Рейтинг@Mail.ru

Приказ Росстата от 29.12.2025 N 764

МИНИСТЕРСТВО ЭКОНОМИЧЕСКОГО РАЗВИТИЯ РОССИЙСКОЙ ФЕДЕРАЦИИ

ФЕДЕРАЛЬНАЯ СЛУЖБА ГОСУДАРСТВЕННОЙ СТАТИСТИКИ

ПРИКАЗ

от 29 декабря 2025 г. N 764

О ВНЕСЕНИИ ИЗМЕНЕНИЙ

В ПРИКАЗ ФЕДЕРАЛЬНОЙ СЛУЖБЫ ГОСУДАРСТВЕННОЙ СТАТИСТИКИ

ОТ 15 ДЕКАБРЯ 2021 Г. N 915

В соответствии с частью 3 статьи 7 Федерального закона от 29 ноября 2007 г. N 282-ФЗ "Об официальном статистическом учете и системе государственной статистики в Российской Федерации", подпунктом 5.2 Положения о Федеральной службе государственной статистики, утвержденного постановлением Правительства Российской Федерации от 2 июня 2008 г. N 420, и в целях выполнения Федерального плана статистических работ, утвержденного распоряжением Правительства Российской Федерации от 6 мая 2008 г. N 671-р, в части формирования официальной статистической информации по потребительским ценам и тарифам на товары и услуги приказываю:

1. Внести изменения в приказ Федеральной службы государственной статистики от 15 декабря 2021 г. N 915 "Об утверждении Официальной статистической методологии наблюдения за потребительскими ценами на товары и услуги и расчета индексов потребительских цен" согласно приложению к настоящему приказу.

2. Настоящий приказ вступает в силу с 1 января 2026 года.

Заместитель руководителя

С.Н.ЕГОРЕНКО

Утверждены

приказом Росстата

от 29.12.2025 N 764

ИЗМЕНЕНИЯ,

КОТОРЫЕ ВНОСЯТСЯ В ПРИКАЗ ФЕДЕРАЛЬНОЙ СЛУЖБЫ

ГОСУДАРСТВЕННОЙ СТАТИСТИКИ ОТ 15 ДЕКАБРЯ 2021 Г. N 915

"ОБ УТВЕРЖДЕНИИ ОФИЦИАЛЬНОЙ СТАТИСТИЧЕСКОЙ МЕТОДОЛОГИИ

НАБЛЮДЕНИЯ ЗА ПОТРЕБИТЕЛЬСКИМИ ЦЕНАМИ НА ТОВАРЫ И УСЛУГИ

И РАСЧЕТА ИНДЕКСОВ ПОТРЕБИТЕЛЬСКИХ ЦЕН"

1. Абзац второй пункта 3 изложить в следующей редакции:

"Положения Методологии в части использования административных данных и "Больших данных" при формировании официальной статистической информации о средних потребительских ценах и индексах потребительских цен вступают в силу с 1 января 2027 года.".

2. В Официальной статистической методологии наблюдения за потребительскими ценами на товары и услуги и расчета индексов потребительских цен, утвержденной приказом Росстата от 15 декабря 2021 г. N 915:

1) абзац второй пункта 1 изложить в следующей редакции:

"Под комбинированием различных источников подразумевается обогащение статистической практики наблюдения за ценами в целях расчета индексов потребительских цен данными существующих административных данных <1> и "Больших данных" <2> о ценах, которое позволяет значительно увеличить масштабы наблюдения за ценами, оптимизировать и максимально автоматизировать процесс обработки информации.";

дополнить сноской 1 следующего содержания:

"<1> В соответствии с пунктом шестым статьи 2 Федерального закона от 29 ноября 2007 г. N 282-ФЗ "Об официальном статистическом учете и системе государственной статистики в Российской Федерации" и ГОСТ Р 72297-2025 "Государственное управление. Качество данных официального статистического учета", утвержденным приказом Росстандарта от 16 сентября 2025 г. N 1056-ст.";

дополнить сноской 2 следующего содержания:

"<2> В соответствии с п. 3.1.2 ГОСТ Р ИСО/МЭК 20546-2021 "Национальный стандарт Российской Федерации. Информационные технологии. Большие данные. Обзор и словарь", утвержденным приказом Росстандарта от 13 июля 2021 г. N 632-ст, "Большие данные" - большие массивы данных отличающиеся главным образом такими характеристиками, как объем, разнообразие, скорость обработки и/или вариативность, которые требуют использования технологии масштабирования для эффективного хранения, обработки, управления и анализа.";

