Указание Банка России от 05.11.2025 N 7227-У
ЦЕНТРАЛЬНЫЙ БАНК РОССИЙСКОЙ ФЕДЕРАЦИИ
УКАЗАНИЕ
от 5 ноября 2025 г. N 7227-У
О ЧИСЛОВЫХ ЗНАЧЕНИЯХ И ПОРЯДКЕ
РАСЧЕТА ПРЕДУСМОТРЕННЫХ ЧАСТЬЮ 4 СТАТЬИ 6 ФЕДЕРАЛЬНОГО
ЗАКОНА ОТ 18 ИЮЛЯ 2009 ГОДА N 190-ФЗ "О КРЕДИТНОЙ
КООПЕРАЦИИ" ФИНАНСОВЫХ НОРМАТИВОВ КРЕДИТНЫХ
ПОТРЕБИТЕЛЬСКИХ КООПЕРАТИВОВ
Настоящее Указание на основании пункта 1.1 части 2 статьи 5 Федерального закона от 18 июля 2009 года N 190-ФЗ "О кредитной кооперации" и в соответствии с решением Совета директоров Банка России (протокол заседания Совета директоров Банка России от 24 октября 2025 года N ПСД-33) устанавливает числовые значения и порядок расчета предусмотренных частью 4 статьи 6 Федерального закона от 18 июля 2009 года N 190-ФЗ "О кредитной кооперации" финансовых нормативов кредитных потребительских кооперативов.
1. Для кредитных потребительских кооперативов (кредитных потребительских кооперативов второго уровня) (далее при совместном упоминании - кредитный кооператив) устанавливаются следующие числовые значения и порядок расчета финансовых нормативов, предусмотренных частью 4 статьи 6 Федерального закона от 18 июля 2009 года N 190-ФЗ "О кредитной кооперации" (далее - финансовые нормативы).
1.1. Финансовый норматив достаточности собственных средств (ФН1) рассчитывается по формуле:

где:
К расч. = А расч. - Об;
А расч. - расчетная величина, определяемая как сумма следующих активов кредитного кооператива:
общего размера задолженности по сумме основного долга, образовавшейся в связи с предоставлением займов кредитным кооперативом, по процентам, начисленным по займам, предоставленным кредитным кооперативом, по иным платежам в пользу кредитного кооператива, а также неустойке (штрафу, пени) в сумме, присужденной судом или признанной заемщиком кредитного кооператива, образовавшейся в связи с предоставлением кредитным кооперативом займов (далее - задолженность по займам), уменьшенной на сумму резервов на возможные потери по займам, порядок формирования которых установлен Банком России на основании пункта 3 части 2 статьи 5 Федерального закона от 18 июля 2009 года N 190-ФЗ "О кредитной кооперации" (далее соответственно - резервы на возможные потери по займам, Федеральный закон N 190-ФЗ);
денежных средств и денежных эквивалентов, в том числе средств, размещенных в депозитах, и проценты по ним;
средств, размещенных в государственные и муниципальные ценные бумаги, и процентов по ним;
паевого взноса кредитного потребительского кооператива, добровольно вносимого в соответствии с пунктом 12 части 3 статьи 1 Федерального закона N 190-ФЗ таким кооперативом в кредитный потребительский кооператив второго уровня;
основных средств;
Об - обязательства кредитного кооператива, отражаемые в строке 3 раздела II отчетности по форме 0420820 "Отчет о деятельности кредитного потребительского кооператива" приложения 1 к Указанию Банка России от 27 сентября 2024 года N 6870-У "О формах, сроках и порядке составления и представления в Банк России отчетности и иных документов и информации кредитных потребительских кооперативов, о порядке сообщения кредитными потребительскими кооперативами Банку России информации о лицах, которым поручено проведение идентификации, упрощенной идентификации, обновление информации о клиентах, представителях клиентов, выгодоприобретателях и бенефициарных владельцах" <1>.
--------------------------------
<1> Зарегистрировано Минюстом России 20 декабря 2024 года, регистрационный N 80677, с изменениями, внесенными Указанием Банка России от 19 июня 2025 года N 7091-У (зарегистрировано Минюстом России 25 сентября 2025 года, регистрационный N 83650).
1.2. Числовое значение финансового норматива ФН1 устанавливается в размере:
не менее 1 процента (до 31 декабря 2029 года включительно), не менее 3 процентов (с 1 января 2030 года) - для кредитных кооперативов, срок деятельности которых составляет менее 180 дней со дня внесения Банком России сведений о них и о наличии у них права на осуществление деятельности кредитного кооператива в государственный реестр кредитных кооперативов, ведение которого осуществляется Банком России на основании пункта 4 части 2 статьи 5 Федерального закона N 190-ФЗ (далее - государственный реестр кредитных кооперативов), число членов (пайщиков) которых не превышает 100, а размер активов таких кредитных кооперативов не превышает 500 миллионов рублей;
не менее 4 процентов (до 31 декабря 2029 года включительно), не менее 5 процентов (с 1 января 2030 года) - для кредитных кооперативов, за исключением кредитных кооперативов, указанных в абзаце втором настоящего подпункта.
1.3. Финансовый норматив текущей ликвидности (ФН2) рассчитывается по формуле:

где:
Лат - принимаемая к расчету стоимость активов, которые должны быть получены кредитным кооперативом в течение 90 календарных дней со дня расчета финансового норматива и (или) могут быть реализованы кредитным кооперативом в течение 90 календарных дней со дня расчета финансового норматива, определяемая как сумма следующих активов:
общего размера задолженности по займам без просроченных платежей по таким займам либо с просроченными платежами по таким займам продолжительностью не более 30 календарных дней, срок погашения которой наступает в течение 90 календарных дней со дня расчета финансового норматива, уменьшенной на сумму резервов на возможные потери по займам;
денежных средств и денежных эквивалентов, в том числе средств, размещенных в депозитах, и процентов по ним, которые должны быть получены кредитным кооперативом в течение 90 календарных дней со дня расчета финансового норматива;
средств, размещенных в государственные и муниципальные ценные бумаги, и процентов по ним, которые должны быть получены кредитным кооперативом в течение 90 календарных дней со дня расчета финансового норматива и (или) могут быть реализованы кредитным кооперативом в течение 90 календарных дней со дня расчета финансового норматива;
Обт - обязательства кредитного кооператива, срок исполнения по которым не превышает 90 календарных дней со дня расчета финансового норматива.
1.4. Числовое значение финансового норматива ФН2 устанавливается в размере:
не менее 25 процентов - для кредитных кооперативов, срок деятельности которых составляет менее 180 дней со дня внесения Банком России сведений о них и о наличии у них права на осуществление деятельности кредитного кооператива в государственный реестр кредитных кооперативов, число членов (пайщиков) которых не превышает 100, а размер активов таких кредитных кооперативов не превышает 500 миллионов рублей;
не менее 50 процентов - для кредитных кооперативов, за исключением кредитных кооперативов, указанных в абзаце втором настоящего подпункта.
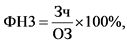
1.5. Финансовый норматив максимального размера риска на одного члена кредитного кооператива (пайщика) или группу связанных членов кредитного кооператива (пайщиков) (ФН3) рассчитывается по формуле:

где:
Зч - размер задолженности по займу, предоставленному одному члену кредитного кооператива (пайщику) или группе связанных членов кредитного кооператива (пайщиков), уменьшенной на сумму резервов на возможные потери по займам;
ОЗ - общий размер задолженности по займам, уменьшенной на сумму резервов на возможные потери по займам.
В целях расчета финансового норматива ФН3 понятие "группа связанных членов кредитного кооператива (пайщиков)" применяется в значении, определенном пунктом 20 части 3 статьи 1 Федерального закона N 190-ФЗ.
1.6. Числовое значение финансового норматива ФН3 устанавливается в размере:
не более 15 процентов - для кредитных кооперативов, число членов (пайщиков) которых превышает 3000 и (или) размер активов которых превышает 500 миллионов рублей;
не более 20 процентов - для кредитных кооперативов, число членов (пайщиков) которых не превышает 3000, а размер активов таких кредитных кооперативов не превышает 500 миллионов рублей;
не более 50 процентов - для кредитных кооперативов, срок деятельности которых составляет менее 180 дней со дня внесения Банком России сведений о них и о наличии у них права на осуществление деятельности кредитного кооператива в государственный реестр кредитных кооперативов, число членов (пайщиков) которых не превышает 100, а размер активов таких кредитных кооперативов не превышает 500 миллионов рублей.
1.7. Финансовый норматив сбалансированности деятельности (ФН4) рассчитывается по формуле:

