Рейтинг@Mail.ru

Приказ Минстроя России от 14.11.2025 N 713/пр

МИНИСТЕРСТВО СТРОИТЕЛЬСТВА И ЖИЛИЩНО-КОММУНАЛЬНОГО

ХОЗЯЙСТВА РОССИЙСКОЙ ФЕДЕРАЦИИ

ПРИКАЗ

от 14 ноября 2025 г. N 713/пр

ОБ УТВЕРЖДЕНИИ МЕТОДИКИ

РАСЧЕТА ПОКАЗАТЕЛЯ "ИНДЕКС УСТОЙЧИВОГО

ЭНЕРГОСБЕРЕЖЕНИЯ В СТРОИТЕЛЬСТВЕ"

В соответствии с пунктом 16 Положения об организации проектной деятельности в Правительстве Российской Федерации, утвержденного постановлением Правительства Российской Федерации от 31 октября 2018 г. N 1288, пунктом 20 временного порядка управления и мониторинга Единого плана по достижению национальных целей развития Российской Федерации на период до 2030 года и на перспективу до 2036 года, утвержденного Заместителем Председателя Правительства Российской Федерации - руководителем Аппарата Правительства Российской Федерации Д.Ю. Григоренко от 25 июня 2025 г. N ДГ-П6-23252 приказываю:

1. Утвердить прилагаемую методику расчета показателя "Индекс устойчивого энергосбережения в строительстве" федерального проекта "Новый ритм строительства" национального проекта "Инфраструктура для жизни".

2. Признать утратившим силу приказ Министерства строительства и жилищно-коммунального хозяйства Российской Федерации от 11 июня 2025 г. N 352/пр "Об утверждении методики расчета показателя "Индекс устойчивого энергосбережения в строительстве" федерального проекта "Новый ритм строительства" национального проекта "Инфраструктура для жизни".

Министр

И.Э.ФАЙЗУЛЛИН

Утверждена

приказом Министерства строительства

и жилищно-коммунального хозяйства

Российской Федерации

от 14 ноября 2025 г. N 713/пр

МЕТОДИКА

РАСЧЕТА ПОКАЗАТЕЛЯ "ИНДЕКС УСТОЙЧИВОГО

ЭНЕРГОСБЕРЕЖЕНИЯ В СТРОИТЕЛЬСТВЕ"

1. Настоящая Методика разработана в соответствии с постановлением Правительства Российской Федерации от 31 октября 2018 г. N 1288 "Об организации проектной деятельности в Правительстве Российской Федерации", национальным стандартом Российской Федерации ГОСТ Р 71136-2023 "Национальные цели развития, национальные проекты (программы) и государственные программы Российской Федерации. Методики расчета показателей. Общие положения и требования к применяемым при расчетах данным", утвержденным приказом Федерального агентства по техническому регулированию и метрологии от 6 декабря 2023 г. N 1521-ст.

2. Настоящая Методика применяется для расчета показателя "Индекс устойчивого энергосбережения" (код показателя П03254-ИА) (далее - показатель) в целях мониторинга достижения национальной цели "Комфортная и безопасная среда для жизни", определенной Указом Президента Российской Федерации "О национальных целях развития Российской Федерации на период до 2030 года и на перспективу до 2036 года" от 7 мая 2024 г. N 309, федерального проекта "Новый ритм строительства" (код федерального проекта - ИА) (далее - федеральный проект) национального проекта "Инфраструктура для жизни" (код национального проекта - И), паспорт которого утвержден протоколом проектного комитета по национальному проекту "Инфраструктура для жизни" от 27 ноября 2024 г. N 1пр.

3. Показатель характеризует прирост доли средних и крупных предприятий в сфере проектирования и строительства, внедривших принципы бережливого строительства, введенных в эксплуатацию объектов капитального строительства (далее - ОКС) высокоэнергоэффективных многоквартирных домов (далее - МКД), а также общественных зданий, согласно Федеральному закону "Об энергосбережении и о повышении энергетической эффективности и о внесении изменений в отдельные законодательные акты Российской Федерации", что соответствует одной из базовых целей технического регулирования в области безопасности зданий и сооружений, которая является достижением и обеспечением их энергетической и ресурсной эффективности.

4. Федеральным органом исполнительной власти, ответственным за формирование и представление информации по показателю является Министерство строительства и жилищно-коммунального хозяйства Российской Федерации.

5. Расчет показателя осуществляется посредством использования государственной информационной системы "Цифровая аналитическая платформа предоставления статистических данных" (далее - информационная система) в соответствии с алгоритмом расчета, приведенным в настоящей Методике, и на основе значений компонентов показателя, представленных в соответствии с настоящей Методикой.

