Приказ Росстата от 11.12.2024 N 632
МИНИСТЕРСТВО ЭКОНОМИЧЕСКОГО РАЗВИТИЯ РОССИЙСКОЙ ФЕДЕРАЦИИ
ФЕДЕРАЛЬНАЯ СЛУЖБА ГОСУДАРСТВЕННОЙ СТАТИСТИКИ
ПРИКАЗ
от 11 декабря 2024 г. N 632
ОБ УТВЕРЖДЕНИИ УКАЗАНИЙ
ПО ЗАПОЛНЕНИЮ ФОРМЫ ФЕДЕРАЛЬНОГО СТАТИСТИЧЕСКОГО
НАБЛЮДЕНИЯ N 4-ТЭР "СВЕДЕНИЯ ОБ ИСПОЛЬЗОВАНИИ
ТОПЛИВНО-ЭНЕРГЕТИЧЕСКИХ РЕСУРСОВ"
В соответствии с частью 4 статьи 6 Федерального закона от 29 ноября 2007 г. N 282-ФЗ "Об официальном статистическом учете и системе государственной статистики в Российской Федерации", подпунктом 5.5 пункта 5 Положения о Федеральной службе государственной статистики, утвержденного постановлением Правительства Российской Федерации от 2 июня 2008 г. N 420, Порядком утверждения Федеральной службой государственной статистики форм федерального статистического наблюдения и указаний по их заполнению, утвержденным приказом Министерства экономического развития Российской Федерации от 24 мая 2021 г. N 279 (зарегистрирован Минюстом России 14 сентября 2021 г., регистрационный N 64996), и в целях реализации позиции 1.5.8 Федерального плана статистических работ, утвержденного распоряжением Правительства Российской Федерации от 6 мая 2008 г. N 671-р, приказываю:
1. Утвердить прилагаемые Указания по заполнению формы федерального статистического наблюдения N 4-ТЭР "Сведения об использовании топливно-энергетических ресурсов".
2. Определить, что Указания по заполнению формы федерального статистического наблюдения N 4-ТЭР "Сведения об использовании топливно-энергетических ресурсов", утвержденные пунктом 1 настоящего приказа, применяются при сборе первичных статистических данных за отчетный период 2024 года.
3. Признать утратившим силу приказ Федеральной службы государственной статистики от 22 ноября 2023 г. N 591 "Об утверждении указаний по заполнению формы федерального статистического наблюдения N 4-ТЭР "Сведения об использовании топливно-энергетических ресурсов".
Заместитель руководителя
Д.Д.КЕНЧАДЗЕ
Утверждены
приказом Росстата
от 11.12.2024 N 632
УКАЗАНИЯ
ПО ЗАПОЛНЕНИЮ ФОРМЫ ФЕДЕРАЛЬНОГО СТАТИСТИЧЕСКОГО
НАБЛЮДЕНИЯ N 4-ТЭР "СВЕДЕНИЯ ОБ ИСПОЛЬЗОВАНИИ
ТОПЛИВНО-ЭНЕРГЕТИЧЕСКИХ РЕСУРСОВ" <2>
--------------------------------
<2> Юридическими лицами, зарегистрированными на территориях Луганской Народной Республики, Донецкой Народной Республики, Запорожской и Херсонской областей, данные по форме предоставляются при наличии наблюдаемого явления. В случае отсутствия наблюдаемого явления предоставление формы, не заполненной значениями показателей ("пустой отчет"), указанными респондентами не требуется.
I. Общие положения
1. Первичные статистические данные (далее - данные) по форме федерального статистического наблюдения N 4-ТЭР "Сведения об использовании топливно-энергетических ресурсов" (далее - форма) предоставляют юридические лица (кроме субъектов малого предпринимательства, товариществ собственников жилья, религиозных организаций и мировых судей), всех форм собственности в соответствии с Общероссийским классификатором форм собственности ОК 027-99, принят и введен в действие Постановлением Госстандарта России от 30 марта 1999 г. N 97, осуществляющие все виды экономической деятельности в соответствии с Общероссийским классификатором видов экономической деятельности ОК 029-2014 (КДЕС ред. 2). Данные по форме предоставляют юридические лица, кроме субъектов малого предпринимательства, состоящих в едином реестре субъектов малого и среднего предпринимательства по состоянию на 31 декабря года, предшествующего отчетному периоду, в соответствии с Правилами использования сведений, внесенных в единый реестр субъектов малого и среднего предпринимательства, для проведения федеральных статистических наблюдений, утвержденными постановлением Правительства Российской Федерации от 5 декабря 2024 г. N 1721.
Филиалы, представительства и подразделения действующих на территории Российской Федерации иностранных организаций предоставляют данные по форме в порядке, установленном для юридических лиц.
Данные по форме не представляют юридические лица:
субъекты малого предпринимательства (малые и микропредприятия), включенные в единый реестр субъектов малого и среднего предпринимательства, ведение которого осуществляется Федеральной налоговой службой в соответствии со статьей 4.1 Федерального закона от 24 июля 2007 г. N 209-ФЗ "О развитии малого и среднего предпринимательства в Российской Федерации";
имеющие организационно-правовые формы 2 07 16 "Товарищества собственников жилья", 7 15 00 "Религиозные организации" Общероссийского классификатора организационно-правовых форм ОК 028-2012, утвержденного приказом Росстандарта от 16 октября 2012 г. N 505-ст;
мировые судьи.
При реорганизации юридического лица в форме преобразования юридическое лицо, являющееся правопреемником, с момента своего создания <1> должно предоставлять данные по форме (включая данные реорганизованного юридического лица) в срок, указанный на бланке формы, за период с начала отчетного года, в котором произошла реорганизация.
--------------------------------
<1> Обособленное подразделение организации - любое территориально обособленное от нее подразделение, по месту нахождения которого оборудованы стационарные рабочие места. Признание обособленного подразделения организации таковым производится независимо от того, отражено или не отражено его создание в учредительных или иных организационно-распорядительных документах организации, и от полномочий, которыми наделяется указанное подразделение. При этом рабочее место считается стационарным, если оно создается на срок более одного месяца (пункт 2 статьи 11 Налогового кодекса Российской Федерации).
Организации, в отношении которых в соответствии с Федеральным законом от 26 октября 2002 г. N 127-ФЗ "О несостоятельности (банкротстве)" (далее - Закон о банкротстве) введены процедуры, применяемые в деле о банкротстве, предоставляют данные по указанной форме до завершения в соответствии со статьей 149 Закона о банкротстве конкурсного производства и внесения в единый государственный реестр юридических лиц записи о ликвидации должника.
2. Данные по форме предоставляются в территориальные органы Росстата по месту фактического осуществления деятельности юридического лица (обособленного подразделения) <1> ежегодно с 20-го января по 16-е февраля после отчетного периода.
Источником формирования данных по форме являются первичные учетные документы складского, бухгалтерского синтетического и аналитического учета в соответствии с нормативными актами организации.
При предоставлении данных по форме должна быть обеспечена их полнота и достоверность.
При наличии у юридического лица обособленных подразделений данные по форме предоставляются как по каждому обособленному подразделению, за исключением осуществляющих деятельность за пределами Российской Федерации, так и по юридическому лицу без этих обособленных подразделений.
По форме за отчетный период в случае отсутствия наблюдаемого явления респондент должен направить подписанный в установленном порядке отчет по форме, не заполненный значениями показателей ("пустой" отчет по форме).
Во всех представляемых отчетах такого вида должен заполняться исключительно титульный раздел формы, а в остальных разделах не должно указываться никаких значений данных, в том числе нулевых и прочерков.
Руководитель юридического лица назначает должностных лиц, уполномоченных предоставлять данные от имени юридического лица.
В адресной части указывается полное наименование отчитывающейся организации в соответствии с учредительными документами, зарегистрированными в установленном порядке, а затем в скобках - краткое ее наименование. На бланке формы, содержащей данные по обособленному подразделению юридического лица, указывается наименование обособленного подразделения и юридического лица, к которому оно относится.
По строке "Почтовый адрес" указывается наименование субъекта Российской Федерации, юридический адрес с почтовым индексом, указанный в ЕГРЮЛ; либо адрес, по которому юридическое лицо фактически осуществляет свою деятельность, если он не совпадает с юридическим адресом.
Для обособленных подразделений указывается почтовый адрес с почтовым индексом.
3. В кодовой части титульного листа формы на основании Уведомления о присвоении кода ОКПО (идентификационного номера), размещенного на сайте системы сбора отчетности Росстата в информационно-телекоммуникационной сети "Интернет" по адресу: https://websbor.rosstat.gov.ru/online/info, отчитывающаяся организация проставляет:
код по Общероссийскому классификатору предприятий и организаций (ОКПО) - для юридического лица, не имеющего обособленных подразделений;
идентификационный номер - для обособленного подразделения юридического лица и для головного подразделения юридического лица.
В качестве головного подразделения юридического лица выступает обособленное подразделение, где находится администрация предприятия или местонахождение которого соответствует зарегистрированному юридическому адресу.
Данные в разделах 1 и 2 формы приводятся с одним десятичным знаком.
4. При сдаче производственных мощностей в аренду данные по форме предоставляет та организация, которая производит на этих мощностях продукцию, работы (услуги) независимо от того, какие она использует при этом топливно-энергетические ресурсы - собственные или давальческие.
В случаях, когда по условиям договора арендатор вносит плату арендодателю помещения, включающую в себя стоимость потребленной тепловой и/или электрической энергии, данные об этом расходе энергии в форме отражает арендодатель. Исключения составляют организации, которые производят на взятых в аренду мощностях промышленную продукцию и другие работы (услуги), перечисленные в Приложении N 1 к настоящим Указаниям.
Данные по форме не предоставляют топливоснабжающие организации (посредники), которые осуществляют только перепродажу топлива и не имеют возможности предоставить данные о расходе топлива и энергии на собственные нужды (взяты в аренду помещение, автомобиль, техника и другое).
Значения понятий, приведенных в данных Указаниях, используются исключительно для целей заполнения формы.
Раздел 1. Остатки, поступление, расход топлива
и теплоэнергии
5. В разделе 1 формы приводятся данные об остатках, поступлении, расходе отдельных видов топлива и тепловой энергии, а также об отпуске (продаже) этих видов топлива другим предприятиям, организациям и населению.
Внутренние перемещения, то есть поступление и расход топлива в порядке переброски со склада на склад, из одного цеха в другой, из кладовой цеха на склад и другие перемещения в пределах одной организации не отражаются. Отпуск (продажа) топлива своему обособленному подразделению и движение топлива между обособленными подразделениями организации в разделе не отражаются.
5.1. Предприятия-потребители, оптовые, посреднические, оптово-посреднические организации, организации, ведущие розничную торговлю топливом, указывают данные по всему топливу, фактически поступившему и израсходованному в отчетном году на нужды организации, а также реализованному населению или своим работникам, другим организациям, в том числе по топливу, числящемуся в остатках.
5.2. Предприятия - потребители топлива и тепловой энергии, являющиеся одновременно их производителями, в части топлива (тепловой энергии) собственного производства (добычи) приводят данные о движении только того количества топлива (тепловой энергии), которое предназначено для собственных технологических нужд (включая расход топлива в качестве сырья для переработки в другие виды топлива и на нетопливные продукты), энергетических нужд, на работу собственного автотранспорта, а также для реализации топлива населению или своим работникам. Топливо и тепловая энергия собственного производства, реализованные юридическим лицам, в разделе не отражаются, а приобретенные у других предприятий - отражаются в полном объеме.
6. В графах 1 и 11 "Остаток на начало отчетного года" и "Остаток на конец отчетного периода" приводятся данные о наличии остатков топлива соответственно на начало и конец года на всех общезаводских, промежуточных, цеховых и других складах организации, включая ведомственные склады, склады подсобных производств, коммунальных и культурно-бытовых предприятий, в других местах хранения топлива (своих и арендованных), а также его остатках в бункерах, емкостях, баках автомобилей, мерниках, кладовых, котлах, производственных агрегатах, штабелях, на строительных площадках, на судах, находящихся у причалов, на пристанях, в портах и гаванях, в локомотивах железнодорожных депо.
6.1. В остатки жидких нефтепродуктов (топочного мазута, дизельного топлива и других нефтепродуктов) включается весь объем топлива, находящегося в емкостях, включая тот, который не может быть слит ("мертвые" остатки).
Остатки топлива, списанные на производственные, строительные, сельскохозяйственные или другие нужды, но фактически не израсходованные, должны быть учтены в общих остатках на данном предприятии на конец отчетного периода.
Организация, у которой на конец отчетного периода находилось на хранении топливо, принадлежащее другим организациям, и числящееся на забалансовых счетах, в данные по остаткам эти объемы не включает. Это топливо отражается той организацией, на балансе которой оно числится.
6.2. Остатки топлива, находящегося на ответственном хранении (государственный резерв и мобилизационный запас), а также остатки топлива на транспортных судах (кроме рыбного хозяйства), тепловозах, находящихся на дату предоставления данных в рейсах, в данные раздела по графам 1 и 11 не включаются.
Также не включается в остатки топливо, прибывшее на дату предоставления данных на конечную железнодорожную станцию и находящееся в вагонах или цистернах, принадлежащих железной дороге, документы на которое получены, счет оплачен, но топливо еще не оприходовано бухгалтерией.
7. В графе 2 приводятся данные о фактическом объеме топлива, поступившего в организацию и образованных вторичных ресурсов в результате производственной деятельности организации за отчетный год.
Топливо, поступившее для закладки в государственный резерв, оплаченное не из средств отчитывающейся организации и учитываемое бухгалтерией на забалансовых счетах, в данные по графе 2 не включается.
8. В графе 3 приводятся данные о фактическом расходе топлива и тепловой энергии на предприятии.
Из общего итога использования топлива и тепловой энергии (графа 3) выделяются данные по направлениям потребления в качестве: котельно-печного и моторного топлива, сырья и нетопливных нужд.
