Приказ Минкультуры России от 27.02.2025 N 358
МИНИСТЕРСТВО КУЛЬТУРЫ РОССИЙСКОЙ ФЕДЕРАЦИИ
ПРИКАЗ
от 27 февраля 2025 г. N 358
ОБ УТВЕРЖДЕНИИ МЕТОДИК
РАСЧЕТА ПОКАЗАТЕЛЕЙ НАЦИОНАЛЬНОГО ПРОЕКТА "СЕМЬЯ",
ФЕДЕРАЛЬНОГО ПРОЕКТА "СЕМЕЙНЫЕ ЦЕННОСТИ И ИНФРАСТРУКТУРА
КУЛЬТУРЫ (КУЛЬТУРА ДЛЯ СЕМЬИ)"
В соответствии с пунктом 18(2) Положения о системе управления государственными программами Российской Федерации, утвержденного постановлением Правительства Российской Федерации от 26 мая 2021 г. N 786, пунктом 16 Положения об организации проектной деятельности в Правительстве Российской Федерации, утвержденного постановлением Правительства Российской Федерации от 31 октября 2018 г. N 1288, в целях реализации Указа Президента Российской Федерации от 7 мая 2024 г. N 309 "О национальных целях развития Российской Федерации на период до 2030 года и на перспективу до 2036 года" приказываю:
1. Утвердить:
методику расчета показателя национального проекта "Семья" и федерального проекта "Семейные ценности и инфраструктура культуры (Культура для семьи)" "Уровень удовлетворенности граждан работой государственных и муниципальных организаций культуры, искусства и народного творчества" согласно приложению N 1 к настоящему приказу;
методику расчета показателя национального проекта "Семья" и федерального проекта "Семейные ценности и инфраструктура культуры (Культура для семьи)" "Количество созданных центров воспроизведения аудиовизуального контента в малых населенных пунктах (с численностью населения до 50 тыс. человек), оснащенных необходимым оборудованием и подключенных к единой цифровой платформе с библиотекой современных продуктов российской киноиндустрии" согласно приложению N 2 к настоящему приказу;
методику расчета показателя федерального проекта "Семейные ценности и инфраструктура культуры (Культура для семьи)" "Увеличение числа посещений организаций культуры по отношению к 2023 году" согласно приложению N 3 к настоящему приказу.
2. Признать утратившим силу приказ Министерства культуры Российской Федерации от 13 декабря 2024 г. N 2562 "Об утверждении методик расчета показателей национального проекта "Семья", федерального проекта "Семейные ценности и инфраструктура культуры (Культура для семьи)".
Министр
О.Б.ЛЮБИМОВА
Приложение N 1
к приказу Минкультуры России
от 27 февраля 2025 г. N 358
МЕТОДИКА
РАСЧЕТА ПОКАЗАТЕЛЯ "УРОВЕНЬ УДОВЛЕТВОРЕННОСТИ ГРАЖДАН
РАБОТОЙ ГОСУДАРСТВЕННЫХ И МУНИЦИПАЛЬНЫХ ОРГАНИЗАЦИЙ
КУЛЬТУРЫ, ИСКУССТВА И НАРОДНОГО ТВОРЧЕСТВА"
1. Настоящая Методика разработана в соответствии с национальным стандартом Российской Федерации ГОСТ Р 71136-2023 "Национальные цели развития, национальные проекты (программы) и государственные программы Российской Федерации. Методики расчета показателей. Общие положения и требования к применяемым при расчетах данным", утвержденным и введенным в действие приказом Федерального агентства по техническому регулированию и метрологии от 6 декабря 2023 г. N 1521-ст, и Порядком разработки (корректировки) и утверждения методик расчета показателей национальных проектов (программ), государственных программ Российской Федерации и их структурных элементов, утвержденным приказом Минэкономразвития России от 1 июля 2024 г. N 399.
