Решение Минпромторга России от 01.12.2025 N 25-68905-01946-Р
МИНИСТЕРСТВО ПРОМЫШЛЕННОСТИ И ТОРГОВЛИ РОССИЙСКОЙ ФЕДЕРАЦИИ
РЕШЕНИЕ
от 1 декабря 2025 г. N 25-68905-01946-Р
Версия 10
Коды
01.12.2025
Главный распорядитель бюджетных средств
Министерство промышленности и торговли Российской Федерации
по БК
020
Бюджет
Федеральный бюджет
по ОКТМО
00000001
Направление расходов
Субсидия акционерному обществу "ДОМ.РФ", г. Москва, в виде вклада в имущество, не увеличивающего его уставный капитал, на цели возмещения специализированным обществам проектного финансирования затрат по выплате процентного (купонного) дохода по облигациям, размещаемым в целях реализации инвестиционных проектов по приобретению на льготных условиях строительно-дорожной и коммунальной техники на основе финансовой аренды (лизинга)
по БК
68905
Национальный проект
по БК
Государственная программа
Государственная программа Российской Федерации "Развитие промышленности и повышение ее конкурентоспособности"
по БК
16
Структурный элемент
Федеральный проект "Развитие сельскохозяйственного машиностроения, специализированного машиностроения, машиностроения для пищевой и перерабатывающей промышленности"
по БК
02
Целевая статья расходов
Субсидия акционерному обществу "ДОМ.РФ", г. Москва, в виде вклада в имущество, не увеличивающего его уставный капитал, на цели возмещения специализированным обществам проектного финансирования затрат по выплате процентного (купонного) дохода по облигациям, размещаемым в целях реализации инвестиционных проектов по приобретению на льготных условиях строительно-дорожной и коммунальной техники на основе финансовой аренды (лизинга)
по БК
16 2 02 68905
1. Общая информация
Наименование субсидии
Субсидия акционерному обществу "ДОМ.РФ", г. Москва, в виде вклада в имущество, не увеличивающего его уставный капитал, на цели возмещения специализированным обществам проектного финансирования затрат по выплате процентного (купонного) дохода по облигациям, размещаемым в целях реализации инвестиционных проектов по приобретению на льготных условиях строительно-дорожной и коммунальной техники на основе финансовой аренды (лизинга)
Цель предоставления субсидии
Возмещение специализированным обществам проектного финансирования затрат по выплате процентного (купонного) дохода по облигациям, размещаемым в целях реализации инвестиционных проектов по приобретению строительно-дорожной и коммунальной техники на основе финансовой аренды (лизинга)
Тип субсидии
Субсидии на производство (реализацию) продукции
Способ предоставления средств из бюджета
финансовое обеспечение затрат
Способ отбора получателей
не требуется
Для служебного пользования
Нет
Направлена на реализацию новаций в сфере искусственного интеллекта
Нет
2. Информация о получателях субсидии
Перечень получателей субсидии
Код организации по Сводному реестру
Наименование получателя субсидии
ИНН
КПП
Основание для определения конкретного получателя субсидии (правовой акт, международное соглашение)
450Н9855
ПУБЛИЧНОЕ АКЦИОНЕРНОЕ ОБЩЕСТВО "ДОМ.РФ"
7729355614
770401001
Федеральный закон от 30.11.2024 N 419-ФЗ "О федеральном бюджете на 2025 год и на плановый период 2026 и 2027 годов"
Категории получателей субсидии
Категория
Тип субъекта экономической деятельности
Прочие юридические лица, являющиеся коммерческими организациями
Юридическое лицо
Требования к получателям субсидии
Наименование требования
Подтверждающий соответствие требованию документ
У участника отбора (получателя субсидии) отсутствуют неисполненные обязательства по заключенным ранее соглашениям с главным распорядителем бюджетных средств на аналогичные цели
Заявка
В отношении участника отбора (получателя субсидии) - юридического лица не введена процедура банкротства
Заявка
Участник отбора (получатель субсидии) - юридическое лицо не проходит процедуру ликвидации
Заявка
Деятельность участника отбора (получателя субсидии) - юридического лица не приостановлена в порядке, предусмотренном законодательством Российской Федерации
Заявка
Участник отбора (получатель субсидии) - юридическое лицо не находится в процессе реорганизации (за исключением реорганизации в форме присоединения к юридическому лицу, являющемуся участником отбора, другого юридического лица)
Заявка
В реестре дисквалифицированных лиц отсутствуют сведения о дисквалифицированном руководителе участника отбора (получателя субсидии), являющегося юридическим лицом
Заявка
В реестре дисквалифицированных лиц отсутствуют сведения о дисквалифицированном главном бухгалтере участника отбора (получателя субсидии), являющегося юридическим лицом
Заявка
В реестре дисквалифицированных лиц отсутствуют сведения о дисквалифицированных членах коллегиального исполнительного органа участника отбора (получателя субсидии), являющегося юридическим лицом
Заявка
Участник отбора (получатель субсидии) не является российским юридическим лицом, в уставном (складочном) капитале которого доля прямого или косвенного (через третьих лиц) участия иностранных юридических лиц, местом регистрации которых является государство или территория, включенные в утверждаемый Министерством финансов Российской Федерации перечень государств и территорий, используемых для промежуточного (офшорного) владения активами в Российской Федерации, в совокупности превышает 25 процентов (если иное не предусмотрено законодательством Российской Федерации)
Заявка
Участник отбора (получатель субсидии) не является иностранным юридическим лицом, в том числе местом регистрации которого является государство или территория, включенные в утверждаемый Министерством финансов Российской Федерации перечень государств и территорий, используемых для промежуточного (офшорного) владения активами в Российской Федерации
Заявка
Участник отбора (получатель субсидии) не должен получать средства из федерального бюджета (бюджета субъекта Российской Федерации, местного бюджета), из которого планируется предоставление субсидии, на основании иных нормативных правовых актов Российской Федерации (нормативных правовых актов субъекта Российской Федерации, муниципальных правовых актов), решений о порядке предоставления субсидии на цели, установленные решением о порядке предоставления субсидии, в целях определения получателей которой проводится отбор получателей субсидий
Заявка
Участник отбора (получатель субсидии) не является иностранным агентом в соответствии с Федеральным законом "О контроле за деятельностью лиц, находящихся под иностранным влиянием"
Заявка
Отсутствует просроченная задолженность по возврату иных субсидий, бюджетных инвестиций в бюджет бюджетной системы Российской Федерации, из которого планируется предоставление субсидии
Заявка
Отсутствует иная просроченная (неурегулированная) задолженность по денежным обязательствам перед Российской Федерацией
Заявка
Участник отбора (получатель субсидии) не находится в перечне организаций и физических лиц, связанных с распространением оружия массового уничтожения, составляемом в рамках реализации полномочий, предусмотренных главой VII Устава ООН, Советом Безопасности ООН или органами, специально созданными решениями Совета Безопасности ООН
Заявка
Участник отбора (получатель субсидии) не находится в перечне организаций и физических лиц, связанных с террористическими организациями и террористами, составляемом в рамках реализации полномочий, предусмотренных главой VII Устава ООН, Советом Безопасности ООН или органами, специально созданными решениями Совета Безопасности ООН
Заявка
Участник отбора не должен находиться в перечне организаций и физических лиц, в отношении которых имеются сведения об их причастности к экстремистской деятельности или терроризму
Заявка
3. Результат предоставления субсидии
Перечень результатов
Код результата
Тип результата
Наименование результата
Целевая статья: 16 2 02 68905
X216070000
Производство (реализация) продукции
Обеспечена реализация строительно-дорожной и коммунальной техники на основе финансовой аренды (лизинга) на льготных условиях, в рамках инвестиционных проектов с использованием облигаций специализированного общества проектного финансирования
Характеристики результата предоставления субсидии (количественные параметры, которым должен соответствовать результат)
Код результата
Наименование характеристики
X216070000
Стоимостной объем реализации строительно-дорожной и коммунальной техники (с учетом налога на добавленную стоимость) на основе финансовой аренды (лизинга) на льготных условиях
4. Направления финансирования
Направления расходов, на финансовое обеспечение которых предоставляется субсидия
1.
возмещение затрат специализированного общества проектного финансирования по выплате процентного (купонного) дохода по облигациям, размещение которых предусмотрено Правилами финансирования инвестиционных проектов по приобретению на льготных условиях строительно-дорожной и коммунальной техники на основе финансовой аренды (лизинга) с использованием облигаций специализированного общества проектного финансирования
5. Условия заключения соглашения о предоставлении субсидии
Не требуется заключение соглашения
Заключение соглашения о предоставлении субсидии с привлечением иного юридического лица (агента)
Предусматривается проведение мониторинга достижения результатов
Основная отчетность
Получатель субсидии представляет:
а) отчет о достижении значений результатов предоставления субсидий, а также характеристик результатов (при их установлении) (за исключением случаев, предусмотренных абзацем вторым пункта 44, абзацем вторым пункта 68, пунктом 70 Единых правил);
б) отчет об осуществлении расходов, источником финансового обеспечения которых является субсидия (в отношении субсидий, предоставляемых в порядке финансового обеспечения затрат в связи с производством (реализацией) товаров, выполнением работ, оказанием услуг);
в) отчет о реализации плана мероприятий по достижению результатов предоставления субсидии (контрольных точек).
