Решение Росжелдора от 24.11.2025 N 22-60817-00641-Р
ФЕДЕРАЛЬНОЕ АГЕНТСТВО ЖЕЛЕЗНОДОРОЖНОГО ТРАНСПОРТА
РЕШЕНИЕ
от 24 ноября 2025 г. N 22-60817-00641-Р
Версия 3
Коды
24.11.2025
Главный распорядитель бюджетных средств
Федеральное агентство железнодорожного транспорта
по БК
109
Бюджет
Федеральный бюджет
по ОКТМО
00000001
Направление расходов
Субсидии открытому акционерному обществу "Российские железные дороги", федеральному государственному унитарному предприятию "Крымская железная дорога", федеральному государственному унитарному предприятию "Железные дороги Новороссии" на возмещение потерь в доходах, возникающих в результате установления льготных тарифов на перевозку сельскохозяйственной продукции, а также продукции для организации сельскохозяйственного производства
по БК
60817
Национальный проект
по БК
Государственная программа
Государственная программа развития сельского хозяйства и регулирования рынков сельскохозяйственной продукции, сырья и продовольствия
по БК
25
Структурный элемент
Федеральный проект "Развитие отраслей и техническая модернизация агропромышленного комплекса"
по БК
01
Целевая статья расходов
Субсидии открытому акционерному обществу "Российские железные дороги", федеральному государственному унитарному предприятию "Крымская железная дорога", федеральному государственному унитарному предприятию "Железные дороги Новороссии" на возмещение потерь в доходах, возникающих в результате установления льготных тарифов на перевозку сельскохозяйственной продукции, а также продукции для организации сельскохозяйственного производства
по БК
25 2 01 60817
1. Общая информация
Наименование субсидии
Субсидии открытому акционерному обществу "Российские железные дороги", федеральному государственному унитарному предприятию "Крымская железная дорога", федеральному государственному унитарному предприятию "Железные дороги Новороссии" на возмещение потерь в доходах, возникающих в результате установления льготных тарифов на перевозку сельскохозяйственной продукции, а также продукции для организации сельскохозяйственного производства
Цель предоставления субсидии
Обеспечение доходности сельскохозяйственных товаропроизводителей
Тип субсидии
Субсидии на оказание услуг (выполнение работ)
Способ предоставления средств из бюджета
возмещение затрат (недополученных доходов)
Способ отбора получателей
не требуется
Для служебного пользования
Нет
Направлена на реализацию новаций в сфере искусственного интеллекта
Нет
Используемые понятия
"грузоотправитель" - физическое или юридическое лицо, которое по договору перевозки груза выступает от своего имени или от имени владельца груза и указано в перевозочном документе, подтверждающем заключение договора перевозки груза;
"грузы" - зерновые культуры, продукты переработки зерновых культур, продукты переработки семян масличных культур, овощная продукция, минеральные удобрения, рыба и рыбная продукция;
"зерновые культуры" - зерно, соответствующее кодам Единой тарифно-статистической номенклатуры грузов 011005, 012008, 014003, 015006, произведенное грузоотправителем, или закупленное им у производителей зерна, или закупленное им у российского юридического лица или индивидуального предпринимателя (при перевозке в направлении станций железных дорог Республики Крым и города федерального значения Севастополя);
"минеральные удобрения" - минеральные удобрения, соответствующие кодам Единой тарифно-статистической номенклатуры грузов, включенным в коды позиций Единой тарифно-статистической номенклатуры грузов 433008, 434000, 435003, 436006, закупленные сельскохозяйственным товаропроизводителем, осуществляющим деятельность в отрасли растениеводства;
"овощная продукция" - капуста свежая, лук репчатый и сеянец, свекла столовая свежая, морковь свежая, томаты свежие, огурцы свежие, соответствующие кодам Единой тарифно-статистической номенклатуры грузов, включенным в код позиции Единой тарифно-статистической номенклатуры грузов 041000, картофель свежий, соответствующий кодам Единой тарифно-статистической номенклатуры грузов, включенным в код позиции Единой тарифно-статистической номенклатуры грузов 043006;
"потери в доходах" - потери в доходах, возникающие в результате установления льготных тарифов на перевозку грузов (без взимания либо частичного взимания провозной платы за перевозку грузов (провозной платы) (далее - провозная плата) железнодорожным транспортом в железнодорожном подвижном составе для перевозок грузов и контейнерах всеми видами отправок;
"продукты переработки зерновых культур" - мука пшеничная, ржаная, ржано-пшеничная, соответствующая кодам Единой тарифно-статистической номенклатуры грузов 501008, 501012, 501027, 501031, 501046, 502000, 502015, 502026;
"продукты переработки семян масличных культур" - шрот кормовой (соевый), жмых и мука соевая, клетчатка, изолят соевый, соответствующие кодам Единой тарифно-статистической номенклатуры грузов 542224, 542239, 542258, 504044, 516200, произведенные грузоотправителем или закупленные им у производителя продуктов переработки семян масличных культур;
"рыба и рыбная продукция" - минтай, филе минтая, лосось тихоокеанский (Oncorhynchus gorbuscha), филе лосося тихоокеанского (Oncorhynchus gorbuscha), сардина иваси (Sardinops (Sardinops sagax melanosticta), филе сардины иваси (Sardinops (Sardinops sagax melanosticta), соответствующие кодам Единой тарифно-статистической номенклатуры грузов 572080, 572130 и кодам Гармонизированной номенклатуры грузов 03036700, 03047500, 03031200, 03048100, 03035330, 03048990;
"организация" - открытое акционерное общество "Российские железные дороги", федеральное государственное унитарное предприятие "Крымская железная дорога", федеральное государственное унитарное предприятие "Железные дороги Новороссии";
"субсидия" - субсидия из федерального бюджета открытому акционерному обществу "Российские железные дороги", федеральному государственному унитарному предприятию "Крымская железная дорога", федеральному государственному унитарному предприятию "Железные дороги Новороссии" на возмещение потерь в доходах, возникающих в результате установления льготных тарифов на перевозку сельскохозяйственной продукции, а также продукции для организации сельскохозяйственного производства;
"заявка на перевозку грузов" - заявка на перевозку груза, подаваемая грузоотправителем в организацию по форме, установленной Министерством транспорта Российской Федерации.
