Решение Минобрнауки России от 13.11.2025 N 25-71140-01868-Р
МИНИСТЕРСТВО НАУКИ И ВЫСШЕГО ОБРАЗОВАНИЯ
РОССИЙСКОЙ ФЕДЕРАЦИИ
РЕШЕНИЕ
от 13 ноября 2025 г. N 25-71140-01868-Р
Версия 4
Коды
13.11.2025
Главный распорядитель бюджетных средств
Министерство науки и высшего образования Российской Федерации
по БК
075
Бюджет
Федеральный бюджет
по ОКТМО
00000001
Направление расходов
Реализация программы развития образовательных организаций высшего образования с целью формирования группы университетов - национальных лидеров для формирования научного, технологического и кадрового обеспечения экономики и социальной сферы, повышения глобальной конкурентоспособности системы высшего образования и содействия региональному развитию
по БК
71140
Национальный проект
Национальный проект "Молодежь и дети"
по БК
Ю
Государственная программа
Государственная программа Российской Федерации "Научно-технологическое развитие Российской Федерации"
по БК
47
Структурный элемент
Федеральный проект "Университеты для поколения лидеров"
по БК
Ю8
Целевая статья расходов
Реализация программы развития образовательных организаций высшего образования с целью формирования группы университетов - национальных лидеров для формирования научного, технологического и кадрового обеспечения экономики и социальной сферы, повышения глобальной конкурентоспособности системы высшего образования и содействия региональному развитию
по БК
47 2 Ю8 71140
1. Общая информация
Наименование субсидии
Реализация программы развития образовательных организаций высшего образования с целью формирования группы университетов - национальных лидеров для формирования научного, технологического и кадрового обеспечения экономики и социальной сферы, повышения глобальной конкурентоспособности системы высшего образования и содействия региональному развитию
Цель предоставления субсидии
Участие в программе стратегического академического лидерства "Приоритет-2030", направленной на поддержку программ развития университетов и ориентированной на содействие увеличению вклада российских университетов в достижение национальных целей развития Российской Федерации на период до 2030 года, сбалансированное пространственное развитие страны, обеспечение доступности качественного высшего образования в субъектах Российской Федерации
Тип субсидии
Субсидии на оказание услуг (выполнение работ)
Способ предоставления средств из бюджета
финансовое обеспечение затрат
Способ отбора получателей
запрос предложений
Для служебного пользования
Нет
Направлена на реализацию новаций в сфере искусственного интеллекта
Нет
Понятия, используемые для целей решения о порядке
предоставления субсидии
"университет" - образовательная организация высшего образования, созданная и осуществляющая деятельность в соответствии с Федеральным законом от 29.12.2012 N 273-ФЗ "Об образовании в Российской Федерации";
"программа развития университета" - программа, разработанная университетом и реализуемая в рамках программы стратегического академического лидерства "Приоритет-2030" (далее - программа "Приоритет-2030");
"коллегиальные органы программы "Приоритет-2030" - органы программы "Приоритет-2030" (Совет и комиссии), сформированные Министерством науки и высшего образования Российской Федерации, а также Правительством Российской Федерации (при необходимости), для рассмотрения и оценки программ (проектов программ) развития университетов и отчетов о реализации программ развития университетов, признанных в году, предшествующему предоставлению субсидии университетами-участниками и университетами-кандидатами;
"проект получателя субсидии" - программа (проект программы) развития университета, скорректированная по рекомендациям коллегиального органа программы "Приоритет-2030", и (или) отчет о реализации программы развития университета, включая балл итогового рейтинга (включая коэффициент) по результатам рассмотрения и оценки программы (проекта программы) развития университета и (или) отчета о реализации программы развития университета;
"университет - участник" - университет, получавший поддержку из федерального бюджета на реализацию программы развития университета в рамках программы "Приоритет-2030" в году, предшествующему предоставлению субсидии и рекомендованный коллегиальным органом программы "Приоритет-2030" для получения субсидии;
"университет-кандидат" - университет, признанный кандидатом на участие в программе "Приоритет-2030" в году, предшествующему предоставлению субсидии", и рекомендованный коллегиальным органом программы "Приоритет-2030" для получения субсидии;
"университет творческой направленности" - университет - участник или университет-кандидат, у которого доля студентов, зачисленных на первый курс в году, предшествующем году вхождения в программу "Приоритет-2030" (для университетов-кандидатов - году признания кандидатами на участие в данной программе), на обучение по образовательным программам высшего образования по перечню специальностей и направлениям подготовки высшего образования творческой направленности, по перечню, утверждаемому Минобрнауки России, составляет не менее 60 процентов от общей численности студентов, зачисленных на первый курс;
"университеты Дальневосточного федерального округа" - университеты - участники программы "Приоритет-2030" и университеты-кандидаты, соответствующие следующим критериям:
университет осуществляет образовательную деятельность и находится на территории Дальневосточного федерального округа;
наличие обязательства по достижению следующих показателей <1>:
--------------------------------
<1> Методика расчета значений показателей, включенных в пятую группу критериев допуска для участия в отборе образовательных организаций высшего образования для оказания поддержки программ развития образовательных организаций высшего образования в рамках реализации программы стратегического академического лидерства "Приоритет-2030", утверждаемая Минобрнауки России.
увеличение численности обучающихся по образовательным программам высшего образования по очной форме обучения в университете (нарастающим итогом):
на конец первого года реализации программы развития университета - не менее 16 процентов,
на конец второго года реализации программы развития университета - не менее 32 процентов,
на конец третьего года реализации программы развития университета - не менее 48 процентов,
на конец четвертого года реализации программы развития университета - не менее 63 процентов,
на конец пятого года реализации программы развития университета - не менее 79 процентов,
на конец шестого года реализации программы развития университета - не менее 95 процентов,
на конец седьмого года реализации программы развития университета - не менее 110 процентов,
на конец восьмого года реализации программы развития университета - не менее 126 процентов;
увеличение совокупного объема финансового обеспечения университета от научно-исследовательских и опытно-конструкторских работ (для университетов, подведомственных Министерству культуры Российской Федерации, включая доходы от творческой деятельности) в общих доходах университета (нарастающим итогом):
на конец первого года реализации программы развития университета - не менее 11 процентов,
на конец второго года реализации программы развития университета - не менее 23 процентов,
на конец третьего года реализации программы развития университета - не менее 35 процентов,
на конец четвертого года реализации программы развития университета - не менее 47 процентов,
на конец пятого года реализации программы развития университета - не менее 61 процентов,
на конец шестого года реализации программы развития университета - не менее 75 процентов,
на конец седьмого года реализации программы развития университета - не менее 89 процентов,
на конец восьмого года реализации программы развития университета - не менее 104 процентов;
"проект "цифровая кафедра" - комплекс мероприятий и совокупность ресурсов, направленных на достижение характеристики результата предоставления субсидии "Численность лиц, завершивших на бесплатной основе обучение (прошедших итоговую аттестацию) на "цифровых кафедрах" университета в целях получения дополнительной квалификации по ИТ-профилю в рамках обучения по образовательным программам высшего образования - программам бакалавриата, программам специалитета, программам магистратуры, а также по дополнительным профессиональным программам профессиональной переподготовки ИТ-профиля" <2>.
--------------------------------
<2> Концепция реализации проекта "цифровая кафедра" утверждается Министерством науки и высшего образования Российской Федерации.
