Приказ ФСТ России от 17.02.2012 N 98-э
ФЕДЕРАЛЬНАЯ СЛУЖБА ПО ТАРИФАМ
ПРИКАЗ
от 17 февраля 2012 г. N 98-э
ОБ УТВЕРЖДЕНИИ МЕТОДИЧЕСКИХ УКАЗАНИЙ
ПО РАСЧЕТУ ТАРИФОВ НА УСЛУГИ ПО ПЕРЕДАЧЕ ЭЛЕКТРИЧЕСКОЙ
ЭНЕРГИИ, УСТАНАВЛИВАЕМЫХ С ПРИМЕНЕНИЕМ МЕТОДА ДОЛГОСРОЧНОЙ
ИНДЕКСАЦИИ НЕОБХОДИМОЙ ВАЛОВОЙ ВЫРУЧКИ
В соответствии с Федеральным законом от 23 ноября 2009 г. N 261-ФЗ "Об энергосбережении и о повышении энергетической эффективности и о внесении изменений в отдельные законодательные акты Российской Федерации" (Собрание законодательства Российской Федерации, 2009, N 48, ст. 5711; 2010, N 19, ст. 2291; N 31, ст. 4160, ст. 4206; 2011, N 29, ст. 4288, ст. 4291; N 30 (часть I), ст. 4590; N 49 (часть V), ст. 7061; N 50, ст. 7344, ст. 7359; N 51, ст. 7447; N 50, ст. 7344; N 50, ст. 7359), Положением о Федеральной службе по тарифам, утвержденным постановлением Правительства Российской Федерации от 30 июня 2004 г. N 332 (Собрание законодательства Российской Федерации, 2004, N 29, ст. 3049; 2006, N 3, ст. 301; N 23, ст. 2522; N 48, ст. 5032; N 50, ст. 5354; 2007, N 16, ст. 1912; N 25, ст. 3039; N 32, ст. 4145; 2008, N 7, ст. 597; N 17, ст. 1897; N 23, ст. 2719; N 38, ст. 4309; N 46, ст. 5337; 2009, N 1, ст. 142; N 3, ст. 378; N 6, ст. 738; N 9, ст. 1119; N 18 (часть II), ст. 2249; N 33, ст. 4086; 2010, N 9, ст. 960; N 13, ст. 1514; N 25, ст. 3169; N 26, ст. 3350; N 30, ст. 4096; N 45, ст. 5851; 2011, N 14, ст. 1935; N 32, ст. 4831; N 42, ст. 5925), постановлением Правительства Российской Федерации от 29 декабря 2011 г. N 1178 "О ценообразовании в области регулируемых цен (тарифов) в электроэнергетике" (Собрание законодательства Российской Федерации, 2012, N 4, ст. 504) приказываю:
1. Утвердить прилагаемые Методические указания по расчету тарифов на услуги по передаче электрической энергии, устанавливаемых с применением метода долгосрочной индексации необходимой валовой выручки.
2. Настоящий приказ вступает в силу в установленном порядке.
Руководитель
Федеральной службы по тарифам
С.НОВИКОВ
Приложение
МЕТОДИЧЕСКИЕ УКАЗАНИЯ
ПО РАСЧЕТУ ТАРИФОВ НА УСЛУГИ ПО ПЕРЕДАЧЕ ЭЛЕКТРИЧЕСКОЙ
ЭНЕРГИИ, УСТАНАВЛИВАЕМЫХ С ПРИМЕНЕНИЕМ МЕТОДА ДОЛГОСРОЧНОЙ
ИНДЕКСАЦИИ НЕОБХОДИМОЙ ВАЛОВОЙ ВЫРУЧКИ
I. Общие положения
1. Настоящие Методические указания по расчету тарифов на услуги по передаче электрической энергии, устанавливаемых с применением метода долгосрочной индексации необходимой валовой выручки (далее - Методические указания), разработаны в соответствии с Федеральным законом от 23 ноября 2009 г. N 261-ФЗ "Об энергосбережении и о повышении энергетической эффективности и о внесении изменений в отдельные законодательные акты Российской Федерации" (Собрание законодательства Российской Федерации, 2009, N 48, ст. 5711; 2010, N 19, ст. 2291; N 31, ст. 4160, ст. 4206; 2011, N 29, ст. 4288, ст. 4291; N 30 (часть I), ст. 4590; N 49 (часть V), ст. 7061; N 50, ст. 7344, ст. 7359; N 51, ст. 7447; N 50, ст. 7344; N 50, ст. 7359), Федеральным законом от 26 марта 2003 г. N 35-ФЗ "Об электроэнергетике" (Собрание законодательства Российской Федерации, 2003, N 13, ст. 1177; 2004, N 35, ст. 3607; 2005, N 1 (часть I), ст. 37; 2006, N 52 (часть I), ст. 5498; 2007, N 45, ст. 5427; 2008, N 29 (часть I), ст. 3418; N 52 (часть I), ст. 6236; 2009, N 48, ст. 5711; 2010, N 11, ст. 1175; N 31, ст. 4156, ст. 4157, ст. 4158, ст. 4160; 2011, N 1, ст. 13; N 7, ст. 905; N 11, ст. 1502; N 23, ст. 3263; N 30 (часть I), ст. 4590, ст. 4596; N 50, ст. 7336; N 50, ст. 7343), Основами ценообразования в области регулируемых цен (тарифов) в электроэнергетике (далее - Основы ценообразования) и Правилами государственного регулирования (пересмотра, применения) цен (тарифов) в электроэнергетике (далее - Правила регулирования), утвержденными постановлением Правительства Российской Федерации от 29 декабря 2011 г. N 1178 (Собрание законодательства Российской Федерации, 2012, N 4, ст. 504).
2. Методические указания предназначены для использования исполнительными органами субъектов Российской Федерации в области государственного регулирования тарифов (далее - регулирующие органы), а также территориальными сетевыми организациями (далее - регулируемые организации) для расчета тарифов на услуги по передаче электрической энергии по сетям, с использованием которых услуги по передаче электрической энергии оказываются территориальными сетевыми организациями, при осуществлении государственного регулирования тарифов на услуги по передаче электрической энергии в форме установления долгосрочных тарифов на основе долгосрочных параметров регулирования деятельности территориальных сетевых организаций, в том числе базового уровня подконтрольных расходов и индекса эффективности подконтрольных расходов, которые определяются в соответствии с пунктом 38 Основ ценообразования и необходимой валовой выручки территориальных сетевых организаций, принимаемой при расчете единых (котловых) тарифов на услуги по передаче электрической энергии на территории субъекта Российской Федерации в отношении данных территориальных сетевых организаций.
3. Понятия, используемые в Методических указаниях, соответствуют определениям, данным в Федеральном законе от 26 марта 2003 г. N 35-ФЗ "Об электроэнергетике" и в Основах ценообразования.
II. Расчет тарифов на услуги по передаче электрической
энергии, устанавливаемых с применением метода долгосрочной
индексации необходимой валовой выручки
4. Расчет тарифов на услуги по передаче электрической энергии, устанавливаемых с применением метода долгосрочной индексации необходимой валовой выручки, осуществляется в соответствии с методическими указаниями по расчету регулируемых тарифов на услуги по передаче электрической энергии по электрическим сетям, принадлежащим на праве собственности или на ином законном основании территориальным сетевым организациям, утверждаемыми в соответствии с пунктом 81 Основ ценообразования, с учетом определенной в соответствии с главами III, IV Методических указаний необходимой валовой выручки (далее - НВВ).
5. Тарифы на услуги по передаче электрической энергии, рассчитываемые с применением Методических указаний (далее - долгосрочные тарифы), устанавливаются на долгосрочный период регулирования (на срок не менее чем пять лет), отдельно на каждый финансовый год в течение этого периода. Тарифы на услуги по передаче электрической энергии, утвержденные на долгосрочный период регулирования, ежегодно корректируются в порядке, предусмотренном Методическими указаниями.
6. Долгосрочные тарифы определяются на основе следующих долгосрочных параметров регулирования, которые в течение долгосрочного периода регулирования не меняются:
1) базовый уровень подконтрольных расходов, устанавливаемый регулирующими органами;
2) индекс эффективности подконтрольных расходов в соответствии с пунктом 38 Основ ценообразования;
3) коэффициент эластичности подконтрольных расходов по количеству активов, определяемый Методическими указаниями;
4) утратил силу. - Приказ ФАС России от 10.12.2025 N 1066/25;
5) уровень потерь электрической энергии при ее передаче по электрическим сетям, определяемый в соответствии с пунктом 40(1) Основ ценообразования;
6) уровень надежности и качества реализуемых товаров (услуг), устанавливаемый в соответствии с Основами ценообразования.
