Решение Минпромторга России от 10.11.2025 N 22-60461-00371-Р
МИНИСТЕРСТВО ПРОМЫШЛЕННОСТИ И ТОРГОВЛИ РОССИЙСКОЙ ФЕДЕРАЦИИ
РЕШЕНИЕ
от 10 ноября 2025 г. N 22-60461-00371-Р
Версия 4
Коды
10.11.2025
Главный распорядитель бюджетных средств
Министерство промышленности и торговли Российской Федерации
по БК
020
Бюджет
Федеральный бюджет
по ОКТМО
00000001
Направление расходов
Субсидия автономной некоммерческой организации "Агентство по технологическому развитию" на поддержку проектов, предусматривающих разработку конструкторской документации на комплектующие изделия, необходимые для отраслей промышленности
по БК
60461
Национальный проект
по БК
Государственная программа
Государственная программа Российской Федерации "Развитие промышленности и повышение ее конкурентоспособности"
по БК
16
Структурный элемент
Федеральный проект "Содействие в реализации инвестиционных проектов и поддержка производителей высокотехнологической продукции в гражданских отраслях промышленности"
по БК
08
Целевая статья расходов
Субсидия автономной некоммерческой организации "Агентство по технологическому развитию" на поддержку проектов, предусматривающих разработку конструкторской документации на комплектующие изделия, необходимые для отраслей промышленности
по БК
16 2 08 60461
1. Общая информация
Наименование субсидии
Субсидия автономной некоммерческой организации "Агентство по технологическому развитию" на поддержку проектов, предусматривающих разработку конструкторской документации на комплектующие изделия, необходимые для отраслей промышленности
Цель предоставления субсидии
финансовое обеспечение проектов, предусматривающих разработку конструкторской документации на комплектующие изделия, необходимые для отраслей промышленности
Тип субсидии
Субсидии "операторам" (для последующего предоставления средств иным лицам)
Способ предоставления средств из бюджета
финансовое обеспечение затрат
Способ отбора получателей
не требуется
Для служебного пользования
Нет
Направлена на реализацию новаций в сфере искусственного интеллекта
Нет
Используемые понятия
"оператор" - автономная некоммерческая организация "Агентство по технологическому развитию";
"вознаграждение" - процентные отчисления от суммы выручки, полученной производителем при реализации произведенных в соответствии с конструкторской документацией комплектующих, выплачиваемые производителем оператору в качестве возмещения за использование конструкторской документации, разработанной в рамках проекта;
"грант" - средства, источником финансового обеспечения которых полностью или частично является субсидия, предоставленная оператору из федерального бюджета в соответствии с настоящим Решением, полученные исполнителем на основании договора о предоставлении гранта, заключенного между оператором и получателем гранта в целях реализации проекта по результатам проведенного конкурса;
"исполнитель" - российская организация, осуществляющая деятельность в области разработки (либо разработки и производства) комплектующих, необходимых для отраслей промышленности, включенная в реестр потенциальных исполнителей;
"квалификация" - процедура отбора российских организаций, проводимая оператором с использованием государственной информационной системы промышленности согласно методике, утвержденной оператором по согласованию с Министерством промышленности и торговли Российской Федерации, в целях формирования реестров потенциальных исполнителей и потенциальных производителей;
"комплектующие изделия, необходимые для отраслей промышленности" - классифицируемые в соответствии с Общероссийским классификатором продукции по видам экономической деятельности (ОКПД 2) критически важные комплектующие изделия, производство которых на территории Российской Федерации ограничено или отсутствует, и включающие функционально и конструктивно законченные изделия, запасные части, узлы, системы, агрегаты, инструменты и принадлежности, представляющие собой отдельные компоненты, в том числе сырье и материалы, или их комплекс, применяемые как составные части продукции, используемые по назначению (далее - комплектующие). Перечень таких комплектующих, необходимых для отраслей промышленности, утверждается межведомственной комиссией по вопросам развития производства критических комплектующих, формируемой Министерством промышленности и торговли Российской Федерации;
"конкурс" - способ осуществления отбора исполнителей на право получения гранта на реализацию проекта, предусматривающего разработку конструкторской документации на комплектующие (далее - грант), проводимый оператором исходя из наилучших условий достижения результата, в целях достижения которого предоставляется грант;
"перечень приоритетных комплектующих" - утверждаемый оператором перечень комплектующих, спрос на которые подтвержден организациями, являющимися потребителями комплектующих, посредством направления оператору писем-обоснований, с учетом которого проводится конкурс по отбору исполнителей;
"письмо-обоснование" - письмо, составленное потребителем комплектующих по установленным оператором формам, подписанное руководителем или уполномоченным лицом потребителя (с представлением документов, подтверждающих полномочия указанного лица), содержащее предложения по формированию перечня приоритетных комплектующих и информацию, подтверждающую необходимость их включения в указанный перечень, с целью дальнейшего приобретения таких комплектующих, произведенных на основе разработанной конструкторской документации;
"получатель гранта" - российская организация, соответствующая требованиям, предусмотренным положениями настоящего Решения, и заключившая с оператором договор о предоставлении гранта;
"потребитель комплектующих" - российская организация, использующая комплектующие в собственной деятельности и не являющаяся исполнителем в рамках проекта;
"проект" - ограниченный по времени и ресурсам комплекс мероприятий, предусматривающий разработку конструкторской документации на комплектующее;
"производитель" - российская организация, осуществляющая выпуск комплектующих и включенная в реестр потенциальных производителей и (или) реестр потенциальных исполнителей (в случае, если в роли производителя выступает исполнитель);
"разработка конструкторской документации" - мероприятия, направленные на разработку документации, необходимой для производства комплектующих (технологической, и (или) рабочей (рабочей конструкторской), и (или) производственной и программной документации, и (или) документации серийного (массового) производства, и (или) технологического регламента), включая изготовление макетов, стендов, производство и испытания опытных образцов (опытной партии) комплектующих, исследование изделий сравнения;
"реестр потенциальных исполнителей" - перечень российских организаций, содержащий информацию о российских организациях, которые могут выступать в качестве исполнителей по разработке конструкторской документации, формируемый и утверждаемый оператором в соответствии с результатами квалификации;
"реестр потенциальных производителей" - формируемый и утверждаемый оператором в соответствии с результатами квалификации перечень российских организаций, содержащий информацию о российских организациях, которые могут выступать в качестве производителей комплектующих, конструкторская документация на которые разработана в рамках проектов;
"стоимость проекта" - объем финансовых ресурсов, необходимый для реализации проекта и состоящий из средств гранта и внебюджетного финансирования;
"сырье" - вторичные ресурсы, которые могут быть использованы или уже используются в каком-либо производственном процессе.