2. Настоящая Методика применяется для расчета показателя "Уровень удовлетворенности граждан работой государственных и муниципальных организаций культуры, искусства и народного творчества" (П03386-Я5) (далее - показатель) в целях мониторинга достижения национальной цели развития Российской Федерации "Реализация потенциала каждого человека, развитие его талантов, воспитание патриотичной и социально ответственной личности", утвержденной Указом Президента Российской Федерации от 7 мая 2024 г. N 309 "О национальных целях развития Российской Федерации на период до 2030 года и на перспективу до 2036 года", показателя национального проекта "Семья" (Я) и федерального проекта "Семейные ценности и инфраструктура культуры (Культура для семьи)" (Я5), входящего в национальный проект "Семья".
3. Показатель характеризует совокупный уровень удовлетворенности получателей услуг в организациях культуры: общедоступных (публичных) библиотеках, культурно-досуговых учреждениях, музеях, театрах, парках культуры и отдыха (городских садах), концертных организациях, самостоятельных коллективах, цирках, цирковых коллективах, зоопарках (зоосадах), детских школах искусств, детских музыкальных школах, детских хоровых школах, детских художественных школах, детских хореографических школах, детских театральных школах, детских цирковых школах, детских школах художественных ремесел.
4. Федеральным органом исполнительной власти, ответственным за формирование и предоставление (распространение) информации по показателю, является Министерство культуры Российской Федерации.
5. Расчет показателя осуществляется посредством использования государственной информационной системы "Цифровая аналитическая платформа предоставления статистических данных" (далее - ГИС ЦАП) в соответствии с аналогом расчета, приведенным в настоящей Методике, и на основе значений компонентов показателя, представленных в соответствии с настоящей Методикой.
В случае непредставления для расчета показателя в ГИС ЦАП значения компонентов показателя в порядке и сроки, установленные настоящей Методикой, при расчете значения показателя используются данные прошлого периода.
6. Показатель рассчитывается по Российской Федерации, по субъектам Российской Федерации, с годовой периодичностью и ежемесячно.
7. Тип показателя - возрастающий. Предельное значение показателя стремится к 100 процентам.
8. Сроки расчета показателя в ГИС ЦАП:
ежемесячно в срок до 8 рабочего дня месяца, следующего за отчетным месяцем;
ежегодно в срок до 8 рабочего дня января года, следующего за отчетным годом.
9. Федеральным органом исполнительной власти, ответственным за расчет показателя в ГИС ЦАП, является Министерство культуры Российской Федерации.
10. Единица измерения годовой и ежемесячной периодичности показателя по Российской Федерации и в разрезе субъектов Российской Федерации - процент (код по Общероссийскому классификатору единиц измерения - 744).
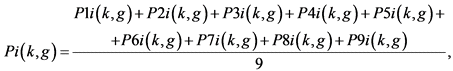
11. Показатель (P) рассчитывают по формуле:

где
P1i(k,g) - текущее значение компонента "Удовлетворенность граждан работой общедоступных (публичных) библиотек" для i-го субъекта Российской Федерации, по результатам k-го социологического опроса, проведенного в g-м периоде, процентов;
P2i(k,g) - текущее значение компонента "Удовлетворенность граждан работой учреждений культурно-досугового типа" для i-го субъекта Российской Федерации, по результатам k-го социологического опроса, проведенного в g-м периоде, процентов;
P3i(k,g) - текущее значение компонента "Удовлетворенность граждан работой музеев" для i-го субъекта Российской Федерации, по результатам k-го социологического опроса, проведенного в g-м периоде, процентов;
P4i(k,g) - текущее значение компонента "Удовлетворенность граждан работой театров" для i-го субъекта Российской Федерации, по результатам k-го социологического опроса, проведенного в g-м периоде, процентов;
P5i(k,g) - текущее значение компонента "Удовлетворенность граждан работой парков культуры и отдыха (городских садов)" для i-го субъекта Российской Федерации, по результатам k-го социологического опроса, проведенного в g-м периоде, процентов;
P6i(k,g) - текущее значение компонента "Удовлетворенность граждан работой концертных организаций, самостоятельных коллективов" для i-го субъекта Российской Федерации, по результатам k-го социологического опроса, проведенного в g-м периоде, процентов;
P7i(k,g) - текущее значение компонента "Удовлетворенность граждан работой цирков, цирковых коллективов" для i-го субъекта Российской Федерации, по результатам k-го социологического опроса, проведенного в g-м периоде, процентов;
P8i(k,g) - текущее значение компонента "Удовлетворенность граждан работой зоопарков (зоосадов)" для i-го субъекта Российской Федерации, по результатам k-го социологического опроса, проведенного в g-м периоде, процентов;
P9i(k,g) - текущее значение компонента "Удовлетворенность граждан работой детских школ искусств, детских музыкальных школ, детских хоровых школ, детских художественных школ, детских хореографических школ, детских театральных школ, детских цирковых школ, детских школ художественных ремесел" для i-го субъекта Российской Федерации, по результатам k-го социологического опроса, проведенного в g-м периоде, процентов.