8.1. В графе 4 "В качестве котельно-печного топлива" приводятся данные о топливных ресурсах, использованных непосредственно в качестве котельно-печного топлива (при производстве электроэнергии и теплоэнергии, в том числе дизельными, газопоршневыми энергоустановками, для создания необходимого температурного режима в технологических процессах, при работе газосварочного оборудования, для бытовых/промышленных плит и горения "вечного огня", а также сожженных в прочих процессах, осуществление которых происходит путем сгорания топлива).
При заполнении граф 4 - 8 нераспределенные объемы топлива (потери) следует отражать в графе 4 "Котельно-печное топливо".
8.2. В графе 5 "В качестве моторного топлива - всего" приводятся данные о нефтепродуктах, сжиженном и сжатом газах, использованных в двигателях внутреннего сгорания - автомобильных, тракторных, сельскохозяйственных, авиационных двигателях, двигателях морских и речных судов; по этой графе также учитывается расход топлива в бензопилах, газонокосилках, триммерах бензиновых, агрегатах по перекачке нефти, нефтепродуктов и газа.
8.3. Организации и предприятия, которые заполнили данные по графам 3 и 5 об использовании в качестве моторного топлива следующие виды топлива: бензин автомобильный, топливо дизельное, газ горючий природный (газ естественный), газ нефтяной попутный (газ горючий природный нефтяных месторождений), газ горючий природный сжиженный, керосины технические, пропан и бутан сжиженные, бутан сжиженный - по строкам 01, 02, 07, 08, 09, 12, 14, 15 из общего количества указанных видов топлива в графе 6 приводят объемы топлива, израсходованного на работу автотранспорта, включая специализированные машины (например, автовозы, лесовозы, фургоны-рефрижераторы, полуприцепы-цистерны) и специальные машины (например, пожарные, санитарные, для городского и коммунального хозяйства, автокраны, бетономешалки, автопогрузчики, а также дорожно-строительная техника) на шасси с установленными двигателями для автотранспортных средств. Топливо, израсходованное транспортным средством на гусеничном ходу или рельсах, не указывается.
По строке 07 "Газ горючий природный (газ естественный)" в графе 6 отражается использование сжатого природного газа на работу автотранспорта.
8.4. В графе 7 "В качестве сырья" приводятся данные о топливных ресурсах, использованных в качестве сырья на производство химической, нефтехимической или другой нетопливной продукции.
Например, природный и попутный газ, нефтепродукты, израсходованные на производство различных химических, нефтехимических продуктов; кокс, израсходованный на производство электродов; коксовый газ - на производство водорода, аммиака, аммиачной воды; антрацит - на производство ацетилена, карбида кальция и цинковых белил и так далее.
Объем топлива, использованного для производства других видов топлива, за исключением угля для коксования, используемого для производства кокса, топливного торфа - для производства брикетов и полубрикетов торфяных, в графе 7 не отражается.
8.5. В графе 8 "На нетопливные нужды" приводятся данные о топливных ресурсах, использованных в качестве материала на нетопливные нужды.
Например, уголь, применяемый в качестве добавки к глинистым растворам при бурении нефтяных скважин, а также в качестве фильтрующего вещества; газ, закачиваемый в пласт для поддержания пластового давления; нефть, используемая для промывки скважин; топливный торф, расходуемый в качестве теплоизоляционного материала и на удобрение почвы; дрова, расходуемые на производство тарной дощечки; мазут, используемый в качестве смазки; керосин, используемый для промывки деталей, и так далее.
8.6. Предприятия автомобильного транспорта включают в данные по графам 3, 5 и 6 данные о количестве автомобильного бензина, дизельного топлива, газа горючего природного (газа естественного), газа горючего природного сжиженного, пропана и бутана сжиженного, израсходованного как на собственные нужды, так и на обслуживание сторонних организаций автотранспортом, арендованным у физических лиц или юридических лиц - субъектов малого предпринимательства; при внутрихозяйственной аренде автотранспортных средств работниками предприятия.
Сельскохозяйственные предприятия, привлекающие на уборку сельскохозяйственных культур автотранспорт других предприятий и организаций, количество горючего, израсходованного этим автотранспортом, показывают в графах 2, 3, 5 и 6.
9. В графе 9 "Отпущено (продано) за отчетный год другим предприятиям и организациям" приводятся данные по топливу в части отпуска (продажи) его другим предприятиям и организациям, включая объем топлива, ранее заимствованного отчитывающимся предприятием из государственного резерва и возвращенного в отчетном периоде.
Топливо, реализуемое организацией для отопления или приготовления пищи объектам коммунально-бытового или другого назначения, состоящим на самостоятельном балансе или балансе других предприятий, но размещающимся в арендованных помещениях административных или производственных зданий отчитывающегося предприятия, нужды которого они обслуживают, считается проданным на сторону и указывается в графе 9.
10. В графе 10 "Отпущено (продано) за отчетный год населению" приводится все топливо, проданное населению, а также отражается топливо, реализованное товариществам собственников жилья для нужд населения (если не предусмотрена оплата непосредственно населением стоимости потребленного топлива). Товарищества собственников жилья данные по форме не предоставляют.
Количество газа природного, реализованного населению, определяется по оплаченным в отчетном периоде счетам исходя из установленных тарифов (стоимость израсходованного газа, оплаченного непосредственно населением независимо от формы и способа оплаты).
Если отчитывающаяся организация отпускает топливо топливоснабжающей организации для последующей реализации с ее складов населению (топливо оприходовано бухгалтерией предприятия), то это топливо отражается в данных организации по графе 10, а не топливоснабжающей организацией.
11. По строкам 01 - 45 приводятся данные о движении видов топлива и тепловой энергии в соответствии с единицей измерения, указанной в графе "В".
11.1. По строкам 01 "Бензин автомобильный" и 02 "Топливо дизельное" приводится объем указанных нефтепродуктов по всем видам и классам, поступивших, расходуемых и числящихся в остатках на начало и конец года. Бензины специальные (бензин, используемый при производстве химических веществ и продуктов, бензин-растворитель, прямогонный бензин) по указанным строкам не отражаются.
Данные приводятся в тоннах (с одним десятичным знаком).
В случаях, если учет автомобильного бензина, дизельного топлива, сжиженного газа ведется в литрах, то при пересчете из объемных единиц в весовые следует пользоваться их фактической плотностью (удельным весом), измеренной с помощью нефтеденсиметров.
Для этого количество литров необходимо умножить на фактическую плотность, полученный результат разделить на 1000. При отсутствии нефтеденсиметров пересчет из объемных единиц в весовые следует производить, пользуясь средневзвешенной плотностью, рассчитанной за отчетный период. Для расчета принимаются плотности, указанные в товарно-транспортных накладных каждой партии соответствующего нефтепродукта, поступившего на предприятие.
Средневзвешенная плотность определяется следующим образом.
Например, за отчетный период на предприятие поступили три партии автобензина: I партия - 2000 тонн с плотностью, указанной в товарно-транспортной накладной, равной 0,72; II партия - 5000 тонн - 0,74; III партия - 8000 тонн - 0,735. Таким образом, на предприятие за отчетный период поступило автобензина 15 000 тонн.
Исходя из указанной плотности определяем количество поступившего на предприятие автобензина в объемных единицах:

а средневзвешенная плотность трех партий составит
.
Организации, не располагающие вышеуказанной информацией, могут осуществлять пересчет объемов топлива из литров в тонны, используя коэффициенты из нижеприведенной таблицы (справочно):
Коэффициент пересчета литра в тонну
Нефть
0,000860
Бензин автомобильный
0,000750
А-76 (АИ-80)
0,000715
АИ-92
0,000735
АИ-95
0,000750
АИ-98
0,000765
Топливо дизельное
0,000830
летнее
от 0,000830 - до 0,000850
зимнее
от 0,000800 - до 0,000830
арктическое
от 0,000800 - до 0,000820
Мазут топочный
0,001000
Масла смазочные
0,000860
11.2. По строке 04 "Топливо печное бытовое" приводятся данные по нефтепродуктам, полученным из дизельных фракций прямой перегонки и вторичного происхождения, используемым в основном в бытовых отопительных установках.
11.3. По строке 05 "Мазут топочный" приводятся данные по топочному мазуту марок 40 и 100, мазуту для мартеновских печей и технологическому экспортному топливу (ТУ 38.001361-87).
Нефтеперерабатывающие предприятия в этой строке отражают также жидкие нефтепродукты собственного производства (отбензиненная нефть на нефтестабилизационных установках, флегма, мазут прямой гонки и другие нефтепродукты), которые по условиям производства были израсходованы ими на собственные технологические нужды в качестве топлива.
11.4. По строке 06 "Мазут флотский" приводятся данные по мазутам марок Ф-5, Ф-12.
11.5. По строкам 07 "Газ горючий природный (газ естественный)" и 08 "Газ нефтяной попутный (газ горючий природный нефтяных месторождений)" приводится весь природный газ - природный газ газовых, газоконденсатных, нефтяных месторождений, а также газ, прошедший переработку - сухой газ газоперерабатывающих заводов (отбензиненный и газ сероочистки). Обращаем внимание, что кислород, используемый при резке металла или на сварочные работы, по данной строке не отражается.
По строкам 07 и 08 использование генераторного газа, произведенного на предприятии, не отражается.
11.6. По строке 09 приводится "Газ горючий природный сжиженный". Сжиженный природный газ (далее - СПГ) представляет собой обыкновенный природный газ, охлажденный до температуры -162 °C (температура сжижения) для хранения и транспортировки в жидком виде. В качестве моторного топлива СПГ используется для магистрального автомобильного, железнодорожного, водного транспорта, карьерной и сельскохозяйственной техники, а также является топливом для энергетических установок промышленного и коммунально-бытового назначения.
11.7. По строке 10 "Газ горючий искусственный коксовый" приводится количество газа, полученного в процессе коксования богатого газа, полученного на азотно-туковых заводах и предприятиях агрохимии после отбора из коксового газа водородной фракции и возвращенного ими коксохимическим предприятиям.
Количество коксового газа, а также возвращенного богатого газа должно быть показано в тысячах кубических метров, приведенных к 4000 ккал/куб. м.
По этой строке также приводятся данные по прочим отходящим газам, за исключением отходящего газа в металлургическом производстве.
В графе 3 по строке 10 предприятиями агрохимии и азотно-туковыми заводами приводятся данные о расходе коксового газа на производственно-технологические и другие нужды за вычетом объема богатого газа, возвращенного коксохимическому предприятию.
Например, предприятие агрохимии получило в отчетном году 10000 тыс. куб. м коксового газа (приведенного к 4000 ккал/куб. м). В результате использования его на производственно-технологические нужды кроме основного продукта получен богатый газ в количестве 3000 тыс. куб. м с теплотворной способностью 6000 ккал/куб. м. Его количество, приведенное к 4000 ккал/куб. м, составит:

которое возвращено коксохимическому предприятию, о чем необходимо сделать запись в примечании к форме.
Предприятие агрохимии в данных по форме по строке 10 "Газ горючий искусственный коксовый" (приведенный к 4000 ккал/куб. м) в графе 2 покажет 10000 тыс. куб. м, в графе 3 и 4 - 5500 тыс. куб. м, в графе 9 - 4500 тыс. куб. м, а коксохимическое предприятие по строке 10 "Газ горючий искусственный коксовый" в графе 2 покажет объем возвращенного ему газа в количестве 4500 тыс. куб. м.
11.8. По строке 11 "Газ горючий искусственный доменный и прочие отходящие газы" приводится количество газа, полученного в доменном процессе. Количество доменного газа должно быть показано в тысячах кубических метров, приведенных к 1000 ккал/куб. м.
По этой строке также приводятся данные по прочим отходящим газам металлургического производства.
Указанный по строкам 10 и 11 объем газов, использованный для производства теплоэнергии на теплоутилизационных установках металлургического и коксохимического производств и других технологических процессов, следует отражать в разделе 2 по графам 28 и 29 соответствующих строк Приложения N 1.
11.9. По строке 14 "Пропан и бутан, сжиженные" приводятся следующие фракции сжиженных углеводородных газов: бутан технический, бутан-изобутан, изобутан, нормальный бутан, пропан, пропан технический (ПТ), пропан-бутан-пентановая фракция (прочие сжиженные газы), смесь технических пропана и бутана (СПБТ), фракции пропан-бутановая и пропан-пропиленовая. По строке 15 отражается "Бутан сжиженный". Другие виды сжиженных газов, если они используются в качестве топлива, отражаются по строке 18 "Прочие виды нефтепродуктов - всего".
11.10. По строке 18 "Прочие виды нефтепродуктов - всего" приводятся данные по всем нефтепродуктам, не перечисленным по строкам 01
06 и 12
17, включая топливо реактивное керосинового/бензинового типа.
Данные о прочих видах нефтепродуктов приводятся по всем направлениям их использования.
Если предприятие использовало в качестве топлива и на нетопливные нужды нефть, то ее движение следует показывать по строкам 18 "Прочие виды нефтепродуктов - всего" и 19 "Нефть обезвоженная, обессоленная и стабилизированная, включая газовый конденсат" в пересчете на условное топливо.
Нефть, использованная в качестве сырья, по строкам 18 и 19 не отражается.
Расход генераторного газа, полученного при производстве полукокса, отражается по строке 18 "Прочие виды нефтепродуктов - всего" в пересчете на условное топливо.
По строке 18 "Прочие виды нефтепродуктов - всего" также отражаются масла нефтяные смазочные, израсходованные на нетопливные нужды.
11.11. По строке 20 приводятся данные о сборе и использовании отработанных нефтепродуктов. К ним относятся: отработанные моторные и индустриальные масла, а также смеси отработанных нефтепродуктов (в том числе масла, используемые для обслуживания нефтяных станков-качалок).
Нефтебазы (организации, имеющие комплекс сооружений и установок, предназначенных для приема, хранения и отпуска нефтепродуктов потребителям) данные по строке 20 не заполняют.
В графах 1 и 11 по строке 20 приводится количество остатков на начало и конец года. Если предприятие часть отработанных нефтепродуктов уничтожило, то для сохранения баланса необходимо показать это количество в остатках на конец отчетного года с указанием в примечании к отчету объема уничтоженных отработанных нефтепродуктов.
В графе 2 "Поступило за отчетный период" по строке 20 приводится количество отработанных нефтепродуктов, собранных организацией за отчетный год, как от собственного потребления, так и приобретенных на стороне.