6. Иные условия предоставления субсидии
1. Субсидия из федерального бюджета предоставляется публичному акционерному обществу "ДОМ.РФ" (далее - общество), в виде вклада в имущество, не увеличивающего его уставный капитал, на цели возмещения специализированным обществам проектного финансирования затрат по выплате процентного (купонного) дохода по облигациям, размещение которых предусмотрено Правилами финансирования инвестиционных проектов по приобретению на льготных условиях строительно-дорожной и коммунальной техники на основе финансовой аренды (лизинга) с использованием облигаций специализированного общества проектного финансирования, утвержденными настоящим Решением (далее соответственно - Правила финансирования проектов, субсидия).
2. В целях реализации настоящего Решения под специализированным обществом проектного финансирования (далее - специализированное общество) понимается специализированное общество, указанное в пункте 3 Правил финансирования проектов.
3. Субсидия предоставляется на основании соглашения о предоставлении субсидии, заключаемого между Министерством промышленности и торговли Российской Федерации (далее - Министерство) и обществом, в соответствии с типовой формой, установленной Министерством финансов Российской Федерации в государственной интегрированной информационной системе управления общественными финансами "Электронный бюджет" (далее - соглашение).
В соглашении помимо условий предоставления субсидии, определенных Правилами предоставления из бюджетов бюджетной системы Российской Федерации субсидий, в том числе грантов в форме субсидий, юридическим лицам, индивидуальным предпринимателям, а также физическим лицам - производителям товаров, работ, услуг, утвержденными постановлением Правительства Российской Федерации от 25 октября 2023 г. N 1780 (далее - Единые правила), положений, предусмотренных в отношении общества Правилами финансирования проектов, Правилами возмещения специализированным обществам проектного финансирования затрат по выплате процентного (купонного) дохода по облигациям, размещаемым в целях реализации инвестиционных проектов по приобретению на льготных условиях строительно-дорожной и коммунальной техники на основе финансовой аренды (лизинга), утвержденными настоящим Решением, а также настоящим Решением, условий об обеспечении Министерством согласования новых условий соглашения в соответствии с общими требованиями, утвержденными Правительством Российской Федерации, в соответствии с пунктом 6 статьи 161 Бюджетного кодекса Российской Федерации, или о расторжении соглашения при недостижении согласия по новым условиям в случае уменьшения Министерству ранее доведенных лимитов бюджетных обязательств на предоставление субсидии, приводящего к невозможности предоставления субсидии в размере, определенном в соглашении, предусматривается в том числе:
согласие общества на осуществление Министерством проверок соблюдения обществом условий предоставления субсидии, в том числе в части достижения результата предоставления субсидии, а также органами государственного финансового контроля проверок в соответствии со статьями 268.1 и 269.2 Бюджетного кодекса Российской Федерации и обязательство общества по получению согласия специализированных обществ, получающих от общества средства, источником которых является субсидия, на проведение в отношении их указанных проверок (за исключением специализированных обществ с участием публично-правовых образований в их уставных капиталах и специализированных обществ с участием в их уставных капиталах хозяйственных товариществ и обществ с участием публично-правовых образований в уставных (складочных) капиталах этих хозяйственных товариществ и обществ);
обязанность общества представлять информацию и документы в Министерство и орган государственного финансового контроля в ходе проводимых ими проверок соблюдения обществом условий предоставления субсидий, а также обязательство общества включать в договоры, заключаемые между обществом и специализированными обществами в рамках исполнения соглашения, обязанность специализированных обществ представлять в Министерство и орган государственного финансового контроля в ходе проводимых ими проверок соблюдения обществом условий и порядка предоставления субсидий необходимые для проведения указанных проверок информацию и документы;
обязательство общества по представлению в Министерство по его письменному требованию копий платежных документов специализированного общества, подтверждающих своевременную выплату процентного (купонного) дохода по облигациям с использованием средств, источником которых является субсидия;
план мероприятий по достижению результата предоставления субсидии, содержащий события, отражающие факт завершения соответствующего мероприятия (контрольные точки).
4. Общество на дату не ранее чем за 30 календарных дней до дня подачи, указанного в пункте 5 настоящего раздела, заявления о предоставлении субсидии должно соответствовать следующим требованиям:
а) общество не является иностранным юридическим лицом, в том числе местом регистрации которого является государство или территория, включенные в утвержденный Министерством финансов Российской Федерации перечень государств и территорий, используемых для промежуточного (офшорного) владения активами в Российской Федерации (далее - офшорные компании), а также российским юридическим лицом, в уставном (складочном) капитале которого доля прямого или косвенного (через третьих лиц) участия офшорных компаний в совокупности превышает 25 процентов.
При расчете доли участия офшорных компаний в капитале российских юридических лиц не учитывается прямое и (или) косвенное участие офшорных компаний в капитале публичных акционерных обществ (в том числе со статусом международной компании), акции которых обращаются на организованных торгах в Российской Федерации, а также косвенное участие таких офшорных компаний в капитале других российских юридических лиц, реализованное через участие в капитале указанных публичных акционерных обществ.
б) общество не находится в перечне организаций и физических лиц, в отношении которых имеются сведения об их причастности к экстремистской деятельности или терроризму;
в) общество не получает средства из федерального бюджета (бюджета субъекта Российской Федерации, местного бюджета), из которого планируется предоставление субсидии в соответствии с решением о порядке предоставления субсидии, на основании иных нормативных правовых актов Российской Федерации (нормативных правовых актов субъекта Российской Федерации, муниципальных правовых актов), решений о порядке предоставления субсидии на цели, установленные решением о порядке предоставления субсидии;
г) общество не является иностранным агентом в соответствии с Федеральным законом "О контроле за деятельностью лиц, находящихся под иностранным влиянием";
д) общество не находится в составляемых в рамках реализации полномочий, предусмотренных главой VII Устава ООН, Советом Безопасности ООН или органами, специально созданными решениями Совета Безопасности ООН, перечнях организаций и физических лиц, связанных с террористическими организациями и террористами или с распространением оружия массового уничтожения;
е) у общества отсутствует просроченная задолженность по возврату в бюджет бюджетной системы Российской Федерации, из которого планируется предоставление субсидии в соответствии с решением о порядке предоставления субсидии, иных субсидий, бюджетных инвестиций, а также иная просроченная (неурегулированная) задолженность по денежным обязательствам перед публично-правовым образованием, из бюджета которого планируется предоставление субсидии в соответствии с решением о порядке предоставления субсидии (за исключением случаев, установленных соответственно Правительством Российской Федерации, высшим исполнительным органом субъекта Российской Федерации, местной администрацией);
ж) общество не является лицом, нарушившим условие о внедрении современных технологий, включая решения на базе искусственного интеллекта, установленное в соответствии с подпунктом "а" пункта 69 Единых правил;
з) у общества на едином налоговом счете отсутствует или не превышает размера, определенного пунктом 3 статьи 47 Налогового кодекса Российской Федерации, задолженность по уплате налогов, сборов и страховых взносов в бюджеты бюджетной системы Российской Федерации;
и) общество не находится в процессе реорганизации (за исключением реорганизации в форме присоединения к юридическому лицу, являющемуся получателем субсидии, другого юридического лица), ликвидации, в отношении его не введена процедура банкротства, деятельность общества не приостановлена в порядке, предусмотренном законодательством Российской Федерации;
к) в реестре дисквалифицированных лиц отсутствуют сведения о дисквалифицированных руководителе, членах коллегиального исполнительного органа, лице, исполняющем функции единоличного исполнительного органа, или главном бухгалтере (при наличии) общества.
5. Для получения субсидии общество представляет в Министерство заявление о предоставлении субсидии, подписанное руководителем общества (уполномоченным лицом с представлением документов, подтверждающих полномочия указанного лица), в произвольной форме с приложением следующих документов:
а) выписки из Единого государственного реестра юридических лиц, или сведений о юридическом лице, полученных с официального сайта Федеральной налоговой службы информационно-телекоммуникационной сети "Интернет" в форме электронного документа, на дату не ранее чем за 30 календарных дней до дня подачи заявления, указанного в абзаце первом настоящего пункта (в случае непредставления такого документа Министерство запрашивает его самостоятельно);
б) справки налогового органа, подтверждающей отсутствие у общества по состоянию на дату не ранее чем за 30 календарных дней до дня подачи заявления, указанного в абзаце первом настоящего пункта, неисполненной обязанности по уплате налогов, сборов, страховых взносов, пеней, штрафов и процентов, подлежащих уплате в соответствии с законодательством Российской Федерации о налогах и сборах (в случае непредставления такого документа Министерство запрашивает его самостоятельно);
в) справки, подписанной руководителем (уполномоченным лицом с представлением документов, подтверждающих полномочия указанного лица) и главным бухгалтером (при наличии) общества, подтверждающей соответствие общества по состоянию на дату не ранее чем за 30 календарных дней до дня подачи заявления, указанного в абзаце первом настоящего пункта, требованиям, установленным пунктом 4 настоящего раздела, в произвольной форме.
