Приказ Ростехнадзора от 22.10.2025 N 367
ФЕДЕРАЛЬНАЯ СЛУЖБА ПО ЭКОЛОГИЧЕСКОМУ, ТЕХНОЛОГИЧЕСКОМУ
И АТОМНОМУ НАДЗОРУ
ПРИКАЗ
от 22 октября 2025 г. N 367
ОБ УТВЕРЖДЕНИИ РУКОВОДСТВА
ПО БЕЗОПАСНОСТИ ПРИ ИСПОЛЬЗОВАНИИ АТОМНОЙ ЭНЕРГИИ
"РЕКОМЕНДАЦИИ ПО ИСПОЛЬЗОВАНИЮ ВЕРОЯТНОСТНОГО АНАЛИЗА
БЕЗОПАСНОСТИ ПРИ ОЦЕНКЕ НАРУШЕНИЙ В РАБОТЕ
АТОМНЫХ СТАНЦИЙ" (РБ-104-25)
В соответствии со статьей 6 Федерального закона от 21 ноября 1995 г. N 170-ФЗ "Об использовании атомной энергии", в целях реализации полномочий, установленных подпунктом 5.3.18 пункта 5 Положения о Федеральной службе по экологическому, технологическому и атомному надзору, утвержденного постановлением Правительства Российской Федерации от 30 июля 2004 г. N 401, приказываю:
1. Утвердить прилагаемое руководство по безопасности при использовании атомной энергии "Рекомендации по использованию вероятностного анализа безопасности при оценке нарушений в работе атомных станций" (РБ-104-25).
2. Признать утратившим силу приказ Федеральной службы по экологическому, технологическому и атомному надзору от 1 июля 2016 г. N 281 "Об утверждении руководства по безопасности при использовании атомной энергии "Рекомендации по использованию вероятностного анализа безопасности при оценке нарушений в работе атомных станций".
Руководитель
А.В.ТРЕМБИЦКИЙ
Утверждено
приказом Федеральной службы
по экологическому,
технологическому
и атомному надзору
от 22 октября 2025 г. N 367
РУКОВОДСТВО
ПО БЕЗОПАСНОСТИ ПРИ ИСПОЛЬЗОВАНИИ АТОМНОЙ ЭНЕРГИИ
"РЕКОМЕНДАЦИИ ПО ИСПОЛЬЗОВАНИЮ ВЕРОЯТНОСТНОГО АНАЛИЗА
БЕЗОПАСНОСТИ ПРИ ОЦЕНКЕ НАРУШЕНИЙ В РАБОТЕ АТОМНЫХ СТАНЦИЙ"
(РБ-104-25)
I. Общие положения
1. Руководство по безопасности при использовании атомной энергии "Рекомендации по использованию вероятностного анализа безопасности при оценке нарушений в работе атомных станций" (РБ-104-25) (далее - Руководство по безопасности) разработано в целях содействия соблюдению требований пункта 4.9, а также требований пункта 4.1 приложения N 2 к федеральным нормам и правилам в области использования атомной энергии "Положение о порядке расследования и учета нарушений в работе атомных станций" (НП-004-08), утвержденным постановлением Федеральной службы по экологическому, технологическому и атомному надзору от 14 мая 2008 г. N 3 (далее - НП-004-08), и требований пункта 4.1.16 федеральных норм и правил в области использования атомной энергии "Общие положения обеспечения безопасности атомных станций" (НП-001-15), утвержденных приказом Федеральной службы по экологическому, технологическому и атомному надзору от 17 декабря 2015 г. N 522 (зарегистрирован Министерством юстиции Российской Федерации 2 февраля 2016 г., регистрационный N 40939) (далее - НП-001-15).
2. Руководство по безопасности содержит рекомендации по использованию ВАБ (список сокращений приведен в приложении N 1 к Руководству по безопасности) при оценке нарушений в работе блока АС с точки зрения безопасности (далее - оценка нарушений), в том числе предвестников тяжелой аварии.
3. Руководство по безопасности рекомендовано к применению эксплуатирующими, конструкторскими и проектными организациями при расследовании нарушений в работе блока АС, организациями научно-технической поддержки при анализе информации об опыте эксплуатации блока АС и при оценке эффективности (достаточности) корректирующих мер по нарушениям в их работе.
4. Рекомендации Руководства по безопасности распространяются на эксплуатируемые блоки АС, включая остановленные для подготовки к выводу из эксплуатации.
