Решение Минэкономразвития России от 16.09.2025 N 25-68950-02098-Р
МИНИСТЕРСТВО ЭКОНОМИЧЕСКОГО РАЗВИТИЯ РОССИЙСКОЙ ФЕДЕРАЦИИ
РЕШЕНИЕ
от 16 сентября 2025 г. N 25-68950-02098-Р
Версия 6
Коды
16.09.2025
Главный распорядитель бюджетных средств
Министерство экономического развития Российской Федерации
по БК
139
Бюджет
Федеральный бюджет
по ОКТМО
00000001
Направление расходов
Субсидии российским кредитным организациям на возмещение недополученных ими доходов по кредитам, выданным в 2023 - 2025 годах субъектам малого и среднего предпринимательства на территориях Донецкой Народной Республики, Луганской Народной Республики, Запорожской области, Херсонской области, за счет средств резервного фонда Правительства Российской Федерации
по БК
68950
Национальный проект
по БК
Государственная программа
Государственная программа Российской Федерации "Экономическое развитие и инновационная экономика"
по БК
15
Структурный элемент
Федеральный проект "Специальные краткосрочные меры поддержки малого и среднего предпринимательства"
по БК
08
Целевая статья расходов
Субсидии российским кредитным организациям на возмещение недополученных ими доходов по кредитам, выданным в 2023 - 2025 годах субъектам малого и среднего предпринимательства на территориях Донецкой Народной Республики, Луганской Народной Республики, Запорожской области, Херсонской области, за счет средств резервного фонда Правительства Российской Федерации; Субсидии российским кредитным организациям на возмещение недополученных ими доходов по кредитам, выданным в 2023 - 2025 годах субъектам малого и среднего предпринимательства на территориях Донецкой Народной Республики, Луганской Народной Республики, Запорожской области, Херсонской области
по БК
15 2 08 68950;
15 2 08 68951
1. Общая информация
Наименование субсидии
Субсидии российским кредитным организациям на возмещение недополученных ими доходов по кредитам, выданным в 2023 - 2025 годах субъектам малого и среднего предпринимательства на территориях Донецкой Народной Республики, Луганской Народной Республики, Запорожской области, Херсонской области, за счет средств резервного фонда Правительства Российской Федерации
Цель предоставления субсидии
Субсидии российским кредитным организациям на возмещение недополученных ими доходов по кредитам, выданным в 2023 - 2025 годах субъектам малого и среднего предпринимательства на территориях Донецкой Народной Республики, Луганской Народной Республики, Запорожской области, Херсонской области, за счет средств резервного фонда Правительства Российской Федерации
Тип субсидии
Субсидии на оказание услуг (выполнение работ)
Способ предоставления средств из бюджета
возмещение затрат (недополученных доходов)
Способ отбора получателей
запрос предложений
Для служебного пользования
Нет
Направлена на реализацию новаций в сфере искусственного интеллекта
Нет
Понятия, используемые в настоящем Решении
"заемщик" - юридическое лицо, местом нахождения которого согласно сведениям единого реестра субъектов малого и среднего предпринимательства является территория одного из воссоединенных субъектов Российской Федерации (Донецкая Народная Республика, Луганская Народная Республика, Запорожская область, Херсонская область), или индивидуальный предприниматель, местом жительства которого, согласно сведениям единого реестра субъектов малого и среднего предпринимательства, является территория одного из воссоединенных субъектов Российской Федерации, с которым получателем субсидии заключен кредитный договор (соглашение);
"кредитный договор (соглашение)" - кредитный договор (соглашение), заключенный с заемщиком в 2023 - 2025 годах в соответствии с настоящим Решением о порядке предоставления субсидии или Правилами предоставления субсидий из федерального бюджета российским кредитным организациям на возмещение недополученных ими доходов по кредитам, выданным в 2023 - 2025 годах субъектам малого и среднего предпринимательства на территориях Донецкой Народной Республики, Луганской Народной Республики, Запорожской области, Херсонской области, утвержденными постановлением Правительства Российской Федерации от 31 мая 2023 г. N 888, предусматривающий предоставление единовременного кредита или невозобновляемой кредитной линии в размере, не превышающем 50 млн рублей, на срок не более 36 месяцев;
"реестр заемщиков" - сформированный получателем субсидии реестр заемщиков, с которыми заключены кредитные договоры (соглашения), по форме согласно приложению N 2 к настоящему Решению о порядке предоставления субсидии.