2. Информация о получателях субсидии
Категории получателей субсидии
Категория
Тип субъекта экономической деятельности
Государственные бюджетные учреждения субъектов Российской Федерации
Юридическое лицо
Государственные автономные учреждения субъектов Российской Федерации
Юридическое лицо
Автономные некоммерческие организации
Юридическое лицо
Федеральные государственные автономные учреждения
Юридическое лицо
Федеральные государственные бюджетные учреждения
Юридическое лицо
Требования к получателям субсидии
Наименование требования
Подтверждающий соответствие требованию документ
Участник отбора (получатель субсидии) не находится в перечне организаций и физических лиц, связанных с террористическими организациями и террористами, составляемом в рамках реализации полномочий, предусмотренных главой VII Устава ООН, Советом Безопасности ООН или органами, специально созданными решениями Совета Безопасности ООН
Заявка
Участник отбора не должен находиться в перечне организаций и физических лиц, в отношении которых имеются сведения об их причастности к экстремистской деятельности или терроризму
Заявка
Участник отбора (получатель субсидии) - юридическое лицо не находится в процессе реорганизации (за исключением реорганизации в форме выделения из своего состава юридического лица (юридических лиц) для кредитных организаций, в отношении которых иностранными государствами и международными организациями введены ограничительные меры
Заявка
Проект участника отбора (получателя субсидии) соответствует предъявляемым к нему требованиям
Заявка
Участником отбора (получателем субсидии) представлено согласие на публикацию (размещение) в сети "Интернет" информации об участнике отбора (получателе субсидии), о подаваемых им документах, иной информации, связанной с получением субсидии
Письменная форма соответствующего документа, подписываемая руководителем участника отбора (получателя субсидии) (иным уполномоченным лицом), главным бухгалтером (при наличии) или иным должностным лицом, на которое возлагается ведение бухгалтерского учета
В реестре дисквалифицированных лиц отсутствуют сведения о дисквалифицированном лице, исполняющем обязанности единоличного исполнительного органа участника отбора (получателя субсидии), являющегося юридическим лицом
Заявка
В реестре дисквалифицированных лиц отсутствуют сведения о дисквалифицированном главном бухгалтере участника отбора (получателя субсидии), являющегося юридическим лицом
Заявка
В реестре дисквалифицированных лиц отсутствуют сведения о дисквалифицированных членах коллегиального исполнительного органа участника отбора (получателя субсидии), являющегося юридическим лицом
Заявка
В реестре дисквалифицированных лиц отсутствуют сведения о дисквалифицированном руководителе участника отбора (получателя субсидии), являющегося юридическим лицом
Заявка
Участник отбора (получатель субсидии) - юридическое лицо не находится в процессе реорганизации (за исключением реорганизации в форме присоединения к юридическому лицу, являющемуся участником отбора, другого юридического лица)
Заявка
Информация, представленная участником отбора (получателем субсидии), достоверна
Заявка
Требования к получателям субсидии
Наименование требования
Подтверждающий соответствие требованию документ
Участник отбора (получатель субсидии) предоставил весь требуемый перечень документов, необходимых для подтверждения соответствия участника отбора (получателя субсидии) требованиям
Заявка
Получатель субсидии - университет-участник, университет-кандидат, рекомендованные соответствующим коллегиальным органом для получения субсидии
Протокол коллегиального органа с решением о включении университета в программу стратегического академического лидерства "Приоритет-2030"
Участник отбора (получатель субсидии) не является российским юридическим лицом, в уставном (складочном) капитале которого доля прямого или косвенного (через третьих лиц) участия иностранных юридических лиц, местом регистрации которых является государство или территория, включенные в утверждаемый Министерством финансов Российской Федерации перечень государств и территорий, используемых для промежуточного (офшорного) владения активами в Российской Федерации, в совокупности превышает 25 процентов (если иное не предусмотрено законодательством Российской Федерации)
Заявка
Участник отбора (получатель субсидии) не является иностранным юридическим лицом, в том числе местом регистрации которого является государство или территория, включенные в утверждаемый Министерством финансов Российской Федерации перечень государств и территорий, используемых для промежуточного (офшорного) владения активами в Российской Федерации
Заявка
Участник отбора (получатель субсидии) не должен получать средства из федерального бюджета (бюджета субъекта Российской Федерации, местного бюджета), из которого планируется предоставление субсидии, на основании иных нормативных правовых актов Российской Федерации (нормативных правовых актов субъекта Российской Федерации, муниципальных правовых актов), решений о порядке предоставления субсидии на цели, установленные решением о порядке предоставления субсидии, в целях определения получателей которой проводится отбор получателей субсидий
Заявка
Участник отбора (получатель субсидии) не является иностранным агентом в соответствии с Федеральным законом "О контроле за деятельностью лиц, находящихся под иностранным влиянием"
Заявка
Отсутствует просроченная задолженность по возврату иных субсидий, бюджетных инвестиций в бюджет бюджетной системы Российской Федерации, из которого планируется предоставление субсидии
Заявка
Отсутствует иная просроченная (неурегулированная) задолженность по денежным обязательствам перед Российской Федерацией
Заявка
Участник отбора (получатель субсидии) не находится в перечне организаций и физических лиц, связанных с распространением оружия массового уничтожения, составляемом в рамках реализации полномочий, предусмотренных главой VII Устава ООН, Советом Безопасности ООН или органами, специально созданными решениями Совета Безопасности ООН
Заявка
Организатор отбора
Код организации по Сводному реестру
00100075
Наименование организации
МИНИСТЕРСТВО НАУКИ И ВЫСШЕГО ОБРАЗОВАНИЯ РОССИЙСКОЙ ФЕДЕРАЦИИ
Почтовый адрес
125009, Г. МОСКВА, УЛ. ТВЕРСКАЯ, ДОМ Д. 11, СТР. 1, 4
Адрес электронной почты, сайт
, http://minobmauki.gov.ru
Телефон
8 495 547 13 16
3. Результат предоставления субсидии
Перечень результатов
Код результата
Тип результата
Наименование результата
Целевая статья: 47 2 Ю8 71140
X299080000
Оказание услуг (выполнение работ)
Реализованы программы развития образовательных организаций высшего образования с целью формирования группы университетов - национальных лидеров для формирования научного, технологического и кадрового обеспечения экономики и социальной сферы, повышения глобальной конкурентоспособности системы высшего образования и содействия региональному развитию
Характеристики результата предоставления субсидии (количественные параметры, которым должен соответствовать результат)
Код результата
Наименование характеристики
X299080000
Количество обучающихся университетов - участников программы "Приоритет-2030" и участников консорциумов с университетами, вовлеченных в реализацию проектов и программ, направленных на профессиональное развитие
X299080000
Количество реализованных проектов, в том числе с участием членов консорциума (консорциумов)
X299080000
Численность лиц, завершивших на бесплатной основе обучение (прошедших итоговую аттестацию) на "цифровых кафедрах" университета в целях получения дополнительной квалификации по ИТ-профилю в рамках обучения по образовательным программам высшего образования - программам бакалавриата, программам специалитета, программам магистратуры, а также по дополнительным профессиональным программам профессиональной переподготовки ИТ-профиля
X299080000
Численность лиц, прошедших обучение по дополнительным профессиональным программам в университете, в том числе посредством онлайн-курсов
4. Направления финансирования
Направления расходов, на финансовое обеспечение которых предоставляется субсидия
1.
Арендная плата и оплата договоров на выполнение работ, оказание услуг, связанных с содержанием, эксплуатацией, обслуживанием, текущим ремонтом помещений, основных средств, участвующих в выполнении работ, оказании услуг, производством товаров в рамках получения результата предоставления субсидии.
2.
Выплаты по оплате договоров финансовой аренды (лизинга) объектов основных средств, связанных непосредственно с поставкой товаров, выполнением работ, оказанием услуг.
3.
Выплаты, связанные с командированием работников.
4.
Оплата работ и услуг, включая оплату услуг связи, транспортных услуг, коммунальных услуг, услуг в области информационных технологий, в том числе работ и услуг, связанных с доступом, и (или) использованием, и (или) разработкой и поддержкой информационных систем, работ по разработке методических материалов, образовательных услуг, услуг по опубликованию научных статей и изданию монографий, услуг по проведению испытаний, подготовке документов по результатам испытаний и подготовке к регистрации, услуг по регистрации, сертификации разработок, товаров, работ и услуг, расходы по регистрации результатов интеллектуальной деятельности.
5.
Оплата товаров, увеличивающих стоимость основных средств, в том числе приобретение вычислительной техники, информационного, компьютерного и телекоммуникационного оборудования, инвентаря и хозяйственных принадлежностей, выплаты, связанные с закупкой нематериальных активов, материальных запасов, топлива на технологические цели в рамках достижения результата предоставления субсидии, основных средств.