2. Информация о получателях субсидии
Перечень получателей субсидии
Код организации по Сводному реестру
Наименование получателя субсидии
ИНН
КПП
Основание для определения конкретного получателя субсидии (правовой акт, международное соглашение)
450К5943
АВТОНОМНАЯ НЕКОММЕРЧЕСКАЯ ОРГАНИЗАЦИЯ "АГЕНТСТВО ПО ТЕХНОЛОГИЧЕСКОМУ РАЗВИТИЮ"
7703413100
770301001
Федеральный закон от 30.11.2024 N 419-ФЗ "О федеральном бюджете на 2025 год и на плановый период 2026 и 2027 годов"
Категории получателей субсидии
Категория
Тип субъекта экономической деятельности
Автономные некоммерческие организации
Юридическое лицо
Требования к получателям субсидии
Наименование требования
Подтверждающий соответствие требованию документ
Участник отбора (получатель субсидии) не является российским юридическим лицом, в уставном (складочном) капитале которого доля прямого или косвенного (через третьих лиц) участия иностранных юридических лиц, местом регистрации которых является государство или территория, включенные в утверждаемый Министерством финансов Российской Федерации перечень государств и территорий, используемых для промежуточного (офшорного) владения активами в Российской Федерации, в совокупности превышает 25 процентов (если иное не предусмотрено законодательством Российской Федерации)
Заявка
Участник отбора (получатель субсидии) не является иностранным юридическим лицом, в том числе местом регистрации которого является государство или территория, включенные в утверждаемый Министерством финансов Российской Федерации перечень государств и территорий, используемых для промежуточного (офшорного) владения активами в Российской Федерации
Заявка
Участник отбора (получатель субсидии) не должен получать средства из федерального бюджета (бюджета субъекта Российской Федерации, местного бюджета), из которого планируется предоставление субсидии, на основании иных нормативных правовых актов Российской Федерации (нормативных правовых актов субъекта Российской Федерации, муниципальных правовых актов), решений о порядке предоставления субсидии на цели, установленные решением о порядке предоставления субсидии, в целях определения получателей которой проводится отбор получателей субсидий
Заявка
Участник отбора (получатель субсидии) не является иностранным агентом в соответствии с Федеральным законом "О контроле за деятельностью лиц, находящихся под иностранным влиянием"
Заявка
Отсутствует просроченная задолженность по возврату иных субсидий, бюджетных инвестиций в бюджет бюджетной системы Российской Федерации, из которого планируется предоставление субсидии
Заявка
Отсутствует иная просроченная (неурегулированная) задолженность по денежным обязательствам перед Российской Федерацией
Заявка
Участник отбора (получатель субсидии) не находится в перечне организаций и физических лиц, связанных с распространением оружия массового уничтожения, составляемом в рамках реализации полномочий, предусмотренных главой VII Устава ООН, Советом Безопасности ООН или органами, специально созданными решениями Совета Безопасности ООН
Заявка
Участник отбора (получатель субсидии) не находится в перечне организаций и физических лиц, связанных с террористическими организациями и террористами, составляемом в рамках реализации полномочий, предусмотренных главой VII Устава ООН, Советом Безопасности ООН или органами, специально созданными решениями Совета Безопасности ООН
Заявка
Участник отбора не должен находиться в перечне организаций и физических лиц, в отношении которых имеются сведения об их причастности к экстремистской деятельности или терроризму
Заявка
Требования к получателям субсидии
Наименование требования
Подтверждающий соответствие требованию документ
Отсутствие на едином налоговом счете или непревышение размера, определенного пунктом 3 статьи 47 НК РФ, задолженности по уплате налогов, сборов и страховых взносов в бюджеты бюджетной системы Российской Федерации
Заявка
Участник отбора (получатель субсидии) - юридическое лицо не находится в процессе реорганизации (за исключением реорганизации в форме присоединения к юридическому лицу, являющемуся участником отбора, другого юридического лица)
Заявка
В реестре дисквалифицированных лиц отсутствуют сведения о дисквалифицированном руководителе участника отбора (получателя субсидии), являющегося юридическим лицом
Заявка
В реестре дисквалифицированных лиц отсутствуют сведения о дисквалифицированных членах коллегиального исполнительного органа участника отбора (получателя субсидии), являющегося юридическим лицом
Заявка
В реестре дисквалифицированных лиц отсутствуют сведения о дисквалифицированном главном бухгалтере участника отбора (получателя субсидии), являющегося юридическим лицом
Заявка
В реестре дисквалифицированных лиц отсутствуют сведения о дисквалифицированном лице, исполняющем обязанности единоличного исполнительного органа участника отбора (получателя субсидии), являющегося юридическим лицом
Заявка
Участник отбора (получатель субсидии) - юридическое лицо не проходит процедуру ликвидации
Заявка
В отношении участника отбора (получателя субсидии) - юридического лица не введена процедура банкротства
Заявка
Деятельность участника отбора (получателя субсидии) - юридического лица не приостановлена в порядке, предусмотренном законодательством Российской Федерации
Заявка
3. Результат предоставления субсидии
Перечень результатов
Код результата
Тип результата
Наименование результата
Целевая статья: 16 2 08 60461
X255440000
Оказание услуг (выполнение работ)
Разработаны комплекты конструкторской документации на комплектующие изделия, необходимые для отраслей промышленности
Дополнительная информация о результате предоставления субсидии
1.
Значения результата предоставления субсидии и характеристик (при необходимости) включаются в соглашение о предоставлении субсидии, заключаемое Министерством промышленности и торговли Российской Федерации с оператором
4. Направления финансирования
Направления расходов, на финансовое обеспечение которых предоставляется субсидия
1.
Финансовое обеспечение затрат (расходов) получателей гранта в целях поддержки проектов, предусматривающих разработку конструкторской документации на комплектующие изделия, необходимые для отраслей промышленности
5. Условия заключения соглашения о предоставлении субсидии
![]()
Не требуется заключение соглашения
![]()
Заключение соглашения о предоставлении субсидии с привлечением иного юридического лица (агента)
![]()
Предусматривается проведение мониторинга достижения результатов
Основная отчетность
Получатель субсидии представляет:
а) отчет о достижении значений результатов предоставления субсидий, а также характеристик результатов (при их установлении);
б) отчет об осуществлении расходов, источником финансового обеспечения которых является субсидия.
Перечень дополнительной отчетности, подлежащей предоставлению получателем субсидии:
1.