В случае непредставления для расчета показателя в информационную систему значений компонентов показателя в порядке и в сроки, установленные настоящей Методикой, при расчете значения показателя используются данные прошлого периода.

Ответственным за верификацию и внесение информации по расчету показателя в информационную систему является Министерство строительства и жилищно-коммунального хозяйства Российской Федерации. Информация вносится ежемесячно не позднее 11-го рабочего дня месяца, следующего за отчетным месяцем.

6. Срок расчета показателя в информационной системе, представления (распространения) информации по показателю - ежемесячно, не позднее 13-го рабочего дня месяца, следующего за отчетным периодом.

7. Показатель рассчитывается в целом по Российской Федерации нарастающим итогом ежемесячно по состоянию на последнее число отчетного месяца.

8. Тип показателя возрастающий, предельное значение стремится к 100%.

9. Единица измерения показателя - процент, % (код по Общероссийскому классификатору единиц измерения - 744).

10. Показатель "Индекс устойчивого энергосбережения" (N) рассчитывают по формуле:

,

где

ni - прирост долей по следующим показателям:

n1 - прирост доли средних и крупных предприятий в сфере проектирования и строительства, внедривших принципы бережливого строительства в общем количестве средних и крупных предприятий в сфере проектирования и строительства, за отчетный период, процент. Показатель будет учитываться в расчете с 2027 года. Бережливое строительство направлено на повышение производительности труда, как следствие - снижение количества простоев и уменьшение суммарных затрат энергии на выполнение строительно-монтажных работ. Затраты энергии на выполнение строительно-монтажных работ (далее - СМР) являются одной из четырех составляющих общего объема затрат в течение жизненного цикла здания: производство и доставка материалов, выполнение СМР, эксплуатация, утилизация, процент;

n2 - прирост доли введенных в эксплуатацию МКД с классом энергетической эффективности "A" - очень высокий и выше по проектным данным за отчетный период в общем объеме площади жилых МКД за период с января 2024 года (согласно данным Росстата, публикуемым на официальном сайте в сети Интернет, данным, выгружаемым из Единой информационной системы жилищного строительства (далее - ЕИСЖС), процент;

n3 - прирост доли запроектированных общественных зданий (согласно приложению СП 118.13330.2022 "СНиП 31-06-2009 Общественные здания и сооружения", с величиной отклонения расчетного (фактического) значения удельной характеристики расхода тепловой энергии на отопление и вентиляцию здания от нормируемого на - 20% и более в соответствии с СП 50.13330.2024 "СНиП 23-02-2003 Тепловая защита зданий" за отчетный период в общем объеме проектируемых общественных зданий, процент. Показатель будет учитываться в расчете с 2027 года;

j - количество ненулевых показателей прироста долей, единица;

11. Компонент прироста доли n1 рассчитывается по формуле:

,

где

y1k - возрастающий показатель численно равный количеству средних и крупных предприятий в сфере проектирования и строительства, внедривших принципы бережливого строительства, нарастающим итогом с января 2026 г. по состоянию на конец k-го периода, единица;

x1k - возрастающий показатель численно равный общему количеству средних и крупных предприятий в сфере проектирования и строительства на конец k-го периода, единица;

b1 - доля средних и крупных предприятий в сфере проектирования и строительства, внедривших принципы бережливого строительства за период с января 2026 года до конца периода, предшествующего отчетному, и принятая за базовое значение, процент;

k - порядковый номер отчетного периода, соответствующий порядковому номеру месяца текущего года реализации проекта. Для ежемесячного расчета: k = 1 соответствует январю 2027 года, k = 2 соответствует февралю 2027 года и т.д.

12. Компонент b1 рассчитывается по формуле:

,

где

y1k-1 - количество средних и крупных предприятий в сфере проектирования и строительства, внедривших принципы бережливого строительства, нарастающим итогом с января 2026 года по состоянию на конец периода, предшествующего отчетному (k - 1), единица;

x1k-1 - общее количество средних и крупных предприятий в сфере проектирования и строительства по состоянию на конец периода, предшествующего отчетному (k - 1), единица.