6.
Оплата труда работников в соответствии с трудовым законодательством Российской Федерации.
7.
Предоставление получателем субсидии средств, источником финансового обеспечения которых является субсидия, участникам консорциума в рамках заключенных с ними соглашений.
8.
Приобретение исключительных и (или) неисключительных (пользовательских), лицензионных прав на программное обеспечение, приобретение и обновление справочно-информационных баз данных, программ и учебных модулей, необходимых для осуществления мероприятий программы развития университета, в том числе в рамках проекта "цифровая кафедра".
9.
Расходы по реализации мероприятий профессионального развития, специальных мероприятий по поддержке студентов, аспирантов, молодежи, в том числе в рамках мероприятий по сохранению российских традиций и ценностей, включая семейные.
10.
Уплата взносов на обязательное социальное страхование (расходы на обязательное пенсионное страхование, обязательное социальное страхование на случай временной нетрудоспособности и в связи с материнством, обязательное медицинское страхование), обязательное социальное страхование от несчастных случаев на производстве и профессиональных заболеваний (взносы на травматизм).
11.
Уплата налогов, сборов, пошлин и страховых взносов в бюджеты бюджетной системы Российской Федерации в рамках достижения результата предоставления субсидии
Наименования затрат, произведенных получателем субсидий за счет собственных средств, возмещаемых за счет субсидии
1.
Выплаты по оплате договоров финансовой аренды (лизинга) объектов основных средств, связанных непосредственно с поставкой товаров, выполнением работ, оказанием услуг.
2.
Арендная плата и оплата договоров на выполнение работ, оказание услуг, связанных с содержанием, эксплуатацией, обслуживанием, текущим ремонтом помещений, основных средств, участвующих в выполнении работ, оказании услуг, производством товаров в рамках получения результата предоставления субсидии.
3.
Предоставление получателем субсидии средств, источником финансового обеспечения которых является субсидия, участникам консорциума в рамках заключенных с ними соглашений.
4.
Приобретение исключительных и (или) неисключительных (пользовательских), лицензионных прав на программное обеспечение, приобретение и обновление справочно-информационных баз данных, программ и учебных модулей, необходимых для осуществления мероприятий программы развития университета, в том числе в рамках проекта "цифровая кафедра".
5.
Уплата налогов, сборов, пошлин и страховых взносов в бюджеты бюджетной системы Российской Федерации в рамках достижения результата предоставления субсидии
6.
Выплаты, связанные с командированием работников.
7.
Оплата труда работников в соответствии с трудовым законодательством Российской Федерации.
8.
Расходы по реализации мероприятий профессионального развития, специальных мероприятий по поддержке студентов, аспирантов, молодежи, в том числе в рамках мероприятий по сохранению российских традиций и ценностей, включая семейные.
9.
Оплата работ и услуг, включая оплату услуг связи, транспортных услуг, коммунальных услуг, услуг в области информационных технологий, в том числе работ и услуг, связанных с доступом, и (или) использованием, и (или) разработкой и поддержкой информационных систем, работ по разработке методических материалов, образовательных услуг, услуг по опубликованию научных статей и изданию монографий, услуг по проведению испытаний, подготовке документов по результатам испытаний и подготовке к регистрации, услуг по регистрации, сертификации разработок, товаров, работ и услуг, расходы по регистрации результатов интеллектуальной деятельности.
Наименования затрат, произведенных получателем субсидий за счет собственных средств, возмещаемых за счет субсидии
10.
Оплата товаров, увеличивающих стоимость основных средств, в том числе приобретение вычислительной техники, информационного, компьютерного и телекоммуникационного оборудования, инвентаря и хозяйственных принадлежностей, выплаты, связанные с закупкой нематериальных активов, материальных запасов, топлива на технологические цели в рамках достижения результата предоставления субсидии, основных средств.
11.
Уплата взносов на обязательное социальное страхование (расходы на обязательное пенсионное страхование, обязательное социальное страхование на случай временной нетрудоспособности и в связи с материнством, обязательное медицинское страхование), обязательное социальное страхование от несчастных случаев на производстве и профессиональных заболеваний (взносы на травматизм).
Наименование операций, для осуществления которых получатель субсидии приобретает за счет средств субсидии иностранную валюту
1.
Закупка (поставка) высокотехнологичного импортного оборудования, сырья и комплектующих изделий
5. Условия заключения соглашения о предоставлении субсидии
Не требуется заключение соглашения
Заключение соглашения о предоставлении субсидии с привлечением иного юридического лица (агента)
Предусматривается проведение мониторинга достижения результатов
Основная отчетность
Получатель субсидии представляет:
а) отчет о достижении значений результатов предоставления субсидий, а также характеристик результатов (при их установлении) (за исключением случаев, предусмотренных абзацем вторым пункта 44, абзацем вторым пункта 68, пунктом 70 Единых правил); ежеквартально; предоставляется в ГИИС "Электронный бюджет", не позднее 10 рабочего дня месяца, следующего за отчетным кварталом;
б) отчет об осуществлении расходов, источником финансового обеспечения которых является субсидия (в отношении субсидий, предоставляемых в порядке финансового обеспечения затрат в связи с производством (реализацией) товаров, выполнением работ, оказанием услуг); ежеквартально; предоставляется в ГИИС "Электронный бюджет", не позднее 10 рабочего дня месяца, следующего за отчетным кварталом.
Перечень дополнительной отчетности, подлежащей предоставлению получателем субсидии:
1.
отчет о реализации программы развития университета; предоставляется в личном кабинете участника программы "Приоритет-2030" (https://priority2030.ru); ежегодно; не позднее 20 февраля года, следующего за отчетным годом;
2.
отчет о реализации плана мероприятий по достижению результатов предоставления Субсидии (контрольных точек); ежеквартально; предоставляется в ГИИС "Электронный бюджет", 10 рабочего дня месяца, следующего за отчетным кварталом;
3.
отчет о достижении значений показателей эффективности; предоставляется в личном кабинете участника программы "Приоритет-2030" (https://priority2030.ru); ежеквартально; за 1 квартал, 1 полугодие и 9 месяцев - не позднее 20 числа месяца, следующего за отчетным кварталом, за год - не позднее 20 февраля года, следующего за отчетным годом;
4.
реестр документов и копии документов, подтверждающих привлечение университетом средств внебюджетных источников на проведение прикладных научных исследований и (или) экспериментальных разработок; предоставляется в личном кабинете участника программы "Приоритет-2030" (https://priority2030.ru); ежеквартально; за 1 квартал, 1 полугодие и 9 месяцев - не позднее 20 числа месяца, следующего за отчетным кварталом, за год - не позднее 20 февраля года, следующего за отчетным годом;
5.
отчет о финансовом обеспечении реализации программы развития университета; предоставляется в личном кабинете участника программы "Приоритет-2030" (https://priority2030.ru); ежеквартально; за 1 квартал, 1 полугодие и 9 месяцев - не позднее 20 числа месяца, следующего за отчетным кварталом, за год - не позднее 1 февраля года, следующего за отчетным годом;
6.
реестр платежных документов по использованию средств субсидии; предоставляется в личном кабинете участника программы "Приоритет-2030" (https://priority2030.ru); ежеквартально; за 1 квартал, 1 полугодие и 9 месяцев - не позднее 20 числа месяца, следующего за отчетным кварталом, за год - не позднее 20 февраля года, следующего за отчетным годом;
Перечень дополнительной отчетности, подлежащей предоставлению получателем субсидии
7.
отчет о реализации проекта "цифровая кафедра", включая информацию об объемах средств, направленных на реализацию указанного проекта в разрезе наименований затрат; предоставляется в личном кабинете участника программы "Приоритет-2030" (https://priority2030.ru); ежегодно; не позднее 20 февраля года, следующего за отчетным годом;
8.
отчет о привлечении внебюджетных источников в рамках реализации результатов предоставления Субсидии; предоставляется в личном кабинете участника программы "Приоритет-2030" (https://priority2030.ru); ежемесячно; не позднее 3 рабочего дня месяца, следующего за отчетным месяцем.