2. Информация о получателях субсидии
Перечень получателей субсидии
Код организации по Сводному реестру
Наименование получателя субсидии
ИНН
КПП
Основание для определения конкретного получателя субсидии (правовой акт, международное соглашение)
001НЛДД1
ФЕДЕРАЛЬНОЕ ГОСУДАРСТВЕННОЕ УНИТАРНОЕ ПРЕДПРИЯТИЕ "ЖЕЛЕЗНЫЕ ДОРОГИ НОВОРОССИИ"
9303033481
930301001
Федеральный закон (проект) от 15.12.2025 N--- "О федеральном бюджете на 2026 год и на плановый период 2027 и 2028 годов"
001Э6507
ФЕДЕРАЛЬНОЕ ГОСУДАРСТВЕННОЕ УНИТАРНОЕ ПРЕДПРИЯТИЕ "КРЫМСКАЯ ЖЕЛЕЗНАЯ ДОРОГА"
9102157783
910201001
Федеральный закон (проект) от 15.12.2025 N--- "О федеральном бюджете на 2026 год и на плановый период 2027 и 2028 годов"
450U1939
ОТКРЫТОЕ АКЦИОНЕРНОЕ ОБЩЕСТВО "РОССИЙСКИЕ ЖЕЛЕЗНЫЕ ДОРОГИ"
7708503727
770801001
Федеральный закон (проект) от 15.12.2025 N--- "О федеральном бюджете на 2026 год и на плановый период 2027 и 2028 годов"
Категории получателей субсидии
Категория
Тип субъекта экономической деятельности
Акционерные общества
Юридическое лицо
Федеральные государственные унитарные предприятия
Юридическое лицо
Требования к получателям субсидии
Наименование требования
Подтверждающий соответствие требованию документ
Участник отбора (получатель субсидии) - юридическое лицо не проходит процедуру ликвидации
Заявка
В отношении участника отбора (получателя субсидии) - юридического лица не введена процедура банкротства
Заявка
Деятельность участника отбора (получателя субсидии) - юридического лица не приостановлена в порядке, предусмотренном законодательством Российской Федерации
Заявка
Участником отбора (получателем субсидии) представлено согласие на публикацию (размещение) в сети "Интернет" информации об участнике отбора (получателе субсидии), о подаваемых им документах, иной информации, связанной с получением субсидии
Письменная форма соответствующего документа, подписываемая руководителем участника отбора (получателя субсидии) (иным уполномоченным лицом), главным бухгалтером (при наличии) или иным должностным лицом, на которое возлагается ведение бухгалтерского учета
Участник отбора (получатель субсидии) не является российским юридическим лицом, в уставном (складочном) капитале которого доля прямого или косвенного (через третьих лиц) участия иностранных юридических лиц, местом регистрации которых является государство или территория, включенные в утверждаемый Министерством финансов Российской Федерации перечень государств и территорий, используемых для промежуточного (офшорного) владения активами в Российской Федерации, в совокупности превышает 25 процентов (если иное не предусмотрено законодательством Российской Федерации)
Заявка
Участник отбора (получатель субсидии) не является иностранным юридическим лицом, в том числе местом регистрации которого является государство или территория, включенные в утверждаемый Министерством финансов Российской Федерации перечень государств и территорий, используемых для промежуточного (офшорного) владения активами в Российской Федерации
Заявка
Участник отбора (получатель субсидии) не должен получать средства из федерального бюджета (бюджета субъекта Российской Федерации, местного бюджета), из которого планируется предоставление субсидии, на основании иных нормативных правовых актов Российской Федерации (нормативных правовых актов субъекта Российской Федерации, муниципальных правовых актов), решений о порядке предоставления субсидии на цели, установленные решением о порядке предоставления субсидии, в целях определения получателей которой проводится отбор получателей субсидий
Заявка
Участник отбора (получатель субсидии) не является иностранным агентом в соответствии с Федеральным законом "О контроле за деятельностью лиц, находящихся под иностранным влиянием"
Заявка
Отсутствует просроченная задолженность по возврату иных субсидий, бюджетных инвестиций в бюджет бюджетной системы Российской Федерации, из которого планируется предоставление субсидии
Заявка
Отсутствует иная просроченная (неурегулированная) задолженность по денежным обязательствам перед Российской Федерацией
Заявка
Участник отбора (получатель субсидии) не находится в перечне организаций и физических лиц, связанных с распространением оружия массового уничтожения, составляемом в рамках реализации полномочий, предусмотренных главой VII Устава ООН, Советом Безопасности ООН или органами, специально созданными решениями Совета Безопасности ООН
Заявка
Участник отбора (получатель субсидии) не находится в перечне организаций и физических лиц, связанных с террористическими организациями и террористами, составляемом в рамках реализации полномочий, предусмотренных главой VII Устава ООН, Советом Безопасности ООН или органами, специально созданными решениями Совета Безопасности ООН
Заявка
Участник отбора не должен находиться в перечне организаций и физических лиц, в отношении которых имеются сведения об их причастности к экстремистской деятельности или терроризму
Заявка
3. Результат предоставления субсидии
Перечень результатов
Код результата
Тип результата
Наименование результата
Целевая статья: 25 2 01 60817
X234580000
Оказание услуг (выполнение работ)
Обеспечена перевозка железнодорожным транспортом сельскохозяйственной продукции, а также продукции для организации сельскохозяйственного производства по льготному тарифу
4. Направления финансирования
Направления затрат (недополученных доходов), на возмещение которых предоставляется субсидия
Наименование направления
Подтверждающий документ
Срок предоставления
Недополученные доходы
Отчет о потерях в доходах по форме согласно приложению N 1 к настоящему решению
ежемесячно, не позднее 20-го числа месяца, следующего за отчетным месяцем
5. Условия заключения соглашения о предоставлении субсидии
Не требуется заключение соглашения
Заключение соглашения о предоставлении субсидии с привлечением иного юридического лица (агента)
Предусматривается проведение мониторинга достижения результатов
Причина отказа от проведения мониторинга достижения результатов:
возмещение затрат (недополученных доходов), возникающих в результате государственного регулирования цен (тарифов) и (или) установления льготных тарифов (предоставления льгот)
Перечень дополнительной отчетности, подлежащей предоставлению получателем субсидии:
1.