12. Компонент P1 рассчитывают по формуле:

где
- доля респондентов, выбравших вариант ответа "полностью удовлетворен" на вопрос об удовлетворенности граждан работой общедоступных (публичных) библиотек, среди респондентов, опрошенных в i-м субъекте Российской Федерации, по результатам k-го социологического опроса, проведенного в g-м периоде, процентов;
- доля респондентов, выбравших вариант ответа "скорее удовлетворен" на вопрос об удовлетворенности граждан работой общедоступных (публичных) библиотек, среди респондентов, опрошенных в i-м субъекте Российской Федерации, по результатам k-го социологического опроса, проведенного в g-м году, процентов.
13. Источником информации для компонента P1 при расчете ежемесячного и годового показателя являются административные данные, которые формируются с использованием автоматизированной информационной системы Министерства культуры Российской Федерации "Статистика" ежемесячно в срок до 5 рабочего дня месяца, следующего за отчетным месяцем, ежегодно в срок до 5 рабочего дня января года, следующего за отчетным годом.
14. Компонент P2 рассчитывают по формуле:

где
- доля респондентов, выбравших вариант ответа "полностью удовлетворен" на вопрос об удовлетворенности граждан работой учреждений культурно-досугового типа, среди респондентов, опрошенных в i-м субъекте Российской Федерации, по результатам k-го социологического опроса, проведенного в g-м году, процентов;
- доля респондентов, выбравших вариант ответа "скорее удовлетворен" на вопрос об удовлетворенности граждан работой учреждений культурно-досугового типа, среди респондентов, опрошенных в i-м субъекте Российской Федерации, по результатам k-го социологического опроса, проведенного в g-м году, процентов.
15. Источником информации для компонента P2 при расчете ежемесячного и годового показателя являются административные данные, которые формируются с использованием автоматизированной информационной системы Министерства культуры Российской Федерации "Статистика" ежемесячно в срок до 5 рабочего дня месяца, следующего за отчетным месяцем, ежегодно в срок до 5 рабочего дня января года, следующего за отчетным годом.
16. Компонент P3 рассчитывают по формуле:

где
- доля респондентов, выбравших вариант ответа "полностью удовлетворен" на вопрос об удовлетворенности граждан работой музеев, среди респондентов, опрошенных в i-м субъекте Российской Федерации, по результатам k-го социологического опроса, проведенного в g-м году, процентов;
- доля респондентов, выбравших вариант ответа "скорее удовлетворен" на вопрос об удовлетворенности граждан работой музеев, среди респондентов, опрошенных в i-м субъекте Российской Федерации, по результатам k-го социологического опроса, проведенного в g-м году, процентов.
17. Источником информации для компонента P3 при расчете ежемесячного и годового показателя являются административные данные, которые формируются с использованием автоматизированной информационной системы Министерства культуры Российской Федерации "Статистика" ежемесячно в срок до 5 рабочего дня месяца, следующего за отчетным месяцем, ежегодно в срок до 5 рабочего дня января года, следующего за отчетным годом.