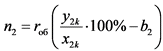
13. Компонент прироста доли n2 рассчитывается по формуле:

,

Где

rоб - константа объективности оценки численно равная 3, отражающая отношение общего количества классов энергетической эффективности от G (очень низкий) до A++ (высочайший), установленных нормативными правовыми актами, численно равного 9, к количеству классов энергетической эффективности от A (очень высокий) до A++ (высочайший), учитываемых показателем y2k, численно равному 3.

y2k - возрастающий показатель численно равный общей площади введенных в эксплуатацию МКД с классом энергетической эффективности "A" - очень высокий и выше по проектным данным с 1 января 2024 г. по состоянию в k-ом периоде, тысяча квадратных метров (согласно данным, выгружаемым из ЕИСЖС);

x2k - возрастающий показатель численно равный общей площади зданий МКД в k-ом периоде, тысяча квадратных метров (согласно данным Росстата, публикуемым на официальном сайте в сети Интернет ежегодно 20 апреля года, следующего за отчетным, в соответствии с п. 1.11.1 Федерального плана статистических работ, утвержденного распоряжением Правительства Российской Федерации от 6 мая 2008 г. N 671-р в текущем периоде - согласно данным, выгружаемым из ЕИСЖС);

k - порядковый номер отчетного периода, соответствующий порядковому номеру месяца текущего года реализации проекта. Для ежемесячного расчета: k = 1 соответствует январю 2024 года, k = 2 соответствует февралю 2024 года, k = p соответствует отчетному месяцу.

b2 - доля МКД с классом энергетической эффективности "A" - очень высокий и выше по проектным данным в общей площади МКД на конец периода, предшествующего отчетному, принятая за базовое значение, процент (согласно данным, выгружаемым из ЕИСЖС);

14. Компонент b2 рассчитывается по формуле:

,

где

y2.2024 - общая площадь введенных в эксплуатацию МКД с классом энергетической эффективности "A" - очень высокий и выше по проектным данным с 1 января 2024 г. по 31 декабря 2024 г., тысяча квадратных метров (согласно данным, выгружаемым из ЕИСЖС);

x2.2024 - общая площадь зданий МКД на 31 декабря 2024 г., тысяча квадратных метров (согласно данным Росстата, опубликованным на официальном сайте в сети Интернет, в соответствии с п. 1.11.1 Федерального плана статистических работ, утвержденного распоряжением Правительства Российской Федерации от 6 мая 2008 г. N 671-р);

15. Компонент прироста доли n3 рассчитывается по формуле:

,

где

y3k - возрастающий показатель численно равный количеству запроектированных общественных зданий со снижением не менее чем на 20% удельной величины расхода энергетических ресурсов по сравнению с базовыми показателями по проектным данным с 1 января 2026 г. о состоянию в k-ом периоде (месяце), единица;

x3k - возрастающий показатель численно равный общему количеству запроектированных общественных зданий по проектным данным с 1 января 2026 г. по состоянию в k-ом периоде (месяце), единица;

b3 - доля запроектированных общественных зданий со снижением не менее чем на 20% удельной характеристики расхода тепловой энергии на отопление и вентиляцию здания по сравнению с базовыми показателями за период с января 2026 года до конца периода, предшествующего отчетному, и принятая за базовое значение, единица.

k - порядковый номер отчетного периода, соответствующий порядковому номеру месяца текущего года реализации проекта. Для ежемесячного расчета: k = 1 соответствует январю 2026 года, k = 2 соответствует февралю 2026 года, k = p соответствует отчетному месяцу.

16. Компонент b3 рассчитывается по формуле:

,

где

y3k-1 - количество запроектированных общественных зданий со снижением не менее чем на 20% удельной величины расхода энергетических ресурсов по сравнению с базовыми показателями по проектным данным за период с января 2026 года до конца периода, предшествующего отчетному, единица;

x3k-1 - общее количество запроектированных общественных зданий по проектным данным за период с января 2026 года до конца периода, предшествующего отчетному, единица;

k - порядковый номер отчетного периода, соответствующий порядковому номеру месяца текущего года реализации проекта. Для ежемесячного расчета: k = 1 соответствует январю 2027 года, k = 2 соответствует февралю 2027 года, k = p - 1 соответствует порядковому номеру месяца, предшествующего отчетному месяцу с порядковым номером p.

Компонент n3 начнет учитываться в расчете в 2027 году после формирования базовых удельных показателей энергосбережения запроектированных общественных зданий.

17. Источники информации.

17.1 Для субкомпонентов y1k, x1k, y1k-1, x1k-1 источником информации являются данные, опубликованные Федеральным центром компетенций в сфере производительности труда на ИТ-платформе "Производительность.рф" в рамках национального проекта "Производительность труда", курируемого Министерством экономического развития Российской Федерации, формируемые, в срок не позднее 5-го числа месяца, следующего за отчетным периодом.