Отчет о потерях в доходах по форме согласно приложению N 1 к настоящему решению предоставляется ежемесячно, не позднее 20-го числа месяца, следующего за отчетным месяцем.
Иные условия предоставления отчетности:
Отчет о потерях в доходах по форме согласно приложению N 1 к настоящему решению предоставляется ежемесячно, не позднее 20-го числа месяца, следующего за отчетным месяцем.
6. Порядок расчета размера предоставляемой субсидии
Размер субсидии, соответствующий размеру потерь в доходах, с учетом налога на добавленную стоимость (S) определяется по формуле:

где:
F - сумма провозной платы за перевозку грузов, за исключением рыбы и рыбной продукции, без учета налога на добавленную стоимость;
Fp - сумма провозной платы за перевозку рыбы и рыбной продукции без учета налога на добавленную стоимость;
G - сумма не доборов или переборов провозной платы без учета налога на добавленную стоимость, определяемая организацией на основании документов, подтверждающих заключение договора перевозки грузов, за предыдущие отчетные периоды;
0,5 - коэффициент корректировки провозной платы за перевозку рыбы и рыбной продукции;
N - коэффициент учета налога на добавленную стоимость в соответствии с действующим законодательством Российской Федерации.
Округление тарифа проводится до двух знаков после запятой.
7. Иные условия предоставления субсидии
7.1. Субсидия из федерального бюджета открытому акционерному обществу "Российские железные дороги", федеральному государственному унитарному предприятию "Крымская железная дорога", федеральному государственному унитарному предприятию "Железные дороги Новороссии" (далее - организация) на возмещение потерь в доходах, возникающих в результате установления льготных тарифов на перевозку сельскохозяйственной продукции, а также продукции для организации сельскохозяйственного производства (далее - субсидия) предоставляется организациям в целях возмещения потерь в доходах при перевозках:
зерновых культур - со станций железных дорог Алтайского, Красноярского краев, Кемеровской области - Кузбасс, Курганской, Новосибирской, Омской, Оренбургской, Тюменской областей в направлении станций железных дорог субъектов Российской Федерации, входящих в Центральный федеральный округ
зерновых культур - со станций железных дорог Алтайского, Красноярского краев, Кемеровской области - Кузбасс, Курганской, Новосибирской, Омской, Оренбургской, Тюменской областей в направлении станций железных дорог субъектов Российской Федерации, входящих в Дальневосточный и Северо-Западный федеральные округа, в направлении станций железных дорог Республики Крым и города федерального значения Севастополя и (или) Республики Дагестан, Краснодарского края, Астраханской, Ростовской областей;
продуктов переработки семян масличных культур - со станций железных дорог субъектов Российской Федерации, входящих в Дальневосточный федеральный округ, в направлении станций железных дорог субъектов Российской Федерации, входящих в Центральный, Приволжский и Уральский федеральные округа, со станций железных дорог субъектов Российской Федерации, входящих в Сибирский федеральный округ, в направлении станций железных дорог субъектов Российской Федерации, входящих в Центральный и Приволжский федеральные округа, со станций железных дорог Калининградской области в направлении станций железных дорог субъектов Российской Федерации, входящих в Центральный федеральный округ;
овощной продукции - со станций железных дорог субъектов Российской Федерации, входящих в Сибирский и Уральский федеральные округа, в направлении станций железных дорог субъектов Российской Федерации, входящих в Дальневосточный федеральный округ;
минеральных удобрений - со станций железных дорог субъектов Российской Федерации в направлении станций железных дорог субъектов Российской Федерации, входящих в Дальневосточный федеральный округ (за исключением перевозки в пределах одного субъекта Российской Федерации);
рыбы и рыбной продукции: минтай, филе минтая - со станций железных дорог субъектов Российской Федерации, входящих в Дальневосточный федеральный округ (за исключением Амурской области, Еврейской автономной области, Забайкальского края и Республики Бурятия), в направлении станций железных дорог субъектов Российской Федерации (за исключением перевозки в пределах субъектов Российской Федерации, входящих в Дальневосточный федеральный округ); лосось тихоокеанский (Oncorhynchus gorbuscha), филе лосося тихоокеанского (Oncorhynchus gorbuscha), сардина иваси (Sardinops (Sardinops sagax melanosticta), филе сардины иваси (Sardinops (Sardinops sagax melanosticta) - со станций железных дорог субъектов Российской Федерации, входящих в Дальневосточный федеральный округ (за исключением Амурской области, Еврейской автономной области, Забайкальского края и Республики Бурятия), в направлении станций железных дорог субъектов Российской Федерации, входящих в Центральный федеральный округ;
продуктов переработки зерновых культур - со станций железных дорог субъектов Российской Федерации, входящих в Сибирский федеральный округ, в направлении станций железных дорог субъектов Российской Федерации, входящих в Дальневосточный федеральный округ.