2. Информация о получателях субсидии
Категории получателей субсидии
Категория
Тип субъекта экономической деятельности
Публичные акционерные общества
Юридическое лицо
Непубличные акционерные общества
Юридическое лицо
Общества с ограниченной ответственностью
Юридическое лицо
Требования к получателям субсидии
Наименование требования
Подтверждающий соответствие требованию документ
Участник отбора (получатель субсидии) не является российским юридическим лицом, в уставном (складочном) капитале которого доля прямого или косвенного (через третьих лиц) участия иностранных юридических лиц, местом регистрации которых является государство или территория, включенные в утверждаемый Министерством финансов Российской Федерации перечень государств и территорий, используемых для промежуточного (офшорного) владения активами в Российской Федерации, в совокупности превышает 25 процентов (если иное не предусмотрено законодательством Российской Федерации)
Заявка
Участник отбора (получатель субсидии) не является иностранным юридическим лицом, в том числе местом регистрации которого является государство или территория, включенные в утверждаемый Министерством финансов Российской Федерации перечень государств и территорий, используемых для промежуточного (офшорного) владения активами в Российской Федерации
Заявка
Участник отбора (получатель субсидии) не должен получать средства из федерального бюджета (бюджета субъекта Российской Федерации, местного бюджета), из которого планируется предоставление субсидии, на основании иных нормативных правовых актов Российской Федерации (нормативных правовых актов субъекта Российской Федерации, муниципальных правовых актов), решений о порядке предоставления субсидии на цели, установленные решением о порядке предоставления субсидии, в целях определения получателей которой проводится отбор получателей субсидий
Заявка
Участник отбора (получатель субсидии) не является иностранным агентом в соответствии с Федеральным законом "О контроле за деятельностью лиц, находящихся под иностранным влиянием"
Заявка
Отсутствует просроченная задолженность по возврату иных субсидий, бюджетных инвестиций в бюджет бюджетной системы Российской Федерации, из которого планируется предоставление субсидии
Заявка
Отсутствует иная просроченная (неурегулированная) задолженность по денежным обязательствам перед Российской Федерацией
Заявка
Участник отбора (получатель субсидии) не находится в перечне организаций и физических лиц, связанных с распространением оружия массового уничтожения, составляемом в рамках реализации полномочий, предусмотренных главой VII Устава ООН, Советом Безопасности ООН или органами, специально созданными решениями Совета Безопасности ООН
Заявка
Участник отбора (получатель субсидии) не находится в перечне организаций и физических лиц, связанных с террористическими организациями и террористами, составляемом в рамках реализации полномочий, предусмотренных главой VII Устава ООН, Советом Безопасности ООН или органами, специально созданными решениями Совета Безопасности ООН
Заявка
Участник отбора не должен находиться в перечне организаций и физических лиц, в отношении которых имеются сведения об их причастности к экстремистской деятельности или терроризму
Заявка
Организатор отбора
Код организации по Сводному реестру
00100139
Наименование организации
МИНИСТЕРСТВО ЭКОНОМИЧЕСКОГО РАЗВИТИЯ РОССИЙСКОЙ ФЕДЕРАЦИИ
Почтовый адрес
123112, Г. МОСКВА, НАБ. ПРЕСНЕНСКАЯ, ДОМ Д. 10, СТР. 2
Адрес электронной почты, сайт
mineconom@economy.gov.ru, http://www.economy.gov.ru
Телефон
8 495 870 29 21; 8 495 870 29 21
3. Результат предоставления субсидии
Перечень результатов
Код результата
Тип результата
Наименование результата
Целевая статья: 15 2 08 68950, 15 2 08 68951
X251760000
Оказание услуг (выполнение работ)
На территориях Донецкой Народной Республики, Луганской Народной Республики, Запорожской области и Херсонской области субъектам малого и среднего предпринимательства предоставлены кредиты по льготной ставке
4. Направления финансирования
Направления затрат (недополученных доходов), на возмещение которых предоставляется субсидия
Наименование направления
Подтверждающий документ
Срок предоставления
Недополученные доходы по кредитам, выданным в 2023 - 2025 годах субъектам малого и среднего предпринимательства на территориях Донецкой Народной Республики, Луганской Народной Республики, Запорожской области, Херсонской области
Заявление о получении субсидии из федерального бюджета российским кредитным организациям на возмещение недополученных ими доходов по кредитам, выданным в 2023 - 2025 годах субъектам малого и среднего предпринимательства на территориях Донецкой Народной Республики, Луганской Народной Республики, Запорожской области, Херсонской области, по форме, предусмотренной приложением N 3 к настоящему Решению о порядке предоставления субсидии
ежемесячно
5. Условия заключения соглашения о предоставлении субсидии
![]()
Не требуется заключение соглашения
![]()
Заключение соглашения о предоставлении субсидии с привлечением иного юридического лица (агента)
![]()
Предусматривается проведение мониторинга достижения результатов
Основная отчетность
Получатель субсидии представляет в Министерство экономического развития Российской Федерации посредством единой системы управления государственными и муниципальными (общественными) финансами Российской Федерации с применением информационных и телекоммуникационных технологий в сроки, установленные соглашением, но не реже одного раза в квартал (не позднее 20-го рабочего дня после окончания месяца, следующего за отчетным кварталом в соответствии с подпунктом "д" пункта 51 Правил 1780) по формам, определенным типовыми формами соглашений, предусмотренными пунктом 11 Правил предоставления из бюджетов бюджетной системы Российской Федерации субсидий, в том числе грантов в форме субсидий, юридическим лицам, индивидуальным предпринимателям, а также физическим лицам - производителям товаров, работ, услуг, утвержденных постановлением Правительства Российской Федерации от 23 октября 2023 года N 1780 (далее - Правила 1780), отчет о достижении значений результатов предоставления субсидий, а также характеристик результатов (при их установлении).