2) в пункте 2:

в абзаце третьем слова "альтернативными данными" заменить словами административными данными и "Большими данными";

дополнить абзацем следующего содержания:

"В соответствии с пунктами 19 - 22 Плана мероприятий по реализации Стратегии развития системы государственной статистики и Росстата до 2030 года, утвержденного распоряжением Правительства Российской Федерации от 30 апреля 2025 г. N 1083-р, методологией предусмотрено формирование информации по показателям статистики потребительских цен с учетом использования административных данных и "Больших данных".";

3) абзац второй пункта 3 изложить в следующей редакции:

"Федеральное статистическое наблюдение за уровнем и динамикой потребительских цен является выборочным и осуществляется с применением методологии, которая, в соответствии с подпунктом 5.2 Положения о Федеральной службе государственной статистики, утвержденного постановлением Правительства Российской Федерации от 2 июня 2008 г. N 420, разрабатывается и утверждается Росстатом.";

4) в абзаце третьем пункта 5 после слов "исчисленных по различным" дополнить словом "условным";

5) в пункте 8:

абзацы шестой, девятый и одиннадцатый признать утратившими силу;

в абзаце девятнадцатом слова "альтернативными источниками информации" заменить словами "административными данными и "Большими данными";

дополнить абзацем следующего содержания:

"маркетплейс - владелец агрегатора информации о товарах (услугах).";

6) в пункте 11:

подпункт "а" изложить в следующей редакции:

"а) административные данные <1> (например, административные данные с использованием информационно-аналитической системы регулирования на транспорте, Федеральной государственной информационной системы мониторинга движения лекарственных препаратов для медицинского применения (ФГИС МДЛП));";

исключить сноску 1 к подпункту "а";

подпункт "б" изложить в следующей редакции:

"б) "Большие данные" <1>;";

подпункты а) и б) дополнить сноской следующего содержания:

"<1> При наличии технической возможности использования данных.";

подпункт "в" признать утратившим силу;

подпункт "г" изложить в следующей редакции:

"данные онлайн-агрегаторов (по продаже билетов, туроператоров и других) и маркетплейсов;";

7) пункты 11.1, 11.2, 11.3 и 11.4 признать утратившими силу;

8) пункт 13 изложить в следующей редакции:

"13. Сбор ценовой информации осуществляется на основе всех вышеперечисленных источников информации о ценах.

Регистрации подлежит фактическая цена (тариф) товара (услуги) с конкретными потребительскими свойствами, имеющегося в свободной реализации на потребительском рынке и оплачиваемого наличными или безналичными средствами. В рамках наблюдения за потребительскими ценами не учитываются оптовые и мелкооптовые цены.

В наблюдение включаются товары отечественного и импортного производства.

Цены на товары и услуги указываются в валюте Российской Федерации.".

9) в пункте 14:

абзац двенадцатый изложить в следующей редакции:

"Расчет индексов потребительских цен на отдельные виды и группы товаров и услуг, а также ежемесячного ИПЦ на товары и услуги по Российской Федерации, федеральным округам и субъектам Российской Федерации и еженедельной оценки ИПЦ на товары и услуги по Российской Федерации;";

в абзаце четырнадцатом слово "различных" исключить;

10) в пункте 16:

абзац четвертый изложить в следующей редакции: "на Интернет-сайтах организаций специалистами территориальных органов Росстата (например, цены на туристические услуги, цены конкретных товаров из каталогов организаций розничной торговли и т.п.). При этом для обеспечения сопоставимости цены (тарифы) фиксируются без стоимости доставки (доставка фиксируется отдельно);";

подпункт "б" изложить в следующей редакции:

"б) Цена продажи (цена из чека) фиксируется из административных данных или "Больших данных".";

11) в пункте 17:

абзац третий изложить в следующей редакции:

"идентификация товара (услуги) с конкретными потребительскими свойствами и качественными характеристиками в соответствии с его описанием. В административных данных и "Больших данных" товары (услуги) идентифицируются по их наименованиям с использованием нейронных сетей и работы асессоров/разметчиков, или кодам для маркированных товаров;";

в абзаце седьмом слова "комплект постельного белья" заменить словами "комплект столовых приборов из 3 - 4 предметов";

абзац одиннадцатый изложить в следующей редакции:

"Детализация описания товара (услуги) должна обеспечить возможность безошибочной идентификации его в организации торговли и сферы услуг при последующей регистрации цен.";