6. Министерство осуществляет проверку общества на соответствие требованиям, установленным пунктом 4 настоящего раздела и Решением, на основании документов, предусмотренных пунктом 5 настоящего раздела.
Ответственность за достоверность сведений, содержащихся в представленных обществом в соответствии с пунктом 5 настоящего раздела документах, несет общество.
7. Министерство принимает решение о предоставлении субсидии или об отказе в предоставлении субсидии в течение 10 рабочих дней со дня, следующего за днем получения документов, предусмотренных пунктом 5 настоящего раздела.
8. Основаниями для отказа обществу в предоставлении субсидии являются:
несоответствие документов, предусмотренных пунктом 5 настоящего раздела, требованиям, установленным настоящим Решением, или непредставление (представление не в полном объеме) указанных документов;
недостоверность информации, содержащейся в документах, представленных обществом в соответствии с пунктом 5 настоящего раздела;
9. В случае несоответствия общества требованиям, установленным пунктом 4 настоящего раздела, Министерство принимает решение о предоставлении субсидии после устранения обществом не позднее 10-го рабочего дня со дня, следующего за днем получения отказа в предоставлении субсидии, указанного несоответствия.
Повторная проверка конкретного получателя субсидии на соответствие установленным требованиям осуществляется в соответствии с пунктом 6 настоящих Правил и настоящим пунктом.
10. В случае установления в ходе проверок, проведенных Министерством и (или) органом государственного (муниципального) финансового контроля, факта несоблюдения обществом условий предоставления субсидий, предусмотренных настоящим Решением, к обществу применяются штрафные санкции в размере выявленных нарушений:
а) на основании требования Министерства - не позднее 10-го рабочего дня со дня получения указанного требования Получателем;
б) на основании представления и (или) предписания органа государственного (муниципального) финансового контроля - в сроки, установленные в соответствии с бюджетным законодательством Российской Федерации.
В случае недостижения обществом значения результата предоставления субсидии, выявленного в том числе по фактам проверок, проведенных Министерством и (или) органом государственного (муниципального) финансового контроля, предусмотренного настоящим Решением, обществом осуществляется возврат средств субсидий в бюджет, из которого предоставлена субсидия в размере выявленных нарушений:
а) на основании требования Министерства - не позднее 10-го рабочего дня со дня получения указанного требования Получателем;
б) на основании представления и (или) предписания органа государственного (муниципального) финансового контроля - в сроки, установленные в соответствии с бюджетным законодательством Российской Федерации.
11. Министерством осуществляется мониторинг достижения результата предоставления субсидии исходя из достижения значения результата предоставления субсидии и событий, отражающих факт завершения соответствующего мероприятия по получению результата предоставления субсидии (контрольная точка) в соответствии с установленными значениями:
Контрольная точка 1 (Обеспечена реализация строительно-дорожной и коммунальной техники на основе финансовой аренды (лизинга) на льготных условиях, в рамках инвестиционных проектов с использованием облигаций специализированного общества проектного финансирования) по состоянию на 30.06.2025 - 5 шт.;
Контрольная точка 2 (Обеспечена реализация строительно-дорожной и коммунальной техники на основе финансовой аренды (лизинга) на льготных условиях, в рамках инвестиционных проектов с использованием облигаций специализированного общества проектного финансирования) по состоянию на 30.09.2025 - 10 шт.;
Контрольная точка 3 (Обеспечена реализация строительно-дорожной и коммунальной техники на основе финансовой аренды (лизинга) на льготных условиях, в рамках инвестиционных проектов с использованием облигаций специализированного общества проектного финансирования) по состоянию на 31.12.2025 - 70 шт.;
Контрольная точка 4 (Обеспечена реализация строительно-дорожной и коммунальной техники на основе финансовой аренды (лизинга) на льготных условиях, в рамках инвестиционных проектов с использованием облигаций специализированного общества проектного финансирования) по состоянию на 31.03.2026 - 500 шт.;
Контрольная точка 5 (Обеспечена реализация строительно-дорожной и коммунальной техники на основе финансовой аренды (лизинга) на льготных условиях, в рамках инвестиционных проектов с использованием облигаций специализированного общества проектного финансирования) по состоянию на 30.06.2026 - 900 шт.;
Контрольная точка 6 (Обеспечена реализация строительно-дорожной и коммунальной техники на основе финансовой аренды (лизинга) на льготных условиях, в рамках инвестиционных проектов с использованием облигаций специализированного общества проектного финансирования) по состоянию на 30.09.2026 - 1 000 шт.;
Контрольная точка 7 (Обеспечена реализация строительно-дорожной и коммунальной техники на основе финансовой аренды (лизинга) на льготных условиях, в рамках инвестиционных проектов с использованием облигаций специализированного общества проектного финансирования) по состоянию на 31.12.2026 - 1 200 шт.;
Контрольная точка 8 (Обеспечена реализация строительно-дорожной и коммунальной техники на основе финансовой аренды (лизинга) на льготных условиях, в рамках инвестиционных проектов с использованием облигаций специализированного общества проектного финансирования) по состоянию на 31.03.2027 - 1 400 шт.;
Контрольная точка 9 (Обеспечена реализация строительно-дорожной и коммунальной техники на основе финансовой аренды (лизинга) на льготных условиях, в рамках инвестиционных проектов с использованием облигаций специализированного общества проектного финансирования) по состоянию на 30.06.2027 - 1 700 шт.;
Контрольная точка 10 (Обеспечена реализация строительно-дорожной и коммунальной техники на основе финансовой аренды (лизинга) на льготных условиях, в рамках инвестиционных проектов с использованием облигаций специализированного общества проектного финансирования) по состоянию на 30.09.2027 - 2 000 шт.;
Контрольная точка 11 (Обеспечена реализация строительно-дорожной и коммунальной техники на основе финансовой аренды (лизинга) на льготных условиях, в рамках инвестиционных проектов с использованием облигаций специализированного общества проектного финансирования) по состоянию на 31.12.2027 - 2 500 шт.;
Контрольная точка 12 (Обеспечена реализация строительно-дорожной и коммунальной техники на основе финансовой аренды (лизинга) на льготных условиях, в рамках инвестиционных проектов с использованием облигаций специализированного общества проектного финансирования) по состоянию на 31.03.2028 - 2 600 шт.;
Контрольная точка 13 (Обеспечена реализация строительно-дорожной и коммунальной техники на основе финансовой аренды (лизинга) на льготных условиях, в рамках инвестиционных проектов с использованием облигаций специализированного общества проектного финансирования) по состоянию на 30.06.2028 - 2 700 шт.;
Контрольная точка 14 (Обеспечена реализация строительно-дорожной и коммунальной техники на основе финансовой аренды (лизинга) на льготных условиях, в рамках инвестиционных проектов с использованием облигаций специализированного общества проектного финансирования) по состоянию на 30.09.2028 - 3 000 шт.;
Контрольная точка 15 (Обеспечена реализация строительно-дорожной и коммунальной техники на основе финансовой аренды (лизинга) на льготных условиях, в рамках инвестиционных проектов с использованием облигаций специализированного общества проектного финансирования) по состоянию на 31.12.2028 - 3 500 шт.;
Контрольная точка 16 (Обеспечена реализация строительно-дорожной и коммунальной техники на основе финансовой аренды (лизинга) на льготных условиях, в рамках инвестиционных проектов с использованием облигаций специализированного общества проектного финансирования) по состоянию на 31.03.2029 - 3 600 шт.;
Контрольная точка 17 (Обеспечена реализация строительно-дорожной и коммунальной техники на основе финансовой аренды (лизинга) на льготных условиях, в рамках инвестиционных проектов с использованием облигаций специализированного общества проектного финансирования) по состоянию на 30.06.2029 - 3 750 шт.;
Контрольная точка 18 (Обеспечена реализация строительно-дорожной и коммунальной техники на основе финансовой аренды (лизинга) на льготных условиях, в рамках инвестиционных проектов с использованием облигаций специализированного общества проектного финансирования) по состоянию на 30.09.2029 - 3 900 шт.;
Контрольная точка 19 (Обеспечена реализация строительно-дорожной и коммунальной техники на основе финансовой аренды (лизинга) на льготных условиях, в рамках инвестиционных проектов с использованием облигаций специализированного общества проектного финансирования) по состоянию на 31.12.2029 - 4 500 шт.;
Контрольная точка 20 (Обеспечена реализация строительно-дорожной и коммунальной техники на основе финансовой аренды (лизинга) на льготных условиях, в рамках инвестиционных проектов с использованием облигаций специализированного общества проектного финансирования) по состоянию на 31.03.2030 - 4 700 шт.;
Контрольная точка 21 (Обеспечена реализация строительно-дорожной и коммунальной техники на основе финансовой аренды (лизинга) на льготных условиях, в рамках инвестиционных проектов с использованием облигаций специализированного общества проектного финансирования) по состоянию на 30.06.2030 - 4 800 шт.;
Контрольная точка 22 (Обеспечена реализация строительно-дорожной и коммунальной техники на основе финансовой аренды (лизинга) на льготных условиях, в рамках инвестиционных проектов с использованием облигаций специализированного общества проектного финансирования) по состоянию на 30.09.2030 - 4 900 шт.;
Контрольная точка 23 (Обеспечена реализация строительно-дорожной и коммунальной техники на основе финансовой аренды (лизинга) на льготных условиях, в рамках инвестиционных проектов с использованием облигаций специализированного общества проектного финансирования) по состоянию на 01.12.2030 - 5 000 шт.