Перечень дополнительной отчетности, подлежащей предоставлению получателем субсидии:
1.
Отчет о целевом использовании кредитов, отражающего достижение результата использования целевого кредита
2.
Акт сверки расчетов между Министерством экономического развития Российской Федерации и уполномоченным банком, подписанный руководителем уполномоченного банка или уполномоченным им лицом (с представлением документов, подтверждающих полномочия этого лица).
Порядок расчета размера субсидий
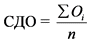
Ежемесячное перечисление субсидии получателю субсидии осуществляется в размере, рассчитанном как произведение суммы среднемесячного остатка ссудной задолженности заемщиков по каждому кредитному договору (соглашению) за отчетный месяц, заключенному получателем субсидии с заемщиком в соответствии с требованиями настоящего Решения о порядке предоставления субсидий, и ставки субсидирования в размере ключевой ставки Центрального банка Российской Федерации, действующей на каждую дату начисления получателем субсидии процентов по кредитному договору (соглашению), увеличенной на 1 процентный пункт, деленное на количество дней в текущем финансовом году и умноженное на количество дней в отчетном месяце.
Среднемесячный остаток ссудной задолженности заемщика по кредитному договору (соглашению) за отчетный месяц (СДО) определяется по формуле:

где:
Оi - остаток ссудной задолженности заемщика по кредитному договору (соглашению) на конец i-го дня в отчетном месяце;
n - количество дней в отчетном месяце.
Ответственность за недостоверность используемых для расчета размера субсидии данных и соответствие расчета размера субсидии порядку расчета, предусмотренному настоящим Разделом, несет получатель субсидии.
Порядок расчета объема средств, подлежащих
возврату в бюджет, из которого предоставлена субсидия.
Штрафные санкции
1. В случае недостижения, выявленного в том числе по фактам проверок, проведенных Министерством экономического развития Российской Федерации и (или) органом государственного (муниципального) финансового контроля, получателем субсидии значения результата предоставления субсидии, указанного в пункте 21 раздела "Иные условия предоставления субсидий" настоящего Решения о порядке предоставления субсидии, получателем субсидии осуществляется возврат средств субсидий в бюджет, из которого предоставлена субсидия, в размере средств (Ykl), рассчитываемом по формуле:

где:
K1 - плановое значение результата предоставления субсидии, установленное соглашением о предоставлении субсидии;
F1 - фактическое значение результата предоставления субсидии, достигнутое получателем субсидии в отчетном году, отраженное в отчете о достижении значений результатов предоставления субсидии, направленном получателем субсидии в Министерство экономического развития Российской Федерации по состоянию на 1 января года, следующего за отчетным;
С - размер субсидии, предоставленной получателю субсидии в отчетном финансовом году.
При недостижении получателем субсидии в установленные соглашением сроки значения результата предоставления субсидии получатель субсидии уплачивает пени в размере одной трехсотшестидесятой ключевой ставки Центрального банка Российской Федерации, действующей на дату начала начисления пени, от суммы субсидии за каждый день просрочки (с первого дня, следующего за плановой датой достижения результата предоставления субсидии, установленной соглашением о предоставлении субсидии, до дня возврата субсидии (части субсидии)).
Средства субсидии подлежат возврату в доход бюджета, из которого предоставлена субсидия, на основании:
требования Министерства экономического развития Российской Федерации - не позднее 10-го рабочего дня со дня получения получателем субсидии указанного требования;
представления и (или) предписания органа государственного (муниципального) финансового контроля - в сроки, установленные в соответствии с бюджетным законодательством Российской Федерации.
2. В случае нарушения получателем субсидии условий, установленных при предоставлении субсидии, выявленного в том числе по фактам проверок, проведенных Министерством экономического развития Российской Федерации и (или) органом государственного (муниципального) финансового контроля, к получателю субсидии применяются штрафные санкции в объеме выявленных нарушений (в объеме средств субсидии, использованных получателем субсидии с нарушением условий, установленных при предоставлении субсидии).