отчет о целевом использовании субсидии
2.
отчет о реализации плана мероприятий по достижению результата предоставления субсидии
Иные условия предоставления отчетности:
Министерством промышленности и торговли Российской Федерации проводится мониторинг достижения результата предоставления субсидии исходя из достижения значения результата предоставления субсидии, определенного соглашением о предоставлении субсидии, и событий, отражающих факт завершения соответствующего мероприятия по получению результата предоставления субсидии (контрольной точки), в порядке и по формам, которые установлены Министерством финансов Российской Федерации
Порядок расчета размера предоставляемой субсидии
Субсидия предоставляется в размере, определенном Законом о федеральном бюджете на соответствующий финансовый год исходя из необходимости достижения результата предоставления субсидии, на основании Перечня критических комплектующих изделий, необходимых для отраслей промышленности, который утверждается межведомственной комиссией по вопросам развития производства критических комплектующих, формируемой Министерством промышленности и торговли Российской Федерации.
Оператор осуществляет софинансирование в разрезе отраслей промышленности, в случае согласования соответствующих условий и порядка предоставления и использования гранта с Министерством промышленности и торговли Российской Федерации:
не более 80 процентов затрат (расходов) по проектам, предусматривающим разработку конструкторской документации на комплектующие для отраслей промышленности;
не более 100 процентов затрат (расходов) по проектам, предусматривающим разработку конструкторской документации на комплектующие для продукции радиоэлектронной промышленности.
Порядок расчета размера средств субсидии, подлежащих возврату в бюджет в случае недостижения значений результата предоставления субсидии, и (или) применения штрафных санкций
Министерство промышленности и торговли Российской Федерации проводит проверки соблюдения оператором порядка и условий предоставления субсидии, в том числе в части достижения результата предоставления субсидии. Органы государственного финансового контроля проводят проверки в соответствии со статьями 268.1 и 269.2 Бюджетного кодекса Российской Федерации.
Ответственность за недостоверность представленных в Министерство промышленности и торговли Российской Федерации сведений, документов и несоблюдение оператором условий и порядка представления субсидии несет оператор.
В случае недостижения значений результата предоставления субсидии, выявленного в том числе по фактам проверок, проведенных Министерством промышленности и торговли Российской Федерации и (или) органом государственного (муниципального) финансового контроля, получателем субсидии осуществляется возврат средств субсидии в федеральный бюджет:
на основании требования Министерства промышленности и торговли Российской Федерации - не позднее 10-го рабочего дня со дня получения оператором указанного требования;
на основании представления и (или) предписания органа государственного финансового контроля - в сроки, установленные в соответствии с бюджетным законодательством Российской Федерации.
Размер субсидии, подлежащей возврату в доход федерального бюджета за недостижение значения результата предоставления субсидии, (C) определяется по формуле:

где:
C - общий объем средств субсидии, подлежащий возврату в федеральный бюджет (руб.), определяемый как общая сумма средств, предоставленных исполнителям за счет субсидии в рамках реализации проектов по договорам о предоставлении грантов, по которым в отчетном году были установлены, но не достигнуты результаты предоставления грантов в виде запланированного количества разработанных и представленных оператору комплектов конструкторской документации на комплектующие изделия.
Ci - объем средств гранта, подлежащий возврату оператору (руб.), определяемый как предоставленная получателю гранта в рамках реализации i-того проекта сумма средств гранта по конкретному (i-тому) договору о предоставлении гранта, по которому в отчетном году был установлен, но не достигнут результат предоставления гранта в виде запланированного количества разработанных и представленных оператору комплектов конструкторской документации на комплектующее изделие.
m - количество договоров о предоставлении грантов (ед.), по которым в отчетном году был установлен, но не достигнут результат предоставления грантов в виде запланированного количества разработанных и представленных оператору комплектов конструкторской документации на комплектующие изделия.
При этом общее количество таких договоров характеризуется недостижением оператором результата предоставления субсидии, определяемым как разница между плановым значением результата предоставления субсидии за соответствующий финансовый год и фактически достигнутым значением результата предоставления субсидии за соответствующий финансовый год.
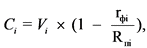
Представленная исполнителю в рамках реализации i-того проекта сумма средств гранта по конкретному (i-тому) договору о предоставлении гранта, по которому в отчетном году был установлен, не достигнут результат предоставления гранта в виде запланированного количества разработанных и представленных оператору комплектов конструкторской документации на комплектующие изделия (Ci), определяется по формуле:

где:
Vi - общий размер средств гранта (руб.), предоставленного за счет субсидии исполнителю на реализацию проекта по разработке конструкторской документации на комплектующие изделия в рамках i-того договора о предоставлении гранта;
rфi - достигнутое исполнителем значение результата предоставления гранта в рамках i-того договора о предоставлении гранта;
Rпi - плановое значение результата предоставления гранта, указанное в i-том договоре о предоставлении гранта.
В случае нарушения получателем субсидии условий, установленных при предоставлении субсидии, выявленного в том числе по фактам проверок, проведенных Министерством промышленности и торговли Российской Федерации и (или) органом государственного (муниципального) финансового контроля (за исключением случая недостижения значения результата предоставления субсидии), к получателю субсидии применяются штрафные санкции (Vfi) в объеме выявленных нарушений, увеличенные на дополнительный объем (Vsh), размер которого определяется по формуле:

где:
Vsh - дополнительный объем штрафных санкций;
Vfi - объем штрафных санкций, указанных в требовании Министерства промышленности и торговли Российской Федерации или в представлении и (или) предписании органа государственного финансового контроля;
r - размер ключевой ставки, устанавливаемой Центральным банком Российской Федерации, на дату подписания требования Министерства промышленности и торговли Российской Федерации или представления и (или) предписания органа государственного финансового контроля (в процентах);
K - количество календарных дней со дня подписания требования Министерства промышленности и торговли Российской Федерации или представления и (или) предписания органа государственного финансового контроля) по день, в который получатель субсидии обязан уплатить штрафные санкции согласно требованию Министерства промышленности и торговли Российской Федерации или представлению и (или) предписанию органа государственного финансового контроля. При этом получатель субсидии вправе осуществить их досрочное погашение ранее установленного срока.
Штрафные санкции подлежат перечислению в федеральный бюджет получателем субсидии в сроки, установленные в требовании Министерства промышленности и торговли Российской Федерации или в представлении и (или) предписании органа государственного финансового контроля.