II. Оценка нарушений с использованием вероятностного
анализа безопасности
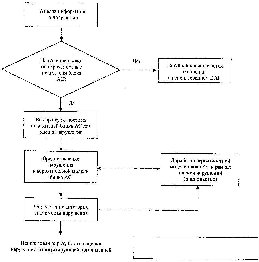
5. Оценку нарушений с использованием ВАБ рекомендуется выполнять в порядке, приведенном в приложении N 2 к Руководству по безопасности, с целью:
а) определения ВПБ блока АС, указанных в главе III Руководства по безопасности, и определения категорий значимости нарушений в работе блока АС для его безопасности;
б) определения условной вероятности перехода в тяжелую аварию для отклонения (события), являющегося предвестником тяжелой аварии.
6. В качестве исходной информации при оценке нарушений рекомендуется использовать:
а) информацию о расследовании нарушений (в том числе отчеты о расследовании предшествующих аналогичных нарушений, цеховые журналы заявок и ремонтов элементов систем);
б) сведения об опыте эксплуатации блока АС, в работе которого произошло нарушение;
в) сведения об опыте эксплуатации блоков других АС;
г) проектную и эксплуатационную документацию блока АС;
д) ВАБ блока АС, в работе которого произошло нарушение;
е) результаты мониторинга риска (при наличии).
7. Для определения ВПБ рекомендуется использовать вероятностную модель блока АС, разработанную при выполнении ВАБ блока АС, в работе которого произошло нарушение.
8. Результаты оценки нарушений могут быть использованы эксплуатирующими, конструкторскими и проектными организациями при корректировке вероятностной модели блока АС в рамках выполнения ВАБ блока АС, а также при выполнении анализа тенденции изменения ВПБ блока АС.
III. Вероятностные показатели безопасности блока
атомной станции
9. Рекомендуется формировать перечень ВПБ, используемых для оценки нарушений. В состав перечня ВПБ рекомендуется включать (не менее двух) следующие ВПБ:
а) условная вероятность перехода нарушения в тяжелую аварию (далее - УВТА);
б) изменение вероятности тяжелых аварий, обусловленное нарушением (далее -
);
в) условная вероятность перехода нарушения в большой аварийный выброс (далее - УВБАВ);
г) изменение вероятности большого аварийного выброса, обусловленное нарушением (далее -
).
10. Формирование перечня ВПБ для оценки нарушений рекомендуется проводить исходя из следующих признаков и последствий нарушений в работе блока АС:
а) отказы и (или) неготовность элементов систем, а также ошибки персонала при управлении, техническом обслуживании или ремонте элементов систем;
б) возникновение ИС;
в) увеличение частот ИС.
11. Нарушения в работе блока АС, которые не оказывают влияния на ВПБ блока АС, рекомендуется исключать из оценки нарушений с использованием ВАБ.
12. Для оценки нарушения, сопровождавшегося отказами и (или) неготовностью элементов систем, а также ошибками персонала, в состав перечня ВПБ рекомендуется включать
и
, которые рекомендуется определять следующим способом:


где ВТАнар - вероятность тяжелых аварий, определенная с применением вероятностной модели блока АС при условии возникновения отказов и неготовности элементов и ошибок персонала, сопровождавших нарушение, на интервале в один год;
ВТА6аз - вероятность тяжелых аварий, определенная с применением вероятностной модели блока АС без учета условий, сопровождавших нарушение, на интервале в один год;
ВБАВнар - вероятность большого аварийного выброса, определенная с применением вероятностной модели блока АС при условии возникновения отказов и неготовности элементов и ошибок персонала, сопровождавших нарушение, на интервале в один год;
ВБАВ6аз - вероятность большого аварийного выброса, определенная с применением вероятностной модели блока АС без учета условий, сопровождавших нарушение, на интервале в один год;
tнар - промежуток времени, в течение которого блок АС эксплуатировался с отказами и неготовностью элементов и ошибками персонала, сопровождавшими нарушение;
tгод - промежуток времени, равный одному году.
13. Для оценки нарушения, приведшего к ИС, в состав перечня ВПБ рекомендуется включать УВТА и УВБАВ и определять их следующим способом:


где ВТАИС - вероятность тяжелых аварий, определенная с применением вероятностной модели блока АС для ИС, к которому привело нарушение;
ВБАВИС - вероятность большого аварийного выброса, определенная с применением вероятностной модели блока АС для ИС, к которому привело нарушение;
FИС - частота ИС, к которому привело нарушение.
14. Для оценки нарушения, приведшего к увеличению частоты ИС, в состав перечня ВПБ рекомендуется включать
и
. При определении
и
для такого нарушения рекомендуется переоценивать частоту ИС, к увеличению которой привело нарушение.