7.2. Провозная плата, начисляемая организацией, но не взыскиваемая с грузоотправителей, определяется в соответствии с разделом 2 прейскуранта N 10-01 "Тарифы на перевозки грузов и услуги инфраструктуры, выполняемые российскими железными дорогами" с учетом решений организации по изменению уровня тарифов в границах ценовых пределов.
Затраты грузоотправителей на дополнительные услуги, сборы и платы, а также на услуги операторов по привлечению подвижного состава, затраты грузоотправителей на услуги иных перевозчиков, за исключением перевозчиков, указанных в пункте 1 настоящего решения, связанные с осуществлением перевозки грузов, не возмещаются в соответствии с настоящим решением и оплачиваются грузоотправителями за счет собственных средств.
Предоставление субсидии не распространяется на перевозки железнодорожным транспортом груза с переадресовкой на первоначальной станции назначения либо в пути следования вне зависимости от заявителя (грузоотправителя, грузополучателя или иного юридического или физического лица).
При перевозках в направлении станций железных дорог Республики Крым и города федерального значения Севастополя субсидия по перевозочному документу предоставляется организации в размере провозной платы, причитающейся каждой организации за перевозку по своей железнодорожной инфраструктуре общего пользования.
В случае перевозки рыбы и рыбной продукции провозная плата, начисляемая организацией, но не взыскиваемая с грузоотправителей, определяется в соответствии с разделом 2 прейскуранта N 10-01 "Тарифы на перевозки грузов и услуги инфраструктуры, выполняемые российскими железными дорогами" с учетом решений организации по изменению уровня тарифов в границах ценовых пределов с применением коэффициента 0,5.
7.3. Перевозки грузов осуществляются на основании положительного заключения Министерства сельского хозяйства Российской Федерации о соответствии заявки на перевозку груза, подаваемой грузоотправителем в организацию по форме, установленной Министерством транспорта Российской Федерации (далее - заявка на перевозку грузов), требованиям, предусмотренным настоящим решением.
В заявке на перевозку грузов указываются объем грузов и срок ее действия.
Организация при отсутствии возможности полного удовлетворения спроса грузоотправителей на услуги по перевозке грузов на конкретном направлении движения поездов в связи с ограничением ее пропускной и провозной способности обеспечивает оказание услуг по перевозке грузов в приоритетном порядке согласно очередности на основании документов, устанавливающих общие принципы и порядок обеспечения недискриминационного доступа перевозчиков к инфраструктуре железнодорожного транспорта общего пользования в условиях ее ограниченной пропускной способности.
7.4. Объемы грузов на текущий финансовый год, перевозимых по льготным тарифам в расчетном периоде (с 1 декабря предшествующего финансового года по 30 ноября текущего финансового года), потери в доходах при транспортировке которых возмещаются за счет субсидий (далее - объемы грузов), определяются Министерством сельского хозяйства Российской Федерации следующим образом.
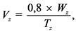
7.4.1. Объем зерновых культур, планируемых к перевозке по льготным тарифам (без взимания провозной платы) в расчетном периоде (за исключением объема зерновых культур, планируемых к перевозке в направлении станций железных дорог Республики Крым и города федерального значения Севастополя), потери в доходах при транспортировке которых возмещаются за счет субсидий в случаях, предусмотренных пунктом 7.1 раздела 7 настоящего решения (Vz), определяется по формуле:

где:
Wz - размер субсидий, планируемых к предоставлению организации в текущем финансовом году на возмещение потерь в доходах при перевозке зерновых культур;
Tz - средний размер провозной платы (без учета налога на добавленную стоимость) (далее - НДС) за перевозку зерновых культур, потери в доходах при транспортировке которых возмещаются за счет субсидий в случаях, предусмотренных пунктом 7.1 раздела 7 настоящего решения, представленный организацией, рассчитанный в соответствии с пунктом 7.2 раздела 7 настоящего решения.
7.4.2. Размер субсидий, планируемых к предоставлению организации в текущем финансовом году на возмещение потерь в доходах при перевозке зерновых культур (Wz), рассчитывается по формуле:
Wz = 0,5 x W,
где:
W - объем лимитов бюджетных обязательств, предусмотренных проектом федерального закона о федеральном бюджете на соответствующий финансовый год и плановый период на цели, указанные в пункте 7.1 раздела 7 настоящего решения;
7.4.2(1) Объем зерновых культур, планируемых к перевозке в направлении станций железных дорог субъектов Российской Федерации Республики Крым и города федерального значения Севастополя по льготным тарифам в текущем финансовом году, потери в доходах при транспортировке которых возмещаются за счет субсидий в случаях, предусмотренных пунктом 7.1 раздела 7 настоящего решения (Vzk), определяется по формуле:

Tzk - средний размер провозной платы (без учета НДС) за перевозку зерновых культур в направлении станций железных дорог Республики Крым и города федерального значения Севастополя, потери в доходах при транспортировке которых возмещаются за счет субсидий в случаях, предусмотренных пунктом 7.1 раздела 7 настоящего решения, представленный организацией, рассчитанный в соответствии с пунктом 7.2 раздела 7 настоящего решения.
7.4.3. Объем i-го груза (за исключением зерновых культур), планируемого к перевозке по льготным тарифам в расчетном периоде, потери в доходах при транспортировке которого возмещаются за счет субсидий в случаях, предусмотренных пунктом 7.1 раздела 7 настоящего решения (Vi), определяется по формуле:

где:
Wi - размер субсидий, планируемых к предоставлению организации в текущем финансовом году на возмещение потерь в доходах при перевозке i-го груза;
Ti - средний размер провозной платы (без учета НДС) за перевозку i-го груза, потери в доходах при транспортировке которого возмещаются за счет субсидий в случаях, предусмотренных пунктом 7.1 раздела 7 настоящего решения, представленный организацией, рассчитанный в соответствии с пунктом 7.2 раздела 7 настоящего решения.