Формирование верифицированных данных по субкомпонентам y1k, x1k, y1k-1, x1k-1 обеспечивается отраслевым центром компетенций бережливого проектирования и строительства, организованного на базе ФАУ "РосКапСтрой", посредством сбора информации о предприятиях, внедривших принципы бережливого производства, опубликованной на ИТ-платформе "Производительность.рф" АНО "Федеральный центр компетенций в сфере производительности труда".

17.2 Для субкомпонентов x2k, x2.2024 источником официальной статистической информации являются данные опубликованные Росстатом на официальном сайте в сети Интернет ежегодно 20 апреля года, следующего за отчетным, в соответствии с п. 1.11.1 Федерального плана статистических работ, утвержденного распоряжением Правительства Российской Федерации от 6 мая 2008 г. N 671-р, субкомпонентов y2k, x2k (в текущем периоде), y2.2024, - данные, выгружаемые из единой информационной системы жилищного строительства, регламентированной Федеральным законом от 30 декабря 2004 г. N 214-ФЗ "Об участии в долевом строительстве многоквартирных домов и иных объектов недвижимости и о внесении изменений в некоторые законодательные акты Российской Федерации", значение субкомпонента rоб численно равно 3, источниками информации являются данные действующих нормативных правовых актов.

Формирование верифицированных данных по субкомпонентам y2k, x2k (в текущем периоде), y2.2024, обеспечивается АО "ДОМ.РФ" посредством ведения ЕИСЖС на основании разрешения на ввод объекта в эксплуатацию выданного в порядке, предусмотренном статьей 55 Градостроительного кодекса Российской Федерации, органом исполнительной власти, уполномоченным на выдачу разрешений на ввод объектов в эксплуатацию, по форме, утвержденной приказом Минстроя России "Об утверждении формы разрешения на строительство и формы разрешения на ввод объекта в эксплуатацию" от 3 июня 2022 г. N 446/пр, в срок не позднее 5-го числа месяца, следующего за отчетным периодом.

17.3 По субкомпонентам y3k, x3k, y3k-1, x3k-1 источником информации являются данные, выгружаемые из Единого государственного реестра заключений экспертизы проектной документации объектов капитального строительства (далее - ЕГРЗ) порядок ведения которого утвержден приказом Минстроя России от 22 февраля 2018 г. N 115-пр "Об утверждении порядка ведения единого государственного реестра заключений экспертизы проектной документации объектов капитального строительства и предоставления содержащихся в нем сведений и документов". Расчет компонента проводится по проектируемым зданиям ввиду наличия статистических данных в ЕГРЗ.

Формирование верифицированных данных по субкомпонентов y3k, x3k, y3k-1, x3k-1, численно равных количеству положительных заключений экспертизы проектной документации, обеспечивается ФАУ "Главгосэкспертиза России" посредством ведения ЕГРЗ в соответствии с приказом Минстроя России от 11 января 2017 г. N 13/пр "Об определении подведомственного государственного учреждения, уполномоченного на ведение единого государственного реестра заключений экспертизы проектной документации объектов капитального строительства", в срок не позднее 5-го числа месяца, следующего за отчетным периодом.

17.4 Ответственным за сбор данных является Минстрой России.

17.5 Уровни агрегирования информации: по Российской Федерации.

17.6 Периодичность предоставления (мониторинга) показателя: ежемесячная, в срок до 11 рабочего дня месяца, следующего за отчетным.

Другие документы по теме
"Об утверждении предмета охраны объекта культурного наследия федерального значения "Колокольня", 1741 - 1770 годы, архитекторы И.Я. Шумахер, И.Ф. Мичурин, Д.В. Ухтомский, И.И. Жуков, входящего в состав объекта культурного наследия федерального значения "Архитектурный ансамбль Троице-Сергиевой Лавры в городе Сергиев Посад", XIV - середина XX века (Московская область, Сергиево-Посадский муниципальный район, городское поселение Сергиев Посад, г. Сергиев Посад)"
"О внесении изменений в Порядок переоформления лицензий на пользование недрами, утвержденный приказом Министерства природных ресурсов и экологии Российской Федерации и Федерального агентства по недропользованию от 14 октября 2021 г. N 751/10" (Зарегистрировано в Минюсте России 14.01.2026 N 84931)
"Об утверждении федерального стандарта спортивной подготовки по виду спорта "триатлон" (Зарегистрировано в Минюсте России 13.01.2026 N 84909)
"Об утверждении Порядка проведения антикоррупционной экспертизы нормативных правовых актов Министерства просвещения Российской Федерации и проектов нормативных правовых актов, разработанных Министерством просвещения Российской Федерации" (Зарегистрировано в Минюсте России 14.01.2026 N 84934)
Ошибка на сайте