15. В случае если нарушение в работе блока АС характеризуется сочетанием признаков и последствий, указанных в пункте 10 Руководства по безопасности, рекомендуется включать в состав перечня все ВПБ, соответствующие данным признакам и последствиям.
16. Для определения требуемой пунктом 4.1.16 НП-001-15 условной вероятности перехода в тяжелую аварию для отклонения (события), являющегося предвестником тяжелой аварии, рекомендуется использовать способы определения УВТА и (или)
в соответствии с пунктами 12 и 13 Руководства по безопасности.
IV. Представление нарушений в вероятностной модели блока
атомной станции
17. При определении ВПБ блока АС для оценки нарушений с использованием ВАБ рекомендуется представлять нарушения в вероятностной модели блока АС (пример определения ВПБ блока АС для оценки нарушения в работе блока АС приведен в приложении N 3 к Руководству по безопасности).
18. При определении ВПБ блока АС рекомендуется для всех элементов систем, которые в ходе нарушения в работе блока АС отказали или перешли в состояние неготовности, устанавливать неработоспособное состояние. Техническое состояние всех остальных элементов систем (в том числе систем, которые успешно выполнили свои функции) рекомендуется оставлять без изменений.
19. При определении ВПБ блока АС рекомендуется для всех действий персонала, при выполнении которых в ходе нарушения в работе блока АС были совершены ошибки, устанавливать вероятности ошибок персонала, равные единице. Для всех остальных действий персонала (в том числе успешно выполненных) вероятности ошибки рекомендуется оставлять без изменений.
20. При определении УВТА и УВБАВ рекомендуется использовать вероятностные модели аварийных последовательностей для ИС, к которому привело нарушение.
21. При определении
и
рекомендуется использовать вероятностные модели аварийных последовательностей для всех ИС (в том числе обусловленных внутриплощадочными и внешними воздействиями), на которые может оказывать влияние нарушение.
22. При проведении оценки нарушений рекомендуется использовать вероятностную модель блока АС, учитывающую все имеющиеся на нем места нахождения ядерных материалов, радиоактивных веществ и радиоактивных отходов, на безопасность которых может оказывать влияние нарушение.
23. При определении УВТА и УВБАВ рекомендуется использовать вероятностные модели аварийных последовательностей для эксплуатационного состояния блока АС, в котором произошло нарушение.
При определении
и
рекомендуется использовать вероятностные модели аварийных последовательностей для всех эксплуатационных состояний блока АС, в которых он эксплуатировался с отказами и (или) неготовностью элементов систем и ошибками персонала, сопровождавшими оцениваемое нарушение.
24. Промежуток времени, в течение которого блок АС эксплуатировался с отказами и (или) неготовностью элементов систем, сопровождавшими нарушение, рекомендуется определять на основе информации о расследовании нарушения. Если неработоспособное состояние элемента системы было обнаружено при проведении проверки работоспособности, то промежуток времени, в течение которого блок АС эксплуатировался с неработоспособным элементом, рекомендуется принимать равным сумме периода между проверками работоспособности и времени восстановления неработоспособного элемента.
25. Рекомендуется не исключать возможность возникновения отказов по общей причине для элементов, находившихся в работоспособном состоянии и которые включены в одну группу элементов, подверженных отказам по общей причине.
26. Рекомендуется устанавливать неработоспособное состояние для элементов систем, успешное выполнение функций безопасности которых зависит от отказавших или перешедших в состояние неготовности во время нарушения элементов систем (в том числе обеспечивающих систем и систем управления), представленных в вероятностной модели блока АС с использованием упрощения, при котором одним базисным событием заменены несколько базисных событий и логические связи между ними.
27. Рекомендуется устанавливать неработоспособное состояние для элементов, которые не отказали, но потеряли способность выполнять свои функции в полном объеме (например, элемент не может проработать в течение требуемого времени).
28. С целью уточнения ВПБ использованная вероятностная модель блока АС может быть доработана в рамках проведения оценки нарушений следующими способами:
а) уточнение уровня детализации вероятностной модели блока АС (в том числе уточнение моделей надежности систем, детальное моделирование элементов схем управления электроприводного оборудования, ранее не включенных в состав вероятностной модели блока АС, учет отказов кабелей электроснабжения, которые ранее не учитывались в вероятностной модели блока АС);
б) дополнение списка ИС событиями, обусловленными нарушением, или формирование новых групп ИС;
в) переоценка вероятностей ошибок персонала при наличии ранее не учтенных в ВАБ блока АС условий, возникших в ходе нарушения и влияющих на надежность действий персонала;
г) включение в вероятностную модель блока АС новых действий персонала;
д) дополнение перечня сценариев пожаров (затоплений) сценариями, произошедшими в ходе нарушения.