Средства субсидии в размере штрафных санкций уплачиваются получателем субсидии, допустившим указанное нарушение, в доход федерального бюджета в порядке, установленном бюджетным законодательством Российской Федерации:
на основании требования Министерства экономического развития Российской Федерации - в течение 10 календарных дней со дня получения указанного требования;
на основании представления и (или) предписания органа государственного финансового контроля - в сроки, установленные в соответствии с бюджетным законодательством Российской Федерации;
самостоятельно получателем субсидии - в течение 15 календарных дней со дня установления получателем субсидии факта нарушения условий, установленных при предоставлении субсидии.
Иные условия предоставления субсидии
1. Субсидии предоставляются российским кредитным организациям, соответствующим требованиям, установленным настоящим Решением о порядке предоставления субсидии, а также аккредитованным акционерным обществом "Федеральная корпорация по развитию малого и среднего предпринимательства" в порядке, предусмотренном внутренними документами корпорации, для целей предоставления корпорацией поручительств в целях обеспечения исполнения обязательств заемщиков по кредитным договорам (соглашениям) (далее соответственно - получатель субсидии, корпорация), по кредитным договорам (соглашениям), заключенным в 2023 - 2025 годах с субъектами малого и среднего предпринимательства на территориях Донецкой Народной Республики, Луганской Народной Республики, Запорожской области, Херсонской области (далее соответственно - получатель субсидии, кредит, воссоединенные субъекты Российской Федерации).
2. Субсидии предоставляются в пределах лимитов бюджетных обязательств, доведенных в установленном порядке до Министерства экономического развития Российской Федерации как получателя средств федерального бюджета на соответствующий финансовый год на цель, предусмотренную пунктом 1 настоящего раздела (далее - лимит бюджетных обязательств).
3. Сведения о субсидии размещаются на едином портале бюджетной системы Российской Федерации в информационно-телекоммуникационной сети "Интернет" (далее - единый портал) (в разделе единого портала) не позднее 15-го рабочего дня, следующего за днем принятия федерального закона о федеральном бюджете (федерального закона о внесении изменений в федеральный закон о федеральном бюджете).
4. Отбор получателей субсидии осуществляется Министерством экономического развития Российской Федерации на едином портале в порядке, предусмотренном Правилами отбора получателей субсидий, в том числе грантов в форме субсидий, предоставляемых из бюджетов бюджетной системы Российской Федерации юридическим лицам, индивидуальным предпринимателям, а также физическим лицам - производителям товаров, работ, услуг, утвержденных постановлением Правительства Российской Федерации от 25 октября 2023 г. N 1781.
Решение о проведении первичного и последующих отборов принимается Министерством экономического развития Российской Федерации исходя из лимитов бюджетных обязательств, доведенных в установленном порядке до Министерства экономического развития Российской Федерации как получателя средств федерального бюджета на финансовый год на цели предоставления субсидий.
5. Получатель субсидии в рамках участия в отборе получателей субсидии подает посредством единого портала заявку на участие в отборе получателей субсидии, к которой прилагаются следующие документы и (или) сведения:
а) сведения о государственной регистрации получателя субсидии в качестве юридического лица и о лицензии на осуществление банковских операций, выданной Центральным банком Российской Федерации (в случае непредставления таких сведений Министерство экономического развития Российской Федерации запрашивает их самостоятельно);
б) справка, подписанная руководителем или уполномоченным лицом получателя субсидии, действующим на основании доверенности (далее - уполномоченное лицо получателя субсидии), и главным бухгалтером (при наличии), скрепленная печатью (при наличии) получателя субсидии, с указанием банковских реквизитов и счетов, на которые следует перечислять субсидию;
в) справка, подписанная руководителем или уполномоченным лицом получателя субсидии и главным бухгалтером (при наличии), скрепленная печатью (при наличии) получателя субсидии, подтверждающая, что получатель субсидии соответствует требованиям, предусмотренным настоящим Решением о порядке предоставления субсидии;
г) заявка на заключение соглашения по форме согласно приложению N 1 к настоящему Решению о порядке предоставления субсидии;
д) прогнозный размер субсидии, необходимый получателю субсидии на возмещение недополученных им доходов по кредитам, а также плановый объем заключенных кредитных договоров (соглашений) на текущий финансовый год;
е) доверенность уполномоченного лица получателя субсидии, удостоверяющая право такого лица на подписание заявки на заключение соглашения и (или) иных документов (в случае если указанные заявка и (или) документы подписаны уполномоченным лицом получателя субсидии).
6. Заемщик самостоятельно выбирает получателя субсидии для получения кредита.
Получатель субсидии рассматривает возможность предоставления кредита в соответствии с правилами и процедурами, принятыми получателем субсидии.
Отсутствие банковских счетов заемщика у получателя субсидии, а также отсутствие обеспечения кредита залогом имущества заемщика не могут являться основанием для отказа в предоставлении получателем субсидии кредита указанному заемщику.