Приложение N 1
к Решению о порядке
предоставления субсидии
N 25-68905-01946-Р
ПРАВИЛА
ФИНАНСИРОВАНИЯ ИНВЕСТИЦИОННЫХ ПРОЕКТОВ ПО ПРИОБРЕТЕНИЮ
НА ЛЬГОТНЫХ УСЛОВИЯХ СТРОИТЕЛЬНО-ДОРОЖНОЙ И КОММУНАЛЬНОЙ
ТЕХНИКИ НА ОСНОВЕ ФИНАНСОВОЙ АРЕНДЫ (ЛИЗИНГА)
С ИСПОЛЬЗОВАНИЕМ ОБЛИГАЦИЙ СПЕЦИАЛИЗИРОВАННОГО
ОБЩЕСТВА ПРОЕКТНОГО ФИНАНСИРОВАНИЯ
1. Настоящие Правила устанавливают порядок финансирования (предоставления займов) инвестиционных проектов по приобретению на льготных условиях строительно-дорожной и коммунальной техники (далее - техника) на основе финансовой аренды (лизинга) с использованием облигаций специализированного общества проектного финансирования.
2. В целях реализации настоящих Правил под специализированным обществом проектного финансирования понимается специализированное общество, 100 процентов акций (долей участия в уставном капитале) которого принадлежит единому институту развития в жилищной сфере, определенному Федеральным законом "О содействии развитию и повышению эффективности управления в жилищной сфере и о внесении изменений в отдельные законодательные акты Российской Федерации" (далее соответственно - специализированное общество, единый институт развития в жилищной сфере).
3. Финансирование инвестиционных проектов по приобретению на льготных условиях техники на основе финансовой аренды (лизинга) в соответствии с настоящими Правилами осуществляется путем предоставления лизинговым компаниям, созданным в соответствии с законодательством Российской Федерации (далее - лизингодатель), специализированным обществом денежных средств на основании договоров займа (далее соответственно - договор займа со специализированным обществом, заем по договору займа со специализированным обществом) на цели приобретения предмета лизинга и его последующей передачи лизингополучателям по договорам финансовой аренды (лизинга) (далее - договор лизинга).
Денежные средства, полученные лизингодателями на основании договоров займа со специализированным обществом, не могут быть использованы в целях осуществления расходов на имущественное страхование, страхование финансовых и (или) предпринимательских рисков, обязательное и добровольное страхование гражданской ответственности владельцев транспортных средств, регистрацию техники, доставку техники лизингополучателю.
Информационное взаимодействие и обмен документами, предусмотренными настоящими Правилами, между специализированным обществом, единым институтом развития в жилищной сфере, уполномоченным банком в сфере жилищного строительства, определенном в соответствии с Федеральным законом "О содействии развитию и повышению эффективности управления в жилищной сфере и о внесении изменений в отдельные законодательные акты Российской Федерации" (далее - уполномоченный банк в сфере жилищного строительства), и лизингодателями осуществляется с использованием единой информационной системы жилищного строительства при наличии технической возможности.
Документы на бумажном носителе представляются посредством почтовой или курьерской доставки. При представлении документов на бумажном носителе электронные копии таких документов размещаются в единой информационной системе жилищного строительства.
Единый институт развития в жилищной сфере размещает информацию об отсутствии технической возможности использования для информационного взаимодействия указанной в настоящем пункте единой информационной системы жилищного строительства на своем официальном сайте в сети "Интернет".
Специализированное общество размещает не конвертируемые в акции бездокументарные с централизованным учетом прав облигации, номинированные в валюте Российской Федерации, по которым предусмотрено начисление процентного (купонного) дохода, обеспеченные залогом денежных требований по договорам займа со специализированным обществом в соответствии с настоящими Правилами (далее - облигации).
4. Сумма заключенных договоров займа со специализированным обществом и сумма предоставляемых лизингодателям специализированным обществом займов по договорам займа со специализированным обществом не должны превышать 50,0 миллиардов рублей соответственно.
5. В целях реализации настоящих Правил единому институту развития в жилищной сфере из федерального бюджета предоставляются субсидии на возмещение специализированному обществу затрат на выплату процентного (купонного) дохода по облигациям (далее - возмещение).
6. Обязательства специализированного общества по выплате процентного (купонного) дохода по облигациям могут исполняться за счет собственных средств и (или) заемных средств специализированного общества.
7. Исполнение обязательств специализированного общества по выплате номинальной стоимости облигаций и процентного (купонного) дохода по облигациям (далее - обязательства специализированного общества по облигациям) обеспечивается поручительством единого института развития в жилищной сфере.
8. Единый институт развития в жилищной сфере вправе предоставить специализированному обществу денежные средства по договору займа в целях предоставления лизингодателям специализированным обществом денежных средств на основании договоров займа со специализированным обществом, исполнения обязательств специализированного общества по облигациям и (или) возврата ранее предоставленных специализированному обществу единым институтом развития в жилищной сфере в соответствии с настоящим пунктом денежных средств по договору займа, а также в целях осуществления расходов и платежей специализированного общества, предусмотренных подпунктом "д" пункта 14 настоящих Правил (далее соответственно - договор займа с учредителем, заем по договору займа с учредителем). Специализированное общество вправе досрочно исполнить обязательства перед единым институтом развития в жилищной сфере по договорам займа с учредителем. При предоставлении единым институтом развития в жилищной сфере специализированному обществу займов по договорам займа с учредителем со специализированного общества не могут взиматься комиссии и иные платежи, связанные с предоставлением и обслуживанием займов по договорам займа с учредителем, а также платежи за досрочное исполнение обязательств по договорам займа с учредителем.
9. Права (требования) специализированного общества по обязательствам лизингодателей, возникшим из договоров займа со специализированным обществом, а также вытекающим из признания договора займа со специализированным обществом недействительным, приобретаются единым институтом развития в жилищной сфере у специализированного общества в следующих случаях:
а) лизингодатель находится в процессе ликвидации;
б) в отношении лизингодателя введена процедура банкротства;
в) договор займа со специализированным обществом признан недействительным решением суда, вступившим в законную силу;
г) лизингодатель допустил просрочку исполнения обязательства по договору займа со специализированным обществом в части возврата суммы займа (погашения суммы основного долга) и (или) уплаты процентов за пользование займом по договору займа со специализированным обществом, составляющую не менее 270 календарных дней. При этом специализированным обществом предъявлено требование о возврате суммы займа (погашении суммы основного долга) и (или) об уплате процентов за пользование займом по договору займа со специализированным обществом и такое требование специализированного общества не удовлетворено на дату приобретения права (требования) по договору займа со специализированным обществом.
10. Стоимость приобретаемых единым институтом развития в жилищной сфере в соответствии с пунктом 9 настоящих Правил прав (требований) должна быть равна размеру задолженности лизингодателя перед специализированным обществом по договору займа со специализированным обществом, включающей сумму основного долга и начисленные, но не уплаченные на дату перехода к единому институту развития в жилищной сфере прав (требований) проценты за пользование займом по договору займа со специализированным обществом, либо размеру требования о возврате полученного по недействительной сделке в случае приобретения единым институтом развития в жилищной сфере прав (требований) на основании подпункта "в" пункта 9 настоящих Правил. При определении предусмотренной настоящим пунктом стоимости приобретаемых единым институтом развития в жилищной сфере в соответствии с пунктом 9 настоящих Правил прав (требований) не учитываются неустойки (пени, штрафы), начисленные в связи с неисполнением или ненадлежащим исполнением лизингодателем обязательств по договору займа со специализированным обществом, а также проценты за пользование чужими средствами.