V. Вероятностные критерии и категоризация
нарушений по значимости
29. Нарушения в работе блока АС, оценка которых выполняется с использованием ВАБ, рекомендуется категорировать по их значимости для безопасности на основе ВПБ блока АС и соотносить с одной из следующих категорий значимости: малозначимое, среднезначимое, высокозначимое (диаграмма с вероятностными критериями категоризации нарушений в работе блока АС по их значимости для безопасности приведена в приложении N 4 к Руководству по безопасности).
30. При категоризации нарушений в работе блока АС по их значимости для безопасности на основе ВПБ блока АС рекомендуется использовать следующие вероятностные критерии:
а) нарушение является малозначимым, если значения ВПБ блока АС находятся в области III диаграммы приложения N 4 к Руководству по безопасности;
б) нарушение является среднезначимым, если значения ВПБ блока АС находятся в области II диаграммы приложения N 4 к Руководству по безопасности;
в) нарушение является высокозначимым, если значения ВПБ блока АС находятся в области I диаграммы приложения N 4 к Руководству по безопасности.
31. В случае если для оценки нарушения в работе блока АС в состав перечня ВПБ включены
,
и УВТА, УВБАВ, то сравнение с вероятностными критериями рекомендуется выполнять отдельно для пары
и
и отдельно для пары УВТА и УВБАВ.
В случае если по результатам сравнения ВПБ блока АС с вероятностными критериями нарушение в работе блока АС отнесено к разным категориям значимости, то нарушению рекомендуется присваивать более высокую категорию значимости.
VI. Анализ результатов оценки нарушений
32. Рекомендуется выполнять анализ значимости для следующих составляющих вероятностной модели блока АС в оцененные значения ВПБ блока АС: ИС, аварийные последовательности, отказы и (или) неготовности элементов, ошибки персонала.
33. Рекомендуется выполнять анализ чувствительности в отношении влияния допущений (упрощений) моделирования, принятых при оценке нарушений, на значения ВПБ блока АС для выявления степени влияния изменений исходных данных вероятностной модели блока АС на значения ВПБ.
34. Рекомендуется с помощью анализа чувствительности проводить оценку влияния корректирующих мер для предотвращения повторения аналогичного нарушения на ВПБ блока АС.
35. Рекомендуется с помощью анализа чувствительности выполнять оценку влияния изменений следующих факторов на результаты оценки нарушений:
а) конфигурация и эксплуатационное состояние блока АС (вывод в ремонт важных для безопасности элементов систем);
б) отказы по общей причине;
в) действия персонала.
36. Результаты оценки нарушений рекомендуется документировать в объеме, приведенном в приложении N 5 к Руководству по безопасности, и приводить согласно требованиям пункта 4.9 НП-004-08 в составе пункта 4.1 отчета о расследовании нарушения и приложений к отчету.
VII. Использование результатов оценки нарушений
37. Эксплуатирующей организации, вне зависимости от категоризации нарушений в работе блока АС по значимости (малозначимые, среднезначимые, высокозначимые), рекомендуется обеспечить распространение результатов расследования нарушений в работе блока АС по другим блокам АС для учета опыта эксплуатации.
38. В случае если по результатам расследования нарушение в работе блока АС категорировано как малозначимое и среднезначимое:
а) эксплуатирующей организации рекомендуется реализовывать корректирующие меры в плановом порядке;
б) Федеральной службе по экологическому, технологическому и атомному надзору рекомендуется осуществлять контроль реализации эксплуатирующей организацией корректирующих мер.
39. В случае если по результатам расследования нарушение в работе блока АС категорировано как высокозначимое, то в соответствии с пунктом 4.1.16 НП-001-15:
а) эксплуатирующая организация разрабатывает:
план реализации мероприятий по предотвращению аналогичных нарушений;
обоснование возможности эксплуатации блока АС на мощности на период до реализации мероприятий, предусмотренных данным планом, и направляет указанные документы в Федеральную службу по экологическому, технологическому и атомному надзору на рассмотрение;
б) Федеральная служба по экологическому, технологическому и атомному надзору осуществляет рассмотрение указанных документов. При рассмотрении рекомендуется применять результаты оценки нарушений с использованием ВАБ при осуществлении регулирующей деятельности и осуществлять контроль реализации эксплуатирующей организацией корректирующих мер.
40. Решения в отношении эксплуатирующей организации при осуществлении регулирующей деятельности рекомендуется принимать с использованием дифференцированного подхода с учетом категоризации нарушений в работе блока АС по значимости для безопасности (малозначимые, среднезначимые и высокозначимые).