6(1). В отношении территориальных сетевых организаций, указанных в пункте 38(4) Основ ценообразования, подконтрольные расходы определяются с применением эталонов затрат территориальных сетевых организаций в соответствии с порядком, установленным пунктом 38(4) Основ ценообразования (далее - эталон затрат территориальной сетевой организации). При этом для расчета необходимой валовой выручки таких территориальных сетевых организаций на долгосрочный период регулирования не применяются (не устанавливаются) следующие долгосрочные параметры регулирования:
1) базовый уровень подконтрольных расходов, устанавливаемый регулирующими органами;
2) индекс эффективности подконтрольных расходов в соответствии с пунктом 38 Основ ценообразования;
3) коэффициент эластичности подконтрольных расходов по количеству активов, определяемый Методическими указаниями.
7. Перед началом каждого года долгосрочного периода регулирования определяются планируемые значения параметров расчета тарифов:
1) индекс потребительских цен, определенный в соответствии с прогнозом социально-экономического развития Российской Федерации (далее - индекс потребительских цен).
В отсутствие одобренного прогноза социально-экономического развития Российской Федерации на очередной год долгосрочного периода регулирования в целях определения подконтрольных расходов применяются значения параметров прогноза социально-экономического развития Российской Федерации, соответствующие последнему году периода, на который был одобрен указанный прогноз;
2) размер активов, определяемый регулирующими органами;
3) величина неподконтрольных расходов;
4) величина мощности, в пределах которой сетевая организация принимает на себя обязательства обеспечить передачу электрической энергии потребителям услуг в соответствии с Правилами недискриминационного доступа к услугам по передаче электрической энергии и оказания этих услуг, утвержденными постановлением Правительства Российской Федерации от 27 декабря 2004 г. N 861 (Собрание законодательства Российской Федерации, 2004, N 52 (часть II), ст. 5525; 2007, N 14, ст. 1687; N 31, ст. 4100; 2009, N 25, ст. 3073; N 41, ст. 4771; 2010, N 12, ст. 1333; N 21, ст. 2607; N 25, ст. 3175; N 40, ст. 5086; 2011, N 10, ст. 1406; 2012, N 4, ст. 504);
5) величина полезного отпуска электрической энергии потребителям услуг территориальной сетевой организации;
6) цена (тариф) покупки потерь электрической энергии, учитываемая при установлении тарифа на услуги по передаче электрической энергии по электрическим сетям, с использованием которых услуги по передаче электрической энергии оказываются регулируемыми организациями.
8. На основе долгосрочных параметров регулирования и планируемых значений параметров расчета тарифов, определяемых на долгосрочный период регулирования, регулирующие органы рассчитывают необходимую валовую выручку регулируемой организации на каждый год очередного долгосрочного периода регулирования.
При этом при применении метода долгосрочной индексации темп роста одноставочного единого (котлового) тарифа в соответствующем субъекте Российской Федерации на каждый год 1-го долгосрочного периода регулирования не превышает темпа, установленного прогнозом социально-экономического развития Российской Федерации на соответствующий год.
9. В течение долгосрочного периода регулирования регулирующими органами ежегодно производится корректировка необходимой валовой выручки, устанавливаемой на очередной расчетный период регулирования. По решению регулирующего органа такая корректировка может осуществляться с учетом отклонения фактических значений параметров расчета тарифов по итогам истекшего периода текущего года долгосрочного периода регулирования, за который известны фактические значения параметров расчета тарифов, от планировавшихся значений параметров расчета тарифов, а также изменение плановых показателей на следующие периоды.
Для целей корректировки по итогам истекшего периода текущего года долгосрочного периода регулирования фактические значения параметров расчета тарифов за текущий год принимаются равными прогнозным годовым значениям, определяемым регулирующим органом на основании фактических данных за истекший отчетный период текущего года.
Отклонения фактических значений параметров расчета тарифов за год от прогнозных годовых значений, учтенных регулирующим органом на основании фактических данных за истекший отчетный период текущего года, учитываются при корректировке необходимой валовой выручки в следующем году долгосрочного периода регулирования.
Регулирующими органами ежегодно производится корректировка необходимой валовой выручки, устанавливаемой на очередной финансовый год, с учетом отклонения фактических значений параметров расчета тарифов от планировавшихся значений параметров расчета тарифов, корректировки планируемых значений параметров расчета тарифов, а также с учетом:
величины исключаемых необоснованных доходов и расходов, выявленных в том числе по результатам проверки хозяйственной деятельности регулируемой организации, учитываемых экономически обоснованных расходов, не учтенных при установлении регулируемых цен (тарифов) на тот период регулирования, в котором они понесены, или доходов, недополученных при осуществлении регулируемой деятельности в этот период регулирования, в том числе относящихся к предыдущему долгосрочному периоду регулирования, а также величины распределяемых в целях сглаживания изменения тарифов корректировок необходимой валовой выручки и выявленных по результатам проверки хозяйственной деятельности сетевых организаций исключаемых экономически необоснованных доходов и расходов согласно абзацам тринадцатому - пятнадцатому пункта 7 Основ ценообразования;
результатов деятельности регулируемой организации за предыдущие годы до начала долгосрочного периода регулирования с применением метода долгосрочной индексации необходимой валовой выручки или до изменения метода регулирования согласно абзацу второму пункта 39 Основ ценообразования.
Для целей Методических указаний объем фактического финансирования инвестиционной программы учитывается без учета налога на добавленную стоимость.
В случае если инвестиционная программа не была утверждена в соответствии с законодательством Российской Федерации об электроэнергетике на текущий год, при проведении корректировки необходимой валовой выручки по итогам истекшего периода текущего года долгосрочного периода регулирования амортизационные отчисления, учтенные при расчете тарифов на текущий год в качестве источника финансирования проекта инвестиционной программы на основании абзаца седьмого пункта 27(1) Основ ценообразования, подлежат исключению.
10. Результаты деятельности регулируемой организации учитываются при определении ежегодной корректировки необходимой валовой выручки в порядке, определенном пунктами 11, 11(1) - 11(4) Методических указаний.
III. Расчет необходимой валовой выручки на содержание
электрических сетей
11. Необходимая валовая выручка в части содержания электрических сетей на базовый (первый) и i-й год долгосрочного периода регулирования без учета расчетной предпринимательской прибыли сетевой организации ((
тыс.руб)) определяется по формулам:
, (1),
, (2),
где:
i - номер расчетного года периода регулирования, i = 2, 3...;
ПРi - подконтрольные расходы, определяемые в соответствии с пунктом 11(1) Методических указаний или в соответствии с пунктами 11(5) - 11(8) Методических указаний в случае применения эталонов затрат территориальных сетевых организаций и учтенные в году i долгосрочного периода регулирования. В случае пересмотра на год i базового уровня подконтрольных расходов по основаниям, установленным в абзаце восемнадцатом пункта 7, абзаце двадцатом пункта 12 Основ ценообразования, пункте 8 Правил регулирования, а также на основании поручений, содержащихся в актах Президента Российской Федерации, поручений и указаний Президента Российской Федерации, поручений, содержащихся в актах Правительства Российской Федерации и (или) протоколах заседаний Правительства Российской Федерации, поручений Председателя Правительства Российской Федерации, в качестве ПРi принимается базовый уровень подконтрольных расходов с учетом его пересмотра (тыс. руб.);
ПР1 - уровень подконтрольных расходов на первый (базовый) год долгосрочного периода регулирования (базовый уровень подконтрольных расходов) устанавливается регулирующими органами в соответствии с пунктом 12 Методических указаний методом экономически обоснованных расходов (затрат) или уровень подконтрольных расходов на первый год, определенный в соответствии с пунктами 11(5) - 11(8) Методических указаний в случае применения эталонов затрат территориальных сетевых организаций. При установлении базового уровня подконтрольных расходов методом экономически обоснованных расходов (затрат) учитываются результаты анализа обоснованности расходов регулируемой организации, понесенных в долгосрочном периоде регулирования, предшествующем очередному расчетному периоду регулирования, и результаты проведения контрольных мероприятий;
абзацы восьмой - одиннадцатый утратили силу. - Приказ ФАС России от 20.07.2023 N 485/23;
НР1, НРi - неподконтрольные расходы, определяемые методом экономически обоснованных расходов (затрат), соответственно для базового и i-го года долгосрочного периода регулирования, включающие в себя:
- расходы на финансирование капитальных вложений из прибыли (в соответствии с пунктом 32 Основ ценообразования) (тыс. руб.). Указанные расходы с учетом возврата заемных средств, направляемых на финансирование капитальных вложений, не могут превышать 12% от необходимой валовой выручки регулируемой организации, определенной в соответствии с Методическими указаниями без учета расходов на оплату технологического расхода (потерь) электрической энергии, расходов на финансирование капитальных вложений из прибыли и налога на прибыль на капитальные вложения, расходов на оплату услуг по передаче электрической энергии по единой национальной (общероссийской) электрической сети, оказываемых организацией по управлению единой национальной (общероссийской) электрической сетью, расходов на оплату услуг по передаче электрической энергии по сетям территориальных сетевых организаций, возврата заемных средств, направляемых на финансирование капитальных вложений, расходов, связанных с арендой объектов электросетевого хозяйства, используемого для осуществления регулируемой деятельности, в том числе по договорам финансовой аренды (лизинга);
- уплату налогов на прибыль организаций, имущество и иных налогов, расходы на уплату страховых взносов на обязательное пенсионное страхование, на обязательное социальное страхование на случай временной нетрудоспособности и в связи с материнством, обязательное медицинское страхование, взносов на обязательное социальное страхование от несчастных случаев на производстве и профессиональных заболеваний (в соответствии с пунктами 20 и 28 Основ ценообразования) (тыс. руб.);
- амортизацию основных средств и нематериальных активов (в соответствии с пунктом 27(1) Основ ценообразования), в том числе расходы на амортизацию объектов электросетевого хозяйства, права владения и пользования которыми переданы системообразующей территориальной сетевой организации на основании договоров (соглашений), заключенных в соответствии с положениями пунктов 2 и 7 статьи 46(4) Федерального закона от 26 марта 2003 г. N 35-ФЗ "Об электроэнергетике" (тыс. руб.);
- расходы на возврат и обслуживание заемных средств, в том числе направляемых на финансирование капитальных вложений в соответствии с пунктом 32 Основ ценообразования;
- расходы, связанные с компенсацией выпадающих доходов, предусмотренных пунктом 87 Основ ценообразования (тыс. руб.);
- расходы на оплату продукции (услуг) организаций, осуществляющих регулируемые виды деятельности, рассчитанные исходя из размера тарифов, установленных в отношении товаров и услуг указанных организаций (тыс. руб.);
- прочие расходы, учитываемые при установлении тарифов на i-й год долгосрочного периода регулирования, в том числе определяемые в соответствии с пунктом 28 Основ ценообразования расходы на оплату системообразующей территориальной сетевой организацией по договору (соглашению), заключенному в соответствии с положениями пункта 2 статьи 46(4) Федерального закона от 26 марта 2003 г. N 35-ФЗ "Об электроэнергетике" (тыс. руб.);
В1 - результаты деятельности регулируемой организации до перехода к регулированию тарифов на услуги по передаче электрической энергии в форме установления долгосрочных параметров регулирования деятельности такой организации, учитываемые в базовом году долгосрочного периода регулирования в соответствии с пунктами 7 и 32 Основ ценообразования (тыс. руб.). B1 соответствует величине
, определенной для первого года долгосрочного периода регулирования;
Уi - планируемые на период регулирования, соответствующий году i, расходы, признанные регулирующим органом экономически обоснованными, на выполнение предусмотренных пунктом 5 статьи 37 Федерального закона от 26 марта 2003 г. N 35-ФЗ "Об электроэнергетике" обязанностей сетевой организации по обеспечению коммерческого учета электрической энергии (мощности), не относящиеся к капитальным вложениям, определяемые до завершения долгосрочного периода регулирования, на который базовый уровень подконтрольных расходов устанавливался до вступления в силу постановления Правительства Российской Федерации от 7 марта 2020 г. N 246 "О внесении изменений в некоторые акты Правительства Российской Федерации по вопросу установления регулируемых цен (тарифов) в электроэнергетике и признании утратившими силу отдельных положений некоторых актов Правительства Российской Федерации", а также величина расходов, связанных с исполнением Указа Президента Российской Федерации от 30 марта 2022 г. N 166 "О мерах по обеспечению технологической независимости и безопасности критической информационной инфраструктуры Российской Федерации" (далее - Указ) и требований принятых в соответствии с Указом нормативных правовых актов Правительства Российской Федерации, не относящихся к капитальным вложениям и определяемых до завершения долгосрочного периода регулирования, на который базовый уровень подконтрольных расходов устанавливался без учета указанных расходов (тыс. руб.);
,
,
,
,
,
- соответственно экономия подконтрольных расходов, учитываемая на первый год, год i очередного долгосрочного периода регулирования, определяемая в соответствии с пунктом 11(4) Методических указаний, экономия расходов на оплату потерь электрической энергии, полученная сетевой организацией при осуществлении деятельности по передаче электрической энергии в результате проведения мероприятий по сокращению объема используемых энергетических ресурсов, определяемая в соответствии с пунктом 34(2) или 34(3) Основ ценообразования, и доля
,
, которая учитывается в составе необходимой валовой выручки в части содержания электрических сетей, определяемая регулирующим органом в диапазоне от 0 до 1;
Вi - расходы i-го года долгосрочного периода регулирования, связанные с компенсацией незапланированных расходов (со знаком "плюс") или полученного избытка (со знаком "минус"), выявленных в том числе по итогам последнего истекшего года долгосрочного периода регулирования, за который известны фактические значения параметров расчета тарифов, связанных с необходимостью корректировки валовой выручки регулируемых организаций, указанной в пункте 9, а также расходы в соответствии с пунктом 10 Методических указаний (тыс. руб.) и корректировка необходимой валовой выручки в соответствии с пунктом 32 Основ ценообразования.
Величина Вi определяется в соответствии с формулой (3).
КНКi - понижающий (повышающий) коэффициент, корректирующий необходимую валовую выручку сетевой организации с учетом надежности и качества производимых (реализуемых) товаров (услуг) в году i, определяемый в процентах в соответствии с Методическими указаниями по расчету и применению понижающих (повышающих) коэффициентов, позволяющих обеспечить соответствие уровня тарифов, установленных для организаций, осуществляющих регулируемую деятельность, уровню надежности и качества поставляемых товаров и оказываемых услуг, утвержденными приказом ФСТ России от 26 декабря 2010 г. N 254-э/1 (зарегистрирован Минюстом России 13 ноября 2010 г., регистрационный N 18951).
, (3),
где:
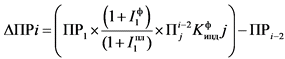
- расходы i-го года долгосрочного периода регулирования, связанные с компенсацией незапланированных расходов (со знаком "плюс") или полученного избытка (со знаком "минус"), выявленных по итогам последнего истекшего года долгосрочного периода регулирования, за который известны фактические значения параметров расчета тарифов, связанных с необходимостью корректировки валовой выручки регулируемых организаций, указанной в пункте 9 Методических указаний, а также расходы в соответствии с пунктом 10 Методических указаний (тыс. руб.). Указанные расходы определяются следующим образом:
(4)
где:
- корректировка подконтрольных расходов в связи с изменением планируемых параметров расчета тарифов, определяемая в соответствии с пунктом 11(4) Методических указаний или в соответствии с пунктами 11(9), 11(10) Методических указаний в случае применения эталонов затрат территориальных сетевых организаций. Не рассчитывается для случаев, если год i - 2 является первым годом долгосрочного периода регулирования или годом, на который пересмотрен базовый уровень подконтрольных расходов, за исключением корректировки подконтрольных расходов, определенных с применением эталонов затрат территориальных сетевых организаций;
- корректировка неподконтрольных расходов исходя из фактических значений указанного параметра. При расчете
не учитываются расходы на оплату стоимости услуг по передаче электрической энергии, оказываемых прочими территориальными сетевыми организациями, определяемые исходя из индивидуальных тарифов для взаиморасчетов между 2 сетевыми организациями, а за периоды регулирования, начиная с 2025 года - исходя из индивидуальных цен (тарифов) на услуги по передаче электрической энергии для расчетов системообразующей территориальной сетевой организации за услуги по передаче электрической энергии, оказываемые территориальной сетевой организацией, индивидуальных цен (тарифов) на услуги по передаче электрической энергии для расчетов между системообразующими территориальными сетевыми организациями. При проведении корректировки неподконтрольных расходов за периоды регулирования до 2025 года используется формула (7), за периоды регулирования начиная с 2025 года используется формула (9.2.1);