7.4.4. Размер субсидий, планируемых к предоставлению организации в текущем финансовом году на возмещение потерь в доходах при перевозке i-го груза (Wi), рассчитывается по формуле:

где:
N - количество наименований грузов (за исключением зерновых культур), перевозимых по льготным тарифам в расчетном периоде, потери в доходах при транспортировке которых возмещаются за счет субсидий в случаях, предусмотренных пунктом 7.1 раздела 7 настоящего решения.
7.4.5. Объемы, определенные в соответствии с настоящим решением, утверждаются Министерством сельского хозяйства Российской Федерации ежегодно, в срок до 25 ноября года, предшествующего текущему финансовому году.
7.4.6. Информация об Объемах не позднее 5 рабочих дней после их утверждения в соответствии с пунктом 7.4.5 раздела 7 настоящего решения размещается на официальном сайте Министерства в информационно-телекоммуникационной сети "Интернет".
Объемы подлежат использованию начиная с даты размещения информации о них на официальном сайте Министерства в информационно-телекоммуникационной сети "Интернет".
7.4.7. В случае отсутствия потребности в объемах грузов, а также изменения видов грузов и (или) случаев, при которых осуществляется возмещение потерь в доходах при транспортировке грузов за счет субсидий, Министерство по мере необходимости, но не чаще 1 раза в месяц и не позднее 29 ноября текущего финансового года вправе перераспределить остатки объемов грузов с учетом актуализации статистической информации, изменения конъюнктуры рынка, ранее поступивших заявок, освоения лимитов бюджетных обязательств, утвержденных Федеральному агентству железнодорожного транспорта на цели, указанные в пункте 7.1 раздела 7 настоящего решения, данных организации о фактических перевозках, а также на основании письменных обращений исполнительных органов субъектов Российской Федерации, уполномоченных высшими исполнительными органами субъектов Российской Федерации.
7.5. Для получения заключения Министерства сельского хозяйства Российской Федерации организация в течение 2 рабочих дней со дня получения от грузоотправителя заявки на перевозку грузов направляет ее на бумажном носителе или в электронном виде с использованием единой системы межведомственного электронного взаимодействия (далее - СМЭВ) на рассмотрение в Министерство сельского хозяйства Российской Федерации.
7.6. Грузоотправитель не ранее чем за 45 дней до начала срока действия заявки на перевозку грузов одновременно с направлением заявки на перевозку грузов представляет в Министерство сельского хозяйства Российской Федерации в форме электронного документа посредством использования федеральной государственной информационной системы "Единый портал государственных и муниципальных услуг (функций) (далее - ФГИС "ЕПГУ"):
а) в случае перевозки зерновых культур:
копию заявки на перевозку зерновых культур;
копию договора купли-продажи зерновых культур, заключенного с производителем зерна, с указанием цены закупки зерновых культур - в случае, если зерновые культуры закуплены у производителя зерна (не представляется в случае приобретения зерновых культур на биржевых торгах);
копию сведений о сборе урожая сельскохозяйственных культур по форме федерального статистического наблюдения N 29-сх "Сведения о сборе урожая сельскохозяйственных культур", или сведений о сборе урожая сельскохозяйственных культур по форме федерального статистического наблюдения N 2-фермер "Сведения о сборе урожая сельскохозяйственных культур", или сведений о сборе урожая сельскохозяйственных культур по форме федерального статистического наблюдения МП (микро)-натура "Сведения о производстве продукции микропредприятием" за последний отчетный год с подтверждением получения статистической формы государственными органами статистики Российской Федерации (не представляется в случае приобретения зерновых культур на биржевых торгах);
выписку из биржевого реестра договоров с указанием того, что зерновые культуры приобретены у производителя зерна, а также с указанием участника торгов (покупателя) и цены закупки - в случае, если зерновые культуры приобретены на биржевых торгах без проведения клиринга или на биржевых торгах, по итогам которых осуществляется клиринг без участия центрального контрагента;
письмо биржи, подписанное уполномоченным лицом биржи, подтверждающее факт приобретения зерновых культур у производителя зерна с указанием цены закупки, - в случае, если зерновые культуры приобретены на биржевых торгах, по итогам которых осуществляется клиринг с участием центрального контрагента;
копию договора об оказании услуг перевозки (отгрузки) между грузоотправителем и владельцем зерновых культур - в случае, если грузоотправитель не является владельцем зерновых культур и условие о перевозке не оговорено договором купли-продажи;
для перевозки зерновых культур, осуществляемой в направлении станций железных дорог Республики Крым и города федерального значения Севастополя:
копию заявки на перевозку зерновых культур;
копию сведений о сборе урожая сельскохозяйственных культур по форме федерального статистического наблюдения N 29-сх "Сведения о сборе урожая сельскохозяйственных культур", или сведений о сборе урожая сельскохозяйственных культур по форме федерального статистического наблюдения N 2-фермер "Сведения о сборе урожая сельскохозяйственных культур", или сведений о сборе урожая сельскохозяйственных культур по форме федерального статистического наблюдения МП (микро)-натура "Сведения о производстве продукции микропредприятием" за последний отчетный год с подтверждением получения статистической формы государственными органами статистики Российской Федерации;
копию договора купли-продажи зерновых культур, заключенного между российским юридическим лицом или индивидуальным предпринимателем и производителем зерна, с указанием цены закупки зерновых культур;
копию договора (договоров) купли-продажи зерновых культур, заключенного (заключенных) между российскими юридическими лицами или российским юридическим лицом и индивидуальным предпринимателем, с указанием цены закупки зерновых культур;
копию договора об оказании услуг перевозки (отгрузки) между грузоотправителем и российским юридическим лицом - в случае, если грузоотправитель не является владельцем зерновых культур и условие о перевозке не оговорено договором купли-продажи;