Приложение N 1
к руководству по безопасности
при использовании атомной энергии
"Рекомендации по использованию
вероятностного анализа безопасности
при оценке нарушений в работе
атомных станций", утвержденному
приказом Федеральной службы
по экологическому, технологическому
и атомному надзору
от 22 октября 2025 г. N 367
СПИСОК СОКРАЩЕНИЙ
АС
-
атомная станция
ВАБ
-
вероятностный анализ безопасности
ВПБ
-
вероятностные показатели безопасности
ВПЭН
-
вспомогательный питательный насос с электроприводом
ВТА
-
вероятность тяжелых аварий
ГЦН
-
главный циркуляционный насос
ИС
-
исходное событие
Приложение N 2
к руководству по безопасности
при использовании атомной энергии
"Рекомендации по использованию
вероятностного анализа безопасности
при оценке нарушений в работе
атомных станций", утвержденному
приказом Федеральной службы
по экологическому, технологическому
и атомному надзору
от 22 октября 2025 г. N 367
РЕКОМЕНДУЕМЫЙ ПОРЯДОК
ВЫПОЛНЕНИЯ ОЦЕНКИ НАРУШЕНИЙ С ИСПОЛЬЗОВАНИЕМ ВЕРОЯТНОСТНОГО
АНАЛИЗА БЕЗОПАСНОСТИ

Приложение N 3
к руководству по безопасности
при использовании атомной энергии
"Рекомендации по использованию
вероятностного анализа безопасности
при оценке нарушений в работе
атомных станций", утвержденному
приказом Федеральной службы
по экологическому, технологическому
и атомному надзору
от 22 октября 2025 г. N 367
ПРИМЕР
ОПРЕДЕЛЕНИЯ ВЕРОЯТНОСТНЫХ ПОКАЗАТЕЛЕЙ БЕЗОПАСНОСТИ БЛОКА
АТОМНОЙ СТАНЦИИ ДЛЯ ОЦЕНКИ НАРУШЕНИЯ В РАБОТЕ БЛОКА
АТОМНОЙ СТАНЦИИ
1. Краткое описание нарушения
Нарушение "Административный останов блока АС из-за повышения температуры верхнего подшипника привода ГЦН".
Во время работы блока АС с водо-водяным типом реактора на номинальном уровне мощности оператор заметил повышение температуры упорного подшипника верхнего привода на ГЦН N 2. Один из датчиков температуры показывал повышение, другие датчики показывали нормальную температуру. Температура подшипника ГЦН имеет три точки сигнализации - "предупреждение", "тревога" и "аварийная тревога", но прямой автоматический останов отсутствует. При индикации продолжающегося роста температуры подшипника оператор начал разгрузку блока АС и затем вручную остановил реактор. Оператор действовал согласно инструкциям: "Останов реактора или аварийный впрыск" и "Действия при останове реактора". После отсечения основного пара были вручную запущены оба ВПЭН.
Система вспомогательной питательной воды имеет три канала со 100%-м резервированием, два насоса с электроприводом (ВПЭН-1 и ВПЭН-2) и один насос с турбоприводом. Его производительность в два раза выше, чем ВПЭН. Насос с турбоприводом может работать на любом из двух парогенераторов.
На паропроводе Ду 76 мм в машзале был обнаружен разрыв. ВПЭН-2 был изолирован от места разрыва и остановлен по повышению температуры подшипника, затем запущен снова.
Температура подшипника ВПЭН-2 достигла 137 °C. Температура подшипника ВПЭН-1 достигла 84 °C и продолжала подниматься. Автоматический сигнал на останов насоса по повышению температуры подшипника насоса не предусмотрен.
Расследование нарушения показало, что насос не отказал, а потерял функциональность, то есть насос мог еще работать определенное время, но неизвестно, выполнил бы он свою функцию во время аварии или нет.
По факту повышения температуры подшипников оба насоса с электроприводом (ВПЭН-1 и ВПЭН-2) были остановлены, и запущен насос с турбоприводом.
Произведена замена подшипника ВПЭН-2, зазор "балансирующего цилиндра" был снижен с 0,11 мм до 0,05 мм.
ВПЭН-2 был запущен снова, температура подшипника насоса стабилизировалась после 7 ч работы.
В качестве безопасного конечного состояния рассматривается состояние холодного останова.
Результаты расследования нарушения показали, что по шкале INES нарушение относится к уровню 0, то есть неважное для ядерной и радиационной безопасности.
По результатам расследования нарушения эксплуатирующей организацией разработаны краткосрочные и долгосрочные корректирующие меры.