12) в абзаце пятнадцатом пункта 18 слова "крупных гипермаркетах" заменить словами "торговых организациях";

13) в абзаце пятом пункта 20 слова "легковые автомобили," исключить;

14) абзац семнадцатый пункта 21 изложить в следующей редакции:

"В качестве источников информации для выявления новых товаров (услуг) и определения стадии их жизненного цикла используются экспертные оценки работников организаций торговли и услуг, а также административные данные и "Большие данные", данные статистической отчетности и другие источники. Так, например, могут быть использованы Интернет-сайты крупнейших торговых компаний (оффлайн и онлайн), таких как "Перекресток", "Пятерочка", "Лента", "М.Видео" и других. Анализ товаров (услуг) - новинок проводится раз в год.";

15) абзац второй пункта 22 изложить в следующей редакции:

"Отбор городов (в субъектах Российской Федерации) для наблюдения за ценами осуществляется территориальными органами Росстата в соответствии с критериями приведенными ниже.";

16) в абзаце втором пункта 23 слова "из всех источников информации" заменить словами "из всех источников";

17) абзац четвертый пункта 24 изложить в следующей редакции:

"Для уточнения выборки предприятий торговли и сферы услуг в качестве информационных источников могут быть использованы также данные форм федерального статистического наблюдения, административные данные и "Большие данные".";

18) в пункте 25:

в абзаце шестом слова "юридического лица;"

заменить словами "юридического лица, самозанятыми;";

в абзаце одиннадцатом слова "для ИП" заменить словами "для индивидуальных предпринимателей и самозанятых";

19) в пункте 26:

в абзаце шестом слово "предприниматели" заменить словами "предприниматели, самозанятые,";

в абзаце одиннадцатом слово "предпринимателей" заменить словами "предпринимателей, самозанятых,";

абзац двадцать первый изложить в следующей редакции:

"Объем выборки индивидуальных предпринимателей и самозанятых (), занимающихся торговлей и оказывающих услуги, также рассчитывается в зависимости от их количества в городе. В случае, если число индивидуальных предпринимателей и самозанятых составляет менее 1000, объем выборки будет равен 5%, а свыше 1000 - 2%.";

20) в пункте 28:

абзац первый изложить в следующей редакции:

"28. Этапы отбора ценовых котировок на основе административных данных и "Больших данных".";

исключить сноску "1" к абзацу первому;

абзац третий изложить в следующей редакции:

"а) анализ данных, полученных из всех источников за предшествующие отчетному году 13 месяцев (по состоянию на последние 5 дней каждого месяца или на все даты каждого месяца).";

в абзаце четвертом слова "данных ККТ" заменить словами "Больших данных";

абзац пятый изложить в следующей редакции:

"Большие данные" классифицируются в рамках Набора с помощью алгоритмов машинного обучения и работы асессоров и разметчиков;";

в абзаце шестнадцатом слова "данных ККТ, ГИС МТ, веб-скрейпинга." заменить словами "административных данных и "Больших данных".";

в абзаце девятнадцатом слова "данных ККТ, ГИС МТ, веб-скрейпинга" заменить словами "административных данных и "Больших данных".";

21) в абзаце седьмом пункта 29 слова "ККТ, ГИС МТ и методом веб-скрейпинга" заменить словами "административных данных и "Больших данных";

22) в абзаце одиннадцатом пункта 31 слова "больших данных" заменить словами "административных данных и "Больших данных".";

23) в пункте 32:

в абзаце третьем слова "больших данных" заменить словами "административных данных и "Больших данных";

дополнить абзацем следующего содержания:

"Также в резерв включаются новые товары и услуги в рамках товара (услуги)-представителя, появляющиеся в продаже в течение отчетного года.";

24) абзац восьмой пункта 33 изложить в следующей редакции:

"Данный метод импутации цен применяется при использовании административных данных и "Больших данных".";

25) в подпункте "б" пункта 35 абзацы семнадцатый и восемнадцатый признать утратившими силу;

26) в абзаце четвертом пункта 38 слова "Рытье могилы" заменить словом "Погребение";

27) в пункте 39:

абзац третий изложить в следующей редакции:

"Одним из методов контроля качества первичной информации о потребительских ценах является выборочный контрольный обход организаций торговли и сферы услуг, в которых производится регистрация потребительских цен (тарифов), анализ информации, зарегистрированной на официальных сайтах организаций.";

абзац четвертый изложить в следующей редакции:

"Контрольный обход и анализ проводится совместно с регистратором цен во время ежемесячной регистрации потребительских цен или на следующий день после посещения регистратором объекта наблюдения, регистрации цен на официальных сайтах организаций.";