- корректировка фактических расходов, признанных регулирующим органом экономически обоснованными в году i-2, на выполнение предусмотренных пунктом 5 статьи 37 Федерального закона от 26 марта 2003 г. N 35-ФЗ "Об электроэнергетике" обязанностей сетевой организации по обеспечению коммерческого учета электрической энергии (мощности), не относящихся к капитальным вложениям, определяемых до завершения долгосрочного периода регулирования, на который базовый уровень подконтрольных расходов устанавливался до вступления в силу постановления Правительства Российской Федерации от 7 марта 2020 г. N 246 "О внесении изменений в некоторые акты Правительства Российской Федерации по вопросу установления регулируемых цен (тарифов) в электроэнергетике и признании утратившими силу отдельных положений некоторых актов Правительства Российской Федерации", а также корректировка фактических расходов, связанных с исполнением Указа и требований принятых в соответствии с Указом нормативных правовых актов Правительства Российской Федерации, не относящихся к капитальным вложениям и определяемых до завершения долгосрочного периода регулирования, на который базовый уровень подконтрольных расходов устанавливался без учета указанных расходов, которая может принимать как положительные, так и отрицательные значения, рассчитываемая по следующей формуле:

где:
Уi-2, Уi-2факт - плановые и фактические расходы (не относящиеся к капитальным вложениям), признанные регулирующим органом экономически обоснованными в году i-2, на выполнение предусмотренных пунктом 5 статьи 37 Федерального закона от 26 марта 2003 г. N 35-ФЗ "Об электроэнергетике" обязанностей сетевой организации по обеспечению коммерческого учета электрической энергии (мощности), а также на исполнение Указа и требований принятых в соответствии с Указом нормативных правовых актов Правительства Российской Федерации;
- корректировка необходимой валовой выручки по доходам от осуществления регулируемой деятельности, определяемая по формуле (7.1);
- корректировка необходимой валовой выручки регулируемой организации с учетом изменения полезного отпуска электрической энергии и цен на электрическую энергию определяемая в соответствии с пунктом 11(2) Методических указаний;
абзацы тридцать девятый - сороковой утратили силу. - Приказ ФАС России от 20.07.2023 N 485/23;
(7),
, (7.1),
где:
,
- соответственно необходимая валовая выручка в части содержания электрических сетей с учетом расчетной предпринимательской прибыли сетевой организации, установленная на год (i-2), необходимая валовая выручка в части оплаты технологического расхода (потерь) электрической энергии, установленная на год (i-2);
- фактический объем выручки за услуги по передаче электрической энергии за год i-2 (с учетом фактически недополученной выручки по зависящим от сетевой организации причинам), определяемый исходя из установленных на год i-2 тарифов на услуги по передаче электрической энергии и фактических объемов оказанных услуг за вычетом расходов на оплату услуг по передаче электрической энергии, оказываемых прочими территориальными сетевыми организациями. Расходы на оплату услуг по передаче электрической энергии, оказываемых прочими территориальными сетевыми организациями, определяются исходя из индивидуальных тарифов для взаиморасчетов между 2 сетевыми организациями, а за периоды регулирования начиная с 2025 года - исходя из индивидуальных цен (тарифов) на услуги по передаче электрической энергии для расчетов системообразующей территориальной сетевой организации за услуги по передаче электрической энергии, оказываемые территориальной сетевой организацией, индивидуальных цен (тарифов) на услуги по передаче электрической энергии для расчетов между системообразующими территориальными сетевыми организациями;
абзацы сорок шестой - пятьдесят третий утратили силу. - Приказ ФАС России от 20.07.2023 N 485/23;
абзац утратил силу. - Приказ ФАС России от 01.09.2020 N 804/20;
,
- фактическая и плановая величины неподконтрольных расходов. Для расчета корректировки неподконтрольных расходов
при определении
,
исключаются величина амортизационных отчислений, указанная в абзаце девятом пункта 11(3) Методических указаний, расходы на финансирование капитальных вложений из прибыли, указанные в абзаце десятом пункта 11(3) Методических указаний, а также расходы, связанные с финансовой арендой имущества (лизинговые платежи), указанные в абзаце одиннадцатом пункта 11(3) Методических указаний. В случае если фактическая величина амортизационных отчислений в году i-2, определенная в соответствии с пунктом 27(1) Основ ценообразования, менее величины амортизационных отчислений, указанной в абзаце девятом пункта 11(3) Методических указаний, то при определении
исключаются фактическая величина амортизационных отчислений в году i-2, расходы на финансирование капитальных вложений из прибыли, указанные в абзаце десятом пункта 11(3) Методических указаний, а также расходы, связанные с финансовой арендой имущества (лизинговые платежи), указанные в абзаце одиннадцатом пункта 11(3) Методических указаний;
абзацы пятьдесят шестой - пятьдесят девятый утратили силу. - Приказ ФАС России от 20.07.2023 N 485/23.
Указанные расходы определяются в том числе с учетом проведения соответствующих контрольных мероприятий.
- корректировка необходимой валовой выручки на i-тый год долгосрочного периода регулирования, осуществляемая в связи с изменением (неисполнением) инвестиционной программы на (i-1)-й год (не применяется при установлении тарифов на услуги по передаче электрической энергии в 2022 и 2023 годах за неисполнение инвестиционной программы в 2022 году (за исключением случаев выявления нарушений, связанных с использованием инвестиционных ресурсов, полученных за счет поступлений от регулируемой деятельности, на цели, не связанные с осуществлением регулируемой деятельности), с последующим учетом такой корректировки на 2025 год). При установлении тарифов на услуги по передаче электрической энергии на 2025 год
рассчитывается исходя из суммарных величин собственных средств для финансирования инвестиционной программы, учтенных при установлении тарифов на 2022 - 2023 годы (
), и фактического финансирования мероприятий инвестиционных программ (
) в 2022 - 2023 годах, утвержденных (скорректированных) в соответствии с законодательством Российской Федерации об электроэнергетике, согласно пункту 1 постановления Правительства Российской Федерации от 29 марта 2022 г. N 507 "Об особенностях государственного регулирования цен (тарифов) в электроэнергетике в 2022 и 2023 годах.
Величина
может принимать как положительные, так и отрицательные значения и определяется в соответствии с пунктом 11(3) Методических указаний.
Абзацы шестьдесят третий - шестьдесят девятый утратили силу. - Приказ ФАС России от 20.11.2024 N 878/24.
Абзацы пятьдесят восьмой - шестьдесят третий утратили силу. - Приказ ФАС России от 24.08.2017 N 1108/17.
Ii, Ii-1 - индекс потребительских цен, определенный соответственно на i, i-1 год;
Абзац утратил силу. - Приказ ФАС России от 20.11.2024 N 878/24.
- учитываемая в году i величина исключаемых необоснованных доходов и расходов, выявленных в том числе по результатам проверки хозяйственной деятельности регулируемой организации, учитываемых экономически обоснованных расходов, не учтенных при установлении регулируемых цен (тарифов) на тот период регулирования, в котором они понесены, или доходов, недополученных при осуществлении регулируемой деятельности в этот период регулирования, величина распределяемых в целях сглаживания изменения тарифов корректировок необходимой валовой выручки и выявленных по результатам проверки хозяйственной деятельности сетевых организаций исключаемых экономически необоснованных доходов и расходов согласно абзацам тринадцатому - пятнадцатому пункта 7 Основ ценообразования, а также результаты деятельности регулируемой организации за предыдущие годы до начала долгосрочного периода регулирования методом долгосрочной индексации необходимой валовой выручки или до изменения метода регулирования согласно абзацу второму пункта 39 Основ ценообразования.
также включает в себя величину распределенных в целях сглаживания изменения тарифов в предыдущие периоды регулирования до 2025 года исключаемых экономически необоснованных доходов и расходов, выявленных в том числе по результатам проверки хозяйственной деятельности регулируемой организации, экономически обоснованных расходов, не учтенных при установлении регулируемых цен (тарифов) на тот период регулирования, в котором они понесены, или доходов, недополученных при осуществлении регулируемой деятельности в этот период регулирования, в том числе относящихся к предыдущему долгосрочному периоду регулирования.
Распределенная величина корректировок необходимой валовой выручки и (или) величина выявленных по результатам проверки хозяйственной деятельности сетевых организаций исключаемых экономически необоснованных доходов и расходов включаются в необходимую валовую выручку территориальной сетевой организации с учетом параметров прогноза социально-экономического развития Российской Федерации в течение периода, который не может быть более 5 лет.
может включать в себя в том числе величину перераспределения необходимой валовой выручки, осуществлявшегося в целях сглаживания роста тарифов при применении метода доходности инвестированного капитала до перехода к регулированию методом долгосрочной индексации необходимой валовой выручки.
может принимать как положительные, так и отрицательные значения.
Абзац утратил силу. - Приказ ФАС России от 10.12.2025 N 1066/25.
Необходимая валовая выручка в части содержания электрических сетей на базовый (первый) и i-й год долгосрочного периода регулирования с учетом расчетной предпринимательской прибыли сетевой организации (
,
тыс. руб.) определяется по формулам:


где:
РПП1, РППi - расчетная предпринимательская прибыль сетевой организации соответственно в базовом и в i-ом году долгосрочного периода регулирования, включаемая в необходимую валовую выручку сетевой организации, в соответствии с пунктом 38 Основ ценообразования (тыс. руб.).