В графе 3 "Израсходовано за отчетный год - всего" по строке 20 приводятся данные о фактическом объеме отработанных нефтепродуктов, использованных организацией для собственных нужд.
В графах 4, 7 и 8 по строке 20 указывается количество отработанных нефтепродуктов, использованных по направлениям: графа 4 - в качестве компонента котельно-печного топлива; графа 7 - в качестве сырья для очистки (регенерации); графа 8 - в качестве нетопливных нужд (смазочно-технологической добавки для открытых и закрытых узлов трения, технических нужд).
По графе 9 "Отпущено (продано) за отчетный год другим предприятиям и организациям" отражается объем проданных топливно-энергетических ресурсов всем организациям, кроме нефтебаз.
11.12. По строке 21 "Уголь" приводятся данные об угле, угольном концентрате, промпродукте, шламе, отсеве, угольных брикетах, используемых на предприятии в качестве топлива, сырья для производства продукции, для нетопливных нужд.
Во избежание повторного счета уголь, направленный на обогащение для получения угольного концентрата, промпродукта, шлама, отсева, угольных брикетов, в форме не отражается.
По строкам 23 "Уголь каменный", 25 "Антрацит", 26 "Уголь коксующийся", 27 "Уголь, за исключением антрацита, угля коксующегося и угля бурого" и 28 "Уголь бурый" приводятся данные из общего количества угля, имеющегося на предприятии по указанным видам.
По строкам 22, 24 и 29 в графах 3 и 4 приводятся данные соответственно по углю, углю каменному и углю бурому в тоннах условного топлива.
Пересчет топлива из натурального выражения в условное топливо угольного эквивалента должен производиться путем умножения данных этого топлива в натуральном выражении (тонны, кубические метры и другие единицы измерения) на соответствующий калорийный эквивалент (коэффициент пересчета). Значения калорийных эквивалентов определяются на основании периодического измерения теплотворной способности топлива лабораторным путем. Если определить теплотворную способность таким образом не представляется возможным, то для пересчета топлива в условное необходимо использовать соответствующий данному виду топлива калорийный эквивалент, приведенный в Приложении N 2 к настоящим Указаниям.
11.13. По строкам 30 "Торф топливный фрезерный", 31 "Торф топливный кусковой" и 32 "Брикеты и полубрикеты торфяные топливные" приводятся данные об использовании указанных видов топлива в пересчете на условную влажность: торф кусковой - 33%, торф фрезерный - 40%, брикеты - 16% и полубрикеты - 28%.
Пересчет массы (веса) торфа, торфяных брикетов и полубрикетов фактической влажности на условную производится по следующей формуле:

где:
Русл - масса (вес) торфа (брикетов и полубрикетов) в пересчете на условную влажность в тоннах;
Рфакт - масса (вес) торфа (брикетов и полубрикетов) фактической влажности в тоннах;
Вфакт - фактическая влажность торфа (брикетов и полубрикетов) в процентах;
Вусл - условная влажность торфа (брикетов и полубрикетов) в процентах.
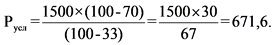
Например, предприятием использовано в отчетном году 1500 тонн кускового торфа с содержанием влаги 70%, вес кускового торфа в пересчете на условную 33%-ю влажность составит:

По строкам 30 и 31 в графе 7 "Израсходовано за отчетный год - в качестве сырья" приводится расход торфа на производство генераторного газа.
11.14. По строке 33 "Кокс и полукокс из каменного угля, бурого угля (лигнита) или торфа, уголь ретортный" приводится весь объем кокса доменного и литейного с размером кусков 25 мм и выше, орешка коксового сухого - 10 - 24 мм и коксовой мелочи сухой - 0 - 9 мм.
По этой строке также отражаются отходы, полученные при просеивании кокса. Кокс металлургический сухой, а также коксовый орешек и мелочь приводятся в пересчете на сухой вес.
Например, если коксовая мелочь имеет влажность 10%, то ее натуральный вес должен быть умножен на 0,9, то есть сухой вес, отражаемый в данных, составит 90% от натурального.
Данные о расходе кокса, используемого для производства электро-, теплоэнергии и/или для создания температурного режима в технологических процессах, приводятся в графе 4 "в качестве котельно-печного топлива".
Данные о расходе кокса, используемого в качестве восстановителя в доменном процессе, приводятся в графе 8 "на нетопливные нужды".
11.15. По строке 34 "Уголь древесный" отражается древесина, обугленная путем частичного обжига или путем нагревания внешними источниками. Этот уголь используется в качестве топлива или в других целях, например, в качестве редукционного вещества в металлургии или в качестве поглощающего вещества, либо в качестве фильтрующего средства.
11.16. По строке 35 "Древесина топливная" приводятся данные об объемах топливных дров, закупленных по оптовой торговле, поступивших от самозаготовок отчитывающейся организации или приобретенных у других поставщиков. По указанной строке также учитывается лиственная деловая древесина малоценных деловых сортиментов, а также некачественная деловая древесина, переведенная по акту на дрова.
По строке 35 в графе 7 "в качестве сырья" приводится расход древесины топливной при производстве генераторного газа.
По строке 35 в графе 8 "на нетопливные нужды" приводятся данные о расходе топливных дров на изготовление технологической щепы, тары, тарной дощечки, стружки и других изделий для собственных нужд организации.
Объемы дров должны быть приведены в плотных кубических метрах. Если в организации учет дров ведется в складских кубических метрах, то необходимо пересчитать в плотные кубические метры путем умножения их объема в складских кубических метрах на коэффициент 0,7.
Отходы лесозаготовок и деревообработки (сучья, хвоя, щепа, древесные обрезки, стружка, опилки, кора, пни), а также использованные в качестве топлива, демонтированные негодные шпалы, рудничная стойка, столбы связи, деревянная тара, бревна разобранных старых зданий, использованные организацией как на топливные цели, так и реализованные населению, рабочим и служащим, по строке 35 "Древесина топливная" не отражаются, а учитываются по строкам 36 "Прочие виды твердого топлива" и 45 "Вторичные горючие ресурсы" в пересчете на условное топливо.
11.17. По строке 36 "Прочие виды твердого топлива" приводятся данные по всем видам топлива, полученные и использованные организацией, не перечисленные по строкам 01
35 раздела 1 (в пересчете на условное топливо).
К прочим видам твердого топлива относятся: отходы производств, в том числе твердых и жидких вторичных энергетических ресурсов (Приложение N 3 к настоящим Указаниям), бытовые отходы, горючие сланцы, прочие виды естественного топлива (торфяная крошка, солома, камыш, хворост, костра, стебли кукурузы, лузга, отходы лесозаготовок и деревообработки, а также использованные в качестве топлива демонтированные деревянные шпалы, рудничная стойка, столбы связи, деревянная тара, бревна разобранных старых зданий).
По строке 37 "Биотопливо" указываются отходы древесины (щепа, опилки), отходы сельскохозяйственного производства (остатки зерновых культур, водоросли, лузга), отходы от деятельности животноводства (навоз, помет, кормовые остатки).
По строке 38 "Гранулы топливные (пеллеты) из отходов деревопереработки" отражаются цилиндрические спрессованные отходы деревообработки (опилки и стружка хвойных пород дерева), которые используются для отопления жилых домов путем сжигания в котлах, печах и каминах, и на промышленных предприятиях в качестве абсорбента, утеплителя, и прочих нужд.
11.18. По строке 40 "Тепловая энергия" в графе 3 приводятся данные о расходе теплоэнергии непосредственно в данной организации, независимо от того, произведена она в этой организации или получена со стороны. При этом в объем потребления тепловой энергии не включаются потери в тепловых и паровых сетях.
Данные о расходе тепловой энергии по строке 40 должны быть равны сумме данных о ее расходе по строкам 41
43.
По строке 41 "израсходовано на отопление" приводятся данные о расходе тепловой энергии на отопление, включая отопление производственных помещений.
По строке 42 "израсходовано на производственно-технологические нужды" приводятся данные о расходе тепловой энергии на организацию и осуществление технологического процесса производства товаров, работ, услуг, кроме расхода на отопление и горячее водоснабжение.
По строке 43 "израсходовано на горячее водоснабжение" приводятся данные о расходе тепловой энергии на горячее водоснабжение, включая подогрев и производство горячей воды.
В случаях, когда организация производит теплоэнергию и полностью потребляет ее, не имея приборов учета, объем ее потребления определяется расчетным методом по нормативу удельного расхода топлива (НУР).
Объем произведенной теплоэнергии приравнивается к объему ее потребления и определяется следующим образом:
для произведенной в отопительных котлах - по объему израсходованного топлива (в условном исчислении), деленному на фактический расход топлива на единицу отпущенной (произведенной) теплоэнергии.
Расчет, применяемый для отопительных котельных при отсутствии в точках учета приборов учета, временно, до их установки, основывается на определении количества тепловой энергии (Qи), отпущенной в тепловые сети в соответствии с данными о фактическом расходе топлива и утвержденных в установленном порядке нормативах удельного расхода топлива на отпущенную тепловую энергию.
Фактический расход топлива принимается по данным учета. Количество тепловой энергии, отпущенной в тепловые сети, определяется расчетным путем по формуле:
, Гкал, (3.11)
где:
Qн - количество отпущенной тепловой энергии, рассчитанной по данным о фактическом расходе топлива, Гкал;
B - расход топлива по показаниям приборов (твердое, жидкое - т, газообразное - тыс. м3);
- низшая теплота сгорания топлива, ккал/кг;
- нормативный удельный расход топлива на отпущенную тепловую энергию, кг.у.т./Гкал. (Приказ Минстроя России от 17.03.2014 N 99/пр "Об утверждении Методики осуществления коммерческого учета тепловой энергии, теплоносителя".
Справочно. Среднее значение фактического расхода на единицу отпущенной (произведенной) теплоэнергии используется по конкретному субъекту Российской Федерации и соответствующему виду экономической деятельности организации. Информация размещена на официальном сайте Росстата в информационно-телекоммуникационной сети "Интернет" (www.rosstat.gov.ru) по адресу: Росстат/Официальная статистика/Базы данных/ЕМИСС/Федеральная служба государственной статистики/1.5.8. Использование топливно-энергетических и материальных ресурсов или по ссылке в информационно-телекоммуникационной сети "Интернет" https://fedstat.ru/indicator/58510.
Поскольку единица измерения значения фактического расхода на единицу отпущенной (произведенной) теплоэнергии - килограмм условного топлива, а единица измерения израсходованного топлива - тонна условного топлива, полученный в результате расчета объем теплоэнергии следует умножить на 1000) для произведенной в электрокотлах - путем умножения 1 мВт мощности электрокотла на 0,86 Гкал и количество часов работы этого электрокотла.
Если приборы учета тепловой энергии горячего водоснабжения регистрируют ее расход в м3, то пересчет в гигакалории (строка 43) должен осуществляться по следующей формуле:

где:
QГВС - объем тепловой энергии, израсходованной на горячее водоснабжение, Гкал;
VГВ - объем израсходованной горячей воды, м3;
c - удельная теплоемкость воды, 1 x 10-6 Гкал/кг x 1 °C;
- плотность воды при температуре, равной tГВС, и среднегодовом давлении воды (определяется по справочнику);
tГВС - среднегодовая температура горячей воды, поступившей из систем централизованного горячего водоснабжения, °C;
tХВС - среднегодовая температура холодной воды, поступившей из систем централизованного холодного водоснабжения, °C;
N1 - количество строений с неизолированными стояками, единиц;
N2 - количество строений с изолированными стояками, единиц;
N3 - количество строений с неизолированными стояками другой модификации, единиц;
N4 - количество строений с изолированными стояками, единиц другой модификации;
N - количество строений с системами горячего водоснабжения, единиц.
Среднегодовая температура горячей воды в системах централизованного горячего водоснабжения должна быть не ниже 40 °C. В справочнике плотностей воды ее значение при этой температуре равно 0,99225, при 50 °C - 0,9881, при 60 °C - 0,9832, при 70 °C - 0,9778, при 80 °C - 0,9718, при 90 °C - 0,9653 и при 100 °C - 0,9584.
11.19. По строкам 44 и 45 приводятся вторичные энергетические ресурсы (ВЭР), под которыми понимаются энергетические ресурсы, полученные в виде отходов производства и потребления или побочных продуктов в результате осуществления технологического процесса или использования оборудования, функциональное назначение которого не связано с производством соответствующего вида энергетического ресурса (пункт 2 статьи 2 Федерального закона от 23 ноября 2009 г. N 261-ФЗ "Об энергосбережении и о повышении энергетической эффективности и о внесении изменений в отдельные законодательные акты Российской Федерации").
Примерный перечень технологических процессов и видов топлива (продуктов преобразования в другое физико-химическое состояние), используемых в отдельных производствах для получения вторичных тепловых и горючих ресурсов, приведен в Приложении N 3 "Номенклатура вторичных энергетических ресурсов (ВЭР).
В графе 2 "Поступило за отчетный период" по строкам 44 и 45 приводится годовой выход соответственно тепловых (Гкал) и горючих (т усл топл) вторичных ресурсов, образующихся в процессе производства в технологическом агрегате в течение отчетного года.
В данные о годовом выходе тепловых и горючих ВЭР включается объем потерь и/или количество не использованных ВЭР, расход которых технически невозможен или экономически нецелесообразен (выпущено в атмосферу, сожжено в агрегатах/установках, вывезено на свалку).
По строке 44 "Вторичные тепловые ресурсы" отражается теплосодержание: дымовых газов и газов регенерации установок при производстве нефтепродуктов и кокса; контактного газа и газов регенерации при производстве каучуков; дымовых газов печей пиролиза при производстве этилена и этилового спирта, а также отходящих газов технологических печей и агрегатов при прочих химических производствах.
К тепловым вторичным ресурсам не относятся:
теплота продуктов (отходящих газов, основной, побочной, промежуточной продукции и отходов производства), возвращенная в агрегат-источник ВЭР за счет регенерации или рециркуляции;
энтальпия (теплосодержание) конденсата, возвращаемого в парогенераторы или источникам пароснабжения;
энтальпия продуктов, направляемая в следующую стадию переработки без изменения их параметров и энергетического потенциала.