2. Подготовка к анализу оценки нарушения
По результатам анализа нарушения с точки зрения ВАБ был сделан вывод о том, что нарушение может быть оценено с использованием вероятностной модели блока АС, а сама вероятностная модель блока АС является адекватной и не требует доработки.
Базовое значение ВТА при работе блока АС на номинальном уровне мощности составило 3,17 x 10-5 за один год.
3. Представление нарушения в вероятностной модели
блока атомной станции
3.1. Состояние и конфигурация блока атомной станции
до нарушения (эксплуатационное состояние)
Блок АС находится в режиме нормальной эксплуатации при полной конфигурации систем безопасности (нет систем, выведенных в ремонт или техобслуживание, сбоев в работе систем, важных для безопасности (за исключением ВПЭН, находящихся в состоянии "скрытый отказ")).
3.2. Исходное событие
С точки зрения ВАБ ИС было категорировано как административный останов блока АС с наложением дополнительных отказов.
3.3. Перечень отказов, ошибок персонала в ходе нарушения
Отказ датчиков температуры, используемых для защиты
главного циркуляционного насоса
Периодические отказы датчиков температуры, используемых для защиты ГЦН и другого оборудования, не являются редким явлением на блоках АС и могут приводить к останову блока.
Персонал блока АС отреагировал на это нарушение согласно процедуре, установленной технологическим регламентом безопасной эксплуатации блока АС. Были выполнены все необходимые измерения, связанные с радиационным контролем.
Высокая температура подшипников вспомогательного
питательного насоса с электроприводом
После останова реактора для отвода тепла по второму контуру использовались два насоса ВПЭН с электрическим приводом.
В связи с этим обсуждались два аспекта, связанные с представлением отказов ВПЭН в модели ВАБ:
1) Приведут ли проблемы с подшипниками к выходу из строя двух ВПЭН в течение требуемого времени работы этих насосов во время аварии, учитываемого ВАБ?
При нормальном останове реактора через несколько часов давление в первом контуре снижается до возможности расхолаживания через первый контур. Однако для перехода в "горячее" состояние требуется непрерывная работа ВПЭН. В результате был сделан вывод о том, что значение параметра "mission time" 24 ч, используемое в ВАБ, является достаточным. На вопрос о том, будут ли эти два насоса работать в течение требуемого времени, нельзя было ответить с уверенностью. Таким образом, при выполнении предварительного анализа нарушения предполагалось, что ВПЭН выйдут из строя в течение 24 ч.
2) Когда произошел отказ ВПЭН?
Проблема могла бы быть обнаружена при периодической проверке ВПЭН. Однако оказалось, что при периодических испытаниях насосы работают всего 15 мин по линии рециркуляции. Был сделан вывод о том, что отказ ВПЭН, вероятно, не мог быть обнаружен при последней периодической проверке (квалифицирован как "скрытый отказ" оборудования). Таким образом, для предварительного анализа нарушения в работе блока АС предполагалось, что время воздействия нарушения составит один год.
Разрыв паропровода Ду 76 мм в машзале
На паропроводе Ду 76 мм в результате повышения давления появился продольный разрыв в изгибе трубы. В результате биения паропровода трубопровод системы пожаротушения был отсоединен от тройника (места соединения трубопроводов) и образовалась течь системы пожаротушения. Обе течи были локализованы через короткий промежуток времени. Тем не менее в этот промежуток произошло ограниченное затопление.
В связи с этим были проанализированы возможные последствия этого затопления и принято консервативное допущение о том, что система основной питательной воды и система основного конденсата отказали.
4. Определение вероятностных показателей безопасности
блока атомной станции
4.1. Выбор вероятностных показателей безопасности блока
атомной станции
Так как исследуемое нарушение привело к ИС, в ходе которого произошли отказы или неготовность элементов систем, участвующих в выполнении функций безопасности, то в состав ВПБ блока АС для оценки нарушения включены УВТА и УВБАВ, а также
и
, ввиду того, что в ходе нарушения произошли отказы элементов систем.
Для оценки УВТА использовалось дерево событий для ИС "Административный останов блока АС" с учетом предполагаемого отказа двух насосов ВПЭН, а также отказов системы основной питательной воды и системы основного конденсата из-за предполагаемого отказа систем электроснабжения по причине затопления, вызванного разрывом паропровода.
Для оценки
в рамках консервативного подхода предполагалось, что скрытая неготовность двух насосов ВПЭН будет длиться один год.
оценена с помощью базовой модели ВАБ, использующей все деревья событий. Также при оценке
учитывались отказы системы основной питательной воды и системы основного конденсата.