Корректировка неподконтрольных расходов
за периоды регулирования начиная с 2025 года определяется по формуле (9.2.1):
, (9.2.1)
(9.2.2)
где:
,
- фактическая и плановая величины неподконтрольных расходов, которые не включают амортизационные отчисления, расходы, связанные с финансовой арендой имущества (лизинговые платежи), указанные в абзаце одиннадцатом пункта 11(3) Методических указаний, расходы на финансирование капитальных вложений из прибыли, указанные в абзаце десятом пункта 11(3) Методических указаний;
- корректировка величины амортизационных отчислений;
- фактическая величина амортизационных отчислений в году i-2, которая определяется следующим образом:
в отношении территориальной сетевой организации, необходимая валовая выручка которой с учетом расходов на оплату потерь и оплату услуг других территориальных сетевых организаций за 3 последних периода регулирования не превысила 10 процентов суммарной необходимой валовой выручки территориальных сетевых организаций, учтенной при установлении единых (котловых) тарифов на услуги по передаче электрической энергии на соответствующий период регулирования,
определяется в размере амортизационных отчислений, направленных в году i-2 на покрытие экономически обоснованных затрат, предусмотренных абзацами вторым - восьмым пункта 32(4) Основ ценообразования.
не может быть выше величины амортизации, определенной в соответствии с абзацами первым - шестым пункта 27(1) Основ ценообразования на год i-2, в котором понесены указанные экономически обоснованные затраты, без учета объема фактического финансирования инвестиционной программы за счет амортизации (без учета налога на добавленную стоимость);
в отношении территориальной сетевой организации, необходимая валовая выручка которой с учетом расходов на оплату потерь и оплату услуг других территориальных сетевых организаций за 3 последних периода регулирования превысила 10 процентов суммарной необходимой валовой выручки территориальных сетевых организаций, учтенной при установлении единых (котловых) тарифов на услуги по передаче электрической энергии на соответствующий период регулирования,
определяется в соответствии с пунктом 27(1) Основ ценообразования за вычетом величины амортизационных отчислений, указанной в абзаце девятом пункта 11(3) Методических указаний;
- амортизационные отчисления, учтенные при расчете тарифов на год i-2 в соответствии с пунктом 27(1) Основ ценообразования, без учета величины амортизационных отчислений, указанной в абзаце девятом пункта 11(3) Методических указаний.
не может принимать отрицательное значение.
В случае если ранее учтенные в необходимой валовой выручке расходы на амортизацию были компенсированы выручкой от регулируемой деятельности, величина непонесенных расходов в той части, которая при утверждении (корректировке) инвестиционной программы в соответствии с законодательством Российской Федерации об электроэнергетике была определена источником финансирования затрат, предусмотренных абзацами вторым - восьмым пункта 32(4) Основ ценообразования, и не была направлена территориальной сетевой организацией по итогам истекших периодов регулирования (в течение 5 лет) на указанные расходы, исключается из необходимой валовой выручки регулируемой организации при расчете и установлении соответствующих тарифов для этой организации на 5-й календарный год по отношению к году, в котором указанные непонесенные расходы подлежали бы исключению при проведении ежегодной корректировки необходимой валовой выручки. Положения настоящего абзаца применяются к территориальной сетевой организации, необходимая валовая выручка которой с учетом расходов на оплату потерь и оплату услуг других территориальных сетевых организаций за 3 последних периода регулирования превысила 10 процентов суммарной необходимой валовой выручки территориальных сетевых организаций, учтенной при установлении единых (котловых) тарифов на услуги по передаче электрической энергии на соответствующий период регулирования.
В случае если фактическая величина амортизационных отчислений в году i-2, определенная в соответствии с пунктом 27(1) Основ ценообразования, менее величины амортизационных отчислений, указанной в абзаце девятом пункта 11(3) Методических указаний, то для расчета корректировки
.
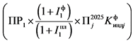
11(1). Подконтрольные расходы, учтенные на год i долгосрочного периода регулирования, а также корректировка подконтрольных расходов в связи с изменением планируемых параметров расчета тарифов определяются по формулам:
, (9.3),
, (9.4),
, (9.5),
где:
j - номер расчетного года долгосрочного периода регулирования, начиная с года, следующего за годом, на который установлен (пересмотрен) базовый уровень подконтрольных расходов;
ПРi - подконтрольные расходы, учтенные соответственно в году i долгосрочного периода регулирования, (тыс. руб.).
ПР1 - уровень подконтрольных расходов на первый (базовый) год долгосрочного периода регулирования (базовый уровень подконтрольных расходов). В случае пересмотра базового уровня подконтрольных расходов по основаниям, установленным в абзаце восемнадцатом пункта 7, абзаце двадцатом пункта 12 Основ ценообразования, пункте 8 Правил регулирования, а также на основании поручений, содержащихся в актах Президента Российской Федерации, поручений и указаний Президента Российской Федерации, поручений, содержащихся в актах Правительства Российской Федерации и (или) протоколах заседаний Правительства Российской Федерации, поручений Председателя Правительства Российской Федерации, в качестве ПР1 принимается базовый уровень подконтрольных расходов с учетом его пересмотра (тыс. руб.);
Киндj - коэффициент индексации на год j;
Xj - индекс эффективности подконтрольных расходов, установленный регулирующими органами в соответствии с пунктом 38 Основ ценообразования;
Ij - прогнозное годовое значение индекса потребительских цен, а при наличии известных фактических значений используется фактическое годовое значение индекса потребительских цен.;
ИКАj - индекс изменения количества активов, рассчитанный в процентах на год j;
Кэл - коэффициент эластичности подконтрольных расходов по количеству активов, необходимых для осуществления регулируемой деятельности, в отношении регулируемых организаций, осуществляющих передачу электрической энергии, равный 0,75;
yej, yej-1 - среднегодовое (среднее за 12 месяцев) количество условных единиц, относящихся к активам и объектам электросетевого хозяйства, планируемым к эксплуатации в соответствующем году долгосрочного периода регулирования. При наличии известных фактических значений используется фактическое среднегодовое (среднее за 12 месяцев) количество условных единиц на соответствующий год долгосрочного периода регулирования, которое определяется с учетом фактического объема активов и объектов электросетевого хозяйства, участвующих в регулируемой деятельности, без учета месяца ввода в эксплуатацию. В отношении территориальных сетевых организаций, необходимая валовая выручка которых с учетом расходов на оплату потерь и оплату услуг других территориальных сетевых организаций за 3 последних периода регулирования превысила 10 процентов суммарной необходимой валовой выручки территориальных сетевых организаций, учтенной при установлении единых (котловых) тарифов на услуги по передаче электрической энергии, дополнительно учитывается среднегодовое (среднее за 12 месяцев) количество условных единиц, относящихся к активам и объектам электросетевого хозяйства, планируемым к вводу в соответствующем году долгосрочного периода регулирования в соответствии с долгосрочной инвестиционной программой, определяемое без учета месяца ввода в эксплуатацию. В случае если год j-1 является первым (базовым) годом долгосрочного периода регулирования или годом, на который осуществлен пересмотр базового уровня подконтрольных расходов, то в качестве показателя yej-1 используется количество условных единиц, учтенных при установлении тарифов на услуги по передаче электрической энергии соответственно на первый (базовый) год или год, на который осуществлен пересмотр базового уровня подконтрольных расходов.
Среднегодовое (среднее за 12 месяцев) количество условных единиц определяется как частное от деления суммы, полученной в результате сложения количества условных единиц на первое число каждого месяца регулируемого периода (финансового года) и последнее число регулируемого периода, на количество месяцев в году, увеличенное на единицу.
Абзацы шестнадцатый - двадцать седьмой утратили силу. - Приказ ФАС России от 20.11.2024 N 878/24.
При определении подконтрольных расходов должны учитываться положения абзацев девятого - четырнадцатого пункта 38 Основ ценообразования.