11. Денежные средства, полученные специализированным обществом от размещения облигаций, могут быть использованы специализированным обществом в порядке и на условиях, которые предусмотрены настоящими Правилами, на предоставление займов по договорам займа со специализированным обществом, исполнение обязательств специализированного общества по облигациям и обязательств по договорам займа с учредителем, а также на приобретение специализированным обществом облигаций в соответствии со статьями 17.2 и 17.3 Федерального закона "О рынке ценных бумаг".
12. Денежные средства, полученные специализированным обществом от размещения облигаций, подлежат зачислению на залоговый счет (залоговые счета) специализированного общества, залогом прав по которому (которым) обеспечивается исполнение обязательств специализированного общества по облигациям (далее - залоговый счет). Залоговый счет открывается в уполномоченном банке в сфере жилищного строительства.
13. На залоговый счет подлежат зачислению денежные средства, поступившие:
а) от лизингодателей и (или) третьих лиц в счет исполнения обязательств лизингодателей перед специализированным обществом по договорам займа со специализированным обществом;
б) от лиц, предоставивших обеспечение исполнения обязательств лизингодателей по договорам займа со специализированным обществом;
в) от уполномоченного банка в сфере жилищного строительства в качестве процентов за пользование денежными средствами, находящимися на залоговом счете;
г) от единого института развития в жилищной сфере по договорам займа с учредителем;
д) от единого института развития в жилищной сфере за приобретение прав (требований) специализированного общества в соответствии с пунктом 9 настоящих Правил;
е) при получении специализированным обществом иных платежей, подлежащих зачислению на залоговый счет в соответствии с законодательством Российской Федерации, а также при получении специализированным обществом денежных средств, причитающихся лизингодателю в счет исполнения третьим лицом обязательства перед лизингодателем, если право (требование) по такому обязательству заложено специализированному обществу в обеспечение исполнения обязательств лизингодателя по договору займа со специализированным обществом и договором залога указанного права (требования) предусмотрено зачисление таких денежных средств на залоговый счет.
14. В целях обеспечения исполнения обязательств специализированного общества по облигациям в порядке, установленном законодательством Российской Федерации, заключается договор залога прав по договору банковского счета, по которому залогодержателями являются владельцы облигаций и по которому допускается списание (перечисление, выдача) с залогового счета денежных средств в целях:
а) предоставления денежных средств на основании договоров займа со специализированным обществом;
б) исполнения обязательств специализированного общества по облигациям;
в) исполнения обязательств специализированного общества по договорам займа с учредителем;
г) уплаты вознаграждения единому институту развития в жилищной сфере за поручительство, предоставленное в соответствии с пунктом 7 настоящих Правил;
д) оплаты административно-хозяйственных расходов специализированного общества, а также осуществления иных платежей, связанных с осуществлением специализированным обществом своей уставной деятельности, в том числе операционных расходов специализированного общества, расходов, связанных с размещением облигаций. В целях осуществления предусмотренных настоящим подпунктом платежей денежные средства с залогового счета могут быть перечислены на иные счета специализированного общества в уполномоченном банке в сфере жилищного строительства, не являющиеся залоговыми счетами. Ежегодный размер платежей по указанным в настоящем подпункте расходам не может превышать один процент совокупной номинальной стоимости облигаций, находящихся в обращении на 31 декабря соответствующего календарного года;
е) приобретения специализированным обществом облигаций в соответствии со статьями 17.2 и 17.3 Федерального закона "О рынке ценных бумаг".
15. Уполномоченный банк в сфере жилищного строительства обязан проводить операции по залоговому счету в соответствии с законодательством Российской Федерации и условиями договора залога прав по договору банковского счета, указанному в пункте 14 настоящих Правил, осуществляя контроль соблюдения специализированным обществом целей списания (перечисления, выдачи) денежных средств с залогового счета, предусмотренных подпунктами "а" - "е" пункта 14 настоящих Правил и договором залога прав по договору банковского счета.
16. Специализированное общество заключает с уполномоченным банком в сфере жилищного строительства договор об оказании услуг, согласно которому уполномоченный банк в сфере жилищного строительства принимает на себя обязательства по сбору и перечислению специализированному обществу исполнения обязательств, полученных от лизингодателей по договорам займа со специализированным обществом, а также по осуществлению контроля за целевым использованием лизингодателями денежных средств, предоставляемых им специализированным обществом на основании договоров займа со специализированным обществом.
17. Лизингодатель несет ответственность перед специализированным обществом, предусмотренную договором займа со специализированным обществом, в случае несоблюдения условий договора лизинга, в том числе нарушения установленного договором лизинга срока передачи предмета лизинга лизингополучателю.
Нарушение лизингодателем сроков передачи предмета лизинга лизингополучателю, установленных при заключении договора лизинга, на срок более 180 календарных дней является основанием для возврата лизингодателем специализированному обществу суммы займа, выданного по договору займа со специализированным обществом на цели приобретения такого предмета лизинга и его последующей передачи лизингополучателю по договору лизинга, в сроки и в порядке, установленном соответствующим договором займа со специализированным обществом.
В случае если несоблюдение условий договора лизинга лизингодателем, в том числе предусмотренное абзацем вторым настоящего пункта, или наступление иных событий повлекло возврат ранее выплаченного возмещения или невозможность обращения за возмещением, соответствующие средства в размере указанного возврата возмещения или неполученного возмещения подлежат компенсации лизингодателем специализированному обществу в соответствии с договором займа со специализированным обществом, за исключением случаев, когда возврат ранее выплаченного возмещения или невозможность обращения за возмещением происходит по обстоятельствам, за которые отвечает специализированное общество.
18. В целях заключения договора займа со специализированным обществом лизингодатель направляет специализированному обществу заявку с приложением следующих документов:
а) копии учредительных документов;
б) документы, подтверждающие соответствие лизингодателя требованиям, предусмотренным пунктом 19 настоящих Правил.
19. Для заключения договора займа со специализированным обществом лизингодатель по состоянию не ранее чем на 1-е число месяца, предшествующего месяцу, в котором представляются документы, предусмотренные пунктом 18 настоящих Правил, должен соответствовать следующим требованиям:
а) создан в соответствии с законодательством Российской Федерации как коммерческая организация, имеет место нахождения на территории Российской Федерации и является налоговым резидентом Российской Федерации;
б) не находится в процессе реорганизации (за исключением реорганизации в форме присоединения к лизингодателю другого юридического лица), ликвидации, в отношении его не введена процедура банкротства, деятельность не приостановлена в порядке, предусмотренном законодательством Российской Федерации;
в) не является иностранным юридическим лицом, в том числе местом регистрации которого является государство или территория, включенные в утвержденный Министерством финансов Российской Федерации перечень государств и территорий, используемых для промежуточного (офшорного) владения активами в Российской Федерации (далее - офшорные компании), а также российским юридическим лицом, в уставном (складочном) капитале которого доля прямого или косвенного (через третьих лиц) участия офшорных компаний в совокупности превышает 25 процентов.
При расчете доли участия офшорных компаний в капитале российских юридических лиц не учитывается прямое и (или) косвенное участие офшорных компаний в капитале публичных акционерных обществ (в том числе со статусом международной компании), акции которых обращаются на организованных торгах в Российской Федерации, а также косвенное участие таких офшорных компаний в капитале других российских юридических лиц, реализованное через участие в капитале указанных публичных акционерных обществ;
г) руководитель и (или) главный бухгалтер (при наличии) лизингодателя не имеют неснятой и (или) непогашенной судимости за совершение умышленного преступления;
д) не включен в реестры недобросовестных поставщиков (подрядчиков, исполнителей), ведение которых осуществляется в соответствии с Федеральным законом "О закупках товаров, работ, услуг отдельными видами юридических лиц" и Федеральным законом "О контрактной системе в сфере закупок товаров, работ, услуг для обеспечения государственных и муниципальных нужд";
е) у лизингодателя на едином налоговом счете отсутствует или не превышает размера, определенного пунктом 3 статьи 47 Налогового кодекса Российской Федерации, задолженность по уплате налогов, сборов и страховых взносов в бюджеты бюджетной системы Российской Федерации;
ж) у лизингодателя отсутствует просроченная задолженность по возврату в федеральный бюджет субсидий, бюджетных инвестиций, предоставленных в соответствии с правовыми актами Правительства Российской Федерации, и просроченная (неурегулированная) задолженность по денежным обязательствам перед Российской Федерацией;
з) в реестре дисквалифицированных лиц отсутствуют сведения о дисквалифицированных руководителе, лице, исполняющем функции единоличного исполнительного органа, или главном бухгалтере (при наличии) лизингодателя;
и) не находится в перечне организаций и физических лиц, в отношении которых имеются сведения об их причастности к экстремистской деятельности или терроризму;
к) не находится в составляемых в рамках реализации полномочий, предусмотренных главой VII Устава ООН, Советом Безопасности ООН или органами, специально созданными решениями Совета Безопасности ООН, перечнях организаций и физических лиц, связанных с террористическими организациями и террористами или с распространением оружия массового уничтожения;
л) не является иностранным агентом в соответствии с Федеральным законом "О контроле за деятельностью лиц, находящихся под иностранным влиянием";
м) общая сумма задолженности лизингополучателей перед лизингодателем и (или) группой лиц лизингодателя, определяемой в соответствии со статьей 9 Федерального закона "О защите конкуренции" (далее - группа лиц лизингодателя), по действующим договорам финансовой аренды (лизинга), по данным финансовой отчетности лизингодателя и (или) лиц, входящих в группу лиц лизингодателя и осуществляющих лизинговую деятельность, на последнюю отчетную дату, предшествующую дате представления документов, предусмотренных пунктом 18 настоящих Правил, составляет не менее 100,0 миллиардов рублей, за исключением случаев, предусмотренных пунктом 20 настоящих Правил;
н) имеет рейтинг кредитоспособности не ниже уровня "A (RU)" по национальной рейтинговой шкале для Российской Федерации, присвоенного кредитным рейтинговым агентством Аналитическое Кредитное Рейтинговое Агентство (Акционерное общество), и (или) не ниже уровня "ruA" по национальной рейтинговой шкале для Российской Федерации, присвоенного кредитным рейтинговым агентством Акционерное общество "Рейтинговое Агентство "Эксперт РА", и (или) не ниже уровня "A|ru|" по национальной рейтинговой шкале для Российской Федерации, присвоенного кредитным рейтинговым агентством общество с ограниченной ответственностью "Национальное Рейтинговое Агентство", за исключением случаев, предусмотренных пунктом 20 настоящих Правил.