б) для перевозки продуктов переработки семян масличных культур:
копию заявки на перевозку продуктов переработки семян масличных культур;
копию договора купли-продажи, заключенного с производителем продуктов переработки семян масличных культур, - в случае, если продукты переработки семян масличных культур закуплены у производителей, осуществляющих первичную и (или) последующую (промышленную) переработку семян масличных культур (не представляется в случае приобретения продуктов переработки семян масличных культур на биржевых торгах);
продуктов переработки семян масличных культур копию формы N П-1 "Сведения о производстве и отгрузке товаров и услуг", формы N П-5 (м) "Основные сведения о деятельности организации", формы 1-ИП (мес) "Сведения о производстве продукции индивидуальным предпринимателем" или формы ПМ-пром "Сведения о производстве продукции малым предприятием" или формы МП (микро)-натура "Сведения о производстве продукции микропредприятием" за последний отчетный период с подтверждением получения статистической формы государственными органами статистики Российской Федерации;
выписку из биржевого реестра договоров с указанием того, что продукты переработки семян масличных культур приобретены у производителя продуктов переработки семян масличных культур, а также с указанием участника торгов (покупателя) и цены закупки - в случае, если продукты переработки семян масличных культур приобретены на биржевых торгах без проведения клиринга или на биржевых торгах, по итогам которых осуществляется клиринг без участия центрального контрагента;
письмо биржи, подписанное уполномоченным лицом биржи, подтверждающее факт приобретения продуктов переработки семян масличных культур у производителя продуктов переработки семян масличных культур с указанием цены закупки, - в случае, если продукты переработки семян масличных культур приобретены на биржевых торгах, по итогам которых осуществляется клиринг с участием центрального контрагента;
копию договора об оказании услуг перевозки (отгрузки) между грузоотправителем и владельцем продуктов переработки семян масличных культур - в случае, если грузоотправитель не является владельцем продуктов переработки семян масличных культур и условие о перевозке не оговорено договором купли-продажи;
для перевозки продуктов переработки семян масличных культур, осуществляемой со станций железных дорог Калининградской области, грузоотправитель дополнительно представляет:
акт экспертизы союза "Калининградская торгово-промышленная палата", подписанный уполномоченным лицом указанного союза, подтверждающий происхождение товара, полученного в результате переработки из сырья российского происхождения;
сертификат союза "Калининградская торгово-промышленная палата", подписанный уполномоченным лицом указанного союза, подтверждающий происхождение товара, полученного в результате переработки из сырья российского происхождения;
в) для перевозки минеральных удобрений: копию заявки на перевозку минеральных удобрений;
копию договора купли-продажи минеральных удобрений, заключенного сельскохозяйственным товаропроизводителем, осуществляющим деятельность в отрасли растениеводства, в качестве покупателя минеральных удобрений, с указанием цены закупки минеральных удобрений без учета доставки (не представляется, если минеральные удобрения приобретены на биржевых торгах);
копию сведений о сборе урожая сельскохозяйственных культур по форме федерального статистического наблюдения N 29-сх "Сведения о сборе урожая сельскохозяйственных культур", или сведений о сборе урожая сельскохозяйственных культур по форме федерального статистического наблюдения N 2-фермер "Сведения о сборе урожая сельскохозяйственных культур", или сведений о сборе урожая сельскохозяйственных культур по форме федерального статистического наблюдения МП (микро)-натура "Сведения о производстве продукции микропредприятием" за последний отчетный год с подтверждением получения статистической формы государственными органами статистики Российской Федерации (не представляется в случае приобретения минеральных удобрений на биржевых торгах);
выписку из биржевого реестра договоров с указанием того, что покупателем минеральных удобрений является сельскохозяйственный товаропроизводитель, осуществляющий деятельность в отрасли растениеводства, и цены закупки - в случае, если минеральные удобрения приобретены на биржевых торгах без проведения клиринга или на биржевых торгах, по итогам которых осуществляется клиринг без участия центрального контрагента;
письмо биржи, подписанное уполномоченным лицом биржи, подтверждающее факт приобретения минеральных удобрений сельскохозяйственным товаропроизводителем, осуществляющим деятельность в отрасли растениеводства, с указанием цены закупки, - в случае приобретения минеральных удобрений на биржевых торгах, по итогам которых осуществляется клиринг с участием центрального контрагента;
копию договора об оказании услуг перевозки (отгрузки) минеральных удобрений между грузоотправителем и покупателем минеральных удобрений - в случае, если грузоотправитель не является владельцем минеральных удобрений и условие о перевозке не оговорено договором купли-продажи;
г) для перевозки овощных культур:
копию заявки на перевозку овощной продукции;
копию договора купли-продажи овощной продукции с указанием цены ее закупки;
копию договора об оказании услуг перевозки (отгрузки) овощной продукции между грузоотправителем и покупателем овощной продукции - в случае, если грузоотправитель не является владельцем овощной продукции и условие о перевозке не оговорено договором купли-продажи;
д) для перевозки рыбы и рыбной продукции:
копию заявки на перевозку рыбы и рыбной продукции;
копию договора купли-продажи рыбы и рыбной продукции, содержащие название приобретаемого вида рыбы и рыбной продукции (минтай, филе минтая, лосось тихоокеанский (Oncorhynchus gorbuscha), филе лосося тихоокеанского (Oncorhynchus gorbuscha), сардины иваси (Sardinops (Sardinops sagax melanosticta), филе сардины иваси (Sardinops (Sardinops sagax melanosticta), с указанием цены ее закупки или копию документа, подтверждающего право на добычу (вылов) минтая и (или) лосося тихоокеанского (Oncorhynchus gorbuscha) и (или) сардины иваси (Sardinops sagax melanosticta);