Иные условия предоставления отчетности:
Получатель гранта в форме субсидии предоставляет иную информацию и документы по запросу Министерства науки и высшего образования Российской Федерации.
Порядок расчета размера субсидии
1. Отбор университетов - получателей субсидий осуществляется на конкурентной основе на едином портале бюджетной системы Российской Федерации в информационно-телекоммуникационной сети "Интернет" (далее - единый портал) способом запроса предложений.
2. Предельное количество получателей субсидии определяется по результатам итоговой оценки программы (проекта программы) развития университета и/или отчетных или предварительных отчетных результатов деятельности университета коллегиальными органами программы "Приоритет-2030".
3. Размер субсидии определяется на основании заявки участника отбора получателей субсидии, сформированной и поданной на едином портале, в которой указывается объем затрат, необходимый для достижения результата предоставления субсидии в соответствующем финансовом году.
4. Размер субсидии представляет собой часть от объема затрат, указанного в заявке, за вычетом затрат, финансируемого за счет внебюджетных источников и целевых поступлений, предоставленных получателю субсидии учредителями, органами государственной власти субъектов Российской Федерации и (или) местного самоуправления (далее - субсидируемый объем затрат).
5. Размер субсидии не может превышать быть больше субсидируемого объема затрат.
6. Минимальный размер субсидии составляет 100 млн рублей.
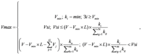
7. Максимальный размер субсидии рассчитывается по формуле:

где:
V - объем распределяемой субсидии в рамках отбора получателей субсидий;
Vmin - минимальный размер субсидии (в размере 100 млн. рублей);
ki - значение коэффициента для i-го университета на финансовый год, установленное на основании итоговой оценки программы (проекта программы) развития университета и/или отчетных или предварительных отчетных результатов деятельности университета в баллах по результатам ранжирования соответствующими коллегиальными органами программы "Приоритет-2030" (далее - коэффициент);
Зi - субсидируемый объем затрат i-го университета;
Vзi - размер субсидии i-университета, соответствующий субсидируемому объему затрат и не превышающий максимальный размер субсидии согласно заявке, кроме университетов которые могут получить минимальный размер субсидии;
L - количество университетов, получивших минимальный положительный коэффициент;
kg - значение коэффициента для g-го университета;
N - количество университетов, прошедших итоговую оценку программы (проекта программы) развития университета и/или отчетных или предварительных отчетных результатов деятельности университета соответствующими коллегиальными органами программы "Приоритет-2030", за исключением университетов, получивших минимальный положительный коэффициент по итогам указанной оценки;
G - количество университетов, размер субсидии которых соответствует субсидируемому объему затрат по заявке;
Vj - размер субсидии j-го университета, соответствующий запрашиваемому размеру субсидии (субсидируемый объем затрат совпадает с размером субсидии и находится в пределах значений минимального и максимального размера субсидии);
ku - значение коэффициента для u-го университета, не получившего минимальный и запрашиваемый размер субсидии;
m - количество университетов, не получившего минимальный и запрашиваемый размер субсидии;
kh - значение коэффициента для h-го университета, не получившего минимальный и запрашиваемый размер субсидии;
8. Размер субсидии определяется с округлением значений до ста рублей.
9. Результаты расчета размера субсидии оформляются на едином портале (https://promote.budget.gov.ru/).
Порядок расчета суммы штрафа, подлежащей уплате в доход
федерального бюджета, при недостижении получателем субсидии
значений характеристик результатов предоставления субсидии,
предусмотренных соглашением о предоставлении субсидии
1. В случае недостижения i-м университетом значений характеристик результатов предоставления субсидии, выявленного в том числе по фактам проверок, проведенных главным распорядителем бюджетных средств и (или) органом государственного (муниципального) финансового контроля, получателем субсидии осуществляется выплата штрафа в федеральный бюджет, в размере средств (Vштр,i), рассчитываемом по формуле:

где:
- размер штрафа, выплачиваемого i-м университетом, в случае недостижения планового значения характеристики результата предоставления субсидии "Численность лиц, завершивших на бесплатной основе обучение (прошедших итоговую аттестацию) на "цифровых кафедрах" университета в целях получения дополнительной квалификации по ИТ-профилю в рамках обучения по образовательным программам высшего образования - программам бакалавриата, программам специалитета, программам магистратуры, а также по дополнительным профессиональным программам профессиональной переподготовки ИТ-профиля" (далее - проект "цифровая кафедра);
- размер штрафа, выплачиваемого i-м университетом, в случае недостижения плановых значений характеристик результата предоставления субсидии, за исключением характеристики результата предоставления субсидии, относящейся к проекту "цифровая кафедра".
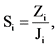
Размер штрафа, выплачиваемого i-м университетом, в случае недостижения планового значения характеристики результата предоставления субсидии, относящейся к проекту "цифровая кафедра", рассчитывается по формуле:
, если Si < 0,95,
где:
Gi - размер субсидии, использованной университетом на реализацию проекта "цифровая кафедра";
Zi - фактически достигнутое значение характеристики результата предоставления субсидии, относящейся к проекту "цифровая кафедра", i-м университетом на отчетную дату;
Ji - плановое значение характеристики результата предоставления субсидии, относящейся к проекту "цифровая кафедра", определенное i-му университету на отчетный год;
Si - оценка достижения значений характеристики результата предоставления субсидии, относящейся к проекту "цифровая кафедра", i-го университета, рассчитанная по формуле:

В случае если плановое достигнутое значение характеристики результата предоставления субсидии, относящейся к проекту "цифровая кафедра", не было установлено для i-го университета или установлено равным нулю, то отношение
считается равным 1.
В случае если Si
0,95, то Si считается равным 1.
Размер штрафа, выплачиваемого i-м университетом, в случае недостижения плановых значений характеристик результатов предоставления субсидии реализации программы развития университета в рамках программы "Приоритет-2030", за исключением характеристики результата предоставления субсидии, относящейся к проекту "цифровая кафедра", рассчитывается по формуле:
, если Ri < 0,95,
где:
Mi - размер субсидии, использованной на реализацию программы развития университета в рамках программы "Приоритет-2030" (общий размер использованной субсидии за вычетом размера субсидии, направленной на реализацию проекта "цифровая кафедра" (Gi));
- фактически достигнутое значение g-й характеристики результата предоставления субсидии i-м университетом на отчетную дату (без учета характеристики результата предоставления субсидии, относящейся к проекту "цифровая кафедра");
- плановое значение g-й характеристики результата предоставления субсидии, определенное i-му университету на отчетный год (без учета характеристики результата предоставления субсидии, относящейся к проекту "цифровая кафедра");
N - количество плановых характеристик результатов предоставления субсидии (без учета характеристики результата предоставления субсидии, относящейся к проекту "цифровая кафедра");
Ri - оценка достижения значений характеристик результата предоставления субсидии i-го университета, рассчитанная по формуле:

В случае если плановое значение g-й характеристики результата предоставления субсидии не было установлено для i-го университета или установлено равным нулю, то отношение
считается равным 1.
В случае если Ri
0,95, то Ri считается равным 1.
2. При недостижении получателем субсидии в установленные соглашением сроки значения характеристики результата предоставления субсидии получатель субсидии уплачивает пени в размере одной трехсотшестидесятой ключевой ставки Центрального банка Российской Федерации, действующей на дату начала начисления пени, от суммы субсидии за каждый день просрочки (с первого дня, следующего за плановой датой достижения результата предоставления субсидии, до дня фактического достижения результата предоставления субсидии либо возврата субсидии (части субсидии).
