Приказ Ростехнадзора от 26.08.2025 N 290
ФЕДЕРАЛЬНАЯ СЛУЖБА ПО ЭКОЛОГИЧЕСКОМУ, ТЕХНОЛОГИЧЕСКОМУ
И АТОМНОМУ НАДЗОРУ
ПРИКАЗ
от 26 августа 2025 г. N 290
ОБ УТВЕРЖДЕНИИ МЕТОДИКИ
РАЗРАБОТКИ НОРМАТИВОВ ДОПУСТИМЫХ ВЫБРОСОВ РАДИОАКТИВНЫХ
ВЕЩЕСТВ В АТМОСФЕРНЫЙ ВОЗДУХ
В соответствии с пунктом 6 статьи 22 Федерального закона от 10 января 2002 г. N 7-ФЗ "Об охране окружающей среды", пунктом 3 Правил разработки и установления нормативов допустимых выбросов радиоактивных веществ, нормативов допустимых сбросов радиоактивных веществ, а также выдачи разрешений на выбросы радиоактивных веществ, разрешений на сбросы радиоактивных веществ, утвержденных постановлением Правительства Российской Федерации от 2 февраля 2024 г. N 99 <1>, подпунктом 5.2.2.15 пункта 5 Положения о Федеральной службе по экологическому, технологическому и атомному надзору, утвержденного постановлением Правительства Российской Федерации от 30 июля 2004 г. N 401, приказываю:
--------------------------------
<1> В соответствии с пунктом 6 постановления Правительства Российской Федерации от 2 февраля 2024 г. N 99 "Об утверждении Правил разработки и установления нормативов допустимых выбросов радиоактивных веществ, нормативов допустимых сбросов радиоактивных веществ, а также выдачи разрешений на выбросы радиоактивных веществ, разрешений на сбросы радиоактивных веществ" данный акт действует до 1 сентября 2030 г.
1. Утвердить прилагаемую Методику разработки нормативов допустимых выбросов радиоактивных веществ в атмосферный воздух.
2. Признать утратившими силу:
приказ Федеральной службы по экологическому, технологическому и атомному надзору от 7 ноября 2012 г. N 639 "Об утверждении Методики разработки и установления нормативов предельно допустимых выбросов радиоактивных веществ в атмосферный воздух" (зарегистрирован Министерством юстиции Российской Федерации 18 января 2013 г., регистрационный N 26595);
приказ Федеральной службы по экологическому, технологическому и атомному надзору от 28 июня 2017 г. N 233 "О внесении изменений в Методику разработки и установления нормативов предельно допустимых выбросов радиоактивных веществ в атмосферный воздух, утвержденную приказом Федеральной службы по экологическому, технологическому и атомному надзору от 7 ноября 2012 г. N 639" (зарегистрирован Министерством юстиции Российской Федерации 16 августа 2017 г., регистрационный N 47824).
3. Настоящий приказ вступает в силу с 1 марта 2026 г. и действует до 1 сентября 2030 г.
Врио руководителя
А.В.ФЕРАПОНТОВ
Утверждена
приказом Федеральной службы
по экологическому, технологическому
и атомному надзору
от 26 августа 2025 г. N 290
МЕТОДИКА
РАЗРАБОТКИ НОРМАТИВОВ ДОПУСТИМЫХ ВЫБРОСОВ РАДИОАКТИВНЫХ
ВЕЩЕСТВ В АТМОСФЕРНЫЙ ВОЗДУХ
1. Настоящая Методика предназначена для использования юридическим лицом и (или) индивидуальным предпринимателем, эксплуатирующими стационарные источники выбросов радиоактивных веществ в атмосферный воздух (далее - стационарные источники выбросов) <1>.
--------------------------------