в абзаце пятом слова "обходах организаций торговли и сферы услуг" заменить словом "мероприятиях";

28) в пункте 40:

абзац первый изложить в следующей редакции:

"40. В процессе перехода от традиционных методов регистрации потребительских цен к использованию административных данных и "Больших данных", каждый субъект Российской Федерации будет находиться в определенной конфигурации источников данных. В каждом городе региона цена на конкретный товар (услугу)-представитель может быть зарегистрирована с использованием:";

абзац второй изложить в следующей редакции:

"административных данных или "Больших данных";

абзац пятый изложить в следующей редакции:

"В процессе отбора ценовых котировок из различных источников необходимо использовать системы данных в порядке их приоритетности: административные данные, "Большие данные", данные традиционной регистрации цен.";

абзацы шестой, седьмой, восьмой признать утратившими силу;

сноску "1" к абзацу шестому исключить;

абзац девятый изложить в следующей редакции:

"Из источников данных отбираются ценовые котировки по каждому городу для каждого товара (услуги)-представителя в соответствии с определенным минимальным количеством котировок. Если сведений из источников административных данных и "Больших данных" недостаточно, то используются данные традиционной регистрации.";

в абзаце одиннадцатом слова "Больших данных" (данные ККТ или веб-скрейпинга)" заменить словами "административных данных или "Больших данных";

абзац семнадцатый изложить в следующей редакции:

"Существуют несколько вариантов комбинирования данных для разных товаров (услуг), например, комбинирование на уровне расчета индивидуальных индексов цен на товар (услугу)-представитель, когда, изменения цен в ряде организаций (определенных на этапе составления выборки) фиксируются на основе "Больших данных", а в ряде организаций (например, на розничных рынках) - традиционным методом регистрации.";

исключить сноску "1" к абзацу семнадцатому;

абзац восемнадцатый изложить в следующей редакции:

"Для того, чтобы сформировать определенную конфигурацию методов сбора данных, в каждом субъекте Российской Федерации и в городах должны соблюдаться принципы, приведенные ниже.";

абзац двадцать второй изложить в следующей редакции:

"преимущественно используются административные данные или "Большие данные";";

абзац двадцать третий изложить в следующей редакции:

"для использования административных данных и "Больших данных" должно быть обеспечено достаточное покрытие конкретного сегмента организаций в городе (например, сетевые магазины);";

абзац двадцать четвертый признать утратившим силу;

абзац двадцать пятый изложить в следующей редакции:

"административные данные и "Большие данные" никогда не комбинируются в рамках одного товара (услуги)-представителя во избежание дублирования информации;";

абзац двадцать седьмой изложить в следующей редакции:

"при полной невозможности использования административных данных и "Больших данных" сохраняется традиционный метод сбора информации о ценах.";

29) абзац двадцать второй пункта 44 изложить в следующей редакции:

"Например, расходы домашних хозяйств, учтенные по статье "Столовая посуда и домашняя утварь", не имеющей в наборе товаров (услуг)-представителей идентичных позиций, могут быть включены в вес одного из следующих товаров домашнего обихода: "Кастрюля", "Чайник", "Сковорода", "Бутылочка для кормления" или распределены на веса нескольких товаров (так как все эти товары входят в один раздел КИПЦ-ДХ).";

30) в пункте 50 формулу 26 изложить в следующей редакции:

, (26)";

31) в пункте 51:

абзац первый формулы 28 изложить в следующей редакции:

, (28)";

в абзаце восьмом формулы 28 описание компонента изложить в следующей редакции:

" - индекс цен (тарифов) на j-й товар (услугу)-представитель в субъекте Российской Федерации r в отчетном месяце по сравнению с предыдущим месяцем;"

32) пункт 52 дополнить абзацами следующего содержания:

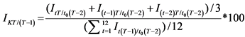
"Индекс цен за отчетный квартал отчетного года к предыдущему году:

, (38/1)

где:

1KT/(T-1) - индекс цен за отчетный квартал отчетного года к предыдущему году, процентов;

ItT/t0(r-2) - индекс цен за последний месяц отчетного квартала к декабрю года, предшествующего предыдущему, процентов;

I(t-1)T/t0(T-2) - индекс цен за средний месяц отчетного квартала к декабрю года, предшествующего предыдущему, процентов;

I(t-2)T/t0(T-2) - индекс цен за первый месяц отчетного квартала к декабрю года, предшествующего предыдущему, процентов;

It(T-1)/t0(T-2) - индекс цен за месяц предыдущего года к декабрю года, предшествующего предыдущему, процентов.

