопасности труда. Термины и определения".
14. ГОСТ 12.0.005-2014 "Система стандартов безопасности труда. Метрологическое обеспечение в области безопасности труда. Основные положения".
СПРАВОЧНАЯ ИНФОРМАЦИЯ
В настоящих МР используются следующие термины и определения:
Геомагнитное поле (ГМП) - постоянное магнитное поле Земли.
Гипогеомагнитное поле (ГГМП) - ослабленное геомагнитное поле внутри объекта; магнитное поле внутри экранированного объекта, являющееся суперпозицией магнитных полей, создаваемых геомагнитным полем, ослабленным экраном объекта, полем остаточной намагниченности ферромагнитных частей конструкции объекта, полем постоянного тока, протекающего по шинам и частям конструкции объекта (рабочего места) <14>.
--------------------------------
<14> Пункт 3.1.1 ГОСТ Р 51724-2001.
Постоянное рабочее место - рабочее место в физическом пространстве, на котором работающий ежедневно работает большую часть своего рабочего времени нормальной продолжительности (более 50%) или не менее 2 ч непрерывно <15>.
--------------------------------
<15> Пункт 2.4.17 ГОСТ 12.0.002-2014 "Система стандартов безопасности труда. Термины и определения", введенного приказом Росстандарта от 19.10.2015 N 1570-ст.
Предельно допустимый уровень (ПДУ) ослабления интенсивности ГМП рабочей среды на постоянных рабочих местах, организованных в помещениях, специально экранированных соответствующими материалами и покрытиями, - коэффициент ослабления ГМП, установленный с учетом времени нахождения за рабочую смену в гипогеомагнитных условиях, при котором ежедневная работа (кроме выходных дней, не более 40 часов в неделю) в течение всего рабочего стажа не должна вызывать заболеваний или отклонений в состоянии здоровья, обнаруживаемых современными методами исследований, в процессе работы или в отдаленные сроки жизни настоящего и последующего поколений.
Напряженность магнитного поля (H) - векторная физическая величина, равная геометрической разности магнитной индукции, деленной на магнитную постоянную, и намагниченности. Характеризует магнитное поле в любой точке пространства (единица измерения А/м).
Намагниченность - векторная величина, характеризующая магнитное состояние вещества, равная пределу отношения магнитного момента, связанного с элементом объема вещества, к объему этого элемента, когда объем и все размеры этого элемента стремятся к нулю.
Магнитная индукция (B) - векторная величина, являющаяся силовой характеристикой магнитного поля (его действия на заряженные частицы) в данной точке пространства (единицы измерения мкТл).
Напряженность магнитного поля (H) связана с магнитной индукцией поля (B) соотношением:
, где
- магнитная постоянная, при этом 1 А/м ~ 1,25 мкТл, 1 мкТл ~ 0,8 А/м.
Точка измерения - точка пространства, в которой осуществляется измерение.
Группа результатов измерений величин - несколько результатов измерений (не менее четырех, >= 4), полученных при измерениях одной и той же величины, выполненных с одинаковой тщательностью, одним и тем же СИ, одним и тем же методом и одним и тем же оператором.
Измеритель напряженности электрического (магнитного) поля направленного приема - измеритель, показания которого зависят от ориентации преобразователя напряженности электрического (магнитного) поля в измеряемом поле и при проведении измерений, которым требуется ориентация преобразователя на максимум приема.
Измеритель напряженности электрического (магнитного) поля ненаправленного приема - измеритель, показания которого с учетом погрешности не зависят от ориентации преобразователя напряженности электрического (магнитного) поля в измеряемом поле.
Магнитометр однокомпонентный - магнитометр, при помощи которого определяют напряженность (индукцию) модуля вектора магнитного поля по максимальному показанию отсчетного устройства при поворотах измерительного преобразователя в пространстве контрольной точки или путем измерения ортогональных составляющих напряженности Hx, Hy и Hz магнитного поля в контрольной точке и вычисления модуля вектора напряженности H, А/м из выражения:
.
Магнитометр многокомпонентный - магнитометр, показания которого не зависят от ориентации измерительного преобразователя в пространстве.
Расширенная неопределенность (англ. expanded uncertainty) - величина, определяющая интервал вокруг результата измерения, который, как ожидается, содержит в себе большую часть распределения значений, которые с достаточным основанием могут быть приписаны измеряемой величине.
Методические рекомендации разработаны ФБУН "ФНЦГ им. Ф.Ф. Эрисмана" Роспотребнадзора (С.В. Кузьмин, О.О. Синицына, А.М. Егорова, Т.Н. Газиева, Р.В. Турдыев, И.Д. Гарбузов); ФГБНУ "НИИ МТ" (С.Ю. Перов, Л.В. Походзей, Н.Б. Рубцова, Ю.П. Пальцев); ФГБУ "ГНИИИ ВМ" Минобороны России (С.В. Чепур, А.Б. Селезнев, В.И. Ефремов, И.М. Карпин); ООО "НТМ-Защита" (А.А. Котляров).