18. Компонент P4 рассчитывают по формуле:

где
- доля респондентов, выбравших вариант ответа "полностью удовлетворен" на вопрос об удовлетворенности граждан работой театров, среди респондентов, опрошенных в i-м субъекте Российской Федерации, по результатам k-го социологического опроса, проведенного в g-м году, процентов;
- доля респондентов, выбравших вариант ответа "скорее удовлетворен" на вопрос об удовлетворенности граждан работой театров, среди респондентов, опрошенных в i-м субъекте Российской Федерации, по результатам k-го социологического опроса, проведенного в g-м году, процентов.
19. Источником информации для компонента P4 при расчете ежемесячного и годового показателя являются административные данные, которые формируются с использованием автоматизированной информационной системы Министерства культуры Российской Федерации "Статистика" ежемесячно в срок до 5 рабочего дня месяца, следующего за отчетным месяцем, ежегодно в срок до 5 рабочего дня января года, следующего за отчетным годом.
20. Компонент P5 рассчитывают по формуле:

где
- доля респондентов, выбравших вариант ответа "полностью удовлетворен" на вопрос об удовлетворенности граждан работой парков культуры и отдыха (городских садов), среди респондентов, опрошенных в i-м субъекте Российской Федерации, по результатам k-го социологического опроса, проведенного в g-м году, процентов;
- доля респондентов, выбравших вариант ответа "скорее удовлетворен" на вопрос об удовлетворенности граждан работой парков культуры и отдыха (городских садов), среди респондентов, опрошенных в i-м субъекте Российской Федерации, по результатам k-го социологического опроса, проведенного в g-м году, процентов.
21. Источником информации для компонента P5 при расчете ежемесячного и годового показателя являются административные данные, которые формируются с использованием автоматизированной информационной системы Министерства культуры Российской Федерации "Статистика" ежемесячно в срок до 5 рабочего дня месяца, следующего за отчетным месяцем, ежегодно в срок до 5 рабочего дня января года, следующего за отчетным годом.
22. Компонент P6 рассчитывают по формуле:

где
- доля респондентов, выбравших вариант ответа "полностью удовлетворен" на вопрос об удовлетворенности граждан работой концертных организаций, самостоятельных коллективов, среди респондентов, опрошенных в i-м субъекте Российской Федерации, по результатам k-го социологического опроса, проведенного в g-м году, процентов;
- доля респондентов, выбравших вариант ответа "скорее удовлетворен" на вопрос об удовлетворенности граждан работой концертных организаций, самостоятельных коллективов, среди респондентов, опрошенных в i-м субъекте Российской Федерации, по результатам k-го социологического опроса, проведенного в g-м году, процентов.
23. Источником информации для компонента P6 при расчете ежемесячного и годового показателя являются административные данные, которые формируются с использованием автоматизированной информационной системы Министерства культуры Российской Федерации "Статистика" ежемесячно в срок до 5 рабочего дня месяца, следующего за отчетным месяцем, ежегодно в срок до 5 рабочего дня января года, следующего за отчетным годом.
24. Компонент P7 рассчитывают по формуле:

где
- доля респондентов, выбравших вариант ответа "полностью удовлетворен" на вопрос об удовлетворенности граждан работой цирков, цирковых коллективов, среди респондентов, опрошенных в i-м субъекте Российской Федерации, по результатам k-го социологического опроса, проведенного в g-м году, процентов;
- доля респондентов, выбравших вариант ответа "скорее удовлетворен" на вопрос об удовлетворенности граждан работой цирков, цирковых коллективов, среди респондентов, опрошенных в i-м субъекте Российской Федерации, по результатам k-го социологического опроса, проведенного в g-м году, процентов.
25. Источником информации для компонента P7 при расчете ежемесячного и годового показателя являются административные данные, которые формируются с использованием автоматизированной информационной системы Министерства культуры Российской Федерации "Статистика" ежемесячно в срок до 5 рабочего дня месяца, следующего за отчетным месяцем, ежегодно в срок до 5 рабочего дня января года, следующего за отчетным годом.