11(2). Корректировка с учетом изменения полезного отпуска и цен на электрическую энергию рассчитывается по следующей формуле:
, (9.9)
В случае учета в необходимой валовой выручке на год i-2 экономии расходов на оплату потерь электрической энергии в соответствии с пунктом 34(3) Основ ценообразования, корректировка с учетом изменения полезного отпуска и цен на электрическую энергию рассчитывается по следующей формуле:
, (9.10)
где:
,
- соответственно плановый и фактический объемы отпуска электрической энергии в сеть территориальной сетевой организации, определяемые регулирующими органами за год i-2 долгосрочного периода регулирования;
- - уровень потерь электрической энергии при ее передаче по электрическим сетям, установленный регулирующим органом на долгосрочный период регулирования, к которому относится год i-2, в соответствии с пунктом 40(1) Основ ценообразования. В случае пересмотра на год i-2 уровня потерь электрической энергии при ее передаче по электрическим сетям по основаниям, установленным в абзаце восемнадцатом пункта 7, абзацах двадцатом, двадцать первом пункта 12 Основ ценообразования, пункте 8 Правил регулирования, а также на основании поручений, содержащихся в актах Президента Российской Федерации, поручений и указаний Президента Российской Федерации, поручений, содержащихся в актах Правительства Российской Федерации и (или) протоколах заседаний Правительства Российской Федерации, поручений Председателя Правительства Российской Федерации, в качестве
принимается уровень потерь электрической энергии с учетом его пересмотра;
N - максимальное значение уровня потерь электрической энергии при ее передаче по электрическим сетям из значений уровня потерь электрической энергии, являющихся долгосрочными параметрами регулирования, определенными в соответствии с пунктом 40(1) Основ ценообразования для долгосрочного периода регулирования, к которому относится 2019 год, и следующих за ним долгосрочных периодов регулирования, но не ранее долгосрочного периода регулирования, к которому относится год, предшествующий на 10 лет году i, за который определяется экономия. В случае пересмотра уровня потерь электрической энергии при ее передаче по электрическим сетям в соответствии с абзацем двадцать первым пункта 12 Основ ценообразования, при определении величины N используется уровень потерь электрической энергии при ее передаче по электрическим сетям, определенный в соответствии с пунктом 40(1) Основ ценообразования, на наиболее поздний период регулирования, входящий в долгосрочный период регулирования, в котором произошел пересмотр уровня потерь;
ЦПi-2 - прогнозная цена покупки потерь электрической энергии в сетях (с учетом мощности) в году i-2, учтенная при установлении тарифа на услуги по передаче электрической энергии по электрическим сетям, принадлежащим на праве собственности или ином законном основании территориальным сетевым организациям;
- средневзвешенная фактическая цена покупки потерь электрической энергии в сетях (с учетом мощности) в году i-2;
- величина фактических потерь электрической энергии в сетях в году i-2.
В случае перехода к территориальной сетевой организации права собственности или иных предусмотренных законом прав на все объекты электросетевого хозяйства, ранее используемые одной территориальной сетевой организацией для осуществления регулируемой деятельности (при условии, что указанный переход не повлек за собой пересмотр уровня потерь электрической энергии при ее передаче по электрическим сетям в соответствии с абзацем двадцать первым пункта 12 Основ ценообразования), корректировка (ПОi) рассчитывается по формуле (9.10.1):
, (9.10.1)
где:
- корректировка с учетом изменения полезного отпуска и цен на электрическую энергию, определяемая по формуле (9.9) Методических указаний исходя из показателей потерь электрической энергии
и отпуска электрической энергии
в отношении объектов электросетевого хозяйства, принадлежащих территориальной сетевой организации до начала текущего долгосрочного периода регулирования. В случае перехода к территориальной сетевой организации права собственности или иных предусмотренных законом прав на объекты электросетевого хозяйства, указанные в абзаце восемнадцатом настоящего пункта, корректировка
рассчитывается по формуле (9.10.2) Методических указаний;
- корректировка с учетом изменения полезного отпуска и цен на электрическую энергию, определяемая по формуле (9.9) Методических указаний исходя из показателей потерь электрической энергии
и отпуска электрической энергии
в отношении объектов электросетевого хозяйства, ранее используемых одной территориальной сетевой организацией для осуществления регулируемой деятельности, права собственности или иные предусмотренные законом права на которые перешли к территориальной сетевой организации.
При расчете корректировки
в качестве показателя
принимается уровень потерь электрической энергии при ее передаче по электрическим сетям, установленный на год перехода прав в отношении территориальной сетевой организации, все объекты электросетевого хозяйства которой переданы иной территориальной сетевой организации (при отсутствии установленного уровня потерь электрической энергии на год перехода прав используется уровень потерь электрической энергии, установленный на год, предшествующий году перехода прав).
В случае перехода к территориальной сетевой организации права собственности на объекты электросетевого хозяйства, которые ранее принадлежали садоводческому или огородническому некоммерческому товариществу и не учитывались при государственном регулировании цен (тарифов), и (или) перехода к территориальной сетевой организации права собственности или иных предусмотренных законом прав на отдельные объекты электросетевого хозяйства, ранее используемые иной территориальной сетевой организацией для осуществления регулируемой деятельности (при условии, что указанный переход не повлек за собой пересмотр уровня потерь электрической энергии при ее передаче по электрическим сетям в соответствии с абзацем двадцать первым пункта 12 Основ ценообразования), корректировка (ПОi) рассчитывается по формуле (9.10.2):
, (9.10.2)
, (9.10.3)
где:
- уровень потерь электрической энергии, определяемый с учетом величины потерь электрической энергии в объектах электросетевого хозяйства, указанных в абзацах восемнадцатом, девятнадцатом пункта 40(1) Основ ценообразования, права собственности или иные предусмотренные законом права на которые перешли к территориальной сетевой организации;
- уровень потерь электрической энергии при ее передаче по электрическим сетям, установленный в отношении территориальной сетевой организации, к которой перешли права собственности или иные предусмотренные законом права на объекты электросетевого хозяйства;
- величина потерь электрической энергии, учтенная при установлении тарифов на услуги по передаче электрической энергии на год i-2, определяемая в соответствии с абзацами восемнадцатым - двадцать восьмым пункта 40(1) Основ ценообразования.
В случае учета в необходимой валовой выручке территориальной сетевой организации на год i-2 экономии расходов на оплату потерь электрической энергии в соответствии с пунктом 34(3) Основ ценообразования (за исключением случаев, указанных в абзаце тринадцатом пункта 34(3) Основ ценообразования) и перехода к территориальной сетевой организации права собственности или иных предусмотренных законом прав на объекты электросетевого хозяйства, указанные в абзацах семнадцатом - девятнадцатом пункта 40(1) Основ ценообразования (при условии, что указанный переход не повлек за собой пересмотр уровня потерь электрической энергии при ее передаче по электрическим сетям в соответствии с абзацем двадцать первым пункта 12 Основ ценообразования), корректировка (ПОi) рассчитывается по формуле (9.10.4):
, (9.10.4)
В случае учета в необходимой валовой выручке территориальной сетевой организации на год i-2 экономии расходов на оплату потерь электрической энергии в соответствии с абзацами тринадцатым, четырнадцатым пункта 34(3) Основ ценообразования и перехода к территориальной сетевой организации права собственности или иных предусмотренных законом прав на объекты электросетевого хозяйства, указанные в абзацах семнадцатом - девятнадцатом пункта 40(1) Основ ценообразования (при условии, что указанный переход не повлек за собой пересмотр уровня потерь электрической энергии при ее передаче по электрическим сетям в соответствии с абзацем двадцать первым пункта 12 Основ ценообразования), корректировка (ПОi) рассчитывается по формуле (9.10.5):
, (9.10.5)
где:
Nki-2 - максимальное значение уровня потерь электрической энергии при ее передаче по электрическим сетям, определяемое раздельно в отношении объектов электросетевого хозяйства (k), принадлежащих территориальной сетевой организации до перехода к этой организации права собственности или иного предусмотренного законом права на объекты электросетевого хозяйства, ранее используемые иной территориальной сетевой организацией для осуществления регулируемой деятельности, и в отношении всех объектов электросетевого хозяйства, ранее используемых иной территориальной сетевой организацией для осуществления регулируемой деятельности, права собственности или иные предусмотренные законом права на которые в полном объеме перешли к территориальной сетевой организации в долгосрочном периоде регулирования, предшествующем текущему долгосрочному периоду регулирования;
- расчетный уровень потерь электрической энергии, определяемый в соответствии с пунктом 40(1) Основ ценообразования раздельно в отношении объектов электросетевого хозяйства (k), принадлежащих территориальной сетевой организации до перехода к этой организации права собственности или иного предусмотренного законом права на объекты электросетевого хозяйства, ранее используемые иной территориальной сетевой организацией для осуществления регулируемой деятельности, и в отношении всех объектов электросетевого хозяйства, ранее используемых иной территориальной сетевой организацией для осуществления регулируемой деятельности, права собственности или иные предусмотренные законом права на которые в полном объеме перешли к территориальной сетевой организации в долгосрочном периоде регулирования, предшествующем текущему долгосрочному периоду регулирования.