Иные условия предоставления субсидии
Условия предоставления субсидии
Субсидия предоставляется оператору на финансовое обеспечение (расходов) получателей гранта, связанных с разработкой конструкторской документации, на основании соглашения о предоставлении субсидии, заключаемого между Министерством промышленности и торговли Российской Федерации и оператором в соответствии с типовой формой соглашения о предоставлении субсидии, установленной Министерством финансов Российской Федерации (далее - соглашение о предоставлении субсидии), в государственной интегрированной информационной системе управления общественными финансами "Электронный бюджет".
Соглашение о предоставлении субсидии содержит в том числе:
а) цель предоставления и размер субсидии;
б) условия и сроки предоставления субсидии;
в) значения результата предоставления субсидии и характеристик предоставления субсидии (при их установлении);
г) обязанность и сроки представления в соответствии с разделом 5 настоящего Решения отчета об осуществлении расходов, источником финансового обеспечения которых является субсидия, отчета о достижении значений результата предоставления субсидии и характеристик предоставления субсидии (при их установлении), отчета о реализации плана мероприятий по достижению результата предоставления субсидии в соответствии с формами, определенными типовой формой соглашения о предоставлении субсидии, установленной Министерством финансов Российской Федерации, а также обязанность, сроки и форма представления отчета о целевом использовании субсидии;
д) согласие оператора на осуществление в отношении него Министерством промышленности и торговли Российской Федерации проверки соблюдения порядка и условий предоставления субсидии и достижения результата предоставления субсидии и проверки органами государственного финансового контроля соблюдения оператором порядка и условий предоставления субсидии в соответствии со статьями 268.1 и 269.2 Бюджетного кодекса Российской Федерации, а также обязательство оператора по включению в договоры о предоставлении гранта, заключенные между оператором и получателем гранта в целях исполнения обязательств по соглашению о предоставлении субсидии (далее - договор о предоставлении гранта), положений о согласии получателей грантов на проведение указанных проверок;
е) план мероприятий оператора по достижению результата предоставления субсидии, содержащий контрольные точки по результату предоставления субсидии, плановые значения результата предоставления субсидии с указанием контрольных точек и плановых сроков их достижения;
ж) обязательство оператора по осуществлению контроля за соблюдением получателями грантов условий и порядка предоставления и использования грантов, а также мониторинга достижения значений результата предоставления гранта и характеристик результата предоставления гранта (в случае разработки и утверждения соответствующих условий и порядка предоставления и использования гранта, согласованных с Министерством промышленности и торговли Российской Федерации, - несколько характеристик результата предоставления гранта);
з) обязательство оператора по возврату в доход федерального бюджета средств субсидии в виде штрафных санкций в объеме, при использовании которого оператором были допущены нарушения условий предоставления субсидии, а также по возврату средств субсидии в случае недостижения им значения результата предоставления субсидии, выявленные в том числе по фактам проверок, проведенных Министерством промышленности и торговли Российской Федерации и органом государственного финансового контроля;
и) запрет на приобретение оператором за счет средств субсидии иностранной валюты, на размещение средств субсидии на депозитах и посредством иных финансовых инструментов, а также обязательство оператора по включению в договоры о предоставлении гранта, заключенные в целях исполнения обязательств по соглашению о предоставлении субсидии, положений о запрете на приобретение иностранной валюты за счет полученного гранта, за исключением операций, осуществляемых в соответствии с валютным законодательством Российской Федерации при закупке (поставке) высокотехнологичного импортного оборудования, сырья и комплектующих изделий;
к) порядок расчета размера средств, полученных и использованных оператором, подлежащих возврату в доход федерального бюджета в виде штрафных санкций в случае нарушения условий, установленных при предоставлении субсидии, а также расчета размера средств, подлежащих возврату в доход федерального бюджета в случае недостижения значения результата предоставления субсидии, в соответствии с настоящим Решением;
л) положения о казначейском сопровождении, установленные правилами казначейского сопровождения в соответствии с бюджетным законодательством Российской Федерации;
м) условия и порядок согласования и внесения новых условий в соглашение о предоставлении субсидии, порядок расторжения соглашения о предоставлении субсидии при недостижении согласия между Министерством промышленности и торговли Российской Федерации и оператором по новым условиям, в случае уменьшения Министерству промышленности и торговли Российской Федерации как получателю средств федерального бюджета ранее доведенных лимитов бюджетных обязательств, приводящего к невозможности предоставления субсидии в размере, определенном в соглашении о предоставлении субсидии;
н) положение о возможности осуществления расходов, источником финансового обеспечения которых является неиспользованный в отчетном финансовом году остаток субсидии, при принятии Министерством промышленности и торговли Российской Федерации как получателем средств федерального бюджета по согласованию с Министерством финансов Российской Федерации решения о наличии потребности в указанных средствах или возврате указанных средств при отсутствии в них потребности в порядке и сроки, установленные бюджетным законодательством Российской Федерации;
о) условия и порядок заключения дополнительных соглашений к соглашению о предоставлении субсидии, в том числе дополнительного соглашения о расторжении соглашения о предоставлении субсидии в соответствии с типовой формой соглашения о предоставлении субсидии, установленной Министерством финансов Российской Федерации;
п) обязательство оператора об определении критериев конкурса, способе и сроках его проведения;
р) обязательство оператора о разработке и согласовании с Министерством промышленности и торговли Российской Федерации условий и порядка предоставления и использования гранта;
с) требования к форме и содержанию договора о предоставлении гранта в соответствии с типовой формой договора о предоставлении гранта, установленной Министерством финансов Российской Федерации;
т) обязательство оператора об установлении в договоре о предоставлении гранта для каждого получателя гранта результата предоставления гранта и характеристик результата предоставления гранта, предусмотренных настоящим Решением (в случае разработки и утверждения соответствующих условий и порядка предоставления и использования гранта, согласованных с Министерством промышленности и торговли Российской Федерации, - несколько характеристик результата предоставления гранта);
у) обязательство оператора об установлении в договоре о предоставлении гранта порядка возврата и определения размера средств гранта и начисленных штрафных санкций по результатам выявленных фактов нарушений исполнителем условий предоставления и использования гранта, а также в случае недостижения исполнителем значений результата предоставления гранта и характеристик результата предоставления гранта (в случае разработки и утверждения соответствующих условий и порядка предоставления и использования гранта, согласованных с Министерством промышленности и торговли Российской Федерации, - нескольких характеристик результата предоставления гранта).
Соглашение о предоставлении субсидии не содержит возможность возмещения за счет средств субсидии затрат, произведенных оператором за счет собственных средств.