26. Компонент P8 рассчитывают по формуле:

где
- доля респондентов, выбравших вариант ответа "полностью удовлетворен" на вопрос об удовлетворенности граждан работой зоопарков (зоосадов), среди респондентов, опрошенных в i-м субъекте Российской Федерации, по результатам k-го социологического опроса, проведенного в g-м году, процентов;
- доля респондентов, выбравших вариант ответа "скорее удовлетворен" на вопрос об удовлетворенности граждан работой зоопарков (зоосадов), среди респондентов, опрошенных в i-м субъекте Российской Федерации, по результатам k-го социологического опроса, проведенного в g-м году, процентов.
27. Источником информации для компонента P8 при расчете ежемесячного и годового показателя являются административные данные, которые формируются с использованием автоматизированной информационной системы Министерства культуры Российской Федерации "Статистика" ежемесячно в срок до 5 рабочего дня месяца, следующего за отчетным месяцем, ежегодно в срок до 5 рабочего дня января года, следующего за отчетным годом.
28. Компонент P9 рассчитывают по формуле:

где
- доля респондентов, выбравших вариант ответа "полностью удовлетворен" на вопрос об удовлетворенности граждан работой детских школ искусств, детских музыкальных школ, детских хоровых школ, детских художественных школ, детских хореографических школ, детских театральных школ, детских цирковых школ, детских школ художественных ремесел, среди респондентов, опрошенных в i-м субъекте Российской Федерации, по результатам k-го социологического опроса, проведенного в g-м году, процентов;
- доля респондентов, выбравших вариант ответа "скорее удовлетворен" на вопрос об удовлетворенности граждан работой детских школ искусств, детских музыкальных школ, детских хоровых школ, детских художественных школ, детских хореографических школ, детских театральных школ, детских цирковых школ, детских школ художественных ремесел, среди респондентов, опрошенных в i-м субъекте Российской Федерации, по результатам k-го социологического опроса, проведенного в g-м году, процентов.
29. Источником информации для компонента P9 при расчете ежемесячного и годового показателя являются административные данные, которые формируются с использованием автоматизированной информационной системы Министерства культуры Российской Федерации "Статистика" ежемесячно в срок до 5 рабочего дня месяца, следующего за отчетным месяцем, ежегодно в срок до 5 рабочего дня января года, следующего за отчетным годом.
30. Показатель для i-го субъекта Российской Федерации за отчетный год рассчитывают по формуле:

где
Pi(g) - значение показателя, характеризующего удовлетворенность граждан i-го субъекта Российской Федерации работой государственных и муниципальных организаций культуры, искусства и народного творчества по видам деятельности, по результатам социологических опросов, проведенных в g-м году, процентов;
Pi(k,g) - значение показателя, характеризующего удовлетворенность граждан i-го субъекта Российской Федерации работой государственных и муниципальных организаций культуры, искусства и народного творчества по видам деятельности, по результатам k социологических опросов, проведенных в g-м году, процентов;
N(g) - количество социологических опросов в g-м году, единиц.
31. Показатель по Российской Федерации рассчитывают по формуле:

где
PРФ(g) - значение показателя, характеризующего удовлетворенность граждан Российской Федерации работой государственных и муниципальных организаций культуры, искусства и народного творчества по видам деятельности в отчетном (g-м) году, процентов;
Pi(g) - значение показателя, характеризующего удовлетворенность граждан i-го субъекта Российской Федерации работой государственных и муниципальных организаций культуры, искусства и народного творчества по видам деятельности, по результатам социологических опросов, проведенных в отчетном (g-м) году, процентов;
R - общее число субъектов Российской Федерации, единиц;
Wi - доля взрослых граждан i-го субъекта Российской Федерации во взрослом населении Российской Федерации, где
, процентов.
32. Источником информации являются административные данные Министерства культуры Российской Федерации, формируемые на основании результаты социологических опросов, проводимых Министерством культуры Российской Федерации в субъектах Российской Федерации по репрезентативным выборкам с ежемесячной периодичностью. Под результатами социологических опросов понимаются распределения частот ответов респондентов (в процентах от числа опрошенных).