По строке 45 "Вторичные горючие ресурсы" приводятся отходы технологических процессов, не используемые или не пригодные для дальнейшей технологической переработки, которые могут быть использованы в качестве котельно-печного топлива.
Продукты и отходы топлива перерабатывающих установок (нефтеперерабатывающих, газогенераторных, углеобогатительных, по производству кокса и других), содержащие химически связанную энергию, являются одним из видов переработанного топлива и к горючим ВЭР не относятся.
В графе 3 приводится количество фактически использованных организацией в отчетном году тепловых и горючих вторичных ресурсов соответственно, а в графах 9 и 10 - количество отпущенных на сторону (для использования в качестве топлива и на нетопливные нужды).
Вторичные горючие энергоресурсы: твердые, жидкие и газообразные - учитываются при любом режиме их выхода.
Тепловые вторичные ресурсы подлежат учету при следующих условиях:
отходящие газы печей с температурой от 200 °C и выше при расходе топлива от 0,1 тонны условного топлива в час на агрегат и выше;
горячая (охлаждающая вода) и загрязненный конденсат при непрерывном расходе 1 куб. м/час и более;
другие тепловые виды ВЭР учитываются при выходе из агрегата - источника ВЭР, не менее 0,05 Гкал/ч.
Раздел 2. Фактический расход
топливно-энергетических ресурсов
12. В разделе 2 приводятся данные о произведенной/отпущенной продукции, выполненных работ (услуг) в соответствующих единицах измерения и затраченных на их производство (выполнение) электроэнергии (мегаВт.ч), теплоэнергии (Гкал) и топлива (т усл топл) за отчетный год.
12.1. В графе А приводятся наименования видов произведенной продукции, выполненных работ (услуг), на которые расходуется топливо, электрическая и тепловая энергия, согласно Перечню видов продукции, работ (услуг), приведенному в Приложении N 1 к настоящим Указаниям. Заполнение графы А производится в последовательности, указанной в этом Приложении.
12.2. В графах Б, В и Г указываются коды строк, коды видов продукции и работ (услуг) и единицы измерения согласно Приложению N 1 к настоящим Указаниям, соответствующие видам продукции, работ (услуг), приведенным в графе А.
12.3. В графе 1 приводятся данные об объеме произведенной продукции, выполненных работ (услуг) за отчетный год в натуральном выражении.
Эти данные должны совпадать с аналогичными данными других форм федерального статистического наблюдения, в которых имеют место показатели о производстве и/или отпуске продукции, работ (услуг).
12.4. В графах 2, 3 и 4 отражается фактический годовой расход электроэнергии, теплоэнергии и топлива на производство видов продукции, работ (услуг), по соответствующим строкам графы А.
В графах 2 и 3 приводятся данные о фактическом потреблении электроэнергии и теплоэнергии на основные технологические процессы при производстве продукции, работы (услуги), а также расход на вспомогательные нужды производства, расход на поддержание технологических агрегатов в горячем резерве: на их разогрев и пуск после текущих ремонтов и холодных простоев, потери энергии в преобразователях, в тепловых и электрических сетях организации (цеха), отнесенные на производство данной продукции, работы (услуги).
В расход электрической и тепловой энергии на вспомогательные нужды включается расход на отопление, вентиляцию и освещение основных, вспомогательных и обслуживающих цехов и служб, на работу внутрицехового (заводского) транспорта, на работу цеховых (заводских) ремонтных мастерских, расход на хозяйственно-бытовые и санитарно-гигиенические нужды цехов, на наружное освещение территории организации, на обогрев заводских трубопроводов, на межцеховое транспортирование сырья, полуфабрикатов.
В случаях, когда отдельные вспомогательные нужды (подача воды, вентиляция, производство кислорода, холода, сжатого воздуха и другие) являются составной частью технологического процесса производства продукции, работ (услуг), расходы энергии на них относятся к технологическим расходам.
При значительных расходах тепловой и электрической энергии на отдельные составляющие вспомогательных нужд их учет осуществляется самостоятельно.
В организациях, выпускающих разнородную продукцию, распределение общепроизводственных цеховых и заводских расходов тепловой и электрической энергии на производство продукции, работ (услуг) в случае невозможности их точного определения, целесообразно осуществлять пропорционально потреблению энергии на технологические процессы производства или в зависимости от объема услуг, получаемых от вспомогательных и подсобных цехов, а именно от транспортного цеха - пропорционально объему перемещенных грузов; от инструментального, ремонтного и других вспомогательных цехов - пропорционально доле услуг; от насосной станции, компрессорного и других цехов или силовых установок - пропорционально получаемым от них объемам воды, воздуха, газа; от центральной заводской лаборатории - пропорционально количеству анализов и объему опытных работ, проведенных в связи с выпуском продукции.
В случаях, когда организация является собственником продукции, но при этом отсутствует расход топливно-энергетических ресурсов на ее производство, сведения о данной продукции не отражаются в разделе 2 формы в целях корректного формирования информации о фактическом расходе топливно-энергетических ресурсов на производство единицы продукции.
Например: организация А имеет лицензию на добычу песка и является собственником добытого песка, однако, добычей занимается организация Б, которая несет расходы топливно-энергетических ресурсов по добыче песка.
В таком случае, организация А не отражает в разделе 2 формы вид продукции "Пески природные; гранулы, крошка и порошок; галька, гравий"; организация Б также не отражает в разделе 2 формы затраты топливно-энергетических ресурсов на добычу песка. Затраты топливно-энергетических ресурсов отражаются организацией Б в разделе 1 формы.
Тепловые электростанции и котельные (строки 25 и 32) должны указывать объем израсходованной теплоэнергии на производство продукции (тепла или пара).
В расход теплоэнергии на собственные (производственные) нужды включаются различные виды работ, основным из них является водоподготовка, которая составляет примерно 60% всех производственных расходов.
Водоподготовка - технологический процесс, основанный на циркуляции нагретой воды в замкнутой или открытой системе водоснабжения. Это важный этап качественной водоподготовки перед запуском системы, поскольку в обычной воде содержится множество посторонних включений (песка, ила, органических и коллоидных загрязнений) и такая жидкость оказывает негативное воздействие на оборудование для нагрева и транспортировки теплоносителя. Трубы, теплообменники, паровые турбины, тэны, емкости из металла под воздействием солей жесткости, песка и железа в воде снижают производительность работы из-за образования стойкого налета и абразивного воздействия.
Доля использования тепла/пара от общего отпуска теплоэнергии по Российской Федерации составляет примерно 0,6%. В каждом субъекте Российской Федерации возможна вариативность значений до 2%. Причины, влияющие на объем расхода теплоэнергии на производство (отпуск) теплоэнергии, следующие: тип системы водоснабжения (закрытый или открытый (справочно: открытая система более затратная, в Российской Федерации это примерно 80%), способ проведения деаэрации воды с использованием теплоэнергии в виде пара, уровнем жесткости воды в регионе и прочие причины.
Потери энергии в заводских тепловых, электрических сетях и преобразователях распределяются на основе опытных замеров или пропорционально потреблению энергии в производстве соответствующих видов продукции, работ (услуг) и определяются расчетно по нормативу удельного расхода топлива (НУР).
Данные о потерях энергии в тепловых и электрических сетях магистральных и распределительных сетевых компаний и организаций, других сетях общего пользования, сетях городов и поселков, а также сетях данной организации, обслуживающих сторонних потребителей, при определении расхода энергии на производство отдельных видов продукции в расчет не берутся.
По строкам 10, 11, 18, 19, 25, 28, 29, 32 и 37 в графе 2 указывается расход электроэнергии на собственные нужды электростанции, связанный непосредственно с обеспечением технологического процесса производства электроэнергии и отпуска теплоэнергии, и расход электроэнергии вспомогательных подразделений, необходимых для обслуживания основного производства.
В графе 4 приводятся данные о фактическом расходе котельно-печного топлива, а также нефтепродуктов, которое для тех или иных целей было сожжено в различных котлах, технологических установках, двигателях внутреннего сгорания, исключая расход топлива, использованного в качестве сырья или материала и на нетопливные нужды.
В фактический расход топлива на производство продукции, работ (услуг) включается расход только на основные и вспомогательные технологические процессы производства данного вида продукции, работ (услуг).
Данные о расходе топлива всего и по видам приводятся в тоннах условного топлива.
Все виды топлива из натурального пересчитываются в условное, как правило, по их фактическим тепловым эквивалентам, определяемым как отношение низшей теплоты сгорания рабочего состояния топлива к теплоте сгорания 1 кг условного топлива, то есть 7000 ккал/кг:

где:
К - коэффициент перевода топлива в условное;
Q - низшая теплота сгорания рабочего состояния топлива, ккал/кг.
Низшая теплота сгорания рабочего состояния топлива, как правило, должна определяться лабораторным путем.
При невозможности лабораторного определения теплоты сгорания возможно использование соответствующей информации поставщиков топлива, а при отсутствии этой информации - использование данных о средних коэффициентах перевода натурального топлива в условное, справочно приведенных в Приложении N 2 к настоящим Указаниям.
Перевод натурального топлива в условное производится путем умножения количества натурального топлива на соответствующий коэффициент перевода.
В фактический расход топлива, тепловой и электрической энергии на производство продукции, работ (услуг) включаются затраты этих ресурсов, связанные с отступлением от принятой технологии, режимов работы, рецептур, несоблюдением требований к качеству сырья и материалов и другие нерациональные затраты.
12.5. В графах 5
35 приводится расшифровка данных графы 4 "топливо-всего" по видам топлива. Сумма данных граф 5
19, 21
30 и 34 должна быть равна данным графы 4 по соответствующим строкам.
В графах 5 и 6 приводятся данные о расходе угля соответственно каменного (с теплотворной способностью более 5700 ккал/кг) и бурого (с теплотворной способностью менее 5700 ккал/кг), а также расходе топливных продуктов, полученных в результате обогащения этих углей (концентрат, промпродукт, отсев и шлам) и их агломерации (угольные брикеты) (см. пункт 11.12).
В графах 7 и 8 приводятся данные о расходе торфа топливного фрезерного и торфа топливного кускового (см. пункт 11.13).
В графе 9 приводятся данные о расходе торфяных топливных брикетов и полубрикетов в пересчете на условную влажность (см. пункт 11.13).
В графе 10 приводятся данные о расходе древесины топливной, как заготовленных самой организацией, так и поступивших от других организаций (см. пункт 11.16).
В графе 11 приводятся данные о расходе угля древесного (см. пункт 11.15).
В графе 12 приводятся данные об общем расходе кокса и полукокса из каменного угля, бурого угля (лигнита) или торфа, угля ретортного (см. пункт 11.14).
В графе 13 указываются данные о расходе бензина автомобильного (см. пункт 11.1).
В графе 14 приводятся данные об использовании топлива дизельного (см. пункт 11.1).
В графе 15 приводятся данные о расходе топлива судового.
В графе 16 приводятся данные о расходе топлива печного бытового (ТПБ) малосернистого (с содержанием серы не более 0,5%) и сернистого (с содержанием серы 1,2%) (см. пункт 11.2).
В графе 17 приводятся данные о расходе малосернистого, среднесернистого и высокосернистого мазута топочного, мазута для мартеновских печей, технологического экспортного топлива (ТУ 38.001361-87) (см. пункт 11.3).
В графе 18 приводятся данные о расходе мазута флотского (см. пункт 11.4).
В графе 19 приводятся данные о расходе пропана и бутана сжиженных (см. пункт 11.9). Из него в графе 20 выделено потребление бутана сжиженного.
В графах 25
27 приводятся данные о расходе природного газа газовых, газоконденсатных, нефтяных месторождений, газа горючего природного сжиженного, а также газа, прошедшего переработку - сухого газа газоперерабатывающих заводов (см. пункты 11.5 и 11.6).
В графе 28 приводятся данные о расходе газа горючего искусственного доменного и других отходящих газов металлургического производства (конвертерный газ, ферросплавный газ и другие газы) (см. пункт 11.8).
В графе 29 приводятся данные о расходе газа горючего искусственного коксового, а также отходящих газов химических и других производств (кроме отходящих газов металлургических производств) (см. пункт 11.7).
В графе 30 приводятся данные о расходе прочих видов твердого топлива, не перечисленных в графах с 5
12 (см. пункт 11.17).
В графе 31 приводятся данные о расходе биотоплива.
В графе 32 приводятся данные о расходе гранул топливных (пеллетов) из отходов деревопереработки.
В графе 34 приводятся данные о расходе прочих видов нефтепродуктов, не перечисленных в графах 13
24 (см. пункт 11.10).
12.6. По строкам 10, 11, 18, 19 Приложения N 1 в графе 1 "Произведено продукции (выполнено работ) за отчетный год" приводятся данные об объеме отпущенной электроэнергии с шин электростанций, за исключением их потерь и расхода на собственные нужды.
Объем электроэнергии, полученной со стороны и отпущенной потребителям (то есть транзитной электроэнергии), на производство которой организация не осуществляла расход топлива, в разделе не отражается.
Данные об отпуске электроэнергии предоставляют следующие действующие электростанции (электрогенераторные установки):
стационарные мощностью свыше 2 кВт;
передвижные мощностью 5 кВт и выше;
все типы электростанций независимо от мощности, обслуживающие предприятия, относящиеся к виду экономической деятельности "Лесоводство и лесозаготовки" (код по ОКВЭД2 - 02).
Данные по электростанциям (электрогенераторным установкам), находящимся на судах, поездах, автотранспорте; обслуживающих кинопередвижки; составляющих с электросварочным аппаратом единый агрегат, предназначенный для зарядки аккумуляторов; а также электростанциям, находящимся на складе, в пути, в монтаже и относящимся к неустановленному оборудованию, в графе 1 не отражаются.
По строке 10 приводятся данные об объеме электроэнергии, отпущенной следующими категориями электростанций независимо от назначения использования:
конденсационными электростанциями (КЭС);
теплоэлектроцентралями (ТЭЦ);
газотурбинными электростанциями (ГТЭС);
изолированными тепловыми электростанциями.