Перечень документов, предоставляемых получателем субсидии для подтверждения его соответствия установленным требованиям для получения субсидии:
а) выписка из единого государственного реестра юридических лиц, заверенная в установленном порядке, сформированная на дату не ранее чем 1-е число месяца, предшествующего месяцу, в котором подается заявка (в случае непредставления такого документа Министерство промышленности и торговли Российской Федерации запрашивает его самостоятельно);
б) справка налогового органа, подтверждающая отсутствие у оператора на дату не ранее чем 1-е число месяца, предшествующего месяцу, в котором подается заявка, на едином налоговом счете или непревышение размера, определенного пунктом 3 статьи 47 Налогового кодекса Российской Федерации, задолженности по уплате налогов, сборов и страховых взносов в бюджеты бюджетной системы Российской Федерации;
в) справка, подписанная генеральным директором или иным уполномоченным лицом оператора (с подтверждением полномочий указанного лица), подтверждающая соответствие оператора установленным требованиям. В случае непредставления такого документа и (или) предоставления указанных сведений не в полном объеме Министерство промышленности и торговли Российской Федерации запрашивает указанные сведения у уполномоченных органов власти самостоятельно;
г) план мероприятий оператора по достижению результата предоставления субсидии, утвержденный генеральным директором или иным уполномоченным лицом оператора (с подтверждением полномочий указанного лица), содержащий контрольные точки по результату предоставления субсидии, плановые значения результата предоставления субсидии с указанием контрольных точек и плановых сроков их достижения.
Ответственность за недостоверность представленных в Министерство промышленности и торговли Российской Федерации сведений, документов несет оператор.
Порядок заключения соглашения
Для заключения соглашения о предоставлении субсидии оператор представляет в Министерство промышленности и торговли Российской Федерации заявку на бланке оператора и подписанную генеральным директором или иным уполномоченным лицом оператора (с подтверждением полномочий указанного лица), и (или) заявку в электронном виде (при наличии технической возможности), с приложением документов, подтверждающих его соответствие установленным требованиям.
Датой представления указанных документов считается день их регистрации в Министерстве промышленности и торговли Российской Федерации.
Министерство промышленности и торговли Российской Федерации принимает решение о заключении соглашения о предоставлении субсидии или об отказе в его заключении в течение 10 рабочих дней со дня, следующего за днем получения документов.
Основаниями для отказа в заключении соглашения о предоставлении субсидии являются:
а) несоответствие представленных оператором документов установленному перечню, или непредставление (представление не в полном объеме) указанных документов;
б) недостоверность информации, содержащейся в документах, предоставленных оператором.
В случае несоответствия оператора требованиям к получателям субсидии, Министерство промышленности и торговли Российской Федерации принимает решение о предоставлении субсидии после устранения оператором не позднее 10-го рабочего дня со дня, следующего за днем получения отказа, указанного несоответствия.
Повторная проверка оператора на соответствие требованиям, установленным настоящим Решением, осуществляется в соответствии с пунктом 22 Правил предоставления из бюджетов бюджетной системы Российской Федерации субсидий, в том числе грантов в форме субсидий, юридическим лицам, индивидуальным предпринимателям, а также физическим лицам - производителям товаров, работ, услуг, утвержденных постановлением Правительства Российской Федерации от 25.10.2023 N 1780.
Оператор подписывает соглашение о предоставлении субсидии в течение 10 календарных дней со дня получения уведомления о заключении соглашения о предоставлении субсидии.
Подписанное оператором соглашение о предоставлении субсидии в течение 5 рабочих дней подписывается Министерством промышленности и торговли Российской Федерации.
Оператор вправе обращаться в Министерство промышленности и торговли Российской Федерации в целях получения разъяснений в связи с исполнением соглашения о предоставлении субсидии, а также реализацией настоящего Решения.
Порядок перечисления субсидии
Перечисление субсидии осуществляется на казначейский счет для осуществления и отражения операций с денежными средствами юридических лиц, участников казначейского сопровождения, открытый в территориальном органе Федерального казначейства, не позднее 2-го рабочего дня после представления в территориальный орган Федерального казначейства получателем субсидии распоряжений о совершении казначейских платежей для оплаты денежного обязательства получателя субсидии.
Функции оператора
Оператор:
а) формирует, утверждает и актуализирует перечень приоритетных комплектующих на основании писем-обоснований в соответствии с перечнем комплектующих изделий, необходимых для отраслей промышленности, утвержденным межведомственной комиссией по вопросам развития производства критических комплектующих;
б) осуществляет квалификацию потенциальных исполнителей и потенциальных производителей;
в) формирует, утверждает и актуализирует реестр потенциальных исполнителей и реестр потенциальных производителей, а также утверждает методику формирования указанных реестров;
г) разрабатывает и утверждает объявление о проведении конкурса по каждому проекту;
д) определяет техническое задание на разработку конструкторской документации в рамках проекта;
е) разрабатывает и согласовывает с Министерством промышленности и торговли Российской Федерации условия и порядок предоставления и использования гранта, в том числе в разрезе отраслей промышленности, предусматривающие:
требования к исполнителям, а также дату, по состоянию на которую исполнители обязаны соответствовать указанным требованиям;
долю софинансирования затрат (расходов) на реализацию проекта, осуществляемого оператором за счет средств гранта, и минимальный размер внебюджетного софинансирования затрат (расходов) на реализацию проекта, осуществляемый исполнителем за счет собственных или привлеченных средств;
ограничения по финансовому обеспечению оператором за счет гранта отдельных направлений затрат (расходов) исполнителя (в том числе доля одного или нескольких направлений затрат (расходов) в общем объеме гранта;
ограничения по предельному уровню заработной платы лиц, принимающих участие в реализации проекта, и выплачиваемой исполнителем за счет средств гранта. Размер заработной платы таких сотрудников не может более чем в два раза превышать размер средней заработной платы в субъекте Российской Федерации, в котором зарегистрирован получатель гранта, по одному из приведенных кодов Общероссийского классификатора видов экономической деятельности (71 "Деятельность в области архитектуры и инженерно-технического проектирования, технических испытаний, исследований и анализа", 72 "Научные исследования и разработки", 74 "Деятельность профессиональная научная и техническая прочая"), указанному получателем гранта в выписке из Единого государственного реестра юридических лиц;
обязанность исполнителя по соблюдению требований стандарта осмотрительного поведения в гражданском (хозяйственном) обороте при отборе соисполнителей и поставщиков товарно-материальных ценностей, включая поставку изделий сравнения, и ответственность за их несоблюдение;