где:
ДС - денежные средства и денежные эквиваленты, в том числе средства, размещенные в депозитах, и проценты по ним;
ГЦБ - средства, размещенные в государственные и муниципальные ценные бумаги, и проценты по ним;
ЗЗ - общий размер задолженности по сумме основного долга, образовавшейся в связи с предоставлением займов кредитным кооперативом, уменьшенной на суммы резервов на возможные потери по займам;
ПДС - общий размер задолженности по сумме основного долга, образовавшейся в связи с привлечением кредитным кооперативом денежных средств от членов кредитного кооператива (пайщиков) и (или) от иных лиц в случаях, предусмотренных Федеральным законом N 190-ФЗ.
1.8. Числовое значение финансового норматива ФН4 устанавливается для кредитных кооперативов в размере не менее 70 процентов.
1.9. Финансовый норматив долгосрочной ликвидности (ФН5) рассчитывается по формуле:

где:
Лаг - принимаемая к расчету стоимость активов кредитного кооператива, которые должны быть получены кредитным кооперативом в течение 12 месяцев со дня расчета финансового норматива и (или) могут быть реализованы кредитным кооперативом в течение 12 месяцев со дня расчета финансового норматива, определяемая как сумма следующих активов:
общего размера задолженности по займам, срок погашения которой наступает в течение 12 месяцев со дня расчета финансового норматива, уменьшенной на сумму резервов на возможные потери по займам;
денежных средств и денежных эквивалентов, в том числе средств, размещенных в депозитах, которые должны быть получены кредитным кооперативом в течение 12 месяцев со дня расчета финансового норматива;
средств, размещенных в государственные и муниципальные ценные бумаги, которые должны быть получены кредитным кооперативом в течение 12 месяцев со дня расчета финансового норматива и (или) могут быть реализованы кредитным кооперативом в течение 12 месяцев со дня расчета финансового норматива;
иной дебиторской задолженности, срок погашения которой наступает в течение 12 месяцев со дня расчета финансового норматива, за исключением дебиторской задолженности, учитываемой в абзаце пятом настоящего подпункта в составе задолженности по займам; дебиторской задолженности, погашение которой осуществляется в неденежной форме; дебиторской задолженности по договорам, заключенным кредитным кооперативом, сроки исполнения обязательств по которым нарушены;
Обг - обязательства кредитного кооператива, срок исполнения по которым не превышает 12 месяцев со дня расчета финансового норматива.
1.10. Числовое значение финансового норматива ФН5 устанавливается в размере:
не менее 75 процентов - для кредитных кооперативов, срок деятельности которых составляет 180 дней и более со дня внесения Банком России сведений о них и о наличии у них права на осуществление деятельности кредитного кооператива в государственный реестр кредитных кооперативов;
не менее 50 процентов - для кредитных кооперативов, срок деятельности которых составляет менее 180 дней со дня внесения Банком России сведений о них и о наличии у них права на осуществление деятельности кредитного кооператива в государственный реестр кредитных кооперативов.
2. Расчет финансовых нормативов осуществляется кредитным кооперативом ежедневно на основании данных бухгалтерского учета, бухгалтерской (финансовой) отчетности кредитного кооператива.
Для целей расчета финансовых нормативов число членов кредитного кооператива (пайщиков) и размер активов кредитного кооператива, в зависимости от которых устанавливается числовое значение финансового норматива, определяются кредитным кооперативом по состоянию на последний день отчетного периода, указанного в пункте 22 части 3 статьи 1 Федерального закона N 190-ФЗ (далее - отчетный период).
В случае увеличения в текущем отчетном периоде числа членов кредитного кооператива (пайщиков) и (или) размера активов кредитного кооператива, в зависимости от которых устанавливается числовое значение финансового норматива, кредитным кооперативом до окончания отчетного периода, следующего за текущим отчетным периодом, применяется числовое значение финансового норматива за отчетный период, предшествующий текущему отчетному периоду.
3. Настоящее Указание подлежит официальному опубликованию и вступает в силу с 6 февраля 2027 года.
4. Со дня вступления в силу настоящего Указания признать утратившими силу:
Указание Банка России от 28 декабря 2015 года N 3916-У "О числовых значениях и порядке расчета финансовых нормативов кредитных потребительских кооперативов" <2>;
--------------------------------
<2> Зарегистрировано Минюстом России 9 февраля 2016 года, регистрационный N 41025.
Указание Банка России от 5 ноября 2020 года N 5612-У "О внесении изменений в Указание Банка России от 28 декабря 2015 года N 3916-У "О числовых значениях и порядке расчета финансовых нормативов кредитных потребительских кооперативов" <3>.
--------------------------------
<3> Зарегистрировано Минюстом России 11 января 2021 года, регистрационный N 62039.
Председатель Центрального банка
Российской Федерации
Э.С.НАБИУЛЛИНА