20. В случае если лизингодатель не соответствует требованию, предусмотренному подпунктом "м" пункта 19 настоящих Правил или подпунктом "н" пункта 19 настоящих Правил, договором займа со специализированным обществом должно быть предусмотрено, что исполнение обязательств лизингодателя по возврату суммы займа (погашению суммы основного долга) и по уплате процентов за пользование суммой займа по договору займа со специализированным обществом обеспечивается поручительством или банковской гарантией юридического лица, которое имеет рейтинг кредитоспособности не ниже уровня "A (RU)" по национальной рейтинговой шкале для Российской Федерации, присвоенного кредитным рейтинговым агентством Аналитическое Кредитное Рейтинговое Агентство (Акционерное общество), и (или) не ниже уровня "ruA" по национальной рейтинговой шкале для Российской Федерации, присвоенного кредитным рейтинговым агентством Акционерное общество "Рейтинговое Агентство "Эксперт РА", и (или) не ниже уровня "A|ru|" по национальной рейтинговой шкале для Российской Федерации, присвоенного кредитным рейтинговым агентством общество с ограниченной ответственностью "Национальное Рейтинговое Агентство".
В случае если лизингодатель не соответствует требованиям, предусмотренным подпунктами "м" и "н" пункта 19 настоящих Правил, договором займа со специализированным обществом должно быть предусмотрено, что исполнение обязательств лизингодателя по возврату суммы займа (погашению суммы основного долга) и по уплате процентов за пользование суммой займа по договору займа со специализированным обществом обеспечивается поручительством или банковской гарантией юридического лица, входящего в одну группу лиц с лизингодателем, которое имеет рейтинг кредитоспособности не ниже уровня "AA (RU)" по национальной рейтинговой шкале для Российской Федерации, присвоенного кредитным рейтинговым агентством Аналитическое Кредитное Рейтинговое Агентство (Акционерное общество), и (или) не ниже уровня "ruAA" по национальной рейтинговой шкале для Российской Федерации, присвоенного кредитным рейтинговым агентством Акционерное общество "Рейтинговое Агентство "Эксперт РА", и (или) не ниже уровня "AA|ru|" по национальной рейтинговой шкале для Российской Федерации, присвоенного кредитным рейтинговым агентством общество с ограниченной ответственностью "Национальное Рейтинговое Агентство".
21. Специализированное общество вправе предоставлять лизингодателю заем по договору займа со специализированным обществом в случае, если договор лизинга соответствует следующим требованиям на дату его заключения:
а) лизингополучателем является государственный орган (в том числе орган государственной власти), государственное казенное учреждение, действующие от имени Российской Федерации или субъекта Российской Федерации, муниципальный орган, муниципальное казенное учреждение, действующие от имени муниципального образования, уполномоченные принимать бюджетные обязательства в соответствии с бюджетным законодательством Российской Федерации от имени Российской Федерации, субъекта Российской Федерации или муниципального образования соответственно, созданное Российской Федерацией, субъектом Российской Федерации, муниципальным образованием унитарное предприятие или бюджетное, автономное учреждение, хозяйственное общество, доля Российской Федерации, субъекта Российской Федерации, муниципального образования в уставном (складочном) капитале которого составляет более 50 процентов, региональный оператор по обращению с твердыми коммунальными отходами или оператор по обращению с твердыми коммунальными отходами, а также иные юридические лица, образованные в соответствии с законодательством Российской Федерации, индивидуальные предприниматели и физические лица, являющиеся гражданами Российской Федерации;
б) предметом лизинга является техника, соответствующая одновременно следующим требованиям:
техника, являющаяся предметом лизинга, классифицируется в соответствии с Общероссийским классификатором продукции по видам экономической деятельности (ОКПД 2) кодами: 28.22.11.190 (подъемники самоходные), 28.22.14.125, 28.22.14.151, 28.22.14.159 (в части техники, в отношении которой выдается электронный паспорт самоходной машины и других видов техники), 28.22.15, 28.22.18.390, 28.30.23.110, 28.30.4, 28.30.51, 28.30.7, 28.30.86.110, 28.30.86.130, 28.92.21, 28.92.22, 28.92.24.111, 28.92.24.119, 28.92.24.120, 28.92.25, 28.92.26, 28.92.27, 28.92.30.110, 28.92.30.150, 28.92.30.160, 28.92.30.170, 28.92.30.190, 28.99.39.190, 29.10.59.130 (в части техники, в отношении которой выдается электронный паспорт самоходной машины и других видов техники), 29.10.59.320 (в части техники, в отношении которой выдается электронный паспорт самоходной машины и других видов техники), 29.20.23.130, 30.99.10.120;
сведения о технике, являющейся предметом лизинга, включены в реестр российской промышленной продукции, размещаемый в государственной информационной системе промышленности, предусмотренный статьей 17.1 Федерального закона "О промышленной политике в Российской Федерации", и в том числе содержат для техники, в отношении которой предусмотрены показатели локализации, информацию о совокупном количестве баллов за выполнение (освоение) на территории Российской Федерации таких операций (условий) и баллов за выполнение на территории Российской Федерации научно-исследовательских и опытно-конструкторских работ с указанием срока действия таких баллов в соответствии с актом экспертизы Торгово-промышленной палаты Российской Федерации, а также наименование и реквизиты акта экспертизы Торгово-промышленной палаты Российской Федерации, устанавливающего количество баллов за выполнение на территории Российской Федерации научно-исследовательских и опытно-конструкторских работ, или информацию о совокупном количестве баллов за выполнение (освоение) на территории Российской Федерации таких операций (условий), максимально возможном количестве баллов и о процентном показателе совокупного количества баллов от максимально возможного количества баллов, значение которого установлено в соответствии с постановлением Правительства Российской Федерации от 17 июля 2015 г. N 719 "О подтверждении производства российской промышленной продукции" для целей получения мер государственной поддержки;
техника, являющаяся предметом лизинга, произведена не ранее чем за 3 года до года заключения договора лизинга, ранее не передавалась в финансовую аренду (лизинг), не была в собственности физического лица, в отношении ее не проводилась регистрация в государственных органах в случаях, когда предмет лизинга подлежит такой регистрации в соответствии с законодательством Российской Федерации (за исключением случаев, если регистрация осуществлена во исполнение договора лизинга);
техника, являющаяся предметом лизинга, приобретена у производителя (завода-изготовителя) и (или) у официального торгового представителя (дистрибьютора, дилера) такого производителя (завода-изготовителя), который приобретает технику напрямую у производителя (завода-изготовителя) и (или) официального торгового представителя (дистрибьютора, дилера) производителя (завода-изготовителя).