11(3). Корректировка необходимой валовой выручки на i-й год долгосрочного периода регулирования, осуществляемая в связи с изменением (неисполнением) инвестиционной программы, определяется по формуле (9.11):
, (9.11)
где:
,
- объем фактического финансирования инвестиционной программы, представляющей собой совокупность инвестиционных проектов и утвержденной (скорректированной) в соответствии с законодательством Российской Федерации об электроэнергетике на соответствующий год i - 2, i - 1, за счет собственных средств (выручки от реализации товаров (услуг) по регулируемым ценам (тарифам) без учета налога на добавленную стоимость в соответствующем году i - 2, i - 1 долгосрочного периода регулирования (объекты, профинансированные за счет амортизационных отчислений, прибыли на капитальные вложения, лизинговых платежей);
,
- расчетная величина собственных средств регулируемой организации для финансирования инвестиционной программы, учтенная при установлении тарифов соответственно в году i - 2, i - 1, которая не может принимать отрицательные значения и определяется по формуле (9.12):
, (9.12),
j = 1, 2. Корректировка
по итогам истекшего периода текущего года осуществляется по решению регулирующего органа, а также в случае если при расчете тарифов на год i - 1 в качестве источника финансирования проекта инвестиционной программы учтены амортизационные отчисления на основании абзаца седьмого пункта 27(1) Основ ценообразования и при этом инвестиционная программа на год i - 1 не утверждена в соответствии с законодательством Российской Федерации об электроэнергетике.
- учтенная при расчете тарифов на (i-1) год корректировка необходимой валовой выручки на (i-2)-й год долгосрочного периода регулирования, осуществленная в связи с изменением (неисполнением) инвестиционной программы за истекший период (i-2)-го года по результатам 9 месяцев;
Ai-j - амортизационные отчисления, учтенные при расчете тарифов на год (i-j) в качестве источника финансирования инвестиционной программы, утвержденной (скорректированной) в соответствии с законодательством Российской Федерации об электроэнергетике на год (i-j) до его начала, без учета налога на добавленную стоимость;
- расходы на финансирование капитальных вложений из прибыли, учтенные при расчете тарифов на год (i-j) в соответствии с абзацем тринадцатым пункта 11 Методических указаний;
- расходы, связанные с финансовой арендой имущества (лизинговые платежи), используемого для осуществления регулируемой деятельности.
11(4). Корректировка подконтрольных расходов в связи с изменением планируемых параметров расчета тарифов (
) определяется по формуле (9.13):
, (9.13),
где:
j - номер расчетного года долгосрочного периода регулирования, начиная с года, следующего за годом, на который установлен (пересмотрен) базовый уровень подконтрольных расходов;
- фактический индекс потребительских цен в первом (базовом) году долгосрочного периода регулирования;
- индекс потребительских цен, учтенный при расчете базового уровня подконтрольных расходов;
ПР1 - базовый уровень подконтрольных расходов;
- коэффициент индексации подконтрольных расходов, определяемый в соответствии с фактическими значениями индекса потребительских цен и объема условных единиц;
- величина подконтрольных расходов, учтенная при установлении тарифов на год (i-2);
, (9.14),
, (9.15),
где:
,
- фактическое среднегодовое (среднее за 12 месяцев) количество условных единиц, относящихся к регулируемой организации соответственно в году j и году (j-1) долгосрочного периода регулирования, которое определяется с учетом фактического количества активов и объектов электросетевого хозяйства, участвующих в регулируемой деятельности, без учета месяца ввода в эксплуатацию, в том числе в соответствии с долгосрочной инвестиционной программой.
В случае если год (j-1) является первым (базовым) годом долгосрочного периода регулирования или годом, на который осуществлен пересмотр базового уровня подконтрольных расходов, то в качестве показателя
используется количество условных единиц, учтенных при установлении тарифов на услуги по передаче электрической энергии соответственно на первый (базовый) год или год, на который осуществлен пересмотр базового уровня подконтрольных расходов;
- фактические значения индекса потребительских цен в году j;
- фактический индекс изменения количества активов в году j в процентах.
Экономия подконтрольных расходов, достигнутая организацией, осуществляющей регулируемую деятельность, в каждом году j долгосрочного периода регулирования, в том числе в результате проведения мероприятий по сокращению объема используемых энергетических ресурсов, учитывается при установлении необходимой валовой выручки на очередной долгосрочный период регулирования в течение 5 лет и определяется по формулам (9.16) - (9.18):
для первого года очередного долгосрочного периода регулирования:
, (9.16),
где:
j - год, относящийся к предыдущему долгосрочному периоду регулирования, в котором была достигнута экономия подконтрольных расходов;
n - последний год предыдущего долгосрочного периода регулирования;
ЭПРj - экономия подконтрольных расходов, достигнутая организацией, осуществляющей регулируемую деятельность в году j предыдущего долгосрочного периода регулирования (может принимать только положительные значения);
Il - фактические (плановые) значения индекса потребительских цен в году l;
для второго года очередного долгосрочного периода регулирования:
(9.17.),
для последующих годов очередного долгосрочного периода регулирования:
, (9.18),
где:
i - номер расчетного года очередного долгосрочного периода регулирования, i = 3, 4, 5.
Для территориальных сетевых организаций, в отношении которых при определении величины подконтрольных расходов применяются положения постановления Правительства Российской Федерации от 19 ноября 2024 г. N 1582 "О внесении изменений в постановление Правительства Российской Федерации от 29 декабря 2011 г. N 1178", корректировка подконтрольных расходов определяется по формуле (9.13) Методических указаний при соблюдении условий, указанных в абзацах тридцать втором - тридцать пятом настоящего пункта. Положения настоящего абзаца применяются при проведении корректировки подконтрольных расходов не ранее, чем по результатам деятельности за 2025 год.
При расчете корректировки подконтрольных расходов учитывается величина подконтрольных расходов, которая определяется за год i - 2 с учетом фактического коэффициента индексации подконтрольных расходов
при соблюдении условия непревышения этой величины в расчете на единицу фактического количества активов и объектов электросетевого хозяйства в году i - 2 над аналогичным показателем, рассчитанным для территориальной сетевой организации, которая соответствовала в году i - 2 критериям отнесения территориальной сетевой организации к крупнейшей территориальной сетевой организации в административных границах субъекта Российской Федерации, предусмотренным приложением N 3(1) к Основам ценообразования.
При проведении корректировки подконтрольных расходов по результатам деятельности за 2025 год к величине корректировки, рассчитанной по формуле (9.13) Методических указаний при соблюдении условия абзаца тридцать второго настоящего пункта, дополнительно учитывается 50-процентная разница между:
величиной подконтрольных расходов, определяемой за 2025 год с учетом фактического коэффициента индексации подконтрольных расходов
, величиной подконтрольных расходов, определяемой за 2025 год с учетом фактического коэффициента индексации подконтрольных расходов
при соблюдении условия непревышения этой величины в расчете на единицу фактического количества активов и объектов электросетевого хозяйства в 2025 году над аналогичным показателем, рассчитанным для территориальной сетевой организации, которая соответствовала в 2025 году критериям отнесения территориальной сетевой организации к крупнейшей территориальной сетевой организации в административных границах субъекта Российской Федерации, предусмотренным приложением N 3(1) к Основам ценообразования.
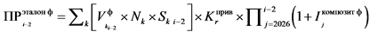
11(5). Для территориальных сетевых организаций, за исключением указанных в пункте 11(6) Методических указаний, подконтрольные расходы, определяемые с применением эталонов затрат территориальных сетевых организаций и учитываемые при установлении тарифов на услуги по передаче электрической энергии
, рассчитываются по формуле (9.19):
, (9.19),
где:
i - период регулирования;
j - год;
k - вид оборудования, к которому относятся объекты электросетевого хозяйства, принадлежащие территориальной сетевой организации на праве собственности или на ином законном основании и применяемые в сфере оказания услуг по передаче электрической энергии, вторичное оборудование, обеспечивающее функционирование и управление первичным (основным) электросетевым оборудованием, непосредственно участвующим в процессе передачи и распределения электрической энергии, а также приборы учета электрической энергии и иное оборудование, которые необходимы для выполнения в соответствии с пунктом 5 статьи 37 Федерального закона от 26 марта 2003 г. N 35-ФЗ "Об электроэнергетике" обязанностей по обеспечению коммерческого учета электрической энергии (мощности), в отношении которого утверждены значения эталонов затрат территориальных сетевых организаций в соответствии с приложением N 8 к Основам ценообразования;
r - субъект Российской Федерации;
Vk i - среднегодовое (среднее за 12 месяцев) количество относящегося к виду k оборудования, планируемого к эксплуатации в соответствующем году i долгосрочного периода регулирования. При наличии известных фактических значений используется фактическое среднегодовое (среднее за 12 месяцев) количество относящегося к виду k оборудования, которое определяется с учетом фактического количества оборудования без учета месяца ввода в эксплуатацию. В отношении территориальных сетевых организаций, необходимая валовая выручка которых с учетом расходов на оплату потерь и оплату услуг других территориальных сетевых организаций за 3 последних периода регулирования превысила 10 процентов суммарной необходимой валовой выручки территориальных сетевых организаций, учтенной при установлении единых (котловых) тарифов на услуги по передаче электрической энергии, дополнительно учитывается среднегодовое (среднее за 12 месяцев) количество относящегося к виду k оборудования, планируемого к вводу в соответствующем году долгосрочного периода регулирования, в том числе в соответствии с долгосрочной инвестиционной программой, определяемое без учета месяца ввода в эксплуатацию.