Заемщик вправе заключить только один кредитный договор (соглашение) только с одним получателем субсидии.
7. Субсидия получателю субсидии предоставляется при соблюдении следующих условий:
а) на дату заключения кредитного договора (соглашения) сведения о заемщике содержатся в едином реестре субъектов малого и среднего предпринимательства;
б) заемщик получателя субсидии на дату заключения кредитного договора (соглашения) не относится к субъектам малого и среднего предпринимательства, указанным в части 3 статьи 14 Федерального закона "О развитии малого и среднего предпринимательства в Российской Федерации";
в) заемщик получателя субсидии на дату заключения кредитного договора (соглашения) не относится к субъектам малого и среднего предпринимательства, указанным в части 4 статьи 14 Федерального закона "О развитии малого и среднего предпринимательства в Российской Федерации". Указанное требование не распространяется на заемщиков получателя субсидии, осуществляющих деятельность по одному или нескольким кодам Общероссийского классификатора видов экономической деятельности (ОК 029-2014 (КДЕС Ред. 2) - 55 "Деятельность по предоставлению мест для временного проживания", 56 "Деятельность по предоставлению продуктов питания и напитков", которые определяются по основному виду экономической деятельности, информация о котором содержится в едином государственном реестре юридических лиц либо едином государственном реестре индивидуальных предпринимателей;
г) заемщик получателя субсидии на дату заключения кредитного договора (соглашения) не участвует в уставном (складочном) капитале юридических лиц, не относящихся к категории субъектов малого и среднего предпринимательства, с долей такого участия более 25 процентов и не имеет в качестве участника (акционера) юридическое лицо, не относящееся к категории субъектов малого и среднего предпринимательства, с долей участия в уставном (складочном) капитале более 25 процентов;
д) в отношении заемщика на дату заключения кредитного договора (соглашения) не введена процедура банкротства, деятельность заемщика не приостановлена в порядке, предусмотренном законодательством Российской Федерации, а заемщик - индивидуальный предприниматель не прекратил деятельность в качестве индивидуального предпринимателя;
е) получателем субсидии с заемщиком заключен кредитный договор (соглашение) с конечной ставкой для заемщика на период предоставления субсидии получателю субсидии не более 10 процентов годовых, по которому акционерным обществом "Федеральная корпорация по развитию малого и среднего предпринимательства" (далее - корпорация) предоставлено поручительство в целях обеспечения исполнения обязательств заемщиков по кредитным договорам (соглашениям), заключаемым такими заемщиками с получателем субсидии на условиях и в порядке, которые предусмотрены внутренними документами корпорации;
ж) получатель субсидии осуществляет выдачу кредитов в соответствии с согласованным Министерством экономического развития Российской Федерации квартальным планом-графиком ежемесячной выдачи кредитов и движения ссудной задолженности, представленным получателем субсидии в соответствии с пунктом 20 настоящего раздела;
з) кредитный договор (соглашение) не предусматривает взимания с заемщика комиссий, сборов и иных платежей, за исключением штрафных санкций в случае неисполнения заемщиком условий кредитного договора (соглашения).
8. Ответственность за несоблюдение условий предоставления субсидии, предусмотренных пунктом 7 настоящего раздела, несет получатель субсидии.
9. Субсидия в текущем финансовом году предоставляется получателю субсидии на основании соглашения, заключенного между Министерством экономического развития Российской Федерации и получателем субсидии по типовой форме, установленной Министерством финансов Российской Федерации, в государственной интегрированной информационной системе управления общественными финансами "Электронный бюджет".
10. В соглашение включаются сведения, предусмотренные пунктом 51 Правил 1780, а также:
а) сроки, цель, условия и порядок предоставления субсидии;
б) значение результата предоставления субсидии, предусмотренного пунктом 21 настоящего раздела;
в) размер субсидии, рассчитанный в соответствии с настоящим Решением о порядке предоставления субсидии;
г) перечень документов, представляемых получателем субсидии для получения субсидии, и порядок их представления;
д) согласие получателя субсидии на осуществление проверок Министерством экономического развития Российской Федерации соблюдения получателем субсидии порядка и условий предоставления субсидии, в том числе в части достижения результата предоставления субсидии, а также проверок органами государственного финансового контроля в соответствии со статьями 268.1 и 269.2 Бюджетного кодекса Российской Федерации;
и) ответственность получателя субсидии за нарушение условий предоставления субсидии;
к) порядок и сроки возврата в доход федерального бюджета получателем субсидии предоставленной субсидии в случае недостижения получателем субсидии значения результата предоставления субсидии, выявленного в том числе по фактам проверок, проведенных Министерством экономического развития Российской Федерации и (или) органом государственного (муниципального) финансового контроля;
л) основания и порядок расторжения соглашения;
м) реквизиты счета, на который перечисляются денежные средства в случае принятия решения о предоставлении субсидии.