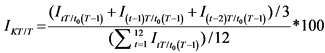
По окончании отчетного года рассчитываются индексы цен за каждый квартал отчетного года к отчетному году:

, (38.2)

где:

IKT/T - индекс цен за квартал отчетного года к отчетному году, процентов;

ItT/t0(T-1) - индекс цен за последний месяц квартала отчетного года к декабрю предыдущего года, процентов;

I(t-1)r/t0(T-1) - индекс цен за средний месяц квартала отчетного года к декабрю предыдущего года, процентов;

I(t-2)T/t0(t-1) - индекс цен за первый месяц квартала отчетного года к декабрю предыдущего года, процентов;

ItT/t0(T-1) - индекс цен за месяц отчетного года к декабрю предыдущего года, процентов.";

33) пункт 54 дополнить абзацами следующего содержания:

"Помимо формирования оценки ИПЦ на товары и услуги по Российской Федерации на отчетную дату к предыдущей дате регистрации цен (за неделю), осуществляется расчет оценки ИПЦ к предыдущему месяцу (или с начала месяца), к декабрю предыдущего года (или с начала года), а также расчет среднесуточного прироста цен за период с начала месяца.

Оценка ИПЦ на отчетную дату отчетного месяца к предыдущему месяцу рассчитывается по формуле:

для первой даты регистрации цен отчетного месяца отчетного года

, (38.3)

где:

- еженедельная оценка ИПЦ на отчетную дату первой недели отчетного месяца к предыдущему месяцу, процентов;

- еженедельная оценка ИПЦ на отчетную дату первой недели отчетного месяца к предыдущей дате регистрации цен (последней отчетной дате предыдущего месяца), процентов;

p - количество дней между отчетной датой и предыдущей датой регистрации цен (семь дней, за исключением случаев сдвига между регистрациями цен в периоды праздников);

s - количество дней с начала месяца до отчетной даты первой недели месяца;

для последующих дат регистрации цен отчетного месяца отчетного года

, (38.4)

где:

Id,tT/(t-1)T - еженедельная оценка ИПЦ на отчетную дату отчетного месяца к предыдущему месяцу, процентов;

I(d-1),tT/(t-1)T - еженедельная оценка ИПЦ на предыдущую дату отчетного месяца к предыдущему месяцу, процентов;

Id,tT/(d-1),tT - еженедельная оценка ИПЦ на отчетную дату отчетного месяца к предыдущей дате регистрации цен отчетного месяца, процентов.

Оценка ИПЦ на отчетную дату отчетного месяца отчетного года к декабрю предыдущего года рассчитывается по формуле:

, (38.5)

где:

Id,tT/t0(T-1) - еженедельная оценка ИПЦ на отчетную дату отчетного месяца отчетного года к декабрю предыдущего года, процентов;

Id,tT/(t-1)T - еженедельная оценка ИПЦ на отчетную дату отчетного месяца к предыдущему месяцу, процентов;

I(d-1),tT/t0(T-1) - еженедельная оценка ИПЦ на предыдущую дату отчетного месяца к декабрю предыдущего года, процентов.

На момент опубликованного ИПЦ за предыдущий месяц отчетного года к декабрю предыдущего года в расчете оценки ИПЦ на отчетную дату отчетного месяца отчетного года к декабрю предыдущего года используются данные опубликованного ИПЦ и оценка ИПЦ на отчетную дату отчетного месяца к предыдущему месяцу.

Среднесуточный прирост цен на отчетную дату за период с начала месяца рассчитывается по формуле:

, (38.6)

где:

Sd,tT/(t-1)T - среднесуточный прирост цен на отчетную дату за период с начала месяца, процентных пунктов;

Id,tT/(t-1)T - еженедельная оценка ИПЦ на отчетную дату отчетного месяца к предыдущему месяцу, процентов;

p - количество дней с начала месяца до отчетной даты отчетного месяца.".

Другие документы по теме
"О внесении изменения в приложение N 4 к приказу Федеральной службы государственной статистики от 4 марта 2025 г. N 104"
"Об утверждении предварительного национального стандарта Российской Федерации"
"Об утверждении национального стандарта Российской Федерации"
"О внесении изменения в положение об Управлении Роспотребнадзора по Чукотскому автономному округу, утвержденное приказом Роспотребнадзора от 10.07.2012 N 726"
Ошибка на сайте