ограничения при совершении исполнителем сделок по приобретению за счет средств гранта и (или) внебюджетных средств товаров, работ и услуг, в том числе у аффилированных лиц (физических и юридических лиц), стоимость которых превышает среднерыночную стоимость аналогичных товаров, работ и услуг;
условия предоставления исполнителями в отдельных случаях безотзывной независимой банковской гарантии в целях дополнительного обеспечения исполнения обязательств по договору о предоставлении гранта, и предъявляемые к ней требования;
обязанность получателя гранта по предоставлению на этапе серийного производства комплектующего изделия документов, подтверждающих его включение в реестр российской промышленной продукции в соответствии с постановлением Правительства Российской Федерации от 17.07.2015 N 719;
максимальный срок реализации проекта с учетом времени, необходимого на сдачу-приемку разработанной в рамках проекта конструкторской документации на комплектующее изделие (не более 2 лет);
результат предоставления гранта и характеристики результата предоставления гранта (в случае разработки и утверждения соответствующих условий и порядка предоставления и использования гранта, согласованных с Министерством промышленности и торговли Российской Федерации, - несколько характеристик результата предоставления гранта);
порядок, условия передачи и использования конструкторской документации, разработанной в рамках проектов за вознаграждение, размер которого составляет 2 процента выручки, полученной производителем соответствующего комплектующего в течение 4 лет со дня окончания работ по проекту в рамках поддержанного производства комплектующих по разработанному комплекту конструкторской документации;
порядок, условия передачи исполнителям, являющимся производителями, конструкторской документации, разработанной в рамках проектов, на безвозмездной основе;
ж) проводит конкурс по отбору исполнителей в соответствии с объявлением о проведении конкурса исходя из наилучших условий достижения результата предоставления гранта и характеристик результата предоставления гранта (в случае разработки и утверждения соответствующих условий и порядка предоставления и использования гранта, согласованных с Министерством промышленности и торговли Российской Федерации, - несколько характеристик результата предоставления гранта);
з) заключает договоры о предоставлении грантов в соответствии с типовой формой договора о предоставлении гранта, установленной Министерством финансов Российской Федерации;
и) осуществляет информационное сопровождение действующих и потенциальных исполнителей по вопросам условий и порядка реализации настоящего Решения;
к) определяет порядок, сроки и формы представления отчетности исполнителей об объеме выручки, полученной производителями в ходе производства комплектующих по разработанным в рамках проектов комплектам конструкторской документации;
л) осуществляет контроль за соблюдением получателями гранта условий и порядка предоставления и использования грантов, мониторинг достижения значений результата предоставления гранта и характеристик результата предоставления гранта (в случае разработки и утверждения соответствующих условий и порядка предоставления и использования гранта, согласованных с Министерством промышленности и торговли Российской Федерации, - нескольких характеристик результата предоставления гранта), в том числе в целях принятия мер ответственности при несвоевременном или неполном выполнении получателем гранта обязательств, предусмотренных договором о предоставлении гранта, а также приостановку предоставления гранта в случае установления оператором или получения от органа государственного финансового контроля информации о факте(ах) нарушения получателями гранта порядка, целей и условий предоставления гранта, предусмотренных настоящим Решением, а также утверждает порядок их осуществления;
м) устанавливает для каждого получателя гранта значения результата предоставления гранта и характеристики результата предоставления гранта, предусмотренных настоящим Решением (в случае разработки и утверждения соответствующих условий и порядка предоставления и использования гранта, согласованных с Министерством промышленности и торговли Российской Федерации, - несколько характеристик результата предоставления).
6. Условия предоставления субсидии иным лицам
Перечень результатов предоставления субсидии для иных лиц
Код результата
Тип результата
Наименование результата
Целевая статья: 16 2 08 60461
P_0000004163
Производство (реализация) продукции
Количество разработанных исполнителем в рамках проекта и предоставленных оператору комплектов конструкторской документации на комплектующие изделия, необходимые для отраслей промышленности
Характеристики результата предоставления субсидии для иных лиц (количественные параметры, которым должен соответствовать результат)
Код результата
Наименование характеристики
P_0000004163
Объем выручки в рамках производства комплектующих по разработанным комплектам конструкторской документации, полученной производителями комплектующих в течение 4 лет со дня окончания работ по проектам по разработке комплектов конструкторской документации
P_0000004163
Объем внебюджетного софинансирования проекта за счет внебюджетных источников, привлеченного исполнителем на реализацию проекта
Требования к иным получателям субсидии
Наименование требования
Подтверждающий соответствие требованию документ
Отсутствие на едином налоговом счете или непревышение размера, определенного пунктом 3 статьи 47 НК РФ, задолженности по уплате налогов, сборов и страховых взносов в бюджеты бюджетной системы Российской Федерации
Заявка
Участник отбора (получатель субсидии) - юридическое лицо не находится в процессе реорганизации (за исключением реорганизации в форме присоединения к юридическому лицу, являющемуся участником отбора, другого юридического лица)
Заявка
Участник отбора (получатель субсидии) - юридическое лицо не проходит процедуру ликвидации
Заявка
В отношении участника отбора (получателя субсидии) - юридического лица не введена процедура банкротства
Заявка
Деятельность участника отбора (получателя субсидии) - юридического лица не приостановлена в порядке, предусмотренном законодательством Российской Федерации
Заявка
В реестре дисквалифицированных лиц отсутствуют сведения о дисквалифицированном руководителе участника отбора (получателя субсидии), являющегося юридическим лицом
Заявка
В реестре дисквалифицированных лиц отсутствуют сведения о дисквалифицированных членах коллегиального исполнительного органа участника отбора (получателя субсидии), являющегося юридическим лицом
Заявка
В реестре дисквалифицированных лиц отсутствуют сведения о дисквалифицированном главном бухгалтере участника отбора (получателя субсидии), являющегося юридическим лицом
Заявка
В реестре дисквалифицированных лиц отсутствуют сведения о дисквалифицированном лице, исполняющем обязанности единоличного исполнительного органа участника отбора (получателя субсидии), являющегося юридическим лицом
Заявка
Участник отбора (получатель субсидии) не является российским юридическим лицом, в уставном (складочном) капитале которого доля прямого или косвенного (через третьих лиц) участия иностранных юридических лиц, местом регистрации которых является государство или территория, включенные в утверждаемый Министерством финансов Российской Федерации перечень государств и территорий, используемых для промежуточного (офшорного) владения активами в Российской Федерации, в совокупности превышает 25 процентов (если иное не предусмотрено законодательством Российской Федерации)
Заявка