По строке 11 приводятся данные об объеме электроэнергии, отпущенной дизельными электростанциями (ДЭС) независимо от назначения использования и газопоршневыми, с бензиновым и дизельным двигателями.
12.7. По строкам 25, 28, 29, 32, 37 Приложения N 1 в графе 1 "Произведено продукции (выполнено работ) за отчетный год" приводятся данные об объеме отпущенной теплоэнергии с коллекторов электростанций, за исключением их потерь.
По строке 32 "Тепловая энергия, отпущенная котельными" в графе 1 отражаются данные об отпуске теплоэнергии котельными, в том числе на собственные нужды, состоящими на самостоятельном балансе или на балансе других организаций. По этой строке также отражаются данные по отопительным котлам любых типов, находящимся на балансе организаций.
Данные по котельным (строка 32) и электрокотлам (строка 37) производительностью менее 20 Гкал/час предоставляют организации следующих видов экономической деятельности Общероссийского классификатора видов экономической деятельности (ОКВЭД2) - "Сельское, лесное хозяйство, охота, рыболовство и рыбоводство" (раздел A), "Добыча полезных ископаемых" (раздел B), "Обрабатывающие производства (раздел C), "Обеспечение электрической энергией, газом и паром, кондиционирование воздуха" (раздел D), "Водоснабжение; водоотведение, организация сбора и утилизации отходов, деятельность по ликвидации загрязнений" (раздел E), "Строительство" (раздел F), "Транспортировка и хранение" (раздел H), "Деятельность в области информации и связи" (раздел J).
Организации других видов экономической деятельности, не перечисленных выше, имеющие на балансе котельные и электрические котлы для отопления производительностью менее 20 Гкал/час, данные об отпуске теплоэнергии и расходе топлива для работы этого отопительного оборудования в разделе не приводят.
По строке 37 "Тепловая энергия, отпущенная электробойлерными установками (электрокотлами)" приводятся данные об объеме отпуска тепловой энергии отопительными котлами любых типов, находящимися на самостоятельном балансе или балансе других организаций. В случаях, когда котлы находятся в составе производственного оборудования тепловых электростанций и котельных, а работа электрокотлов связана непосредственно с технологическим процессом производства теплоэнергии, данные об объеме отпущенной теплоэнергии такими электробойлерными установками (электрокотлами) и соответствующий расход электроэнергии в итоги по строкам 25 и 32 не включаются.
Для организаций, относящихся к бюджетной сфере (школы, детские сады, лечебно-оздоровительные учреждения, дома-интернаты, учреждения культуры, студенческие общежития, коммунальные учреждения и другое), использующих специальные газовые отопительные котлы мощностью до 3 Гкал/ч, необходимость отражения данных о производстве теплоэнергии отсутствует - при условии, что организации не осуществляют производство продукции, выполнение работ (услуг), указанных в Приложении N 1 к настоящим Указаниям.
12.8. По строкам 21, 33, 50, 83, 190, 195, 200 Приложения N 1 в графе 1 "Произведено продукции (выполнено работ) за отчетный год" приводятся данные об объеме потерь. Данные по графам 2
35 вышеназванных строк не отражаются. Потери энергии распределяются на основе опытных замеров или пропорционально объему потребленного энергоресурса на производство соответствующих видов продукции (работ и услуг).
По строке 33 "Потери тепловой энергии, произведенной котельными" отражаются такие виды основных потерь при производстве тепловой энергии, как недожог топлива и отходящих газов, потери энергии через обмуровку котла и потери, связанные с продувкой.
По строке 50 "Потери теплоэнергии в теплосетях" в графе 1 отражается общий объем потерь теплоэнергии в магистральных теплосетях, теплосетях городов и поселков, а также в заводских и фабричных теплосетях, обеспечивающих отпуск теплоэнергии на сторону. Потери теплоэнергии при ее производстве по данной строке не отражаются.
По строкам 190 "Потери газа в магистральных газопроводах" и 195 "Потери нефти в магистральных нефтепроводах" приводятся соответственно данные об объемах потерь газа и нефти при их транспортировке по магистральным трубопроводам и отводам от них, в результате происшедших на них авариях. Данные о потерях газа и нефти на внутрипромысловых трубопроводах в форме не отражаются.
12.9. По строке 140 "Переработка нефти обезвоженной, обессоленной и стабилизированной, включая газовый конденсат" в графе 1 приводятся данные об объемах нефти и газового конденсата, поступивших на переработку в данной организации. В эти объемы не включаются данные о газовом конденсате, который прошел в данной организации стадию стабилизации, о нефти, которая прошла стадию подготовки после стабилизации, а также данные об их отгрузке на сторону.
В графах 2
4 указанной строки приводятся данные о суммарном расходе топливно-энергетических ресурсов при производстве всех технологических процессов нефтепереработки (включая переработку газового конденсата для производства нефтепродуктов) в данной организации.
12.10. По строке 162 в объем добычи газа нефтяного попутного (газа горючего природного нефтяных месторождений) не включается газ нефтяной попутный нефтяных месторождений, сожженный на факельных установках.
12.11. По строке 170 "Переработка газа" Приложения N 1 отражаются данные о расходе топливно-энергетических ресурсов только на переработку газа. Данные о расходе электроэнергии при транспортировке газа по трубопроводам не отражаются.
12.12. По строке 230 "Переработка угля (обогащение)" в графе 1 приводятся данные об объемах угля, прошедшего обогащение.
12.13. По строке 1191 "Углеводороды ациклические" в графе 1 указываются данные о суммарном объеме производства этилена, пропилена, бутадиена-1, бутадиена-3 и ацетилена, а в соответствующих графах 2
35 приводятся данные о расходе топливно-энергетических ресурсов в условном исчислении при производстве перечисленных углеводородов.
12.14. По строке 1840 "Лесоматериалы, продольно распиленные или расколотые, разделенные на слои или лущеные, толщиной более 6 мм; деревянные железнодорожные или трамвайные шпалы, непропитанные" приводятся данные о производстве лесоматериалов распиленных, расколотых, разделенных на слои и другая продукция, а также объемы использованных на это производство топливно-энергетических ресурсов, включая процесс сушки лесоматериалов.
12.15. По строке 1991 "Пески природные; гранулы, крошка и порошок; галька, гравий" приводятся данные об объеме производства и расходе топливно-энергетических ресурсов при добыче песков природных, производстве гранул каменных, крошки и порошка, гальки, гравия, щебня, камня природного дробленого, смесей песчано-гравийных.
12.16. По строкам 2400, 2410, 2420, 2430 приводятся данные об объеме производства и расходе топливно-энергетических ресурсов при производстве отдельных видов тканей. Если организация производит хлопчатобумажные и штапельные ткани, то расход теплоэнергии и электроэнергии на производство штапельных тканей следует отнести к расходу соответствующих видов энергии на производство хлопчатобумажных тканей (строка 2400), а если организация производит шелковые и штапельные ткани, то расход теплоэнергии и электроэнергии на производство штапельных тканей следует отнести к расходу соответствующих видов энергии на производство шелковых тканей (строка 2430).
12.17. По строке 2460 "Обувь" приводятся данные об объеме производства кожаной обуви, кроме ортопедической (лечебной и профилактической обуви) и топливно-энергетических ресурсах, используемых при их производстве.
12.18. Данные по строкам 4.АГ, 2705, 2710, 2715, 2720 отражают следующие организации: осуществляющие выращивание крупного рогатого скота, овец, коз, свиней и сельскохозяйственной птицы на убой; имеющие в собственности, управлении или эксплуатирующие на другом законном основании специализированные площадки для убоя скота и птицы.
В графе 1 указываются данные об объеме производства скота и птицы на убой в живом весе, в графах 2 и 3 указывается расход электро-, теплоэнергии на работу специализированного оборудования (электродвигателей, электроконвейеров, электропогрузчиков и другого оборудования), освещение и отопление помещений в период воспроизводства скота и птицы и/или содержания его для прохождения ветеринарного карантина.
В графе 4 приводятся данные о количестве топлива, израсходованного транспортными средствами для перевозки указанного в графе 1 объема скота и птицы.
12.19. Данные по строкам 2831, 2835, 2838 отражают организации всех видов экономической деятельности, осуществляющие транспортную деятельность.
В графе 1 приводятся данные об объеме пассажирооборота, определяемого как произведение количества перевезенных пассажиров на расстояние поездки в километрах (тыс. пасс. км). Данные о количестве топлива, израсходованного в двигателях внутреннего сгорания транспортных средств для перевозки пассажиров, отражаются по соответствующему виду топлива в графах раздела.
12.20. Данные по строке 2840 "Перевозка грузов грузовым автомобильным транспортом" соответствуют по методологии учета показателю "Грузооборот". В данные о грузообороте включаются суммарные объемы, выполненные на коммерческой основе (за плату для заказчика - юридического или физического лица) по дорогам общего пользования собственными и арендованными эксплуатационными грузоперевозящими автомобилями: грузовыми (включая грузовые таксомоторы), пикапами и фургонами на шасси легковых автомобилей, а также автоприцепами.
Данные об объемах грузооборота, выполненного грузовыми автотранспортными средствами для собственных производственных целей (некоммерческие перевозки собственных грузов), по строке 2840 не учитываются. Также не учитывается перевозка грузов, осуществляемая без выезда на дорогу общего пользования (в пределах территории отчитывающегося субъекта). Такие перевозки являются технологическими. К ним относятся внутрихозяйственные, внутризаводские, внутриобъектные, внутрикарьерные, внутрипостроечные и другие перевозки. Приравнивать перевозки пассажиров в грузовых автомобилях к перевозкам грузов в тоннах и тонно-километрах не следует.
12.21. По строке 2870 "Транспортирование газа по магистральным газопроводам" приводятся данные об объеме выполненных работ по транспортировке газа, с единицей измерения "млн м3". В графе 1 приводится значение, рассчитываемое путем умножения объема транспортируемого газа в миллионах метров кубических на расстояние транспортировки в километрах.
12.22. По строке 2889 "Перевозки пассажирские внутренним водным транспортом" отражаются услуги по непосредственному перемещению пассажиров и багажа по рекам, каналам и прочим внутренним водам с использованием судов внутреннего плавания (в том числе паромов, круизных судов, прогулочных и экскурсионных судов) на регулярной и нерегулярной основе, а также услуги, не связанные с перемещением пассажиров и багажа с использованием судов, но имеющие непосредственное отношение к перевозке.
К услугам по перевозкам пассажирским внутренним водным транспортом не относятся услуги по аренде внутреннего водного транспорта для перевозки грузов с экипажем, услуги по лизингу или прокату прогулочных судов без экипажа, а также услуги по лизингу или аренде коммерческих судов без экипажа.
12.23. По строке 2891 "Перевозки пассажирские морским транспортом" отражаются услуги по международным морским перевозкам пассажиров и их багажа на морских судах заграничного плавания, а также морские перевозки пассажиров и их багажа между морскими портами Российской Федерации на судах каботажного плавания, плавающих под Государственным флагом Российской Федерации.
Услуги по перевозкам пассажирским морским транспортом предполагают перемещение пассажиров и их багажа от порта до порта любым видом морского транспорта, в том числе паромами, круизными судами, грузовыми судами.
К услугам по перевозкам пассажирским морским транспортом не относятся услуги по аренде морских судов заграничного и каботажного плавания для перевозки грузов с экипажем, услуги по лизингу или аренде прогулочных катеров и яхт без экипажа, а также услуги по лизингу или аренде коммерческих судов без экипажа.
12.24. По строке 2892 "Перевозки пассажирские железнодорожным транспортом" отражаются услуги пассажирских железнодорожных перевозок (перемещения пассажиров), в том числе услуги по перевозке следующего с пассажирами багажа, животных и прочего груза, которые могут осуществляться без дополнительных затрат, по путям общего и необщего пользования, в междугородном и международном сообщении, внутригородские и пригородные железнодорожные перевозки пассажиров, а также перевозки пассажиров трамвайными линиями в городском и пригородном сообщениях по маршрутам регулярных перевозок, а также перевозки пассажиров метрополитеном, если они являются частью городских или пригородных транспортных систем, предоставляемые по расписанию, перевозки сети монорельсов и легкорельсового транспорта.
12.25. По строке 2893 "Перевозки регулярные пассажирские авиационным транспортом" отражаются услуги по перевозкам пассажиров и их багажа и прочего груза, которые могут осуществляться без дополнительных затрат, на воздушных судах любого типа (включая вертолеты) на местных или международных линиях (по регулярным и нерегулярным (чартерным) маршрутам и по регулярному расписанию), услуги по экскурсионным нерегулярным перевозкам пассажиров, в том числе для осмотра достопримечательностей с воздуха, а также услуги по аренде и лизингу пассажирских воздушных судов или воздушных судов, пригодных для перевозки пассажиров и грузов (включая вертолеты), с экипажем.
К услугам по перевозкам пассажирским воздушным транспортом не относится услуги по аренде воздушных судов без экипажа.
12.26. По строке 2894 "Перевозки грузов внутренним водным транспортом" отражаются услуги по непосредственному перемещению грузов (отдельных изделий и пакетов грузов, собранных и отправленных в специально сконструированных контейнерах, предназначенных для облегчения погрузочно-разгрузочных операций при перевозках) по рекам, каналам и прочим внутренним водам с использованием несамоходных судов внутреннего плавания, прежде всего теплоходов и дизель-электроходов (в том числе барж-площадок, сухогрузных судов, цементовозов, паромов, сухогрузных барж), а также услуги по перевозке замороженных или охлажденных продуктов в специальных рефрижераторных отсеках судов внутреннего плавания (рефрижераторных судов), услуги по перевозке нефти с помощью судов-танкеров (в том числе нефтерудовозами, наливными судами и наливными баржами), услуги по перевозке прочих жидкостей или газов, таких как природный газ, метан и продукты перегонки нефти, с помощью специальных судов-танкеров (в том числе газовозами и наливными судами), а также прочие услуги по перевозке грузов, в том числе услуги по транспортированию отработавшего ядерного топлива, услуги по транспортированию удаляемых радиоактивных отходов, а также услуги по аренде и лизингу всех типов самоходных судов внутреннего водного транспорта с экипажем, таких как танкеры, суда для перевозки сухих сыпучих грузов, грузовые и торговые суда, буксирные суда и рыболовные суда, и услуги по буксировке (барж на внутренних водных путях и каналах, осуществляемой буксирными судами, нефтяных буровых вышек, плавучих кранов, землечерпалок, буев, корпусов судов и недостроенных судов) и маневровые услуги на внутреннем водном транспорте.