3. В случае недостижения i-м университетом значений целевых показателей эффективности реализации программы развития университета, выявленного в том числе по фактам проверок, проведенных главным распорядителем бюджетных средств и (или) органом государственного (муниципального) финансового контроля, получателем субсидии осуществляется выплата штрафа в федеральный бюджет, в размере средств (Vштраф,i), рассчитываемом по формуле:
, если Pi < 0,95,
где:
Ki - размер субсидии, использованный в отчетном финансовом году на реализацию программы развития университета в рамках программы стратегического академического лидерства "Приоритет-2030" за вычетом размера субсидии, направленного на реализацию проекта "цифровая кафедра" (Gi) и средств штрафа для выплаты в федеральный бюджет за недостижение значений характеристик результатов предоставления субсидии (Vштр,i);
- фактическое значение e-го целевого показателя эффективности реализации программы развития, достигнутое i-м университетом за отчетный год;
- плановое значение e-го целевого показателя эффективности реализации программы развития, определенное i-му университету на отчетный год;
W - общее количество плановых целевых показателей эффективности реализации программы развития университета на финансовый год;
Pi - оценка достижения значений целевых показателей эффективности i-го университета, рассчитанная по формуле:

В случае если плановое значение e-го целевого показателя эффективности реализации программы развития не было установлено для i-го университета или установлено равным нулю, то отношение
считается равным 1;
В случае если Pi
0,95, то Pi считается равным 1.
Иные условия, устанавливаемые для целей решения о порядке
предоставления субсидии
1. Программа "Приоритет-2030" предусматривает в том числе создание объединений университетов и научных организаций, включая формирование единой системы управления объединения и (или) реорганизацию в форме слияния или присоединения, для наращивания научного, технологического и кадрового потенциала экономики и социальной сферы и обеспечения регионального развития.
2. Претендентами на получение субсидий в рамках программы "Приоритет-2030" могут быть университеты-участники и университеты-кандидаты.
3. Для получения субсидии проекты получателей субсидии (программа (проект программы) развития университета, содержащая мероприятия на год предоставления субсидии) и (или) отчетные или предварительные отчетные результаты деятельности университета по реализации программы развития за год, предшествующий году предоставления субсидии) должны иметь оценку коллегиальных органов программы "Приоритет-2030" (включая коэффициент), проведенную в сроки и порядке, определенном Министерством науки и высшего образования Российской Федерации.
4. Программа (проект программы) развития университета должна содержать следующие обязательные разделы:
1) Общие положения: анализ результатов и текущее состояние университета.
2) Стратегия развития университета: целевая модель развития университета и ее ключевые характеристики.
3) Планируемые мероприятия по достижению целевой модели развития университета: стратегические цели развития университета и стратегии их достижения.
4) Цифровая кафедра университета.
5) Стратегическое технологическое лидерство университета.
Методические рекомендации по разработке программ (проектов программ) развития университетов утверждаются Министерством науки и высшего образования Российской Федерации.
5. Программы (проекты программ) развития университетов, за исключением университетов Дальневосточного федерального округа, должны включать следующие отдельные мероприятия (по выбору университета):
а) подготовка кадров для приоритетных направлений научно-технологического развития Российской Федерации, субъектов Российской Федерации, отраслей экономики и социальной сферы;
б) развитие и реализация прорывных научных исследований и разработок, в том числе получение по итогам прикладных научных исследований и (или) экспериментальных разработок результатов интеллектуальной деятельности, охраняемых в соответствии с Гражданским кодексом Российской Федерации;
в) внедрение в экономику и социальную сферу высоких технологий, коммерциализация результатов интеллектуальной деятельности и трансфер технологий, а также создание студенческих технопарков и бизнес-инкубаторов;
г) обновление, разработка и внедрение новых образовательных программ высшего образования и дополнительных профессиональных программ в интересах научно-технологического развития Российской Федерации, субъектов Российской Федерации, отраслей экономики и социальной сферы;
д) реализация образовательных программ высшего образования в сетевой форме, реализация творческих и социально-гуманитарных проектов с участием университетов, научных и других организаций реального сектора экономики и социальной сферы, в том числе на "цифровых кафедрах";
е) развитие материально-технических условий осуществления образовательной, научной, творческой, социально-гуманитарной деятельности университетов, включая обновление приборной базы университетов;
ж) развитие кадрового потенциала системы высшего образования, сектора исследований и разработок посредством обеспечения воспроизводства управленческих и научно-педагогических кадров, привлечение в университеты ведущих ученых и специалистов-практиков;
з) реализация программ внутрироссийской и международной академической мобильности научно-педагогических работников и обучающихся, в том числе в целях проведения совместных научных исследований, реализация творческих и социально-гуманитарных проектов;
и) реализация мер по совершенствованию научно-исследовательской деятельности в магистратуре, аспирантуре и докторантуре;
к) продвижение образовательных программ и результатов научно-исследовательских и опытно-конструкторских работ;
л) привлечение иностранных граждан для обучения в университетах и содействие трудоустройству лучших из них в Российской Федерации;
м) содействие трудоустройству выпускников университетов в секторе исследований и разработок и высокотехнологичных отраслях экономики;
н) объединение с университетами и (или) научными организациями независимо от их ведомственной принадлежности;
о) цифровая трансформация университетов и научных организаций;
п) вовлечение обучающихся в научно-исследовательские и опытно-конструкторские и (или) инновационные работы и (или) социально ориентированные проекты, а также осуществление поддержки обучающихся;
р) реализация новых творческих, социально-гуманитарных проектов;
с) тиражирование лучших практик университета в других университетах, не являющихся участниками программы "Приоритет-2030";
т) реализация мер по поддержке молодых научно-педагогических работников.
Программы (проекты программ) развития университетов Дальневосточного федерального округа, участвующих в отборе, должны включать следующие отдельные мероприятия (по выбору университета):
а) реализация не менее одного стратегического проекта по созданию подразделения в университете для выполнения научно-исследовательских проектов, в том числе в партнерстве с другими организациями;
б) обновление, разработка и внедрение новых образовательных программ высшего образования и дополнительных профессиональных программ в интересах научно-технологического развития, отраслей экономики и социальной сферы Дальневосточного федерального округа;
в) реализация образовательных программ высшего образования посредством использования сетевой формы реализации образовательных программ, реализация социально-гуманитарных проектов;
г) развитие материально-технических условий осуществления образовательной, научной, творческой, социально-гуманитарной деятельности университетов, включая обновление учебного и научного оборудования университетов;
д) развитие кадрового потенциала системы высшего образования, сектора исследований и разработок посредством обеспечения воспроизводства управленческих и научно-педагогических кадров, привлечение в университеты ведущих ученых, научно-педагогических работников и специалистов-практиков;
е) реализация программ российской и международной академической мобильности научно-педагогических работников и обучающихся, в том числе в целях проведения совместных научных исследований, реализации творческих и социально-гуманитарных проектов, а также стажировок руководителей университетов и их заместителей, административно-управленческого персонала, руководителей научно-исследовательских подразделений, лабораторий и их заместителей в научных и образовательных организациях (за исключением реализации указанных программ в иностранных государствах, входящих в перечень иностранных государств и территорий, совершающих в отношении Российской Федерации, российских юридических и физических лиц недружественные действия, утвержденный распоряжением Правительства Российской Федерации от 5 марта 2022 г. N 430-р);
ж) реализация мер по совершенствованию научной (научно-исследовательской) деятельности при осуществлении образовательной деятельности по программам магистратуры и программам подготовки научных и научно-педагогических кадров в аспирантуре, а также докторантуре;
з) содействие трудоустройству выпускников университетов в Дальневосточном федеральном округе;
и) цифровая трансформация университетов;
к) вовлечение обучающихся в социально ориентированные проекты, а также осуществление поддержки обучающихся;
л) реализация мер по поддержке молодых научно-педагогических работников;
м) реорганизация в форме слияния (присоединения) с другими университетами и (или) научными организациями не позднее чем через 2 года после года (по состоянию на 31 декабря), в котором принято решение об участии университета в программе "Приоритет-2030" (по состоянию на 31 декабря).
6. Средства субсидии могут быть направлены на компенсацию затрат (части затрат) получателя субсидии, по направлениям расходов, фактически произведенным в текущем финансовом году получателем субсидии за счет собственных средств с начала текущего финансового года и до заключения соглашения или дополнительного соглашения к соглашению, но не ранее 1 января года получения субсидии, при наличии документов, подтверждающих фактически произведенные получателем субсидии затраты (части затрат), предусмотренных соглашением.