11. Соглашение (дополнительного соглашения) заключается не позднее 20-го рабочего дня со дня поступления в Министерство экономического развития Российской Федерации документов, указанных в пункте 13 настоящего раздела, но не ранее даты доведения до Министерства экономического развития Российской Федерации как получателя средств федерального бюджета лимитов бюджетных обязательств на цель, указанную в пункте 1 настоящего раздела, и действует до полного исполнения обязательств, предусмотренных соглашением.
Получатель субсидии обязан подписать соглашение не позднее 10-го рабочего дня со дня получения уведомления Министерства экономического развития Российской Федерации о размещении соглашения в государственной интегрированной информационной системе управления общественными финансами "Электронный бюджет". В случае неподписания получателем субсидии соглашения в последний день указанного срока получатель субсидии признается уклонившимся от заключения соглашения.
12. Право на получение субсидии возникает у получателя субсидии со дня заключения соглашения.
Субсидия в текущем финансовом году предоставляется получателю субсидии на основании соглашения в сроки, предусмотренные настоящим Решения о порядке предоставления субсидии, после доведения лимитов бюджетных обязательств до Министерства экономического развития Российской Федерации как получателя средств федерального бюджета.
13. Получатель субсидии для заключения соглашения (дополнительного соглашения) в текущем финансовом году в течение 5 рабочих дней со дня получения запроса от Министерства экономического развития Российской Федерации представляет в Министерство экономического развития Российской Федерации заявку на заключение соглашения (дополнительного соглашения) по форме согласно приложению N 1 к настоящему Решению о порядке предоставления субсидии, к которой прилагаются следующие документы и (или) сведения:
а) справка, подписанная руководителем или уполномоченным лицом получателя субсидии, действующим на основании доверенности (далее - уполномоченное лицо получателя субсидии), и главным бухгалтером (при наличии), скрепленная печатью (при наличии) получателя субсидии, с указанием банковских реквизитов и счетов, на которые следует перечислять субсидию;
б) предложение по прогнозному размеру субсидии, необходимой получателю субсидии на возмещение недополученных им доходов по кредитам, выданным в предшествующих и (или) в текущем финансовых годах, а также по плановому объему заключенных кредитных договоров (соглашений) на текущий финансовый год, составленное в произвольной форме;
в) план-график ежемесячной выдачи кредитов и движения ссудной задолженности на текущий финансовый год, составленный в произвольной форме;
г) доверенность уполномоченного лица получателя субсидии, удостоверяющая право такого лица на подписание заявки на заключение соглашения и (или) иных документов (в случае если указанные заявка и (или) документы подписаны уполномоченным лицом получателя субсидии).
14. Получатель субсидии для получения субсидии представляет в Министерство экономического развития Российской Федерации не позднее 7-го рабочего дня каждого месяца следующие документы:
а) заявление о получении субсидии по форме согласно приложению N 3 к настоящему Решению о порядке предоставления субсидии, подписанное руководителем получателя субсидии или уполномоченным лицом получателя субсидии (с представлением документов, подтверждающих полномочия этого лица), с указанием размера субсидии, определяемого на основании сведений о заключенных кредитных договорах (соглашениях);
б) реестр заемщиков по форме согласно приложению N 2 к настоящему Решению о порядке предоставления субсидии, подписанный руководителем получателя субсидии или уполномоченным лицом получателя субсидии (с представлением документов, подтверждающих полномочия этого лица).
15. Получатель субсидии несет ответственность за некомплектность и недостоверность представленных в соответствии с пунктами 13 и 14 настоящего раздела.
16. Министерство экономического развития Российской Федерации:
а) регистрирует документы, указанные в пункте 14 настоящего раздела;
б) проверяет в течение 15 рабочих дней со дня поступления документов, указанных в пункте 14 настоящего раздела, полноту содержащихся в них сведений и принимает решение о предоставлении субсидии либо об отказе в предоставлении субсидии.
Основаниями для отказа в предоставлении субсидии получателю субсидии являются:
а) непредставление (представление не в полном объеме) документов, указанных в пункте 14 настоящего раздела;
б) установление факта недостоверности представленной получателем субсидии информации.
17. Перечисление субсидии осуществляется не позднее 10-го рабочего дня, следующего за днем принятия Министерством экономического развития Российской Федерации решения о предоставлении субсидии.
Перечисление субсидии производится на лицевые счета, открытые получателями субсидии в территориальном органе Федерального казначейства.
18. Последнее в финансовом году перечисление субсидии, а также окончательная сверка расчетов субсидии осуществляются не позднее 31 декабря текущего финансового года.
Акт сверки расчетов между Министерством экономического развития Российской Федерации и получателем субсидии, подписанный руководителем получателя субсидии или уполномоченным им лицом (с представлением документов, подтверждающих полномочия этого лица), представляется получателем субсидии в Министерство экономического развития Российской Федерации не позднее 31 декабря текущего финансового года.