Представление нарушения в вероятностной модели блока АС учитывалось следующим образом:
для определения УВТА использовалось дерево событий для ИС "Административный останов блока АС" (ВТАИС оценена величиной 2,16 x 10-6 за один год);
учитывалась неготовность систем основной питательной воды и системы основного конденсата;
учитывались скрытые отказы двух ВПЭН на интервале в один год;
для оценки ВПБ использовалась базовая модель ВАБ на номинальном уровне мощности;
изменение вероятностей других событий модели ВАБ, не связанных с нарушением блока АС, включая вероятности ошибок персонала, не выполнялось.
Результаты оценки ВПБ нарушения в работе блока АС приведены ниже:
УВТА, определенная с использованием дерева событий "Административный останов блока АС" с учетом наложившихся отказов ВПЭН и отказов системы основной питательной воды и системы основного конденсата, равна 3 x 10-5 за один год;
, определенная с учетом всех деревьев событий, использованных в базовой модели ВАБ и с учетом времени эксплуатации блока АС с отказами ВПЭН, равным одному году, составила 4,08 x 10-5 за один год;
УВБАВ, определенная для группы ИС "Административный останов блока АС" (частота ИС назначалась равной единице) путем исключения из группы других ИС (частоты других ИС назначались равными нулю) с учетом наложившихся отказов ВПЭН, отказов системы основной питательной воды и системы основного конденсата, равна 7 x 10-6 за один год;
, определенная с учетом всех деревьев событий, использованных в базовой модели ВАБ и с учетом времени эксплуатации блока АС с отказами ВПЭН, равным одному году, составила 9,48 x 106 за один год.
Таким образом, ВПБ блока АС для данного нарушения составляют 4,08 x 105
и 9,48 x 106
за один год.
4.2. Уточнение вероятностных показателей безопасности
блока атомной станции
С целью уточнения ВПБ блока АС для оценки нарушения путем исключения консервативных предположений, принятых при проведении оценки нарушения, рассматривается возможность о доработке вероятностной модели блока АС.
С целью определения объема вносимых изменений в вероятностную модель блока АС в рамках оценки нарушений выполняется определение фактора:
чувствительности ВТА к частоте ИС "Административный останов блока АС", вызванного отказом датчика, измеряющего температуру подшипника ГЦН;
значимости ВТА к неисправностям ВПЭН;
значимости ВТА к снижению надежности системы основной питательной воды.
Для того, чтобы получить представление о влиянии неисправности датчика на частоту ИС "Административный останов блока АС" был проведен анализ чувствительности ВТА к изменению частоты этого ИС - определялось значение ВТА при уменьшении частоты ИС "Административный останов блока АС" в 10 раз (уменьшилась с величины 3,17 x 10-5 до 2,7 x 10-5 за один год, то есть снижение в 1,17 раз). Приведенные результаты показывают, что чувствительность ВТА к изменению частоты ИС "Административный останов блока АС" не является значительной и за счет уменьшения общей частоты ИС "Административный останов блока АС" возможно только ограниченное снижение ВТА. Таким образом, получение реалистичной оценки частоты ИС "Административный останов блока АС" не представляется перспективным.
Согласно оценочному значению ВТА, неисправность ВПЭН является значимым событием (вклад составляет 56%), которое потребует детального анализа нарушения в работе АС (например, рассмотрение возможности восстановления работоспособности двух ВПЭН). Влияние отказов ВПЭН является существенным не только для рассмотренных сценариев ИС "Административный останов блока АС", но и для сценариев других ИС, что также подчеркивает важность определения более точного времени неготовности ВПЭН.
Влияние потенциального снижения надежности системы основной питательной воды на ВТА имеет среднюю значимость (вклад составляет 15%). Основная причина средней значимости заключается в том, что система основной питательной воды требует резервного электроснабжения и может потребовать действий оператора в части изоляции течи.
Таким образом, принято решение о внесении следующих уточнений в вероятностную модель блока АС в части представления нарушения:
уточнение модели отказов ВПЭН, включая действия персонала по восстановлению ВПЭН;
уточнение вероятностей отказов системы основной питательной воды и системы основного конденсата для учета зависимых отказов из-за разрыва паропровода в вероятностной модели блока АС.
Ниже приводится описание внесенных уточнений.
Уточнение модели отказов ВПЭН-1,2
Событие и условия отказов насосов ВПЭН-1,2 не связаны непосредственно с ИС, но, вероятно, существовали в течение некоторого времени до этого ИС и проявились только во время переходного процесса.
Уточняющая вероятностная модель, отображающая неисправность ВПЭН, учитывает вероятность восстановления ВПЭН. Для базовой модели ВАБ учитывается вероятность отказов ВПЭН на запуск и при работе после восстановления (оценочно увеличена в три раза), а также учитывается вероятность невыполнения восстанавливающих действий персонала при повышении температуры подшипников насосов (оценена величиной 0,15).