7. Программы (проекты программ) развития университетов должны содержать проекты, мероприятия, направленные на достижение характеристик результата предоставления субсидии и целевых показателей эффективности реализации программ развития университетов, установленных в Решении в пункте 10 настоящего раздела.
8. Предусмотрено организационно-техническое сопровождение программы "Приоритет-2030", включающее в том числе мониторинг реализации программ развития университетов, аналитическое и организационное обеспечение работы коллегиальных органов программы "Приоритет-2030".
9. Университеты, программы (проекты программ) развития которых предусматривают реализацию мероприятий с формированием консорциумов - объединений, в том числе без образования юридического лица, с другими университетами и (или) научными организациями, независимо от их ведомственной принадлежности, и при необходимости с иными организациями на основании соглашений о взаимодействии, могут предоставлять средства субсидии указанным участникам консорциума, о чем между университетом и юридическим лицом - участником консорциума заключается соглашение в соответствии с типовой формой, установленной Министерством финансов Российской Федерации, содержащее следующие условия:
а) о результате предоставления субсидии, аналогичном результату, предусмотренному для университета - получателя субсидии в соглашении (дополнительном соглашении) о предоставлении субсидии, заключенном с Министерством науки и высшего образования Российской Федерации;
б) о характеристиках результата предоставления субсидии, аналогичных характеристикам, установленным для университета - получателя субсидии в соглашении (дополнительном соглашении) о предоставлении субсидии, заключенном с Министерством науки и высшего образования Российской Федерации;
в) о порядке и сроках представления отчетности иными юридическими лицами, которым университет как получатель субсидии предоставляет указанные средства:
по формам, установленным Министерством финансов Российской Федерации, о достижении значений результата предоставления субсидии и характеристик, указанных в подпунктах "а" и "б" настоящего пункта, и об осуществлении расходов, источником финансового обеспечения которых является субсидия (не реже одного раза в квартал);
по формам отчетности, установленным Министерством науки и высшего образования Российской Федерации в соглашении о предоставлении субсидии;
г) о согласии юридических лиц - участников консорциума на осуществление Министерством науки и высшего образования Российской Федерации и органом государственного финансового контроля проверок соблюдения условий и порядка предоставления субсидии;
д) о перечне затрат, которые могут осуществляться за счет субсидий, предоставляемых университетам в рамках программы "Приоритет-2030".
10. Начиная с 2025 года и далее в программах развития университетов устанавливаются следующие перечни характеристик результата предоставления субсидий и целевых показателей эффективности в рамках реализации программы "Приоритет-2030":
а) характеристики результата предоставления субсидии:
численность лиц, прошедших обучение по дополнительным профессиональным программам в университете, в том числе посредством онлайн-курсов;
количество реализованных проектов, в том числе с участием членов консорциума (консорциумов);
численность лиц, завершивших на бесплатной основе обучение (прошедших итоговую аттестацию) на "цифровых кафедрах" университета в целях получения дополнительной квалификации по ИТ-профилю в рамках обучения по образовательным программам высшего образования - программам бакалавриата, программам специалитета, программам магистратуры, а также по дополнительным профессиональным программам профессиональной переподготовки ИТ-профиля;
количество обучающихся университетов - участников программы "Приоритет-2030" и участников консорциумов с университетами, вовлеченных в реализацию проектов и программ, направленных на профессиональное развитие;
б) целевые показатели эффективности, методики расчета значений характеристик результата предоставления субсидии и целевых показателей эффективности утверждаются Министерством науки и высшего образования Российской Федерации.
11. Реализация программ развития университетов - участников программы "Приоритет-2030" будет обеспечивать: увеличение вклада университетов в отраслевую и (или) региональную экономику и в развитие субъектов Российской Федерации; привлечение абитуриентов, студентов и аспирантов, проявивших выдающиеся способности, в том числе иностранных; реализацию адаптивных, практико-ориентированных и гибких образовательных программ, включая дополнительные профессиональные программы, и сетевое взаимодействие с ведущими российскими и иностранными организациями; наращивание научно-исследовательского и инновационного потенциала, в том числе для внедрения результатов исследований и разработок; улучшение ресурсной обеспеченности и диверсификацию структуры доходов университета; наращивание кадрового потенциала; международную и российскую академическую мобильность научно-педагогических работников и обучающихся; поддержку молодых ученых и обучающихся; взаимодействие с выпускниками университета (в том числе иностранными), включая содействие их трудоустройству; цифровую трансформацию деятельности университетов, повышение эффективности системы управления университетом; продвижение в институциональных и (или) предметных (отраслевых) мировых рейтингах. Таким образом, мероприятия программ развития университетов направлены в том числе на молодежь.
12. Реализация программы "Приоритет-2030" будет способствовать достижению в 2030 году: увеличению не менее чем на 25% вклада университетов в развитие человеческого капитала в регионах в контексте трех базовых изменений: доступности высшего образования, достойного уровня жизни посредством средней заработной платы выпускников университетов и востребованности выпускников университетов на основе их трудоустройства, увеличению не менее чем в 1,5 раза вклада университетов в социально-экономическое развитие регионов в контексте трех базовых изменений: рост количества высокопроизводительных рабочих мест, созданных в университете и созданных им малых инновационных предприятий, либо в которых университет является участником; объем средств, полученных университетом от организаций реального сектора, из бюджета субъекта Российской Федерации и муниципального бюджета на реализацию региональных и муниципальных программ и проектов; доля университетов в валовом региональном продукте; созданию к 2030 году условий для одновременного освоения не менее чем 30% студентов нескольких квалификаций в рамках профессионального образования.