Участник отбора (получатель субсидии) не является иностранным юридическим лицом, в том числе местом регистрации которого является государство или территория, включенные в утверждаемый Министерством финансов Российской Федерации перечень государств и территорий, используемых для промежуточного (офшорного) владения активами в Российской Федерации
Заявка
Участник отбора (получатель субсидии) не должен получать средства из федерального бюджета (бюджета субъекта Российской Федерации, местного бюджета), из которого планируется предоставление субсидии, на основании иных нормативных правовых актов Российской Федерации (нормативных правовых актов субъекта Российской Федерации, муниципальных правовых актов), решений о порядке предоставления субсидии на цели, установленные решением о порядке предоставления субсидии, в целях определения получателей которой проводится отбор получателей субсидий
Заявка
Участник отбора (получатель субсидии) не является иностранным агентом в соответствии с Федеральным законом "О контроле за деятельностью лиц, находящихся под иностранным влиянием"
Заявка
Отсутствует просроченная задолженность по возврату иных субсидий, бюджетных инвестиций в бюджет бюджетной системы Российской Федерации, из которого планируется предоставление субсидии
Заявка
Отсутствует иная просроченная (неурегулированная) задолженность по денежным обязательствам перед Российской Федерацией
Заявка
Участник отбора (получатель субсидии) не находится в перечне организаций и физических лиц, связанных с распространением оружия массового уничтожения, составляемом в рамках реализации полномочий, предусмотренных главой VII Устава ООН, Советом Безопасности ООН или органами, специально созданными решениями Совета Безопасности ООН
Заявка
Участник отбора (получатель субсидии) не находится в перечне организаций и физических лиц, связанных с террористическими организациями и террористами, составляемом в рамках реализации полномочий, предусмотренных главой VII Устава ООН, Советом Безопасности ООН или органами, специально созданными решениями Совета Безопасности ООН
Заявка
Участник отбора не должен находиться в перечне организаций и физических лиц, в отношении которых имеются сведения об их причастности к экстремистской деятельности или терроризму
Заявка
Получатель гранта включен в реестр потенциальных исполнителей по итогам квалификации и не является потребителем в рамках проекта
Заявка
Получатель гранта не является получателем гранта по более чем 10 проектам в рамках заключенных в текущем финансовом году с оператором по настоящему Решению договоров о предоставлении гранта, или получателем гранта, у которого общая сумма предоставляемых оператором бюджетных средств на реализацию проектов в рамках заключенных в текущем финансовом году с оператором по настоящему Решению договоров о предоставлении гранта превышает 500 млн рублей
Заявка
Иные требования к получателям гранта
Условиями и порядком предоставления и использования гранта, разработанными и утвержденными оператором, объявлением о проведении конкурса и внутренними нормативными документами оператора могут быть также установлены другие дополнительные требования к получателям грантов.
Порядок определения начальной максимальной стоимости проекта и размера гранта
В целях определения объема финансовых ресурсов, необходимых для реализации проекта в установленные сроки, оператором на основании поступивших от потенциальных исполнителей ценовых предложений производится определение начальной максимальной стоимости проекта.
Начальная максимальная стоимость проекта (РНМСП) рассчитывается по следующей методике:

где
P1, P2, P3, Pn - ценовые предложения, полученные оператором от потенциальных исполнителей в части стоимости проекта, допущенных к расчету РНМСП в соответствии с требованиями настоящего пункта. При этом в целях минимизации рисков завышения стоимости разработки конструкторской документации расчет РНМСП может производиться только при наличии не менее трех допущенных к расчету ценовых предложений, полученных от потенциальных исполнителей;
n - количество потенциальных исполнителей, предоставивших допущенные для расчета ценовые предложения. При этом общее количество таких исполнителей должно быть не менее трех.
Для определения ценовых предложений, допущенных к расчету РНМСП следует определить коэффициент вариации ценовых предложений, характеризующий однородность совокупности ценовых предложений по следующей формуле:

где
Квар - коэффициент вариации ценовых предложений;
- среднее квадратичное отклонение;
Среднее квадратичное отклонение ценовых предложений от средней арифметической величины ценовых предложений (начальной максимальной стоимости проекта) определяется по следующей формуле:

где
Pi - i-ое ценовое предложение, полученное оператором от потенциальных исполнителей в части стоимости проекта;
k - количество ценовых предложений, полученные оператором от потенциальных исполнителей. При этом общее количество таких ценовых предложений должно быть не менее трех.
Если коэффициент вариации цен превышает 33%, это говорит о неоднородности информации по ценовым предложениям от потенциальных исполнителей, а, следовательно, средняя цена не может быть использована для определения начальной максимальной стоимости проекта.
В таком случае максимальное ценовое предложение не допускается к расчету РНМСП. Производится повторный расчет РНМСП среди оставшихся предложений. Действие повторяется, пока размер коэффициента вариации цен составит не более 33%.
В случае если принятых к расчету Рi остается менее трех, конкурс не объявляется и производится повторный запрос ценовых предложений.
При проведении конкурса поданная заявка оценивается на соответствие требованиям, предусмотренным Решением, условиями и порядком предоставления и использования гранта, разработанными и утвержденными оператором, объявлением о проведении конкурса.
В дополнение к действующему порядку расчета начальной максимальной стоимости проекта оператор в целях проверки ее обоснованности вправе разработать и утвердить методику, позволяющую в том числе определить предельную величину гранта с учетом:
средней рыночной стоимости инжиниринговых услуг по разработке конструкторской документации на аналогичные комплектующие изделия;
сложности разрабатываемой конструкторской документации на комплектующие изделия.
Максимальный размер гранта на реализацию проекта, устанавливаемый оператором для иных лиц (грантополучателей) в объявлении о проведении конкурса в отношении каждой позиции перечня приоритетных комплектующих изделий, не может превышать 150 млн рублей.
Размер гранта на реализацию проекта для иных лиц - победителей конкурса определяется оператором по результатам проведенного конкурса по отбору поступивших и допущенных к участию в конкурсе заявок участников по следующей формуле:

где:
Ga - общий размер гранта, предоставляемого оператором иному лицу на основании договора о предоставлении гранта, определяемый как сумма затрат за счет средств гранта на разработку конструкторской документации по видам затрат (в рублях), заявленной победителем конкурса в смете реализации проекта;
Te - вид затрат, наименование которого приведено в разделе "Финансовое обеспечение затрат (расходов) получателя гранта" настоящего Решения и размер которых указан в заявленной победителем конкурса смете реализации проекта;
nt - количество видов затрат, наименования которых приведены в разделе "Финансовое обеспечение затрат (расходов) получателя гранта" настоящего Решения и указаны в смете реализации проекта, заявленной победителем конкурса.