Исходные данные формируются на основе ответа граждан Российской Федерации на вопрос: "Насколько Вы удовлетворены работой библиотек/культурно-досуговых учреждений/музеев/театров/парков культуры и отдыха (городских садов)/концертных организаций/самостоятельных коллективов/цирков/цирковых коллективов/зоопарков (зоосадов)/детских школ искусств, детских музыкальных школ, детских хоровых школ, детских художественных школ, детских хореографических школ, детских театральных школ, детских цирковых школ, детских школ художественных ремесел в Вашем регионе?".
Варианты ответов:
полностью удовлетворен;
скорее удовлетворен;
скорее не удовлетворен;
полностью не удовлетворен;
затрудняюсь ответить.
33. Показатель формируется из компонентов:
удовлетворенность граждан работой общедоступных (публичных) библиотек;
удовлетворенность граждан работой учреждений культурно-досугового типа;
удовлетворенность граждан работой музеев;
удовлетворенность граждан работой театров;
удовлетворенность граждан работой парков культуры и отдыха (городских садов);
удовлетворенность граждан работой концертных организаций, самостоятельных коллективов;
удовлетворенность граждан работой цирков, цирковых коллективов;
удовлетворенность граждан работой зоопарков (зоосадов);
удовлетворенность граждан работой детских школ искусств, детских музыкальных школ, детских хоровых школ, детских художественных школ, детских хореографических школ, детских театральных школ, детских цирковых школ, детских школ художественных ремесел.
34. Верификация достоверности данных осуществляется на основании документов (бланков социологического инструментария) в электронном виде.
Приложение N 2
к приказу Минкультуры России
от 27 февраля 2025 г. N 358
МЕТОДИКА
РАСЧЕТА ПОКАЗАТЕЛЯ "КОЛИЧЕСТВО СОЗДАННЫХ ЦЕНТРОВ
ВОСПРОИЗВЕДЕНИЯ АУДИОВИЗУАЛЬНОГО КОНТЕНТА В МАЛЫХ НАСЕЛЕННЫХ
ПУНКТАХ (С ЧИСЛЕННОСТЬЮ НАСЕЛЕНИЯ ДО 50 ТЫС. ЧЕЛОВЕК),
ОСНАЩЕННЫХ НЕОБХОДИМЫМ ОБОРУДОВАНИЕМ И ПОДКЛЮЧЕННЫХ К ЕДИНОЙ
ЦИФРОВОЙ ПЛАТФОРМЕ С БИБЛИОТЕКОЙ СОВРЕМЕННЫХ ПРОДУКТОВ
РОССИЙСКОЙ КИНОИНДУСТРИИ"
1. Настоящая Методика разработана в соответствии с национальным стандартом Российской Федерации ГОСТ Р 71136-2023 "Национальные цели развития, национальные проекты (программы) и государственные программы Российской Федерации. Методики расчета показателей. Общие положения и требования к применяемым при расчетах данным", утвержденным и введенным в действие приказом Федерального агентства по техническому регулированию и метрологии от 6 декабря 2023 г. N 1521-ст, и Порядком разработки (корректировки) и утверждения методик расчета показателей национальных проектов (программ), государственных программ Российской Федерации и их структурных элементов, утвержденным приказом Минэкономразвития России от 1 июля 2024 г. N 399.
2. Настоящая Методика применяется для расчета показателя "Количество созданных центров воспроизведения аудиовизуального контента в малых населенных пунктах (с численностью населения до 50 тыс. человек), оснащенных необходимым оборудованием и подключенных к единой цифровой платформе с библиотекой современных продуктов российской киноиндустрии" (П03848-Я) (далее - показатель) в целях мониторинга достижения национальной цели развития Российской Федерации "Комфортная и безопасная среда для жизни", утвержденной Указом Президента Российской Федерации от 7 мая 2024 г. N 309 "О национальных целях развития Российской Федерации на период до 2030 года и на перспективу до 2036 года", показателя национального проекта "Семья" (Я) и федерального проекта "Семейные ценности и инфраструктура культуры (Культура для семьи)" (Я5), входящего в национальный проект "Семья".