Допускается замена техники, являющейся предметом лизинга на дату заключения договора лизинга, на основании дополнительного соглашения к нему, в том числе после выдачи займа, при условии соответствия договора лизинга с учетом указанного дополнительного соглашения требованиям настоящего пункта;
в) срок лизинга в соответствии с договором лизинга составляет не менее 36 месяцев и не более 84 месяцев;
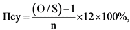
г) размер процента среднегодового удорожания предмета лизинга по договору лизинга составляет не более 10 процентов. Указанный процент среднегодового удорожания (Псу) определяется по формуле:

где:
O - сумма платежей по договору лизинга, подлежащая уплате лизингополучателем лизингодателю, за вычетом налога на добавленную стоимость, уменьшенная на расходы лизингодателя по имущественному страхованию предмета лизинга;
S - сумма расходов лизингодателя за вычетом налога на добавленную стоимость, связанных с приобретением предмета лизинга и его последующей передачей лизингополучателю и предусмотренных договором лизинга;
n - общее количество месяцев в предусмотренном договором лизинга инвестиционно-платежном графике, которое рассчитывается, начиная с даты первого лизингового платежа либо даты первого платежа лизингодателя производителю (заводу-изготовителю) или официальному торговому представителю такого производителя (завода-изготовителя) в зависимости от того, какой из них осуществлен ранее, до даты последнего лизингового платежа;
В случае если размер процента среднегодового удорожания предмета лизинга, предусмотренного договором лизинга на дату его заключения, не соответствует требованию, предусмотренному настоящим подпунктом, специализированное общество вправе предоставлять заем по договору займа со специализированным обществом в случае, если указанный размер процента среднегодового удорожания предмета лизинга уменьшен на основании дополнительного соглашения к договору лизинга в целях приведения договора лизинга в соответствие с настоящими Правилами.
д) договор лизинга заключен не ранее 1 января 2025 года.
22. Договор займа со специализированным обществом заключается на срок не менее 3 лет и предусматривает в том числе:
а) положение о зачислении предоставляемых по договору займа со специализированным обществом денежных средств на банковский счет лизингодателя, открытый в уполномоченном банке в сфере жилищного строительства;
б) обязательство лизингодателя по представлению на ежеквартальной основе информации о ходе исполнения договоров лизинга, на цели приобретения предметов лизинга и их последующей передачи лизингополучателю, по которым предоставлен заем по договору займа со специализированным обществом;
в) в случаях, предусмотренных пунктом 20 настоящих Правил, обязательство по обеспечению исполнения обязательств лизингодателя по возврату суммы займа (погашению суммы основного долга) и по уплате процентов за пользование суммой займа по договору займа со специализированным обществом, соответствующее требованиям, предусмотренным пунктом 20 настоящих Правил;
г) перечень документов, предоставляемых лизингодателем специализированному обществу в целях получения займа по договору займа со специализированным обществом, а также порядок их представления.
23. Для получения займа по договору займа со специализированным обществом лизингодатель представляет специализированному обществу документы, перечень и порядок представления которых в соответствии с подпунктом "г" пункта 22 настоящих Правил предусматривается в договоре займа со специализированным обществом.
24. Специализированное общество отказывает в выдаче займа по договору займа со специализированным обществом в случае несоответствия договора лизинга требованиям, предусмотренным пунктом 21 настоящих Правил.
Приложение N 2
к Решению о порядке
предоставления субсидии
N 25-68905-01946-Р
ПРАВИЛА
ВОЗМЕЩЕНИЯ СПЕЦИАЛИЗИРОВАННЫМ ОБЩЕСТВАМ ПРОЕКТНОГО
ФИНАНСИРОВАНИЯ ЗАТРАТ ПО ВЫПЛАТЕ ПРОЦЕНТНОГО (КУПОННОГО)
ДОХОДА ПО ОБЛИГАЦИЯМ, РАЗМЕЩАЕМЫМ В ЦЕЛЯХ РЕАЛИЗАЦИИ
ИНВЕСТИЦИОННЫХ ПРОЕКТОВ ПО ПРИОБРЕТЕНИЮ НА ЛЬГОТНЫХ
УСЛОВИЯХ СТРОИТЕЛЬНО-ДОРОЖНОЙ И КОММУНАЛЬНОЙ ТЕХНИКИ
НА ОСНОВЕ ФИНАНСОВОЙ АРЕНДЫ (ЛИЗИНГА)
1. Настоящие Правила устанавливают условия и порядок возмещения публичным акционерным обществом "ДОМ.РФ" (далее - общество) специализированным обществам проектного финансирования затрат по выплате процентного (купонного) дохода по облигациям, размещение которых предусмотрено Правилами финансирования инвестиционных проектов по приобретению на льготных условиях строительно-дорожной и коммунальной техники на основе финансовой аренды (лизинга) с использованием облигаций специализированного общества проектного финансирования, утвержденными Решением о порядке предоставления субсидии N 25-68905-01946-Р (далее соответственно - затраты, процентный (купонный) доход, Правила финансирования проектов).
2. В целях реализации настоящих Правил под специализированным обществом проектного финансирования понимается специализированное общество, 100 процентов акций (долей участия в уставном капитале) которого принадлежит единому институту развития в жилищной сфере, определенному Федеральным законом "О содействии развитию и повышению эффективности управления в жилищной сфере и о внесении изменений в отдельные законодательные акты Российской Федерации" (далее - специализированное общество).
3. Возмещение затрат осуществляется обществом посредством перечисления специализированному обществу средств, источником которых является субсидия, предоставленная обществу в соответствии с Решением о порядке предоставления субсидии N 25-68905-01946-Р (далее соответственно - средства, субсидия), на основании договора, заключаемого между обществом и специализированным обществом (далее - договор о предоставлении средств), в рамках исполнения обществом обязательств по соглашению о предоставлении субсидии, заключенному между Министерством промышленности и торговли Российской Федерации и обществом.
4. Размер затрат специализированного общества (S), подлежащих возмещению, рассчитывается по формуле:

где:
KCt - значение ключевой ставки Центрального банка Российской Федерации, действующей на каждый день t периода, за который начисляется процентный (купонный) доход;
t - день периода, за который начисляется процентный (купонный) доход;
заем СОПФt - сумма займов, предоставленных специализированным обществом в соответствии с Правилами финансирования проектов, на конец каждого дня t периода, за который начисляется процентный (купонный) доход с учетом возвратов;
n - количество дней в году, в котором начисляется процентный (купонный доход) (365 или 366 дней).
5. Для получения средств специализированное общество представляет обществу не позднее 10-го рабочего дня месяца, следующего за кварталом, в котором специализированным обществом производились выплаты процентного (купонного) дохода, а в отношении выплат процентного (купонного) дохода, произведенных с 1 октября по 10 декабря соответствующего года, - не позднее 15 декабря соответствующего года, заявку на получение средств по форме согласно приложению N 1 к настоящим Правилам (далее - заявка) с приложением копий платежных документов, подтверждающих выплату специализированным обществом процентного (купонного) дохода за соответствующий период, а также расчета суммы затрат, подлежащих возмещению в соответствии с пунктом 3 настоящих Правил.
6. Договор о предоставлении средств заключается путем обмена между обществом и специализированным обществом заявкой и уведомлением о предоставлении средств, указанным в пункте 8 настоящих Правил.
Предмет договора о передаче обществом специализированному обществу средств на возмещение затрат определяется в соответствии с заявкой, уведомлением о предоставлении средств, указанным в пункте 8 настоящих Правил, а также условиями и порядком информационного взаимодействия, указанного в пункте 17 настоящих Правил.
7. Общество проверяет представленную специализированным обществом заявку и документы, указанные в пункте 5 настоящих Правил, на соответствие форме и содержанию приложения N 1 к настоящим Правилам, а также на полноту и достоверность содержащихся в них сведений, и принимает решение о предоставлении средств или об отказе в предоставлении средств.
8. В случае принятия решения о предоставлении средств общество направляет в специализированное общество уведомление о предоставлении средств, а также осуществляет перечисление таких средств на указанный в заявке расчетный счет специализированного общества, открытый в кредитной организации, не позднее чем через 7 рабочих дней со дня принятия решения о предоставлении средств.
9. В случае принятия решения об отказе в предоставлении средств общество направляет в специализированное общество уведомление об отказе с указанием оснований, предусмотренных пунктом 10 настоящих Правил, не позднее чем через 7 рабочих дней со дня принятия решения об отказе в предоставлении средств.
10. Основаниями для отказа специализированному обществу в предоставлении средств являются:
а) несоответствие представленной заявки и документов, указанных в пункте 5 настоящих Правил, форме и содержанию приложения N 1 к настоящим Правилам;
б) установление факта недостоверности представленной специализированным обществом информации;
11. В случае отказа специализированному обществу в предоставлении средств общество принимает решение о предоставлении обществу средств после устранения обществом не позднее 10-го рабочего дня со дня, следующего за днем получения уведомления об отказе, указанного в пункте 9 настоящих Правил, оснований такого отказа.
12. Специализированное общество ежеквартально не позднее 10 рабочего дня месяца, следующего за отчетным кварталом, представляет обществу отчет об использовании средств займов, предоставленных по договорам займа, заключенным со специализированным обществом в соответствии с Правилами финансирования проектов по форме определенной согласно приложению N 2 к настоящим Правилам.
В случае, предусмотренным абзацем вторым и третьим пункта 17 Правил финансирования проектов, специализированное общество осуществляет возврат соответствующих средств в порядке, предусмотренном пунктами 13 и 14 настоящих Правил.