К услугам по перевозкам грузов внутренним водным транспортом не относятся погрузочно-разгрузочные работы, услуги по аренде судов внутреннего водного транспорта для перевозки пассажиров с экипажем, услуги по лизингу или аренде коммерческих судов без экипажа, а также маневровые услуги буксиров при причаливании и отчаливании.
12.27. По строке 2895 "Перевозки грузов морским транспортом" отражаются услуги по международным морским грузовым перевозкам на морских судах заграничного плавания, а также морские грузовые перевозки между морскими портами Российской Федерации на судах каботажного плавания, плавающих под Государственным флагом Российской Федерации.
К перевозкам грузов (стационарных, полустационарных и нестационарных) морским транспортом относятся услуги по перевозкам морскими судами отдельных изделий и пакетов грузов, собранных и отправленных в специально сконструированных контейнерах, предназначенных для облегчения погрузочно-разгрузочных операций при перевозках (морскими судами-контейнеровозами), услуги по перевозкам замороженных или охлажденных продуктов в специальных охлажденных отсеках, услуги по перевозкам нефти морскими наливными (специализированными) судами, услуги по перевозкам других жидкостей или газов, таких как природный газ, метан и продукты перегонки нефти, морскими наливными (специализированными) судами, услуги по перевозкам морскими судами сухих сыпучих грузов, таких как зерно, мука, цемент, песок, каменный уголь и т.п., услуги по перевозкам морскими судами писем и бандеролей по поручению почтовых и курьерских служб, перевозки прочих грузов, в том числе грузов в области использования атомной энергии (отработавшего ядерного топлива или удаляемых радиоактивных отходов), услуги по аренде и лизингу всех типов самоходных морских судов с экипажем, таких как танкеры, суда для перевозки сухих насыпных грузов, грузовые суда, буксирные суда и рыболовные суда для заграничных и каботажных перевозок, услуги по буксировке (в том числе нефтяных буровых вышек, плавучих кранов, землечерпалок, буев, а также корпусов судов и недостроенных судов) и маневровые услуги, оказываемые в открытом море и в прибрежных водах.
К услугам по перевозкам грузов морским транспортом не относятся услуги погрузочно-разгрузочные работы, услуги по аренде морских судов заграничного и каботажного плавания для перевозки пассажиров с экипажем, услуги по лизингу или аренде коммерческих судов без экипажа.
12.28. По строке 2896 "Перевозки грузов железнодорожным транспортом" отражаются услуги грузовых перевозок по железнодорожным путям общего пользования и необщего пользования, за исключением перевозки по железной дороге пассажиров и их транспортных средств, услуг, свойственных железнодорожному транспорту, таких как маневровые услуги и услуг по составлению поездов, услуг по управлению железнодорожной инфраструктурой и услуг железнодорожных перегрузочных товарных станций, а также погрузочно-разгрузочных услуг.
К перевозкам грузов железнодорожным транспортом относится в том числе перевозка по железной дороге замороженных или охлажденных грузов в специальных вагонах-рефрижераторах, перевозка по железной дороге нефтепродуктов (нефти, природного газа и нефтепродуктов) в специальных вагонах-цистернах, перевозка по железной дороге прочих жидких или газообразных грузов в массе (наливом) в специальных вагонах-цистернах, перевозка по железной дороге отдельных предметов и упаковок, собранных и упакованных в специально сконструированные контейнеры, предназначенные для удобства погрузочно-разгрузочных работ, перевозка по железной дороге почты за счет национальных и иностранных почтовых ведомств, перевозка по железной дороге писем и бандеролей за счет почтовых и курьерских служб, перевозка по железной дороге сыпучих бестарных грузов, таких как зерно, мука, цемент, песок, уголь и т.п., перевозка по железной дороге легковых автомобилей, грузовых автомобилей и прицепов для грузовых автомобилей, перевозка по железной дороге живых животных.
12.29. По строке 2897 "Перевозки грузов авиационным транспортом" отражаются услуги по перевозке грузовых единиц (в том числе отдельных изделий и пакетов грузов, собранных и отправленных в специально сконструированных контейнерах, предназначенных для облегчения погрузочно-разгрузочных операций при перевозках, а также писем и бандеролей по поручению почтовых и курьерских служб) на воздушных судах любого типа (включая вертолеты и транспортные самолеты, используемые для авиационных грузовых перевозок) на регулярной или нерегулярной основе, а также услуги по аренде грузовых воздушных судов с экипажем.
К грузовым единицам относятся пакетированные авиационные грузовые единицы, негабаритный авиационный груз, модульный авиационный груз, пакетированные неавиационные грузовые единицы.
К услугам по перевозкам грузов воздушным транспортом не относятся услуги по аренде воздушных судов без экипажа.
12.30. По строке 2898 "Работа лесохозяйственных машин" отражаются услуги по рубке (валке) леса, по распиловке леса, по окорке (удалению коры с хлыстов и сортиментов), по транспортированию бревен в пределах леса в сочетании с трелевочными работами, по предоставлению лесохозяйственной техники с техническим персоналом и операторами, а также прочими услугами, связанными с лесозаготовками.
К машинам для лесного хозяйства относятся однооперационные лесозаготовительные машины (трелевочные машины, лесовозные автопоезда, валочные машины, лесопогрузчики, окорочные машины, сучкорезные машины, рубильные машины, раскряжевочные машины, канатные установки), многооперационные лесозаготовительные машины, в том числе процессоры и лесные комбайны (валочно-пакетирующые машины, валочно-трелевочные машины, валочно-транспортирующие машины, сучкорезно-раскряжевочные машины, сучкорезно-пакетирующие машины, раскряжевочно-пакетирующие машины, сучкорезно-раскряжевочно-пакетирующие машины, валочно-сучкорезные машины, валочно-рубильные машины, валочно-сучкорезно-пакетирующие машины, валочно-сучкорезно-раскряжевочно-пакетирующие машины, валочно-сучкорезно-раскряжевочно-транспортирующие машины), а также тракторы лесопромышленные и лесохозяйственные (колесные и гусеничные).
12.31. По строке 2899 "Работа дорожностроительных машин" приводятся данные о расходе топливно-энергетических ресурсов при применении специализированные машины, использующихся при выполнении земляных, дорожных и строительных работ, в том числе работ по уплотнению и разравниванию дороги.
К дорожностроительным машинам относятся в том числе гусеничные экскаваторы, колесные экскаваторы, фронтальные погрузчики, бульдозеры, экскаваторы-погрузчики, мини-погрузчики, а также комплекты машин для скоростного строительства автомобильных дорог, машины грунтосмесительные, машины для строительства дорог и аэродромов разного назначения, оборудование для монолитных цементобетонных покрытий дорог и аэродромов, распределители дорожно-строительных материалов самоходные, распределители цемента, трамбовки на тракторах, фрезы дорожные на тракторах.
12.32. По строке 2901 "Работа внедорожной транспортной техники" приводятся данные о расходе топливно-энергетических ресурсов при применении автомототранспортных средств для транспортировки пассажиров и грузов, не предназначенных для движения по автомобильным дорогам общего пользования либо имеющие максимальную конструктивную скорость 50 км/ч и менее.
К внедорожной транспортной технике относятся транспортные средства категории L "мототранспортные средства" согласно категоризации транспортных средств, установленной техническим регламентом Таможенного союза "О безопасности колесных транспортных средств" (ТР ТС 018/2011).
К внедорожной транспортной технике также относятся: вездеходы, снегоходы, квадроциклы, болотоходы, карьерные самосвалы, перронные автобусы, применяемые в аэропортах.
12.33. По строке 2950 "Электроснабжение теплиц" отражаются данные о затратах электроэнергии на освещение, работу электродвигателя и другого электрооборудования, используемого для тепличного хозяйства. В случае использования топливных ресурсов (угля, газа, нефтепродуктов и других ресурсов) для работы двигателя или оборудования расход по ним отражается в соответствующих графах по строке 2950.
12.34. По строке 2960 "Отопление теплиц" отражаются затраты теплоэнергии на отопление, а также топливо, израсходованное для отопления. В случае если тепличное хозяйство отапливается электроприборами, указываются данные о расходе электроэнергии по ним.
12.35. По строке 2980 "Перекачка воды для мелиорации и водоснабжения" приводятся данные об объеме воды, предназначенной для подачи из водонапорной башни или резервуара в магистральную водопроводную сеть и данные по электроэнергии, теплоэнергии и топливу, израсходованные на указанный вид работы, а также данные о других смежных работах и вспомогательных процессах.
12.36. По строкам 9402 "Работа сельскохозяйственных тракторов и комбайнов" и 9405 "в том числе работа тракторов" приводятся данные об использовании топлива сельскохозяйственной техникой с единицей измерения "гектар" (работа машин лесного хозяйства не отражается). В графе 1 приводится значение, рассчитываемое путем умножения количества выполненных нормосмен трактором соответствующей марки на величину переменной эталонной выработки (условный эталонный гектар), а по графе 4 - в условном исчислении объем фактического расхода топлива тракторами и комбайнами, работающими в хозяйстве, выполняющими работы с прицепными, навесными сельскохозяйственными машинами, перевозящими грузы на прицепах, используемыми для сбора урожая и других сельскохозяйственных работ.
Таблица коэффициентов перевода и сменная эталонная выработка тракторов основных марок справочно приведены в Приложении N 4 к настоящим Указаниям.
Для определения уровня эффективности использования сельскохозяйственной техники (тракторов и комбайнов) и обеспечения контроля за расходованием топливных ресурсов (горючего) используются такие показатели, как условно-эталонный трактор и условно-эталонный гектар. Физические тракторы переводятся в условно-эталонные по коэффициентам, которые определены исходя из нормативной выработки за смену. Условно-эталонные гектары рассчитываются путем умножения количества выполненных нормосмен трактором соответствующей марки на величину переменной эталонной выработки.
Справочно: условно эталонный гектар представляет собой объем работы, соответствующий вспашке одного физического га стерни колосовых культур на глубину 0,2 - 0,22 м среднесуглинистых некаменистых почв при влажности 20 - 22%, при удельном сопротивлении плуга со стандартными корпусами 50 кН/м2 на скорости 1,4 м/с (5 км/час), ровном рельефе (угол склона до 1°), высоте над уровнем моря не более 200 м, длине гона 800 м, на полях правильной конфигурации без препятствий. Перевод объема выполненной трактором конкретной работы в условные эталонные гектары (F усл. эт. га) осуществляют путем умножения числа фактически выполненных сменных норм (нормосмен) (Н) на сменную выработку данного трактора в эталонных условиях W усл. эт. га, то есть по следующей формуле:

где:
F усл. эт. га - объем работ, выполненных трактором, в условных эталонных гектарах;
H - фактическое число выполненных нормосмен;
W усл. эт. га - сменная выработка трактора в эталонных условиях.
Сменную выработку трактора в эталонных условиях подсчитывают как произведение коэффициента перевода физических тракторов в эталонные (K эт.) на продолжительность времени смены (T см.) (7 часов):

где:
W усл. эт. га - сменная выработка трактора в эталонных условиях;
K эт - коэффициент перевода;
T см - время продолжительности смены.
Например: за условный эталонный трактор принят трактор с эффективной мощностью 55 кВт и мощностью на крюке 35 кВт, имеющий наработку, равную 1 усл. эт. га за час сменного времени.
Значения коэффициентов перевода основных марок справочно приведены в Приложении N 4 к настоящим Указаниям. В таблице приведены марки и модели тракторов, широко используемых на сельскохозяйственных работах российскими сельхозпроизводителями.
Поскольку коэффициенты перевода для комбайнов отсутствуют, рекомендуем применять коэффициенты, справочно указанные в Приложении N 4 к настоящим Указаниям, используя критерий для них "Мощность", то есть к соответствующей мощности комбайна (в случае несовпадения - брать близкое значение) - соответствующий коэффициент перевода.
12.37. Перечень видов продукции, работ (услуг), на которые расходуется электроэнергия, тепловая энергия, котельно-печное топливо и нефтепродукты в двигателях внутреннего сгорания (справочно приведен в Приложении N 1 к настоящим Указаниям), исключает данные о расходе топливно-энергетических ресурсов на авто- и авиатранспорт, за исключением строк, по которым прописан особый порядок.
Раздел 3. Оснащенность приборами учета
энергетических ресурсов
13. В разделе 3 формы приводятся данные о количестве приборов учета энергетических ресурсов в расчетных точках учета и об оснащенности предприятий и организаций приборами учета в отчетном году.
13.1. По строкам 48 и 49 приводятся данные соответственно о количестве приборов учета электрической энергии и приборов (при наличии) по мощности.
Приборы учета электрической мощности - это специальные приборы, обеспечивающие мгновенный учет мощности (активной, реактивной) на основе измерения величины (силы) тока (ампер), величины напряжения (вольт), а также фазового сдвига в гармониках.
13.2. В строках 50
52 приводятся данные о количестве приборов учета тепловой энергии, соответственно горячей и холодной воды.
13.3. В строке 53 приводятся данные о количестве приборов учета газа.
Расчетная точка учета энергетических ресурсов - место в системе электро-, тепло-, водо- и газоснабжения юридического лица, в котором при помощи приборов учета осуществляются расчеты объемов расходуемых энергетических ресурсов. Приборы учета, по которым расчеты поставщиков энергетических ресурсов с потребителями энергетических ресурсов не осуществляются (внутрицеховые счетчики), в данные по графам 1
3 не включаются.
Обращаем внимание, что данные по приборам учета энергоресурсов в многоквартирном доме (МКД) должна отражать ресурсоснабжающая или управляющая организация по количеству общедомовых приборов учета.