13. В соглашение с получателем субсидии включаются условия предоставления субсидии, определенные Правилами предоставления из бюджетов бюджетной системы Российской Федерации субсидий, в том числе грантов в форме субсидий, юридическим лицам, индивидуальным предпринимателям, а также физическим лицам - производителям товаров, работ, услуг, утвержденными постановлением Правительства Российской Федерации от 25 октября 2023 г. N 1780, а также следующие условия:
13.1. об обязательствах получателя субсидии по:
достижению значений характеристик результата предоставления субсидии и значений целевых показателей эффективности;
привлечению внебюджетного финансирования для достижения значений характеристик результата предоставления субсидии и значений целевых показателей эффективности с указанием размера средств внебюджетных источников по годам, а также предоставлении отчетности о фактическом размере внебюджетных источников, направленных на выполнение (достижение) результата предоставления субсидии и сведений о документах, подтверждающих привлечение внебюджетных источников;
предоставлению отчетности, предусмотренной настоящим Решением;
обеспечению реализации мероприятий программы развития университета и достижению результата субсидии с привлечением внебюджетных и иных источников финансирования в размере, не менее предусмотренных указанной программой, в том числе в случае, если размер субсидии, предоставляемой университету, меньше суммы, предусмотренной программой развития университета;
опубликованию утвержденной и согласованной программы развития университета на официальном сайте университета в информационно-телекоммуникационной сети "Интернет" в течение 3 месяцев с даты подписания соглашения о предоставлении субсидии;
ведению раздельного учета средств субсидии, а также ведению учета достижения значений результата и характеристик предоставления субсидии, целевых показателей эффективности, выполнение мероприятий программы развития получателя субсидии, в том числе аналитический учет операций, осуществляющих за счет средств Субсидии, в соответствии с рекомендациями Министерства науки и высшего образования Российской Федерации, размещенными в информационной системе "Приоритет-2030" на сайте www.priority2030.ru;
предоставлению по запросу Министерства науки и высшего образования Российской Федерации документов и информации, необходимых для осуществления контроля за соблюдением порядка и условий предоставления субсидии в сроки, установленные соглашением, в том числе в электронном виде с использованием функционала личного кабинета в информационной системе "Приоритет-2030" на сайте www.priority2030.ru;
устранению фактов нарушения условий, установленных при предоставлении субсидии, в случае получения от Министерства науки и высшего образования Российской Федерации соответствующего требования, в сроки, определенные в указанном требовании, а также возвращать в федеральный бюджет субсидию в размере и в сроки, определенные в указанном требовании;
обеспечению включения в договоры (соглашения), заключенные в целях исполнения обязательств по соглашениям, условий о согласии лиц, являющихся поставщиками (подрядчиками, исполнителями) по указанным договорам (соглашениям), на осуществление в отношении их контроля за соблюдением получателем субсидии условий и порядка предоставления субсидий, в том числе в части достижения результатов предоставления субсидии, осуществляется главным распорядителем бюджетных средств, а также органами государственного (муниципального) финансового контроля в соответствии со статьями 268.1 и 269.2 Бюджетного кодекса Российской Федерации;
регистрации на коммуникационной платформе "Контента" (национальныеприоритеты.рф) в течение 30 календарных дней с даты заключения соглашения;
предоставлению информации (информационный повод) о достигнутых результатах (в том числе промежуточных) в рамках реализации настоящего соглашения/контракта в части достижения результатов федеральных проектов, входящих в состав национального проекта "Молодежь и дети", не реже двух раз в квартал в коммуникационной платформе "Контента" (национальныеприоритеты.рф);
применению единого визуального стиля реализации национального проекта "Молодежь и дети" (в том числе единой цветовой гаммы) и на постоянной основе обеспечить применение и размещение компонентов указанного стиля, в том числе единого логотипа, юзерпика, фирменного блока, на введенных в эксплуатацию или строящихся объектах, созданных (создаваемых) продуктах, а также при оказании гражданам и организациям услуг, размещении информационных и (или) рекламных материалов, касающихся реализации федерального проекта "Университеты для поколения лидеров", проведении мероприятий, в том числе на сувенирной продукции, и иных событий, связанных с реализацией федерального проекта "Университеты для поколения лидеров" или национального проекта "Молодежь и дети";
утверждению (переутверждению) по согласованию с Министерством науки и высшего образования Российской Федерации программы развития университета, актуализированной с учетом рекомендаций коллегиальных органов программы "Приоритет-2030", в течение 3 месяцев с даты направления Министерством науки и высшего образования Российской Федерации соответствующих рекомендаций;
обеспечению разработки и предоставлении по запросу и в сроки, установленные Министерством науки и высшего образования Российской Федерации дорожной карты по реализации программы развития с учетом методических рекомендаций Министерства науки и высшего образования Российской Федерации;
представлению в Министерство науки и высшего образования Российской Федерации отчетов о проведенных научных исследованиях, полученных научных и (или) научно-технических результатах для организации оценки и подготовки заключения федеральным государственным бюджетным учреждением "Российская академия наук" в соответствии с Правилами осуществления федеральным государственным бюджетным учреждением "Российская академия наук" научного и научно-методического руководства научной и научно-технической деятельностью научных организаций и образовательных организаций высшего образования, а также экспертизы научных и научно-технических результатов, полученных этими организациями, утвержденными постановлением Правительства Российской Федерации от 30 декабря 2018 г. N 1781 "Об осуществлении федеральным государственным бюджетным учреждением "Российская академия наук" научного и научно-методического руководства научной и научно-технической деятельностью научных организаций и образовательных организаций высшего образования, а также экспертизы научных и научно-технических результатов, полученных этими организациями, и о внесении изменений в некоторые акты Правительства Российской Федерации";
получению по итогам прикладных научных исследований и (или) экспериментальных разработок охраняемые результаты интеллектуальной деятельности, предусмотренные Гражданским кодексом Российской Федерации;
направлению сведений о проведении научно-исследовательских, опытно-конструкторских и технологических работ гражданского назначения в Министерство науки и высшего образования Российской Федерации в порядке, предусмотренном постановлением Правительства Российской Федерации от 12 апреля 2013 г. N 327 "О единой государственной информационной системе учета научно-исследовательских, опытно-конструкторских и технологических работ гражданского назначения";
осуществлению мониторинга и контроля за использованием иными юридическими лицами средств, источником финансового обеспечения которых являются средства субсидии и которые были предоставлены иным лицам в рамках развития инновационной деятельности, в соответствии с постановлением Правительства Российской Федерации от 22 декабря 2020 г. N 2204 "О некоторых вопросах реализации государственной поддержки инновационной деятельности, в том числе путем венчурного и (или) прямого финансирования инновационных проектов, и признании утратившими силу акта Правительства Российской Федерации и отдельного положения акта Правительства Российской Федерации"; заключению с иными юридическими лицами - участниками консорциумов, предусмотренных программой развития университета - получателя субсидии, договор о предоставлении средств субсидии в соответствии с типовой формой, установленной Министерством финансов Российской Федерации;
определению ответственности университета за недостижение значений характеристик результата предоставления субсидии и целевых показателей эффективности;
согласию получателя субсидии (за исключением государственных (муниципальных) унитарных предприятий, хозяйственных товариществ и обществ с участием публично-правовых образований в их уставных (складочных) капиталах, коммерческих организаций с участием таких товариществ и обществ в их уставных (складочных) капиталах) на осуществление в отношении его контроля за соблюдением получателем субсидии условий и порядка предоставления субсидий, в том числе в части достижения результатов
осуществлению контроля главным распорядителем бюджетных средств, а также органами государственного (муниципального) финансового контроля в соответствии со статьями 268.1 и 269.2 Бюджетного кодекса Российской Федерации;
обеспечению возможности осуществления расходов, источником финансового обеспечения которых являются не использованные в отчетном финансовом году остатки субсидий, при принятии главным распорядителем бюджетных средств в установленном в соответствии с законодательством Российской Федерации порядке решения о наличии потребности в указанных средствах или возврате указанных средств в бюджет при отсутствии в них потребности;
запрету приобретения получателями субсидий - юридическими лицами, а также иными юридическими лицами, получающими средства на основании договоров (соглашений), заключенных с получателями субсидий, за счет полученных из соответствующего бюджета бюджетной системы Российской Федерации средств иностранной валюты, за исключением операций, осуществляемых в соответствии с валютным законодательством Российской Федерации при закупке (поставке) высокотехнологичного импортного оборудования, сырья и комплектующих изделий, а также иных случаев, предусмотренных пунктом 5.1 статьи 78 Бюджетного кодекса Российской Федерации и пунктом 3 статьи 78.1 Бюджетного кодекса Российской Федерации; о возможности возмещения за счет средств субсидии затрат, произведенным получателем за счет собственных средств, осуществленные за счет собственных средств в текущем финансовом году до заключения соглашения;
обеспечению согласования новых условий соглашения в соответствии с общими требованиями, утвержденными Правительством Российской Федерации, в соответствии с пунктом 6 статьи 161 Бюджетного кодекса Российской Федерации, или о расторжении соглашения при недостижении согласия по новым условиям в случае уменьшения главному распорядителю бюджетных средств ранее доведенных лимитов бюджетных обязательств на предоставление субсидии, приводящего к невозможности предоставления субсидии в размере, определенном в соглашении;
согласию на проведение Министерством науки и высшего образования Российской Федерации мониторинга реализации программы развития университета, в том числе выездного по месту нахождения получателя субсидии;
предоставлению по требованию Министерства науки и высшего образования Российской Федерации необходимых для выполнения функций по организационно-техническому, информационному, методическому, экспертно-аналитическому сопровождению программы "Приоритет-2030" документов и информации;
согласию на изменение условий соглашений (при необходимости);
13.2. о правах получателя субсидии по:
направлению в Министерство науки и высшего образования Российской Федерации предложений о внесении изменений в соглашение, в том числе в случае установления необходимости изменения размера субсидии с приложением информации, содержащей финансово-экономическое обоснование данного изменения, изменения показателей перечня затрат, источников финансового обеспечения которых является Субсидия (далее - перечень затрат), в течение срока действия соглашения, в том числе по окончании финансового года для приведения в соответствие показателей отчетов и показателей перечня затрат;
обращению в Министерство науки и высшего образования Российской Федерации в целях получения разъяснений в связи с исполнением соглашения;
использованию неиспользованного остатка субсидии или средств дебиторской задолженности на осуществление выплат в соответствии с целями предоставления субсидии в следующем финансовом году, в случае принятия Министерством науки и высшего образования Российской Федерации соответствующего решения;
использованию в текущем и следующем финансовом году средства от возвратов дебиторской задолженности на осуществление выплат в соответствии с целями предоставления субсидии в следующем финансовом году, в случае принятия Министерством науки и высшего образования Российской Федерации соответствующего решения;
направлению на компенсацию затрат (части затрат) получателя субсидии, осуществленных в текущем финансовом году на достижение целей, предусмотренных соглашением, за счет собственных средств до заключения соглашения.