Грант предоставляется на финансовое обеспечение затрат (расходов) получателя гранта, при условии возникновения обязательств по их оплате получателем гранта в рамках периода реализации проекта, но не ранее даты заключения договора о предоставлении гранта, если не предусмотрено иное.
Оператор в пределах максимального размера гранта на реализацию проекта, определенного согласно условиям и порядку предоставления и использования гранта, согласованным с Министерством промышленности и торговли Российской Федерации, осуществляет софинансирование не более 80 процентов затрат (расходов) по проектам, предусматривающим разработку конструкторской документации на комплектующие для отраслей промышленности (не более 100 процентов затрат (расходов) по проектам, предусматривающим разработку конструкторской документации на комплектующие для продукции радиоэлектронной промышленности).
Общий размер средств грантов, предоставленных оператором иным лицам (грантополучателям) в отчетном году на основании заключенных по результатам проведенных конкурсов договоров о предоставлении гранта, не может превышать размера субсидии на соответствующий финансовый год, установленного в соглашении о предоставлении субсидии, заключенном с Министерством промышленности и торговли Российской Федерации.
Финансовое обеспечение затрат (расходов) получателя гранта
Грант предоставляется с учетом особенностей, установленных разделом "Функции оператора" настоящего Решения, на финансовое обеспечение затрат (расходов) получателя гранта, при условии возникновения обязательств по их оплате получателем гранта в рамках периода реализации проекта, но не ранее даты заключения договора о предоставлении гранта, если не предусмотрено иное:
а) расходы на оплату труда работников, непосредственно участвующих в разработке конструкторской документации, а также затраты на отчисления на страховые взносы по обязательному медицинскому страхованию, отчисления на страховые взносы по обязательному социальному страхованию на случай временной нетрудоспособности и в связи с материнством, отчисления на страховые взносы на обязательное социальное страхование от несчастных случаев на производстве и профессиональных заболеваний, отчисления на страховые взносы по обязательному пенсионному страхованию, начисленные на суммы расходов на оплату труда (не более 70 процентов от общего размера гранта);
б) материальные расходы, непосредственно связанные с разработкой конструкторской документации, включая расходы на закупку сырья и материалов (включая инструменты, приспособления, оснастку) (с учетом налога на добавленную стоимость), в том числе расходы, понесенные получателем гранта до заключения договора о предоставлении гранта, но не ранее начала года, в котором заключен договор с исполнителем о предоставлении гранта на реализацию проекта по разработке конструкторской документации на комплектующее изделие, при условии документального подтверждения таких расходов получателем гранта в рамках ведения раздельного учета расходов на реализацию проекта (не более 50 процентов от общего размера гранта);
в) расходы на приобретение необходимого для разработки конструкторской документации лабораторного, исследовательского, испытательного, контрольно-измерительного, вспомогательного оборудования и оборудования, используемого в рамках разработки конструкторской документации в технологических процессах, перечень которых определен Межгосударственным стандартом ГОСТ 3.1109-82 "Единая система технологической документации. Термины и определения основных понятий" (с учетом налога на добавленную стоимость) (не более 40 процентов от общего размера гранта);
г) накладные расходы, в размере не более 100 процентов суммы расходов, определенных подпунктом "а" настоящего пункта, связанные с организацией работ по проекту в объеме, необходимом для разработки конструкторской документации (кроме представительских расходов, оплаты проезда к месту отдыха, организации участия в выставках) (с учетом налога на добавленную стоимость, в том числе расходы на аренду, командировочные расходы, расходы на оплату труда административно-управленческого и вспомогательного персонала, затраты на отчисления на страховые взносы по обязательному медицинскому страхованию, отчисления на страховые взносы по обязательному социальному страхованию на случай временной нетрудоспособности и в связи с материнством, отчисления на страховые взносы на обязательное социальное страхование от несчастных случаев на производстве и профессиональных заболеваний, отчисления на страховые взносы по обязательному пенсионному страхованию, начисленные на суммы расходов на оплату труда, иные расходы, связанные с разработкой конструкторской документации;
д) расходы на оплату работ (услуг), оказанных юридическими лицами, привлеченными для выполнения отдельных работ, связанных с разработкой конструкторской документации (с учетом налога на добавленную стоимость) (не более 50 процентов от общего размера гранта и не более 100 процентов суммы расходов средств гранта, определенных подпунктами "а" и "г" настоящего пункта);
е) расходы на содержание и эксплуатацию научно-исследовательского оборудования, установок, зданий и сооружений, рабочих и силовых машин и оборудования, измерительных и регулирующих приборов и устройств, вычислительной техники, инструмента, производственного инвентаря и принадлежностей, непосредственно связанных с разработкой конструкторской документации (с учетом налога на добавленную стоимость) (кроме расходов на содержание и эксплуатацию зданий, сооружений, помещений административного, складского назначения и расходов на содержание и эксплуатацию транспортных средств) (не более 20 процентов от общего размера гранта);
ж) расходы на приобретение изделий сравнения, необходимых для разработки конструкторской документации (с учетом налога на добавленную стоимость) (не более 30 процентов от общего размера гранта).
Иные условия предоставления гранта
Условиями и порядком предоставления и использования гранта, разработанными и утвержденными оператором, объявлением о проведении конкурса и внутренними нормативными документами оператора могут быть также установлены другие дополнительные требования к расходам, источником финансового обеспечения которых являются средства гранта.
Утверждено:
Руководитель (уполномоченное лицо)
Статс-секретарь - заместитель Министра промышленности и торговли Российской Федерации
Чекушов Р.А.
(должность)
(подпись)
(фамилия, инициалы)
10
Ноября
2025
г.
Согласовано:
Руководитель (уполномоченное лицо)
Первый заместитель Председателя Правительства Российской Федерации
Мантуров Д.В.
(должность)
(подпись)
(фамилия, инициалы)
26
Ноября
2025
г.
ДОПОЛНИТЕЛЬНАЯ (АНАЛИТИЧЕСКАЯ) ИНФОРМАЦИЯ
Перечень результатов с контрольными точками
1.
Код результата: X255440000
Наименование результата: Разработаны комплекты конструкторской документации на комплектующие изделия, необходимые для отраслей промышленности
Единица измерения по ОКЕИ: 796, Штука
Контрольные точки по результату отсутствуют.
Перечень результатов с показателями (характеристиками)
1.
Код результата: X255440000
Наименование результата: Разработаны комплекты конструкторской документации на комплектующие изделия, необходимые для отраслей промышленности
Единица измерения по ОКЕИ: 796, Штука
Показатели (характеристики) по результату отсутствуют.