13.4. В графе 1 "Общая потребность в количестве приборов учета в расчетных точках учета" приводятся данные об общей потребности в оснащении (количестве) приборами учета энергетических ресурсов в расчетных точках учета (включая уже оснащенные), по которым осуществляются расчеты поставщиков энергетических ресурсов с их потребителями.
13.5. В графе 2 "Фактическое количество приборов учета в расчетных точках учета, введенных на конец отчетного периода" приводятся данные о количестве фактически установленных приборов учета энергетических ресурсов в расчетных точках учета, по которым осуществляются расчеты поставщиков энергетических ресурсов с их потребителями, независимо от даты установки этих приборов.
13.6. В графе 3 "Фактическое количество приборов учета в расчетных точках учета, введенных в эксплуатацию в отчетном периоде" приводятся данные о количестве фактически установленных и введенных в эксплуатацию в течение отчетного года приборов учета энергетических ресурсов, по показаниям которых осуществляется расчет с их потребителями.
В разделе 3 "Оснащенность приборами учета энергетических ресурсов" приводятся данные о приборах учета по количеству "расчетных точек учета энергетических ресурсов", по которым осуществляется расчет потребителей с поставщиками энергоресурсов.
Контроль данных по показателям формы:
Раздел 1
строка 01 по графе 5
строки 01 по графе 6;
строка 02 по графе 5
строки 02 по графе 6;
строка 07 по графе 5
строки 07 по графе 6;
строка 08 по графе 5
строки 08 по графе 6;
строка 09 по графе 5
строки 09 по графе 6;
строка 12 по графе 5
строки 12 по графе 6;
строка 14 по графе 5
строки 14 по графе 6;
строка 15 по графе 5
строки 15 по графе 6;
строка 18 по графам 1
4, 8, 9, 11
строки 19 по графам 1
4, 8, 9, 11;
строка 21 по графам 1
4, 7
11 = сумме строк 23, 28 по графам 1
4, 7
11;
строка 22 по графам 3, 4 = сумме строк 24, 29 по графам 3, 4;
если по строке 21 введены данные в графах 3 и 4, то должны быть введены данные в соответствующих графах по строке 22;
если по строке 23 введены данные в графах 3 и 4, то должны быть введены данные в соответствующих графах по строке 24;
если по строке 28 введены данные в графах 3 и 4, то должны быть введены данные в соответствующих графах по строке 29;
строка 36 по графам 1
4, 7
11
строки 37 по графам 1
4, 7
11;
строка 37 по графам 1
4, 7
11
суммы строк 38, 39 по графам 1
4, 7
11;
строка 40 по графе 3 = сумме строк 41, 42, 43 по графе 3.
Раздел 2
данные по графе 4 по всем строкам должны быть равны сумме данных по графам 5
19, 21
30 и 34 по соответствующим строкам;
строка 10 по всем графам
суммы строк 18 и 19 по соответствующим графам;
строка 25 по всем графам
суммы строк 28 и 29 по соответствующим графам;
строка 25 по графе 1 > строки 21 по графе 1;
строка 32 по графе 1 > строки 33 по графе 1;
строка 1.АГ по всем графам = сумме строк 161 и 162 по соответствующим графам;
строка 4.АГ по всем графам = сумме строк 2705, 2710, 2715, 2720 по соответствующим графам;
строка 9402 по всем графам
строки 9405 по соответствующим графам;
строка 47 по графам 2
35 должна быть равна сумме строк Перечня 10, 11, 25, 32, 37, 60, 84, 140, 1.АГ, 170, 210
4.АГ, 2730
2761, 2770
9402 по соответствующим графам.
Раздел 3
графа 1 по строкам 48 - 53
графы 2 по строкам 48 - 53;
графа 2 по строкам 48 - 53
графы 3 по строкам 48 - 53.
Приложение N 1
к Указаниям по заполнению формы
федерального статистического наблюдения
N 4-ТЭР "Сведения об использовании
топливно-энергетических ресурсов",
утвержденным приказом Росстата
от 00.00.2024 N 000
(Справочно)
ПЕРЕЧЕНЬ
ВИДОВ ПРОДУКЦИИ, РАБОТ (УСЛУГ), НА КОТОРЫЕ РАСХОДУЕТСЯ
ЭЛЕКТРОЭНЕРГИЯ, ТЕПЛОВАЯ ЭНЕРГИЯ, КОТЕЛЬНО-ПЕЧНОЕ ТОПЛИВО
И НЕФТЕПРОДУКТЫ В ДВИГАТЕЛЯХ ВНУТРЕННЕГО СГОРАНИЯ
(справочно)
Код вида продукции, работ (услуг)
Виды продукции, работ (услуг)
Единица измерения продукции (работы)
Код единицы измерения по ОКЕИ
1
2
3
4
10
Электроэнергия, отпущенная электростанциями, работающими на котельно-печном топливе
мегаВт.ч
246
в том числе:
18
электроэнергия, отпущенная теплоэлектроцентралями (ТЭЦ) общего назначения
мегаВт.ч
246
19
электроэнергия, отпущенная блок-станциями ТЭЦ
мегаВт.ч
246
11
Электроэнергия, отпущенная электростанциями (работающими от двигателей внутреннего сгорания)
мегаВт.ч
246
25
Тепловая энергия, отпущенная электростанциями, работающими на котельно-печном топливе
гигакал
233
в том числе:
28
тепловая энергия, отпущенная теплоэлектроцентралями (ТЭЦ) общего назначения
гигакал
233
29
тепловая энергия, отпущенная блок-станциями ТЭЦ
гигакал
233
21
Потери тепловой энергии, произведенной электростанциями, работающими на котельно-печном топливе
гигакал
233
32
Тепловая энергия, отпущенная котельными
гигакал
233
33
Потери тепловой энергии, произведенной котельными
гигакал
233
37
Тепловая энергия, отпущенная электробойлерными установками (электрокотлами)
гигакал
233
50
Потери теплоэнергии в теплосетях
гигакал
233
60
Нефть обезвоженная, обессоленная и стабилизированная, включая газовый конденсат
т
168
83
Потери нефти на нефтеперерабатывающих заводах
т
168
84
Производство газа горючего природного сжиженного
т
168
140
Переработка нефти обезвоженной, обессоленной и стабилизированной, включая газовый конденсат
т
168
1.АГ
Добыча газа природного и попутного
тыс м3
114
в том числе:
161
газа горючего природного (газа естественного)
тыс м3
114
162
газа нефтяного попутного (газа горючего природного нефтяных месторождений)
тыс м3
114
170
Переработка газа
тыс м3
114
190
Потери газа в магистральных газопроводах
тыс м3
114
195
Потери нефти в магистральных нефтепроводах
т
168
200
Потери газа на газоперерабатывающих заводах
тыс м3
114
210
Добыча угля
т
168
230
Переработка угля (обогащение)
т
168
290
Добыча торфа
т
168
321
Руда железная; концентрат железорудный
т
168
351
Агломерат железорудный
т
168
361
Окатыши железорудные (окисленные)
т
168
410
Чугун
т
168
421
Сталь
т
168
461
Прокат готовый. Прокат сортовой (без заготовки для переката на экспорт)
т
168
470
Трубы стальные
т
168
651
Кокс и полукокс из каменного угля, бурого угля (лигнита) или торфа, уголь ретортный
т
168
700
Добыча медной руды
т
168
711
Концентраты медные
т
168
720
Добыча никелевой руды
т
168
731
Концентраты никелевые
т
168
740
Добыча свинцово-цинковой руды
т
168
751
Концентраты свинцовые, цинковые
т
168
850
Алюминий первичный
т
168
861
Медь рафинированная необработанная
т
168
1180
Аммиак
т
168
1191
Углеводороды ациклические
т
168
1231
Карбонат динатрия (карбонат натрия, сода кальцинированная)
т
168
1241
Гидроксид натрия (сода каустическая)
т
168
1360
Удобрения калийные минеральные или химические (в пересчете на 100% калия)
т
168
1370
Удобрения фосфорные минеральные или химические (в пересчете на 100% фосфора)
т
168
1379
Удобрения азотные минеральные или химические (в пересчете на 100% азота)
т
168
1411
Полимеры этилена в первичных формах
т
168
1530
Каучуки синтетические в первичных формах
т
168
1534
Материалы лакокрасочные и аналогичные для нанесения покрытий, полиграфические краски и мастики
т
168
1560
Шины и покрышки пневматические для автобусов, троллейбусов и грузовых автомобилей новые
штука
796
1565
Шины и покрышки пневматические для легковых автомобилей новые
штука
796
1820
Лесоматериалы необработанные
тыс плотн м3
127
1840
Лесоматериалы, продольно распиленные или расколотые, разделенные на слои или лущеные, толщиной более 6 мм; деревянные железнодорожные или трамвайные шпалы, непропитанные
тыс м3
114
1851
Фанера, панели деревянные фанерованные и аналогичные материалы слоистые из древесины прочие
м3
113
1855
Плиты древесноволокнистые из древесины или других одревесневших материалов
тыс усл м2
63
1860
Плиты древесностружечные и аналогичные плиты из древесины или других одревесневших материалов
усл м3
123
1970
Целлюлоза древесная и целлюлоза из прочих волокнистых материалов
т
168
5.АГ
Бумага и картон
т
168
1991
Пески природные; гранулы, крошка и порошок; галька, гравий
тыс м3
114
2000
Портландцемент, цемент глиноземистый, цемент шлаковый и аналогичные гидравлические цементы
т
168
2001
Клинкеры цементные
т
168
2020
Кирпич керамический неогнеупорный строительный
тыс усл кирп
894
2025
Кирпич строительный (включая камни) из цемента, бетона или искусственного камня
тыс усл кирп
894
2035
Блоки стеновые силикатные; изделия аналогичные из цемента, бетона или искусственного камня
тыс усл кирп
894
2040
Смеси асфальтобетонные дорожные, аэродромные и асфальтобетон (горячие, холодные)
т
168
2100
Плиты и плитки керамические
тыс м2
58
2125
Блоки и прочие изделия сборные строительные для зданий и сооружений из цемента, бетона или искусственного камня
тыс м3
114
2141
Конструкции и детали конструкций из черных металлов
т
168
2142
Конструкции и детали конструкций из алюминия прочие
т
168
2390
Мебель
тыс руб
384
2400
Ткани хлопчатобумажные
тыс м2
58
2410
Ткани льняные
тыс м2
58
2420
Ткани шерстяные готовые
тыс м2
58
2430
Ткани готовые из шелковых нитей или пряжи; ткани готовые из синтетических и искусственных волокон и нитей (включая штапельные)
тыс м2
58
2441
Изделия трикотажные или вязаные; одежда верхняя трикотажная или вязаная; изделия бельевые трикотажные или вязаные, включая изделия для детей младшего возраста
тыс шт
798
2451
Кожа лаковая и кожа лаковая ламинированная; кожа металлизированная; кожа из целых шкур крупного рогатого скота без волосяного покрова; кожа из нецелых шкур крупного рогатого скота без волосяного покрова
тыс дм2
54
2460
Обувь
тыс пар
837
2470
Мясо и субпродукты
т
168
2500
Сыры и продукты сырные
т
168
2560
Кондитерские изделия
т
168
2572
Сахар
т
168
2580
Изделия хлебобулочные
т
168
2620
Изделия колбасные, включая изделия колбасные для детского питания
т
168
2631
Молоко, молочные и кисломолочные продукты
т
168
2640
Мука из зерновых культур, овощных и других растительных культур; смеси из них
т
168
2652
Консервы рыбные
тыс усл банк
882
2653
Пресервы рыбные
тыс усл банк
882
2671
Масла растительные и их фракции нерафинированные; масло кукурузное и его фракции, нерафинированные
т
168
2672
Масла растительные и их фракции рафинированные, но не подвергнутые химической модификации; масло кукурузное и его фракции, рафинированные
т
168
2675
Масло сливочное и пасты масляные
т
168
2682
Алкогольная продукция (без пива и напитков на его основе)
тыс дкл
119
2687
Пиво, кроме отходов пивоварения
тыс дкл
119
2688
Сигареты; папиросы из табака или заменителей табака
млн шт
799
2690
Комбикорма
т
168
4.АГ
Скот крупный рогатый, овцы и козы, свиньи и птица сельскохозяйственная на убой (в живом весе)
ц
206
в том числе:
2705
крупный рогатый скот
ц
206
2710
овцы и козы
ц
206
2715
свиньи
ц
206
2720
птица
ц
206
2730
Машины для уборки зерновых, масличных, бобовых и крупяных культур прочие
шт
796
2731
Насосы центробежные подачи жидкостей прочие; насосы прочие
шт
796
2732
Электродвигатели мощностью не более 750 Вт
шт
796
2733
Электродвигатели переменного тока многофазные мощностью от 750 Вт до 75 кВт
шт
796
2734
Электродвигатели переменного тока, многофазные, выходной мощностью более 75 кВт
шт
796
2735
Провода и кабели изолированные (кроме волоконно-оптических)
тыс км
965
2737
Двигатели внутреннего сгорания для автотранспортных средств и мотоциклов
шт
796
2740
Автомобили легковые
шт
796
2750
Автобусы (включая средства автотранспортные пассажирские с числом мест для сидения не менее 10 прочие)
шт
796
2761
Средства автотранспортные грузовые
шт
796
в том числе:
2766
шасси с установленными двигателями для автотранспортных средств
шт
796
2770
Средства транспортные для коммунального хозяйства и содержания дорог
шт
796
2776
Тракторы для сельского хозяйства прочие
шт
796
2780
Комбайны зерноуборочные
шт
796
2781
Вагоны пассажирские железнодорожные
шт
796
2782
Вагоны грузовые магистральные широкой колеи
шт
796
2783
Электровозы магистральные
шт
796
2784
Тепловозы маневровые и промышленные
шт
796
2800
Вертолеты
шт
796
2831