14. Если субсидия предоставляется по нескольким подразделам кода бюджетной классификации, то при наличии необходимых объемов бюджетных ассигнований по соответствующему подразделу бюджетной классификации распределение бюджетных ассигнований между получателями субсидии может производится следующим образом:
14.1. университетам творческой направленности могут быть направлены бюджетные ассигнования по подразделу 0706 "Высшее образование" в размере до 100% от размера субсидии;
14.2. университетам Дальневосточного федерального округа бюджетные ассигнования по подразделу 0706 "Высшее образование" в размере до 90% от размера субсидии;
14.3. университетам-участникам (за исключением университетов творческой направленности и университетов Дальневосточного федерального округа) субсидия предоставляется по подразделам 0706 "Высшее образование" и "0708 "Прикладные научные исследования в области образования" в пропорциях, соответствующих общим объемам субсидии, определенных Министерством науки и высшего образования Российской Федерации наукой для предоставления субсидии, с учетом исключения объемов, необходимых для предоставления по соответствующим подразделам бюджетной классификации университетам творческой направленности и университетам Дальневосточного федерального округа.
15. Субсидия подлежит использованию в пределах финансового года и может быть направлена на затраты в пределах лимитов, определенных показателями перечня затрат к соглашению о предоставлении субсидии, составляемому по форме, установленной Министерством финансов Российской Федерации.
16. Изменение лимитов по показателям перечня затрат (далее - лимитов) может осуществляется на основании предложений университетов в течение срока действия соглашения по следующим причинам-основаниям:
экономия финансовых средств;
остаток финансовых средств;
изменение условий реализации проектов/мероприятий или пересмотр их состава;
изменение законодательства;
влияние регрессивных/прогрессивных ставок по налогам и обязательным платежам;
возврат дебиторской задолженности.
17. Изменение лимитов оформляется дополнительным соглашением по форме, установленной Министерством финансов Российской Федерации, на протяжении финансового года, а также после его окончания в случаях необходимости приведения в соответствие показателей отчетности и показателей перечня затрат, исправления ошибок, в том числе технических, обнаруженных при рассмотрении отчетов.
18. В случае принятия решения об использовании остатков субсидии по состоянию на 1 января года, следующего за отчетным финансовым годом, на цели, ранее установленные условиями их предоставления, после принятия указанного решения заключается дополнительное соглашение, включающее в себя показатели перечня затрат, на которые может быть направлен данный остаток субсидии.
19. В части характеристики результата предоставления субсидии "Численность лиц, завершивших на бесплатной основе обучение (прошедших итоговую аттестацию) на "цифровых кафедрах" университета в целях получения дополнительной квалификации по ИТ-профилю в рамках обучения по образовательным программам высшего образования - программам бакалавриата, программам специалитета, программам магистратуры, а также по дополнительным профессиональным программам профессиональной переподготовки ИТ-профиля" (далее - проект "Цифровые кафедры") устанавливаются следующие дополнительные условия:
19.1. Министерство науки и высшего образования Российской Федерации по согласованию с Министерством цифрового развития, связи и массовых коммуникаций Российской Федерации определяет плановые количественные значения по ежегодному выпуску студентов "цифровых кафедр" университетов. Кроме того, Министерство науки и высшего образования Российской Федерации вправе (при необходимости) устанавливать плановые количественные значения по ежегодному приему студентов на обучение на "цифровых кафедрах";
19.2. При расчете численности лиц, завершивших обучение на "цифровых кафедрах" в отчетном периоде, учитываются лица, завершившие обучение на бесплатной основе в целях получения дополнительной квалификации по ИТ-профилю в рамках обучения по образовательным программам высшего образования, а также по дополнительным профессиональным программам профессиональной переподготовки ИТ-профиля, достигшие целевого уровня развития цифровых компетенций по результатам итоговой оценки и прошедшие итоговую аттестацию (в отношении нового набора обучающихся на "цифровые кафедры");
19.3. Получатель субсидии самостоятельно определяет сумму средств, направляемых на реализацию проекта "цифровая кафедра", исходя из общего размера субсидии получателя (далее - объем субсидии на проект "цифровая кафедра"), утверждает расчет стоимости дополнительных профессиональных программ профессиональной переподготовки и устанавливает стоимость академического часа на основе методических рекомендаций по организации обучения на "цифровой кафедре", утверждаемых Министерством науки и высшего образования Российской Федерации и Министерством цифрового развития, связи и массовых коммуникаций Российской Федерации, а также формирует перечень затрат в пределах объема субсидии проекта "цифровая кафедра";
19.4. В соглашение с получателем включается условие о ведении раздельного учета средств субсидии проекта "цифровая кафедра" в целях достижения плановых значений характеристики результата "Численность лиц, завершивших на бесплатной основе обучение (прошедших итоговую аттестацию) на "цифровых кафедрах" университета в целях получения дополнительной квалификации по ИТ-профилю в рамках обучения по образовательным программам высшего образования - программам бакалавриата, программам специалитета, программам магистратуры, а также по дополнительным профессиональным программам профессиональной переподготовки ИТ-профиля", которое осуществляется в следующем соотношении:
а) не менее 80% объема субсидии на проект "цифровая кафедра" направляется на оплату труда сотрудников, физических и юридических лиц, привлекаемых для преподавания из ИТ-сферы и научной сферы, и (или) осуществляющих разработку образовательных и учебно-методических программ и материалов на "цифровой кафедре". Указанные расходы отражаются в перечне затрат к соглашению по следующим показателям:
выплаты заработной платы персоналу;
взносы на обязательное социальное страхование;
иные выплаты физическим лицам;
закупка работ и услуг;
уплата налогов, сборов и иных платежей в бюджеты бюджетной системы Российской Федерации, за исключением налога на добавленную стоимость и взносов на обязательное социальное страхование.
б) Не более 20% - направляется на другие показатели перечня затрат соглашения, в рамках направлений расходов, определенных разделом 4 настоящего Решения.
19.5. Проект шаблона соглашения и (или) дополнительного соглашения, формируемого Министерством науки и высшего образования Российской Федерации в государственной интегрированной информационной системе управления общественными финансами "Электронный бюджет", согласовывается с Министерством цифрового развития, связи и массовых коммуникаций Российской Федерации в течение 3 рабочих дней. В случае непоступления информации о согласовании в указанный срок проект шаблона соглашения и (или) дополнительного соглашения считается согласованным;
19.6. В целях осуществления мониторинга реализации проекта "Цифровая кафедра" Министерство науки и высшего образования Российской Федерации предоставляет по запросу Министерства цифрового развития, связи и массовых коммуникаций Российской Федерации соответствующую информацию о деятельности "цифровых кафедр" университетов, в том числе об использовании ими объема субсидии на проект "цифровая кафедра";
19.7. Министерство цифрового развития, связи и массовых коммуникаций Российской Федерации вправе направлять запросы в университеты при условии уведомления Министерства науки и высшего образования Российской Федерации о данных запросах.
Утверждено:
Руководитель (уполномоченное лицо)
Заместитель Министра
Афанасьев Д.В.
(должность)
(подпись)
(фамилия, инициалы)
13
Ноября
2025
г.
Согласовано:
Руководитель (уполномоченное лицо)
Советник
Кокаев Р.Р.
(должность)
(подпись)
(фамилия, инициалы)
11
Декабря
2025
г.