Разрыв паропровода второго контура и его последствия
Паропровод имел продольный разрыв в изгибе трубы Ду 76 мм. Трубопровод системы пожаротушения был поврежден вследствие биения паропровода, и образовалась течь трубопровода системы пожаротушения. Обе течи были локализованы через короткий промежуток времени. Тем не менее в этот промежуток произошло ограниченное затопление оборудования водой и паром. Была проведена тщательная проверка повреждений, нанесенных затоплением близлежащей технике, в частности рассматривался расположенный поблизости комбинированный центр управления электродвигателями 0,4 кВ и оборудованием для ряда устройств. Также был проверен соседний кабельный лоток с кабелями. По результатам проверки был сделан вывод об отсутствии существенных повреждений упомянутого оборудования.
Разрыв паропровода и его последствия могут привести к отказу или повышенной неготовности систем в турбинном зале. Что касается систем, рассматриваемых в ВАБ, то последствием разрыва паропровода может стать зависимый отказ системы основной питательной воды и системы основного конденсата. Для уточнения вероятностей отказов системы основной питательной воды и системы основного конденсата выполнен детальный анализа сценариев затоплений в отношении зон затопления, в которых содержатся указанные системы.
Результаты расчета вероятностных показателей безопасности
Результаты оценки ВПБ блока АС с применением доработанной вероятностной модели блока АС приведены ниже:
УВТА, определенная с использованием дерева событий "Административный останов блока АС" с учетом уточнений, составила 8 x 10-6 за один год;
, определенная с учетом всех деревьев событий, использованных в базовой модели ВАБ и с учетом уточнений, а также времени эксплуатации блока АС, равным одному году, составила 3,3 x 10-6 за один год;
УВБАВ, определенная для группы ИС "Административный останов блока АС" (постулировалось возникновение ИС) с исключением других ИС (частоты других ИС назначались равными нулю) и с учетом уточнений, составила 1,86 x 10-6 за один год;
, определенная с учетом всех деревьев событий, использованных в базовой модели ВАБ с учетом уточнений, а также времени эксплуатации блока АС, равным одному году, составила 7,71 x 10-7 за один год.
Сравнение полученных ВПБ блока АС с вероятностными критериями, приведенными в пункте 30 Руководства по безопасности, привело к следующим результатам категорирования нарушения:
значения УВТА и УВБАВ попадают в область II диаграммы приложения N 4 к Руководству по безопасности ("среднезначимое нарушение");
значения
и
попадают в область I диаграммы приложения N 4 к Руководству по безопасности ("среднезначимое нарушение").
Согласно пункту 31 Руководства по безопасности оцениваемое нарушение в работе блока АС относится к категории значимости "среднезначимое".
Приложение N 4
к руководству по безопасности
при использовании атомной энергии
"Рекомендации по использованию
вероятностного анализа безопасности
при оценке нарушений в работе
атомных станций", утвержденному
приказом Федеральной службы
по экологическому, технологическому
и атомному надзору
от 22 октября 2025 г. N 367
ВЕРОЯТНОСТНЫЕ КРИТЕРИИ
Диаграмма с вероятностными критериями категоризации
нарушений в работе блока атомной станции по их значимости
для безопасности

Приложение N 5
к руководству по безопасности
при использовании атомной энергии
"Рекомендации по использованию
вероятностного анализа безопасности
при оценке нарушений в работе
атомных станций", утвержденному
приказом Федеральной службы
по экологическому, технологическому
и атомному надзору
от 22 октября 2025 г. N 367
РЕКОМЕНДУЕМЫЙ ОБЪЕМ
ИНФОРМАЦИИ О РЕЗУЛЬТАТАХ ОЦЕНКИ НАРУШЕНИЙ
В составе отчетной документации в части оценки нарушения в работе АС с использованием ВАБ рекомендуется приводить следующую информацию:
а) краткую характеристику вероятностной модели блока АС, применяемой для оценки нарушения;
б) обоснование применимости вероятностной модели блока АС и описание способов учета оцениваемого нарушения в применяемой модели, включая описание допущений и ограничений, принятых при оценке нарушений;
в) результаты оценки нарушения с использованием ВАБ блока АС;
г) результаты категоризации нарушения и формулировку выводов;
д) результаты оценок значимости доминантных вкладчиков в ВПБ блока АС (для ИС, аварийных последовательностей, отказов и неготовности элементов систем, ошибок персонала);
е) оценку влияния выполнения корректирующих мер на ВПБ блока АС.