19. Получатели субсидии не позднее 10-го рабочего дня каждого месяца в текущем финансовом году вправе представить в Министерство экономического развития Российской Федерации предложение по изменению прогнозного размера субсидии, необходимого получателю субсидии в текущем финансовом году на возмещение недополученных им доходов по кредитам, а также по изменению планового объема заключенных кредитных договоров (соглашений) на текущий финансовый год.
20. Получатель субсидии не позднее чем за 5 рабочих дней до окончания отчетного квартала представляет в Министерство экономического развития Российской Федерации план-график ежемесячной выдачи кредитов и движения ссудной задолженности в квартале, следующем за отчетным кварталом.
21. Результатом предоставления субсидии является результат "На территориях Донецкой Народной Республики, Луганской Народной Республики, Запорожской области и Херсонской области субъектам малого и среднего предпринимательства предоставлены кредиты по льготной ставке".
22. Министерство экономического развития Российской Федерации как получатель бюджетных средств проводит проверки соблюдения получателем субсидии порядка и условий предоставления субсидии, в том числе в части достижения результата предоставления субсидии, предусмотренного пунктом 21 настоящего раздела.
Органы государственного финансового контроля проводят проверки в соответствии со статьями 268.1 и 269.2 Бюджетного кодекса Российской Федерации.
23. Министерство экономического развития Российской Федерации осуществляет мониторинг достижения результатов предоставления субсидии, исходя из достижения значений результата предоставления субсидии, определенных соглашением, и событий, отражающих факт завершения соответствующего мероприятия по получению результата предоставления субсидии (контрольная точка), в порядке и по формам, которые установлены Министерством финансов Российской Федерации.
24. Сроки кредитных договоров (соглашений) могут превышать сроки, предусмотренные настоящим Решением о порядке предоставления субсидии или Правилами предоставления субсидий из федерального бюджета российским кредитным организациям на возмещение недополученных ими доходов по кредитам, выданным в 2023 - 2025 годах субъектам малого и среднего предпринимательства на территориях Донецкой Народной Республики, Луганской Народной Республики, Запорожской области, Херсонской области, утвержденными постановлением Правительства Российской Федерации от 31 мая 2023 г. N 888, в случае продления срока возврата кредита в связи с установлением льготного периода по кредитному договору (соглашению), в течение которого в силу установленных законодательством Российской Федерации условий действуют измененные условия исполнения заемщиком своих обязательств по кредитному договору (соглашению) по его требованию. При этом предоставление субсидий по таким кредитным договорам (соглашениям) осуществляется в пределах срока не более 36 месяцев с даты заключения кредитного договора (соглашения).
Приложение N 1
к Решению о порядке
предоставления субсидии
(форма)
На бланке организации
от ____________ N ______
Министерство
экономического развития Российской Федерации
ЗАЯВКА
(наименование организации)
на заключение соглашения о предоставлении субсидии из федерального бюджета российским кредитным организациям на возмещение недополученных ими доходов по кредитам, выданным в 2023 - 2025 годах субъектам малого и среднего предпринимательства на территориях Донецкой Народной Республики, Луганской Народной Республики, Запорожской области, Херсонской области
В соответствии с Решением о порядке предоставления субсидии от "__" ______________ 20__ г. N _________ (далее - Решение о порядке предоставления субсидии),
(наименование организации)
(далее - организация) выражает согласие:
на заключение с Министерством экономического развития Российской Федерации соглашения о предоставлении субсидии по типовой форме соглашения (договора) о предоставлении из федерального бюджета субсидий, в том числе грантов в форме субсидий, юридическим лицам, индивидуальным предпринимателям, а также физическим лицам, утвержденной приказом Министерства финансов Российской Федерации от 30 ноября 2021 г. N 199н;
на использование субсидии с целью, на условиях и в порядке, которые предусмотрены Решением о порядке предоставления субсидии, а также на осуществление контроля за соблюдением цели, условий и порядка предоставления субсидии Министерством экономического развития Российской Федерации и уполномоченным органом государственного финансового контроля;
на публикацию (размещение) в информационно-телекоммуникационной сети "Интернет" информации об организации, о подаваемой организацией настоящей заявке, иной информации об организации, связанной с отбором получателей субсидии в соответствии с Решением о порядке предоставления субсидии.
Руководитель
(уполномоченное лицо)
(наименование организации)
(
)
(расшифровка подписи)
М.П. (при наличии)
"__" ______________ 20__ г.