копию договора об оказании услуг перевозки (отгрузки) рыбы и рыбной продукции между грузоотправителем и покупателем рыбы и рыбной продукции - в случае, если грузоотправитель не является владельцем рыбы и рыбной продукции и условие о перевозке не оговорено договором купли-продажи;
выписку из биржевого реестра договоров с указанием покупателя и цены закупки рыбы и рыбной продукции - в случае, если рыба и рыбная продукция приобретены на биржевых торгах без проведения клиринга или на биржевых торгах, по итогам которых осуществляется клиринг без участия центрального контрагента;
письмо биржи, подписанное уполномоченным лицом биржи, подтверждающее факт приобретения рыбы и рыбной продукции с указанием цены закупки, - в случае приобретения рыбы и рыбной продукции на биржевых торгах, по итогам которых осуществляется клиринг с участием центрального контрагента;
е) в случае перевозки продуктов переработки зерновых культур: копию заявки на перевозку продуктов переработки зерновых культур:
копию договора купли-продажи продуктов переработки зерновых культур, заключенного с производителем продуктов переработки зерновых культур, с указанием цены закупки продуктов переработки зерновых культур в случае, если продукты переработки зерновых культур закуплены у производителей, осуществляющих первичную и (или) последующую (промышленную) переработку зерновых культур;
копию формы N П-1 "Сведения о производстве и отгрузке товаров и услуг", формы N П-5 (м) "Основные сведения о деятельности организации", формы 1-ИП (мес) "Сведения о производстве продукции индивидуальным предпринимателем" или формы ПМ-пром "Сведения о производстве продукции малым предприятием" или формы МП (микро)-натура "Сведения о производстве продукции микропредприятием" за последний отчетный период с подтверждением получения статистической формы государственными органами статистики Российской Федерации;
копию договора об оказании услуг перевозки (отгрузки) продуктов переработки зерновых культур между грузоотправителем и владельцем продуктов переработки зерновых культур - в случае, если грузоотправитель не является владельцем продуктов переработки зерновых культур и условие о перевозке не оговорено договором купли-продажи.
7.7. Министерство сельского хозяйства Российской Федерации в течение 5 рабочих дней со дня поступления от организации заявки на перевозку грузов и от грузоотправителя документов, предусмотренных пунктом 7.6 раздела 7 настоящего решения, направляет организации, а также в Федеральное агентство железнодорожного транспорта заключение на бумажном носителе или в электронном виде с использованием СМЭВ, указанное в пункте 7.3 раздела 7 настоящего решения. В период проведения анализа фактической перевозки грузов, предусмотренного пунктом 7.7(2) раздела 7 настоящего решения, срок направления заключения составляет 10 рабочих дней.
В случае непредставления грузоотправителем в Министерство сельского хозяйства Российской Федерации документов, предусмотренных пунктом 7.6 раздела 7 настоящего решения или представления их с заполнением некорректных сведений в форме, предусмотренной ФГИС "ЕПГУ", или представления документов с нарушениями требований настоящего решения Министерство сельского хозяйства Российской Федерации направляет организации, а также в Федеральное агентство железнодорожного транспорта заключение на бумажном носителе или в электронном виде с использованием СМЭВ о несоответствии заявки на перевозку грузов требованиям, предусмотренным настоящим решением.
Грузоотправитель обеспечивает предъявление грузов к перевозке в объемах, по которым Министерство сельского хозяйства Российской Федерации направило положительное заключение, в течение срока действия заявки на перевозку грузов.
В случае предъявления грузов грузоотправителем к перевозке по истечении срока действия заявки на перевозку грузов и (или) в объемах, превышающих объемы, по которым Министерство сельского хозяйства Российской Федерации направило положительное заключение, потери в доходах не возмещаются Федеральным агентством железнодорожного транспорта и оплачиваются грузоотправителем за счет собственных средств.
7.7(1) Допускается однократная корректировка заявки на перевозку грузов, получившей заключение Минсельхоза России о соответствии требованиям настоящего решения, только в части изменения первоначальной станции отправления железных дорог в пределах субъекта Российской Федерации, в котором подавалась такая станция, и (или) срока начала действия заявки на перевозку грузов без необходимости повторного представления в Минсельхоз России комплекта документов, предусмотренного пунктом 7.6. раздела 7 настоящего решения.
В случае корректировки грузоотправителем заявки на перевозку грузов, предусмотренной абзацем первым настоящего пункта, организация направляет повторно такую заявку для получения заключения Минсельхоза России в соответствии с пунктом 7.5 раздела 7 настоящего решения.
7.7(2) В целях исключения излишнего резервирования пропускной способности инфраструктуры организации, Министерство сельского хозяйства Российской Федерации не позднее 20 числа месяца, следующего за отчетным месяцем, осуществляет анализ фактической перевозки грузов по заявкам, по которым Министерством вынесены положительные заключения с учетом информации, полученной от организации о таких перевозках.
В случае, если по результатам анализа фактической перевозки грузов по согласованным заявкам, с учетом информации, полученной от организации, грузоотправителем за период с декабря предыдущего финансового года по февраль (включительно) текущего финансового года фактическая перевозка грузов составляет менее 90% по заявкам, по которым Министерством сельского хозяйства Российской Федерации вынесены положительные заключения, по причинам, независящим от организации, то Министерство сельского хозяйства Российской Федерации не позднее 5 апреля текущего финансового года направляет грузоотправителю предупреждение в виде письма о необходимости обеспечения фактической перевозки грузов по согласованным заявкам.