Перевозки внутригородские регулярные пассажирские автобусами (автомобилями), подчиняющиеся расписанию
тыс пасс.км
423
2835
Перевозки пригородные регулярные пассажирские автобусами (автомобилями), подчиняющиеся расписанию
тыс пасс.км
423
2838
Перевозки междугородные регулярные пассажирские автобусами, подчиняющиеся расписанию
тыс пасс.км
423
2840
Перевозка грузов грузовым автомобильным транспортом
тыс т.км
450
2860
Транспортирование нефти по магистральным нефтепроводам
тыс т.км
450
2868
Транспортирование нефтепродуктов по магистральным нефтепродуктопроводам
тыс т.км
450
2870
Транспортирование газа по магистральным газопроводам
млн м3
159
2889
Перевозки регулярные пассажирские внутренним водным транспортом
тыс пасс.км
423
2891
Перевозки регулярные пассажирские морским транспортом
тыс пасс.км
423
2892
Перевозки регулярные пассажирские железнодорожным транспортом
тыс пасс.км
423
2893
Перевозки регулярные пассажирские авиационным транспортом
тыс пасс.км
423
2894
Перевозка грузов внутренним водным транспортом
тыс т.км
450
2895
Перевозка грузов морским транспортом
тыс т.км
450
2896
Перевозка грузов железнодорожным транспортом
тыс т.км
450
2897
Перевозка грузов авиационным транспортом
тыс т.км
450
2898
Работа лесохозяйственных машин
га
59
2899
Работа дорожно-строительных машин
тыс. автомобиле часов
961
2901
Работа внедорожной транспортной техники
тыс. автомобиле часов
961
2950
Электроснабжение теплиц
м2
55
2960
Отопление теплиц
м3
113
2980
Перекачка воды для мелиорации и водоснабжения
тыс м3
114
9402
Работа сельскохозяйственных тракторов и комбайнов
га
59
в том числе:
9405
работа тракторов
га
59
Приложение N 2
к Указаниям по заполнению формы
федерального статистического наблюдения
N 4-ТЭР "Сведения об использовании
топливно-энергетических ресурсов",
утвержденным приказом Росстата
от 00.00.2024 N 000
(Справочно)
КАЛОРИЙНЫЕ ЭКВИВАЛЕНТЫ
ОТДЕЛЬНЫХ ВИДОВ ТОПЛИВА ДЛЯ ПЕРЕСЧЕТА В ТОННЫ
УСЛОВНОГО ТОПЛИВА
(справочно)
Виды топлива и энергии
Единица измерения
Код единицы измерения по ОКЕИ
Средний калорийный эквивалент для пересчета одной тонны (тысячи м3) натурального топлива в условную единицу
Нефть обезвоженная, обессоленная и стабилизированная, включая газовый конденсат
т
168
1,43
Мазут топочный
т
168
1,37
Мазут флотский
т
168
1,43
Топливо судовое
т
168
1,43
Топливо печное бытовое
т
168
1,45
Керосин
т
168
1,47
Топливо дизельное
т
168
1,45
Бензин автомобильный
т
168
1,49
Бензин авиационный
т
168
1,49
Топливо моторное (в том числе газотурбинное)
т
168
1,43
Нефтебитум
т
168
1,35
Кокс нефтяной и сланцевый
т
168
1,08
Газ горючий природный (естественный)
тыс м3
114
1,154
Газ нефтеперерабатывающих предприятий сухой
т
168
1,5
Газ сжиженный
т
168
1,57
Пропан и бутан сжиженные
т
168
1,57
Газ горючий искусственный коксовый
тыс м3
114
0,57
Газ горючий искусственный доменный
тыс м3
114
0,143
Сланцы горючие
т
168
0,3
Торф топливный
т
168
0,34
Брикеты и полубрикеты торфяные
т
168
0,6
Кокс металлургический
т
168
0,99
Уголь древесный
т
168
0,93
Гранулы топливные (пеллеты) из отходов деревообработки
т
168
0,36
Полукокс сланцевый и угольный
т
168
0,93
Брикеты угольные
т
168
0,605
Рядовой уголь месторождений:
уголь донецкий
т
168
0,876
уголь кузнецкий
т
168
0,867
уголь карагандинский
т
168
0,726
уголь подмосковный
т
168
0,335
уголь воркутинский
т
168
0,822
уголь интинский
т
168
0,649
уголь челябинский
т
168
0,552
уголь свердловский
т
168
0,33
уголь башкирский
т
168
0,264
уголь нерюнгринский
т
168
0,987
уголь якутский
т
168
0,751
уголь черемховский
т
168
0,752
уголь азейский
т
168
0,483
уголь читинский
т
168
0,483
уголь гусиноозерский
т
168
0,506
уголь хакасский
т
168
0,727
уголь канско-ачинский
т
168
0,516
уголь тувинский
т
168
0,906
уголь тунгусский
т
168
0,754
уголь магаданский
т
168
0,701
уголь арктический (шпицбергенский)
т
168
0,669
уголь норильский
т
168
0,761
уголь огоджинский
т
168
0,447
уголь камчатский
т
168
0,323
уголь Приморья
т
168
0,506
уголь экибастузский
т
168
0,628
уголь алтайский
т
168
0,782
уголь тугнуйский
т
168
0,692
Дрова для отопления
плот м3
121
0,266
Бревна разобранных старых зданий, пришедшие в негодность шпалы, столбы связи, рудничная стойка (на 1 плотн м3)
плот м3
121
0,266
Кора (на 1 складской м3)
м3
113
0,42
Сучья, хвоя, щепа (на 1 складской м3)
м3
113
0,05
Пни (на 1 складской м3)
м3
113
0,12
Древесные обрезки, стружка, опилки
т
168
0,36
Древесные опилки (на 1 складской м3)
м3
113
0,11
Уголь древесный
т
168
0,93
Камыш, солома, льняная костра, подсолнечная лузга, рисовая лузга (при условной влажности 10%)
т
168
0,5
Кукурузный кочан (при условной влажности 30%)
т
168
0,33
Смола каменноугольная коксохимических заводов
т
168
1,3
Теплоэнергия
Гкал
233
0,14286
Теплоэнергия для газовых котлов
Гкал
233
0,16436
Уголь каменный (среднероссийский коэффициент)
т
168
0,768
Уголь бурый (среднероссийский коэффициент)
т
168
0,467
Электроэнергия
МВт*ч
246
0,123
Битумы нефтяные
т
168
1,35
Торф топливный кусковой
т
168
0,41
Торф топливный фрезерный
т
168
0,34
Приложение N 3
к Указаниям по заполнению формы
федерального статистического наблюдения
N 4-ТЭР "Сведения об использовании
топливно-энергетических ресурсов",
утвержденным приказом Росстата
от 00.00.2024 N 000
(Справочно)
НОМЕНКЛАТУРА ВТОРИЧНЫХ ЭНЕРГЕТИЧЕСКИХ РЕСУРСОВ (ВЭР)
(справочно)
1. Горючие ВЭР
Металлургическое производство
Доменный газ
Конвертерный газ
Ферросплавный газ
Химическое производство, производство резиновых и пластмассовых изделий
Отходящие газы производства техуглерода
Метано-водородная фракция производства этилена
Другие фракции производства этилена
Абгаз производства стирола
Жидкие углеводороды производства стирола
Жидкие углеводороды производства изопрена из изопентана
Жидкие углеводороды производства изопрена из изобутилена
Танковые газы производства аммиака
Печной газ производства фосфора
Горючие газы производства аммиака, в том числе:
богатый газ
танковые и продувочные газы
ретурные газы
окись-углеродная фракция
Жидкие углеводороды производства аммиака
Танковые и продувочные газы производства метанола
Отходящие газы производства формалина
Прочие отходы
Производство целлюлозы, древесной массы, бумаги и картона
Упаренные сульфатные щелока
Упаренные сульфитные щелока
Упаренные бардяные концентраты
Прочие горючие ВЭР
Горючие ВЭР других видов экономической деятельности
Лигнин
Отходящие горючие газы, в том числе:
ваграночные газы
газы от прокалки кокса и тому подобные
Жидкие горючие отходы, в том числе:
кубовые остатки
отработанные нефтепродукты и тому подобные
Твердые горючие отходы, в том числе:
древесные отходы
костра лубяных волокон
подсолнечная лузга и тому подобные
Прочие отходы
2. Тепловые ВЭР
Производство нефтепродуктов и кокса
Теплосодержание дымовых газов и газов регенерации установок:
первичной переработки нефти
каталитического риформинга
каталитического крекинга
гидрокрекинга
карбамидной депарафинизации
производства масел
коксования
парекс
гидроочистки
получения водорода
крекинга и парафинов
Теплосодержание уходящих газов коксовых печей
Производство каучуков
Теплосодержание:
контактного газа производства дивинила из спирта
фузельной воды производства дивинила из спирта
Теплосодержание контактного газа и газов регенерации:
первой стадии дегидрирования производства дивинила из бутана
второй стадии дегидрирования производства дивинила из бутана
одностадийного производства дивинила из бутана
первой стадии дегидрирования производства изопрена из изопентана
второй стадии дегидрирования производства изопрена из изопентана
производство изопрена из изобутана и формальдегида
получение формальдегида из метанола производства бутилкаучука
Теплосодержание формальдегидной воды
Теплосодержание дымовых газов производства:
стирола
этилбензола
альфаметилстирола
Прочие виды ВЭР производства каучука
Производство этилена и этилового спирта
Теплосодержание:
дымовых газов печей пиролиза
пиролизных газов (контактных)
парогазовой смеси в производстве спирта
контактных газов производства окиси этилена
продуктовых газов производства бутиловых спиртов
Прочие виды ВЭР производства этилена
Производство аммиака и метанола
Теплосодержание уходящих газов трубчатых печей
Теплосодержание охлаждающей воды
Теплосодержание продукционных газов:
колонн синтеза
конвертеров природного газа и CO
Производство слабой азотной кислоты
Теплосодержание продукционных газов контактных аппаратов
Теплосодержание хвостовых газов
Производство серной кислоты
Теплосодержание продукционного газа:
обжиговых печей КС, ВХЗ и серных контактных аппаратов
Производство обесфторенных фосфатов
Теплосодержание отходящих газов вращающихся печей
Прочие химические производства
Теплосодержание продукционных газов
Теплосодержание отходящих газов технологических печей и агрегатов
Теплота охлаждения
Переработка газа
Теплосодержание уходящих газов:
тепловых двигателей компрессорных станций
технологических установок газоперерабатывающих заводов
Производство прочих неметаллических минеральных продуктов
Теплосодержание отходящих газов:
стекловаренных печей и печей цементного производства
обжига керамзита, керамических изделий и пр. вагранок, прочих технологических печей
Теплота охлаждения корпусов печей и прочих агрегатов
Прочие виды ВЭР
Металлургическое производство
Теплосодержание уходящих газов:
мартеновских, электросталеплавильных, нагревательных, термических, обжиговых, отражательных печей
кислородных конвертеров
нагревательных колодцев
вельц-печей
печей для сжигания серы
прочих установок
Теплота охлаждения:
доменных, мартеновских и нагревательных печей
вагранок
обжиговых, отражательных и электротехнических печей
прочих агрегатов
Теплосодержание кокса
Теплосодержание шлаков:
доменных
сталеплавильных
ферросплавных
других металлургических агрегатов и установок
Теплосодержание доменного газа
Теплосодержание коксового газа
Прочие виды ВЭР
Избыточное давление доменного газа
Производство машин и оборудования, электрооборудования, электронного и оптического оборудования, транспортных средств и оборудования
Теплосодержание отходящих газов:
нагревательных, термических и сушильных печей
вагранок
прочих технологических установок
Теплота охлаждения:
нагревательных печей, вагранок, компрессоров
Теплосодержание отработанного пара от прессов и молотов
Прочие виды ВЭР
Прочие виды экономической деятельности
Теплосодержание отходящих газов технологических печей нагретой продукции
Теплота охлаждения технологических агрегатов
Теплосодержание отработанного пара
Прочие виды ВЭР
Приложение N 4
к Указаниям по заполнению формы
федерального статистического наблюдения
N 4-ТЭР "Сведения об использовании
топливно-энергетических ресурсов",
утвержденным приказом Росстата
от 00.00.2024 N 000
(Справочно)
КОЭФФИЦИЕНТЫ ПЕРЕВОДА В УСЛОВНЫЕ (ЭТАЛОННЫЕ) ТРАКТОРЫ
Марка трактора
Коэффициент перевода в условные (эталонные) тракторы
ДТ-75, Т-75, Т-74, ДТ-75Б
1,00
ДТ-75М
1,10
К-701, К-744Р-1, Case 285 Magnum МХ
2,70
К-700А
2,40
К-700
2,10
Т-150, Т-150К
1,85
Т-170
2,10
Т-4А
1,45
Т-100, Т-100М, Т-100Б, С-100
1,34
Т-4
1,33
МТЗ-80, МТЗ-80Х
0,70
Т-54Л, Т-54В, Т-54С
0,69
МТЗ-50П
0,53
Т-40
0,48
Т-40А, Т-40АН
0,50
Т-25
0,30
МТЗ-82
0,73
МТЗ-52Л, МТЗ-52
0,58
Т-16М
0,22
Т-16
0,20
МТЗ-50ПЛ, МТЗ-50Л, МТЗ-50, МТЗ-50М
0,55
Т-38
0,57
Т-50В
0,64
ЮМЗ-6Л, ЗТМ-60, ПЭА-1
0,60
Buhler Versatile 2290 (290 л.с)
2,61
Buhler Versatile 2335 (335 л.с.)
3,02
Buhler Versatile 2360 (360 л.с.)
3,24
Buhler Versatile 2375 (375 л.с.)
3,38
Buhler Versatile 2425 (425 л.с.)
3,83
Buhler Versatile 435 (435 л.с.)
3,90
Buhler Versatile 485 (485 л.с.)
4,36
Buhler Versatile 535 (535 л.с.)
4,82
John Deere 7800 (150 л.с.)
1,85
John Deere 8420 (270 л.с.)
2,59
John Deere 9420 (425 л.с.)
3,83
John Deere 9520 (450 л.с.)
4,05
John Deere 9620 (500 л.с.)
4,50
МТЗ-1221 (130 л.с.)
1,40
New Holland Т9000 (535 л.с.)
4,82
New Holland 9030
3,38
New Holland 9040
4,00
New Holland 9505
4,00
МТЗ 3022
2,40
МТЗ 9223
0,74
Foton 1254
1,40
Case 385
2,70
Case 310
3,40
Case 530
4,80
Acros 590
2,40