Приложение N 2
к Решению о порядке
предоставления субсидии
(форма)
РЕЕСТР
юридических лиц, местом нахождения которых согласно сведениям единого реестра субъектов малого и среднего предпринимательства является территория одного из воссоединенных субъектов Российской Федерации, или индивидуальных предпринимателей, местом жительства которых согласно сведениям единого реестра субъектов малого и среднего предпринимательства является территория одного из воссоединенных субъектов Российской Федерации, с которым получателем субсидии заключен кредитный договор (соглашение)
(по состоянию
на "__" ______________ 202__ г.)
Наименование получателя субсидии
Банковский идентификационный код получателя субсидии
Идентификационный номер налогоплательщика получателя субсидии
N п/п
Полное наименование заемщика
Идентификационный номер налогоплательщика заемщика
Основной государственный регистрационный номер заемщика (при наличии)
Отрасль экономики в соответствии с перечнем отраслей экономики
Категория заемщика (микро, малое, среднее)
Место нахождения (место жительства) заемщика (субъект Российской Федерации)
Номер кредитного договора (соглашения)
Дата заключения кредитного договора (соглашения)
Размер кредита по кредитному договору (соглашению), рублей
Сумма среднемесячного остатка ссудной задолженности заемщика по кредитному договору (соглашению), рублей
Срок кредитного договора (соглашения)
Размер субсидии за отчетный период, рублей
1
...
n
Приложение N 3
к Решению о порядке
предоставления субсидии
(форма)
В Министерство
экономического развития
Российской Федерации
ЗАЯВЛЕНИЕ
(наименование организации)
о получении субсидии из федерального бюджета российским кредитным организациям на возмещение недополученных ими доходов по кредитам, выданным в 2023 - 2025 годах субъектам малого и среднего предпринимательства на территориях Донецкой Народной Республики, Луганской Народной Республики, Запорожской области, Херсонской области
(по состоянию
на "__" ______________ 202__ г.)
(наименование получателя)
субъектам малого и среднего предпринимательства на территориях Донецкой Народной Республики, Луганской Народной Республики, Запорожской области, Херсонской области и подлежащих субсидированию на основании соглашения о предоставлении субсидии
заключенного организацией с Министерством экономического развития Российской Федерации, в соответствии с реестром юридических лиц, местом нахождения которых согласно сведениям единого реестра субъектов малого и среднего предпринимательства является территория одного из воссоединенных субъектов Российской Федерации, или индивидуальных предпринимателей, местом жительства которых согласно сведениям единого реестра субъектов малого и среднего предпринимательства является территория одного из воссоединенных субъектов Российской Федерации, с которым получателем субсидии заключен кредитный договор (соглашение), составляет единиц.
Руководитель получателя субсидии
(уполномоченное лицо)
(наименование получателя субсидии)
(
)
(расшифровка подписи)
М.П. (при наличии)
"__" ______________ 20__ г.
КОНТРОЛЬНЫЕ ТОЧКИ ДОСТИЖЕНИЯ РЕЗУЛЬТАТА ПРЕДОСТАВЛЕНИЯ
СУБСИДИИ, ПРЕДУСМОТРЕННОГО НАСТОЯЩИМ РЕШЕНИЕМ
Наименование контрольной точки
Дата достижения
Кредитными организациями предоставлены отчеты о реализации программы в 2024 году
28.02.2025
Кредитными организациями предоставлены планы-графики ежемесячной выдачи кредитов и движения ссудной задолженности в II квартале
01.04.2025
Кредитными организациями предоставлены планы-графики ежемесячной выдачи кредитов и движения ссудной задолженности в III квартале
01.07.2025
Кредитными организациями предоставлены планы-графики ежемесячной выдачи кредитов и движения ссудной задолженности в IV квартале
01.10.2025
Утверждено:
Руководитель (уполномоченное лицо)
Заместитель Министра
Илюшникова Т.А.
(должность)
(подпись)
(фамилия, инициалы)
16
Сентября
2025
г.
Согласовано:
Руководитель (уполномоченное лицо)
Референт
Тихонов Н.В.
(должность)
(подпись)
(фамилия, инициалы)
3
Октября
2025
г.
ДОПОЛНИТЕЛЬНАЯ (АНАЛИТИЧЕСКАЯ) ИНФОРМАЦИЯ
Перечень результатов с контрольными точками
1.
Код результата: X251760000
Наименование результата: На территориях Донецкой Народной Республики, Луганской Народной Республики, Запорожской области и Херсонской области субъектам малого и среднего предпринимательства предоставлены кредиты по льготной ставке
Единица измерения по ОКЕИ: 386, Миллиард рублей
Контрольные точки по результату отсутствуют.
Перечень результатов с показателями (характеристиками)
1.
Код результата: X251760000
Наименование результата: На территориях Донецкой Народной Республики, Луганской Народной Республики, Запорожской области и Херсонской области субъектам малого и среднего предпринимательства предоставлены кредиты по льготной ставке
Единица измерения по ОКЕИ: 386, Миллиард рублей
Показатели (характеристики) по результату отсутствуют.