<1> Пункт 2 Правил разработки и установления нормативов допустимых выбросов радиоактивных веществ, нормативов допустимых сбросов радиоактивных веществ, а также выдачи разрешений на выбросы радиоактивных веществ, разрешений на сбросы радиоактивных веществ, утвержденных постановлением Правительства Российской Федерации от 2 февраля 2024 г. N 99 (далее - Правила). Правила, в соответствии с пунктом 6 постановления Правительства Российской Федерации от 2 февраля 2024 г. N 99 "Об утверждении Правил разработки и установления нормативов допустимых выбросов радиоактивных веществ, нормативов допустимых сбросов радиоактивных веществ, а также выдачи разрешений на выбросы радиоактивных веществ, разрешений на сбросы радиоактивных веществ", действуют до 1 сентября 2030 г.
2. Нормативы допустимых выбросов радиоактивных веществ в атмосферный воздух (далее - НДВ) разрабатываются в отношении радиоактивных изотопов в элементной форме и в виде соединений, включенных в перечень загрязняющих веществ, в отношении которых применяются меры государственного регулирования в области охраны окружающей среды, утвержденный распоряжением Правительства Российской Федерации от 20 октября 2023 г. N 2909-р <2> (далее - перечень загрязняющих веществ).
--------------------------------
<2> Пункт 4 Правил.
3. Разработка НДВ осуществляется <3>:
--------------------------------
<3> Пункт 5 Правил.
а) в отношении вводимых в эксплуатацию новых и (или) реконструированных объектов хозяйственной и иной деятельности - на основе проектной документации на объекты со стационарными источниками выбросов;
б) в отношении действующих объектов хозяйственной и иной деятельности - на основе данных инвентаризации выбросов радиоактивных веществ в атмосферный воздух.
4. НДВ разрабатываются для каждого стационарного источника выбросов, суммарный выброс которого создает без учета рассеивания индивидуальную годовую эффективную дозу более 10 микрозивертов, и для всех радиоактивных изотопов в элементной форме и в виде соединений, включенных в перечень загрязняющих веществ, суммарный вклад которых в годовую эффективную дозу облучения группы лиц из населения (не менее 10 человек), однородной по одному или нескольким признакам - полу, возрасту, социальным или профессиональным условиям, месту проживания, рациону питания, которая подвергается наибольшему облучению (далее - облучаемая группа лиц из населения), создаваемую выбросом радиоактивных веществ из этого стационарного источника выбросов, составляет не менее 99%, исходя из условий:
а) непревышения квоты предела эффективной дозы (или пределов каждой из эквивалентных доз) для населения (далее - ПД) <4> от всех путей облучения, связанных с выбросами радионуклидов в атмосферный воздух из всех стационарных источников выбросов, эксплуатирующихся и (или) планируемых к вводу в эксплуатацию (далее - квота от ПД);
--------------------------------
<4> Таблица 3.1 пункта 3.1.2 санитарных правил и нормативов СанПиН 2.6.1.2523-09 "Нормы радиационной безопасности (НРБ-99/2009)", утвержденных постановлением Главного государственного санитарного врача Российской Федерации от 7 июля 2009 г. N 47 (зарегистрировано Министерством юстиции Российской Федерации 14 августа 2009 г., регистрационный N 14534) (далее - НРБ-99/2009).
б) обеспечения сохранения благоприятных условий жизнедеятельности человека и устойчивого функционирования естественных экологических систем, природных и природно-антропогенных объектов, а также сохранения биологического видового разнообразия.
5. Условие, указанное в подпункте "а" пункта 4 настоящей Методики, считается выполненным в случае, если соблюдено соотношение:

где:
i - индекс стационарного источника выбросов;
Ei - годовая индивидуальная доза облучения населения от рассматриваемого i-го стационарного источника выбросов, вычисленная на время установления равновесия процессов формирования радиационного загрязнения окружающей среды для облучаемой группы лиц из населения, зиверт в год (далее - Зв/год);
- квота от ПД, Зв/год.
6. Условие, указанное в подпункте "б" пункта 4 настоящей Методики, считается выполненным в случае, если соблюдено соотношение:

где:
r - индекс радионуклида;
l - индекс, относящийся к типу негативного воздействия выбросов на естественные экологические системы, природные и природно-антропогенные объекты;
Ur,l - показатель негативного воздействия l-го типа, обусловленного радиационным загрязнением экологических систем, природных и природно-антропогенных объектов радионуклидом г;
Ui,r,l - вклад i-го стационарного источника выбросов в показатель Ur,l негативного воздействия l-го типа, обусловленного радиационным загрязнением экологических систем, природных и природно-антропогенных объектов радионуклидом r.
ППВr,l - предел приемлемого воздействия l-го типа на экологические системы, природные и природно-антропогенные объекты (норматив качества окружающей среды).
7. Проекты НДВ разрабатываются в соответствии с требованиями к их содержанию, установленными в пункте 18 Правил. Пересмотр величин НДВ осуществляется не реже чем один раз в 7 лет <5>, а также в случае изменения условий, которые приводят к изменению прогнозируемых доз облучения облучаемой группы лиц из населения за счет выбросов радиоактивных веществ в атмосферный воздух, и при изменениях технологии.
--------------------------------
<5> Пункт 3 статьи 19, пункты 7, 8 и 9 статьи 22 Федерального закона от 10 января 2002 г. N 7-ФЗ "Об охране окружающей среды".
8. Расчет величин НДВ необходимо выполнять по соотношению, связывающему выброс радиоактивных веществ в атмосферный воздух Q с дозой облучения населения E, при условии, что для каждого отдельного радионуклида, содержащегося в выбросах, это соотношение представлено как:

где:
x - расстояние от стационарного источника выбросов по оси абсцисс, метров (далее - м);
y - расстояние от стационарного источника выбросов по оси ординат, м;
E - годовая эффективная доза облучения, получаемая облучаемой группой лиц из населения в точке местности с координатами (x, y), Зв/год;
H - годовая эквивалентная доза (в хрусталике глаза, коже, кистях и стопах), получаемая облучаемой группой лиц из населения в точке местности с координатами (x, y), Зв/год;
Q - величина годового выброса данного радионуклида в составе выбрасываемых радиоактивных веществ, беккерель в год (далее - Бк/год);
- функционал, связывающий эффективную E или эквивалентную H дозу, получаемую облучаемой группой лиц из населения в точке местности с координатами (x, y), с активностью годового выброса Q, Зв/Бк (далее - функционал "выброс-доза").
9. Значения НДВ должны удовлетворять соотношению:

где:
НДВr,i - допустимый выброс радионуклида r из i-го стационарного источника выбросов, Бк/год;
- точка местности, в окрестности которой реализуется максимум дозы облучения облучаемой группы лиц из населения, суммарной по всем путям облучения, за счет всех радионуклидов, входящих в состав выбросов каждого из стационарных источников выбросов (далее - точка максимума дозы);
- значение функционала "выброс-доза" для радионуклида r в выбросах из i-го стационарного источника, рассчитанное в точке максимума дозы.
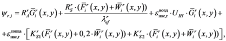
10. Значение функционала "выброс-доза", указанного в пункте 8 настоящей Методики, для радионуклида r в выбросах из i-го источника в точке местности с координатами (x, y) рассчитывается по формуле:

где
- фактор разбавления метеорологический приземный среднегодовой для радионуклида r и i-го стационарного источника выбросов, секунда на метр кубический;
- фактор сухого выпадения метеорологический приземный среднегодовой для радионуклида r и i-го стационарного источника выбросов, м-2;
- фактор влажного выведения метеорологический приземный среднегодовой для радионуклида r и i-го стационарного источника выбросов, м-2;
- дозовый фактор конверсии при облучении от облака для радионуклида r, Зв·м3/(Бк·с);
- дозовый фактор конверсии при облучении от поверхности почвы для радионуклида r, Зв·м2/(Бк·с);
- дозовый коэффициент при ингаляции радионуклида r с воздухом, Зв/Бк;
- дозовый коэффициент при поступлении радионуклида r с продуктами питания, Зв/Бк;
UIH - объем вдыхаемого воздуха для лица из облучаемой группы лиц из населения за одну секунду, метр кубический на секунду;
- коэффициент перехода "выпадение из атмосферы - поступление в организм человека" радионуклида r с продуктами питания по воздушному пути, м2;
- коэффициент перехода "выпадение из атмосферы - поступление в организм человека" радионуклида r с продуктами питания по корневому пути, м2;
- постоянная уменьшения уровня излучения от одномоментно загрязненной почвы за счет радиоактивного распада и экранирования верхним слоем при диффузии радионуклидов в глубь почвы, с-1.
11. Значения НДВr,i рассчитываются по формуле:

где:
- относительный вклад каждого радионуклида r в общую активность выброса (принимается постоянным для данного радионуклида) из i-го стационарного источника выбросов.
12. Относительный вклад
каждого радионуклида r в общую активность выброса из i-го стационарного источника выбросов, указанный в пункте 11 настоящей Методики, рассчитывается по формуле:

где:
Qr,i - измеренная инструментально величина фактического выброса радионуклида r из i-го стационарного источника выбросов или ее проектное значение, Бк/год.
13. Расчет окончательных значений НДВr,i для отдельного стационарного источника выбросов, определяемых по условию непревышения значениями эффективной и эквивалентных (в хрусталике глаза, коже, кистях и стопах) доз ни одного из установленных пределов эффективной и эквивалентных доз, осуществляется по формуле:

где:
k - индекс, относящийся к эффективной дозе и эквивалентным дозам (в хрусталике глаза, коже, кистях и стопах соответственно);
- величины выделенной квоты по эффективной дозе, по эквивалентным дозам (в хрусталике глаза, коже, кистях и стопах соответственно), Зв/год (в случае, если квоты пределов эквивалентных доз не установлены, их значения принимаются равными
);
- значения функционала "выброс-доза" для радионуклида r и для k-ой группы органов, рассчитанное в точке максимума дозы, Зв/Бк.
14. При определении НДВr,i для нескольких удаленных друг от друга стационарных источников выбросов необходимо выполнить расчеты пространственного распределения эффективной дозы облучения населения E, создаваемой фактическими и (или) проектными выбросами по формуле:

где:
Qr,i - выброс r-го радионуклида из i-го стационарного источника выбросов, Бк/год;
- значения функционала "выброс - доза", рассчитанные для r-го радионуклида и i-го стационарного источника выбросов для количества точек на местности (x*, y*), достаточного для выявления особенностей пространственного распределения дозы, Зв/Бк.
15. В качестве точки максимума дозы принимается наибольший из локальных максимумов пространственного распределения эффективной дозы облучения населения, рассчитанного по формуле, указанной в пункте 14 настоящей Методики. Для нескольких удаленных друг от друга стационарных источников выбросов НДВr,i необходимо определять методом последовательных приближений, принимая в качестве первого приближения пространственное распределение эффективной дозы облучения населения E, рассчитанное в соответствии с формулой, указанной в пункте 14 настоящей Методики.
16. Группа стационарных источников выбросов, при условии совпадения положения максимумов функционалов "выброс-доза", при разработке НДВ рассматривается как один источник. В этом случае НДВ рассчитываются для каждого отдельного стационарного источника выбросов из группы с использованием формул, указанных в пунктах 13 и 14 настоящей Методики, и исходя из соотношений между высотами отдельных стационарных источников выбросов в составе группы.
17. В случае если при рассмотрении группы взаимно удаленных друг от друга стационарных источников выбросов положения максимумов функционалов "выброс-доза" не совпадают, разработка НДВ осуществляется исходя из фактической величины и радионуклидного состава выбросов каждого отдельного стационарного источника выбросов из группы и максимальной величины годовой эффективной дозы E, создаваемой группой стационарных источников выбросов.
18. Для проверки соблюдения соотношения, указанного в пункте 6 настоящей Методики, необходимо выполнить прямой расчет значений Ur,l(НДВ; x, y) - показателя негативного воздействия выброса радиоактивных веществ согласно формуле, определяющей это негативное воздействие в обобщенном виде через значение НДВ:

где:
Kl,i(x,y) - функционал, связывающий значение показателя негативного воздействия типа l с величиной выброса из i-го стационарного источника выбросов.
В случае если полученное значение показателя Ur,l(НДВ; x, y) превысит установленный предел приемлемого воздействия типа l на экологические системы, природные и природно-антропогенные объекты ППВr,l, величины НДВr,l, рассчитанные исходя из соблюдения соотношения, указанного в пункте 5 настоящей Методики, необходимо пропорционально уменьшить, умножив их на коэффициент, равный ППВr,l / Ul (НДВ).