13. При несоблюдении специализированным обществом установленных настоящими Правилами условий возмещения затрат полученные специализированным обществом средства подлежат возврату обществу в течение 5 рабочих дней со дня получения письменного требования общества о возврате средств.
14. В случае просрочки исполнения обязанности по возврату обществу указанных в пункте 12 настоящих Правил средств специализированное общество обязано уплатить обществу штраф, размер которого составляет одну трехсотую ключевой ставки Центрального банка Российской Федерации, действующей на дату истечения срока возврата средств обществу, от подлежащей возврату суммы средств за каждый день просрочки.
15. Указанные в настоящих Правилах документы формируются и передаются в форме электронного документа, подписанного усиленной квалифицированной электронной подписью должностного лица, уполномоченного на подписание таких документов. Обмен документами между специализированным обществом и обществом осуществляется с использованием единой информационной системы жилищного строительства (при наличии технической возможности).
16. Отсутствие технической или организационной возможности использования для информационного взаимодействия общества и специализированных обществ единой информационной системы жилищного строительства не может являться основанием для отказа в принятии и рассмотрении обществом документов специализированных обществ. В указанных случаях документы могут направляться обществу на бумажном носителе с использованием почтовой или курьерской доставки, при этом электронные копии таких документов размещаются в единой информационной системе жилищного строительства (при наличии технической возможности).
Общество размещает информацию об отсутствии технической или организационной возможности использования для информационного взаимодействия общества и специализированного общества указанной в пункте 15 настоящих Правил единой информационной системы жилищного строительства на своем официальном сайте в сети "Интернет".
17. Условия и порядок информационного взаимодействия общества и специализированного общества в связи с возмещением затрат в соответствии с настоящими Правилами, в том числе в части определения содержания и форм документов, используемых при таком взаимодействии, определяются об и размещаются на его официальном сайте в информационно-телекоммуникационной сети "Интернет".
Направляя обществу предусмотренные настоящими Правилами заявки, документы, обращения и уведомления специализированное общество выражает согласие на выполнение его требований, установленных указанными условиями и порядком информационного взаимодействия.
Приложение N 1
к Правилам возмещения специализированным
обществам проектного финансирования затрат
по выплате процентного (купонного) дохода
по облигациям, размещаемым в целях
реализации инвестиционных проектов
по приобретению на льготных условиях
строительно-дорожной и коммунальной
техники на основе финансовой
аренды (лизинга)
(форма)
В публичное акционерное общество "ДОМ.РФ"
ЗАЯВКА
специализированного общества проектного финансирования на получение средств
В соответствии с Правилами возмещения специализированным обществам проектного финансирования затрат по выплате процентного (купонного) дохода по облигациям, размещаемым в целях реализации инвестиционных проектов по приобретению на льготных условиях строительно-дорожной и коммунальной техники на основе финансовой аренды (лизинга), утвержденными Решением о порядке предоставления субсидии N 25-68905-01946-Р (далее - Правила), прошу предоставить средства специализированному обществу проектного финансирования
(наименование специализированного общества проектного финансирования)
(далее - специализированное общество) в целях возмещения затрат специализированного общества по выплате процентного (купонного) дохода по облигациям, размещение которых предусмотрено Правилами финансирования инвестиционных проектов по приобретению на льготных условиях строительно-дорожной и коммунальной техники на основе финансовой аренды (лизинга) с использованием облигаций специализированного общества проектного финансирования, утвержденными Решением о порядке предоставления субсидии N 25-68905-01946-Р (далее соответственно - облигации, Правила финансирования проектов), в соответствии со следующими условиями:
1. Средства предоставляются в целях возмещения затрат специализированного общества по выплате процентного (купонного) дохода владельцам облигаций следующего выпуска (выпусков) _____________________________________________.
2. Размер выплаченного процентного (купонного) дохода составляет ________________ рублей __ копеек.
3. Даты начала и окончания периода (периодов), за который специализированным обществом выплачивается процентный (купонный) доход: ______________________.
4. Сумма займов, предоставленных специализированным обществом в соответствии с Правилами финансирования проектов (на конец каждого дня периода, за который осуществляется выплата процентного (купонного) дохода): _________________________________________________________________________
(сведения о договорах займа представлены в приложении к настоящей заявке).
5. Сумма подлежащих возмещению в соответствии с пунктом 3 Правил затрат специализированного общества, в соответствии с копиями платежных документов специализированного общества, подтверждающих выплату процентного (купонного) дохода по облигациям, и прилагаемым расчетом суммы затрат составляет ___________ рублей __ копеек.
6. Корректировка ранее выплаченного возмещения:
- размер корректировки: __________________________________________________;
- основание корректировки: ______________________________________________.
7. Реквизиты банковского счета специализированного общества для перечисления средств: __________________________________________________________________.
Направляя настоящую заявку специализированное общество:
выражает согласие на получение возмещения на условиях и в порядке, которые предусмотрены Правилами, а также на осуществление публичным акционерным обществом "ДОМ.РФ" (далее - общество) и (или) Министерством промышленности и торговли Российской Федерации контроля за соблюдением порядка соответствующего возмещения;
обязуется в течение 5 рабочих дней со дня получения требования общества о возврате средств при несоблюдении порядка возмещения затрат по выплате процентного (купонного) дохода по облигациям возвратить денежные средства, полученные от общества. В случае просрочки исполнения обязанности по возврату обществу выплаченного возмещения специализированное общество обязано уплатить обществу штраф, размер которого составляет одну трехсотую ключевой ставки Центрального банка Российской Федерации, действующей на дату истечения срока возврата обществу выплаченного возмещения затрат, от подлежащей возврату суммы выплаченного возмещения недополученных доходов, за каждый день просрочки;
подтверждает соответствие договоров займа, представленных в приложении к настоящей заявке, требованиям, установленным Правилами финансирования проектов.
Специализированное общество подтверждает и гарантирует, что все указанные в настоящей заявке и прилагаемых к ней документах сведения являются достоверными.
"__" _________ 20__ г.
(должность)
(подпись)
(фамилия и инициалы)
Сведения
о займах, предоставленных специализированным обществом в течение купонного периода, затраты на выплату процентного (купонного) дохода за который подлежат возмещению
Дата заполнения настоящего документа ____________________
Информация о договоре займа (все поля являются обязательными для заполнения)
Информация о договоре лизинга <1>
номер договора займа
ИНН заемщика
дата заключения договора займа
дата окончания договора займа
сумма займа по договору займа (рублей)
процентная ставка по договору займа (процент)
остаток основного долга на конец отчетного периода (рублей)
номер договора лизинга
дата заключения договора лизинга
1
2
3
4
5
6
7
8
9
Уполномоченное лицо специализированного общества
Ф.И.О.
подпись
телефон
"
--------------------------------
<1> Указываются сведения о заключенных договорах лизинга специальной техники, приобретенной за счет средств займа (при наличии на отчетную дату).
Приложение N 2
к Правилам возмещения специализированным
обществам проектного финансирования затрат
по выплате процентного (купонного) дохода
по облигациям, размещаемым в целях
реализации инвестиционных проектов
по приобретению на льготных условиях
строительно-дорожной и коммунальной
техники на основе финансовой
аренды (лизинга)
(форма)
ОТЧЕТ
об использовании средств займов
(все поля являются обязательными для заполнения)
Дата заполнения настоящего документа ____________________
Информация о займе <2>
Информация о договорах лизинга и поставки техники
(заполняется отдельно в отношении каждого договора лизинга)
номер договора займа
ИНН заемщика
сумма займа по договору (рублей)
фактически предоставленная сумма займа на конец отчетного квартала (рублей)
номер договора лизинга
дата заключения договора лизинга
срок договора лизинга
срок поставки техники
предмет договора
ИНН лизингополучателя
размер удорожания по договору лизинга (процент)
план
факт
кол-во единиц техники
код <3>
заключение <4>
1
2
3
4
5
6
7
8
9
10
11
12
13
14
Код территории (наименование субъекта Российской Федерации) - местоположение лизингополучателя
Уполномоченное лицо специализированного общества
Ф.И.О.
подпись
телефон
--------------------------------
<2> Указываются сведения о договоре займа, за счет средств которого приобретена специальная техника, предоставленная по договору лизинга.
<3> Указывается код (коды) приобретенной по договору техники в соответствии с Общероссийским классификатором продукции по видам экономической деятельности (ОКПД 2);
<4> Указывается информация о наличии заключения о подтверждении производства промышленной продукции на территории Российской Федерации.
Утверждено:
Руководитель (уполномоченное лицо)
Заместитель Министра промышленности и торговли Российской Федерации
Каримов А.А.
(должность)
(подпись)
(фамилия, инициалы)
1
Декабря
2025
г.
Согласовано:
Руководитель (уполномоченное лицо)
Референт
Бикаленко М.С.
(должность)
(подпись)
(фамилия, инициалы)
11
Декабря
2025
г.