3. Показатель характеризует достаточность мер, направленных на повышение доступности центров воспроизведения аудиовизуального контента для населения малых населенных пунктов (с численностью населения до 50 тыс. человек).
4. Федеральным органом исполнительной власти, ответственным за формирование и предоставление (распространение) информации по показателю, является Министерство культуры Российской Федерации.
5. Расчет показателя осуществляется посредством использования государственной информационной системы "Цифровая аналитическая платформа предоставления статистических данных" (далее - ГИС ЦАП) в соответствии с алгоритмом расчета, приведенным в настоящей Методике, и на основе значений компонентов показателя, представленных в соответствии с настоящей Методикой.
В случае непредставления для расчета показателя в ГИС ЦАП значения компонентов показателя в порядке и сроки, установленные настоящей Методикой, при расчете значения показателя используются данные прошлого периода.
6. Показатель рассчитывается по Российской Федерации, с годовой периодичностью и ежемесячно нарастающим итогом.
7. Тип показателя - возрастающий. Предельное значение показателя стремится к бесконечности.
8. Сроки расчета показателя в ГИС ЦАП:
ежемесячно в срок до 8 рабочего дня месяца, следующего за отчетным месяцем;
ежегодно в срок до 8 рабочего дня января года, следующего за отчетным годом.
9. Федеральным органом исполнительной власти, ответственным за расчет показателя в ГИС ЦАП, является Министерство культуры Российской Федерации.
10. Единица измерения годовой и ежемесячной периодичности показателя - единица (код по Общероссийскому классификатору единиц измерения - 642).
11. Показатель (K) рассчитывают по формуле:

где
Ki - количество центров воспроизведения аудиовизуального контента в малых населенных пунктах (с численностью населения до 50 тыс. человек) в i-том месяце отчетного года, единиц;
i = 1, ..., N, N - отчетный месяц;
Значение показателя за отчетный год принимается равным значению показателя за декабрь отчетного года (N = 12).
12. Источником информации являются административные данные, формируемые Министерством культуры Российской Федерации по форме мониторинга "Федеральный проект "Семейные ценности и инфраструктура культуры (Культура для семьи)" с использованием автоматизированной информационной системы Министерства культуры Российской Федерации "Статистика" ежемесячно в срок до 5 рабочего дня месяца, следующего за отчетным месяцем, ежегодно в срок до 5 рабочего дня января года, следующего за отчетным годом.
13. Верификация данных осуществляется на основании сведений Министерства культуры Российской Федерации.
Приложение N 3
к приказу Минкультуры России
от 27 февраля 2025 г. N 358
МЕТОДИКА
РАСЧЕТА ПОКАЗАТЕЛЯ "УВЕЛИЧЕНИЕ ЧИСЛА ПОСЕЩЕНИЙ ОРГАНИЗАЦИЙ
КУЛЬТУРЫ ПО ОТНОШЕНИЮ К 2023 ГОДУ"
1. Настоящая Методика разработана в соответствии с национальным стандартом Российской Федерации ГОСТ Р 71136-2023 "Национальные цели развития, национальные проекты (программы) и государственные программы Российской Федерации. Методики расчета показателей. Общие положения и требования к применяемым при расчетах данным", утвержденным и введенным в действие приказом Федерального агентства по техническому регулированию и метрологии от 6 декабря 2023 г. N 1521-ст, Порядком разработки (корректировки) и утверждения методик расчета показателей национальных проектов (программ), государственных программ Российской Федерации и их структурных элементов, утвержденным приказом Минэкономразвития России от 1 июля 2024 г. N 399, пунктом 16 Положения об организации проектной деятельности в Правительстве Российской Федерации, утвержденного постановлением Правительства Российской Федерации от 31 октября 2018 г. N 1288.
2. Настоящая Методика применяется для расчета показателя "Увеличение числа посещений организаций культуры по отношению к 2023 году" (П03283-Я5) (далее - показатель), включенного в перечень показателей федерального проекта "Семейные ценности и инфраструктура культуры (Культура для семьи)" (Я5), входящего в национальный проект "Семья" (Я), утвержденный протоколом заочного голосования членов президиума Совета при Президенте Российской Федерации по стратегическому развитию и национальным проектам от 20 декабря 2024 г. N 12пр.