В случае, если по результатам анализа фактической перевозки грузов по согласованным заявкам, с учетом информации, полученной от организации, грузоотправителем за период с марта текущего финансового года по май (включительно) текущего финансового года фактическая перевозка грузов по заявкам, по которым Министерством сельского хозяйства Российской Федерации вынесены положительные заключения, повторно составляет менее 90% по причинам, независящим от организации, то Министерство сельского хозяйства Российской Федерации приостанавливает рассмотрение документов и вынесение заключений по заявкам такого грузоотправителя на 180 календарных дней, о чем он уведомляется соответствующим письмом не позднее 5 июля текущего финансового года. Приостановка рассмотрения заявок грузоотправителя начинается с даты регистрации соответствующего письма.
7.8. Заявка на перевозку грузов может быть подана грузоотправителем и организацией повторно в соответствии с пунктами 7.5 и 7.6 раздела 7 настоящего решения.
7.9. Субсидия предоставляется организации в размере потерь в доходах, определяемых на основании перевозочных документов, подтверждающих заключение договора перевозки груза, как сумма провозной платы, начисляемой организацией, но не взыскиваемой с грузоотправителей, и понесенных:
с 1 февраля по 31 августа текущего финансового года - в случаях, предусмотренных абзацем вторым пункта 7.1 раздела 7 настоящего решения;
с 1 января по 31 декабря текущего финансового года - в случаях, предусмотренных абзацем третьим и шестым пункта 7.1 раздела 7 настоящего решения;
с 1 декабря 2025 г. по 31 декабря 2026 г. - в случаях, предусмотренных абзацами четвертым, пятым, седьмым и восьмым пункта 7.1 раздела 7 настоящего решения.
7.10. Субсидия предоставляется Федеральным агентством железнодорожного транспорта в пределах лимитов бюджетных обязательств, доведенных в установленном порядке до Федерального агентства железнодорожного транспорта как получателя средств федерального бюджета, на цели, указанные в пункте 7.1 раздела 7 настоящего решения.
Предоставление субсидий на возмещение потерь в доходах, понесенных в декабре текущего финансового года, осуществляется Федеральным агентством железнодорожного транспорта за счет бюджетных ассигнований, предусмотренных в федеральном законе о федеральном бюджете на очередной финансовый год и плановый период.
7.11. В случае превышения суммы провозной платы над размером средств, предусмотренных в федеральном законе о федеральном бюджете на соответствующий финансовый год и плановый период, и лимитов бюджетных обязательств, доведенных в установленном порядке до Федерального агентства железнодорожного транспорта как получателя средств федерального бюджета, на цели, указанные в пункте 7.1 настоящего решения, перевозки грузов осуществляются без установления льготных тарифов (с взиманием провозной платы) грузоотправителям.
7.12. Для получения субсидии организация ежемесячно представляет в Федеральное агентство железнодорожного транспорта отчет о потерях в доходах по форме согласно приложению N 1 к настоящему решению не позднее 20-го числа месяца, следующего за отчетным месяцем.
Федеральное агентство железнодорожного транспорта в течение 5 рабочих дней со дня получения отчета, а при представлении уточненного отчета - в течение 2 рабочих дней со дня его получения осуществляет проверку полноты, достоверности и правильности оформления отчета и принимает решение о предоставлении организации субсидии либо о возврате отчета организации с указанием причин возврата.
Организация в течение 5 рабочих дней со дня получения отчета, возвращенного Федеральным агентством железнодорожного транспорта, устраняет допущенные нарушения и представляет уточненный отчет в Федеральное агентство железнодорожного транспорта.
Основаниями для отказа организации в предоставлении субсидии являются:
а) несоответствие представленного организацией отчета форме, предусмотренной приложением N 1 к настоящему решению, или непредставление (представление не в полном объеме) отчета;
б) установление факта недостоверности информации, содержащейся в отчете;
в) отсутствие положительного заключения Министерства сельского хозяйства Российской Федерации, указанного в пункте 7.7 настоящего решения.
В случае принятия решения об отказе в предоставлении субсидии Федеральное агентство железнодорожного транспорта возвращает документы организации с указанием причин отказа в течение 5 рабочих дней со дня принятия такого решения.
Перечисление субсидии осуществляется не позднее 10-го рабочего дня со дня принятия Федеральным агентством железнодорожного транспорта решения о предоставлении организации субсидии на расчетный счет организации, открытый в учреждении Центрального банка Российской Федерации или кредитной организации.
7.13. Федеральное агентство железнодорожного транспорта учитывает размеры и сроки предоставления субсидии при формировании прогноза кассовых выплат из федерального бюджета, необходимого для составления в установленном порядке кассового плана исполнения федерального бюджета.
Приложение N 1
(форма)
ОТЧЕТ
о потерях в доходах, возникающих в результате установления льготных тарифов на перевозку сельскохозяйственной продукции, а также продукции для организации сельскохозяйственного производства железнодорожным транспортом
за __________ (месяц, год)
Наименование грузоотправителя
Номер перевоз очного документа, дата приемки груза к перевозке
Позиция ЕТСНГ
Станция отправления
Станция назначения
Объем перевезенного груза (тонн)
Сумма тарифа, подлежащего субсидированию
Сумма корректировок провозной платы без учета НДС по отчетам за предыдущие отчетные периоды (+/-)
Потери в доходах без учета НДС
(графа 7 + графа 8)
НДС <*>
(графа 9 * 0,2)
Потери в доходах с учетом НДС
(графа 9 + графа 10)
1
2
3
4
5
6
7
8
9
10
11
Итого
--------------------------------
<*> в случае если перевозка облагается НДС 20%
Руководитель
подпись
Исполнитель
подпись
Утверждено:
Руководитель (уполномоченное лицо)
Начальник Управления финансов и государственных программ
Капустянский С.В.
(должность)
(подпись)
(фамилия, инициалы)
24
Ноября
2025
г.
Согласовано:
Руководитель (уполномоченное лицо)
Заместитель Председателя Правительства Российской Федерации
Патрушев Д.Н.
(должность)
(подпись)
(фамилия, инициалы)
10
Декабря
2025
г.