3. Показатель характеризует достаточность мер, направленных на повышение привлекательности и популярности среди населения Российской Федерации культурных мероприятий, проводимых учреждениями культуры: общедоступными (публичными) библиотеками, культурно-досуговыми учреждениями, музеями, театрами, парками культуры и отдыха (городскими садами), концертными организациями, самостоятельными коллективами, цирками, цирковыми коллективами, зоопарками (зоосадами), кинотеатрами.
4. Субъектом официального статистического учета, ответственным за формирование и предоставление (распространение) информации по показателю, является Министерство культуры Российской Федерации.
5. Расчет показателя осуществляется посредством использования государственной информационной системы "Цифровая аналитическая платформа предоставления статистических данных" (далее - ГИС ЦАП) в соответствии с аналогом расчета, приведенным в настоящей Методике, и на основе значений компонентов показателя, представленных в соответствии с настоящей Методикой.
В случае непредставления для расчета показателя в ГИС ЦАП значения компонентов показателя в порядке и сроки, установленные настоящей Методикой, при расчете значения показателя используются данные прошлого периода.
6. Показатель рассчитывается по Российской Федерации и по субъектам Российской Федерации, с годовой периодичностью и ежемесячно.
7. Тип показателя - возрастающий. Предельное значение показателя стремится к 100%.
8. Сроки предоставления (распространения) информации по показателю:
ежемесячно - не позднее 2 рабочего дня месяца, следующего за отчетным месяцем;
ежегодно - не позднее 2 рабочего дня января года, следующего за отчетным годом.
9. Сроки расчета показателя в ГИС ЦАП:
ежемесячно в срок до 8 рабочего дня месяца, следующего за отчетным месяцем;
ежегодно в срок до 8 рабочего дня января года, следующего за отчетным годом.
10. Федеральным органом исполнительной власти, ответственным за расчет показателя в ГИС ЦАП, является Министерство культуры Российской Федерации.
11. Единица измерения годовой и ежемесячной периодичности показателя по Российской Федерации и в разрезе субъектов Российской Федерации - процент (код по Общероссийскому классификатору единиц измерения - 744).
12. Показатель (KP) рассчитывают по формуле:

где
KPi - количество посещений учреждений культуры (общедоступных (публичных) библиотек, культурно-досуговых учреждений, музеев, театров, парков культуры и отдыха (городских садов), концертных организаций, самостоятельных коллективов, цирков, цирковых коллективов, зоопарков (зоосадов), кинотеатров), обращений к цифровым ресурсам в сфере культуры на конец отчетного периода нарастающим итогом с начала года, единиц;
KPj - количество посещений учреждений культуры (общедоступных (публичных) библиотек, культурно-досуговых учреждений, музеев, театров, парков культуры и отдыха (городских садов), концертных организаций, самостоятельных коллективов, цирков, цирковых коллективов, зоопарков (зоосадов), кинотеатров), обращений к цифровым ресурсам в сфере культуры в базовом периоде, единиц.
Базовым периодом оценки показателя является 2023 год.
13. Источником информации для компонентов KPi и KPj являются административные данные, формируемые организациями и учреждениями, Министерством культуры Российской Федерации и исполнительными органами субъектов Российской Федерации, курирующими деятельность организаций (учреждений), которые проводят культурные мероприятия, по форме межведомственного мониторинга "1-Культура" с использованием автоматизированной информационной системы Минкультуры России "Статистика" ежемесячно в срок до 1 рабочего дня месяца, следующего за отчетным месяцем, ежегодно в срок до 1 рабочего дня января года, следующего за отчетным годом.
14. Верификация данных осуществляется Министерством культуры Российской Федерации на основании отчетов билетно-кассовых систем, бухгалтерии, сведений Министерства культуры Российской Федерации и исполнительных органов субъектов Российской Федерации, курирующих деятельность организаций (учреждений), которые проводят культурные мероприятия.