Среднегодовое (среднее за 12 месяцев) количество относящегося к виду k оборудования определяется как частное от деления суммы, полученной в результате сложения количества относящегося к виду k оборудования на первое число каждого месяца регулируемого периода (финансового года) и последнее число регулируемого периода, на количество месяцев в году, увеличенное на единицу.
Nk - значение эталона затрат территориальных сетевых организаций в отношении относящегося к виду k оборудования, определяемое в соответствии с приложением N 8 к Основам ценообразования;
Sk i - коэффициент учета влияния сроков эксплуатации оборудования, определяемый ежегодно на год i в соответствии с приложением N 11 к Основам ценообразования в отношении каждого относящегося к виду k оборудования в зависимости от срока его эксплуатации;
Rr - региональный коэффициент, определяемый в соответствии с приложением N 9 к Основам ценообразования;
Mr - коэффициент распределения сетей территориальных сетевых организаций, определяемый в соответствии с приложением N 10 к Основам ценообразования.
11(6). Для территориальных сетевых организаций, являющихся единым хозяйствующим субъектом железнодорожного транспорта или дочерним (зависимым) обществом такого субъекта, которое владеет инфраструктурой железнодорожного транспорта общего пользования, или права акционера или собственника имущества которых осуществляют Российская Федерация в лице Министерства обороны Российской Федерации и (или) подведомственные Министерству обороны Российской Федерации организации, подконтрольные расходы, определяемые с применением эталонов затрат территориальных сетевых организаций и учитываемые при установлении тарифов на услуги по передаче электрической энергии
, рассчитываются по формуле (9.20):
, (9.20),
где:
- коэффициент приведения эталонов затрат, определяемый в соответствии с приложением N 12 к Основам ценообразования.
11(7). Для территориальных сетевых организаций, указанных в пунктах 11(5), 11(6) Методических указаний, величина подконтрольных расходов, учитываемая в тарифах на услуги по передаче электрической энергии на 2026, 2027 годы (
,
), определяется соответственно по формулам (9.21), (9.22):
, (9.21),
, (9.22),
где:
,
- подконтрольные расходы, определенные соответственно на 2026, 2027 годы с применением эталонов затрат территориальных сетевых организаций в соответствии с формулами (9.19) или (9.20) Методических указаний;
ПР2026, ПР2027 - подконтрольные расходы, определенные соответственно на 2026, 2027 годы:
- с применением метода экономически обоснованных расходов (затрат) в случае если 2026 год или 2027 год является первым годом долгосрочного периода регулирования территориальной сетевой организации;
- с применением метода экономически обоснованных расходов (затрат) на 2026 год с учетом индексации на индекс потребительских цен в соответствии с параметрами прогноза социально-экономического развития Российской Федерации и индекс изменения количества активов (без учета коэффициента эластичности подконтрольных расходов) в случае если 2027 год является вторым годом долгосрочного периода регулирования территориальной сетевой организации;
- учтенных при установлении тарифов на услуги по передаче электрической энергии на 2025 год подконтрольных расходов, проиндексированных на индексы потребительских цен в соответствии с параметрами прогноза социально-экономического развития Российской Федерации и индексы изменения количества активов (без учета коэффициента эластичности подконтрольных расходов) в случае если 2026 год и 2027 год являются очередными годами долгосрочного периода регулирования территориальной сетевой организации.
При определении подконтрольных расходов в соответствии с абзацами седьмым - девятым настоящего пункта должно соблюдаться условие непревышения удельной величины подконтрольных расходов территориальной сетевой организации в расчете на единицу количества активов, необходимых для осуществления регулируемой деятельности, над удельной величиной подконтрольных расходов территориальной сетевой организации, которая соответствует на очередной период регулирования критериям отнесения территориальной сетевой организации к крупнейшей территориальной сетевой организации в административных границах субъекта Российской Федерации, предусмотренным приложением N 3(1) к Основам ценообразования, в расчете на единицу количества активов, необходимых для осуществления регулируемой деятельности в очередном периоде регулирования.
11(8). При определении подконтрольных расходов по формулам (9.19), (9.24) Методических указаний в отношении территориальных сетевых организаций, у которых более 80 процентов количества условных единиц, относящихся к объектам электросетевого хозяйства, участвующих в регулируемой деятельности, расположено на территориях городских населенных пунктов в соответствии с данными первичного бухгалтерского учета, к значениям эталонов затрат территориальных сетевых организаций дополнительно применяется понижающий коэффициент 0,9 (за исключением территориальных сетевых организаций, осуществляющих регулируемую деятельность на территориях городов федерального значения).
При определении подконтрольных расходов по формулам (9.19), (9.24) Методических указаний в отношении территориальных сетевых организаций, оказывающих услуги по передаче электрической энергии на территории субъекта Российской Федерации, часть территории которого отнесена к районам Крайнего Севера и местностям, приравненным к районам Крайнего Севера, и на указанной части территории субъекта Российской Федерации расположено более 80 процентов общего количества условных единиц, относящихся к активам и объектам электросетевого хозяйства территориальной сетевой организации, участвующих в регулируемой деятельности, учитывается коэффициент 1,7, соответствующий уровню оплаты труда в районах Крайнего Севера и приравненных к ним местностях. Положения настоящего абзаца не применяются в случае отнесения всей территории субъекта Российской Федерации к районам Крайнего Севера и местностям, приравненным к районам Крайнего Севера.
11(9). Для территориальных сетевых организаций, указанных в пунктах 11(5), 11(6) Методических указаний, корректировка подконтрольных расходов, определяемых с применением эталонов затрат территориальных сетевых организаций, в связи с изменением планируемых параметров расчета тарифов
рассчитывается по формуле (9.23):
, (9.23),
где:
- подконтрольные расходы, определенные исходя из фактического количества относящегося к виду k оборудования в году i - 2, тыс. руб.;
- Подконтрольные расходы, учтенные при установлении тарифов на услуги по передаче электрической энергии на год i - 2, тыс. руб.
Для территориальных сетевых организаций, за исключением территориальных сетевых организаций, являющихся единым хозяйствующим субъектом железнодорожного транспорта или дочерним (зависимым) обществом такого субъекта, которое владеет инфраструктурой железнодорожного транспорта общего пользования, или права акционера или собственника имущества которых осуществляют Российская Федерация в лице Министерства обороны Российской Федерации и (или) подведомственные Министерству обороны Российской Федерации организации,
определяются по формуле (9.24):
, (9.24),
где:
- фактическое среднегодовое (среднее за 12 месяцев) количество относящегося к виду k оборудования в году i - 2;
- фактический совокупный композитный индекс.
Для территориальных сетевых организаций, являющихся единым хозяйствующим субъектом железнодорожного транспорта или дочерним (зависимым) обществом такого субъекта, которое владеет инфраструктурой железнодорожного транспорта общего пользования, или права акционера или собственника имущества которых осуществляют Российская Федерация в лице Министерства обороны Российской Федерации и (или) подведомственные Министерству обороны Российской Федерации организации,
определяются по формуле (9.25):
, (9.25).
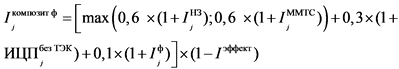
Фактический совокупный композитный индекс
определяется по формуле (9.26):
, (9.26),
где:
- прирост среднемесячной начисленной заработной платы работников организаций, установленный прогнозом социально-экономического развития Российской Федерации на год (j);
- прирост минимальной месячной тарифной ставки рабочих первого разряда промышленно-производственного персонала в году (j) по отношению к году (j - 1) в соответствии с отраслевыми тарифными соглашениями в электроэнергетике Российской Федерации с учетом применения регионального повышающего коэффициента;
- индекс цен производителей, в том числе без продукции топливно-энергетического комплекса (нефть, нефтепродукты, уголь, газ, энергетика), установленный прогнозом социально-экономического развития Российской Федерации на год (j);
Iэффект - индекс эффективности, определяемый в соответствии с пунктом 38(4) Основ ценообразования.
При отсутствии территориальной сетевой организации в реестре организаций, на которых распространяется действие отраслевого тарифного соглашения в электроэнергетике Российской Федерации, величина фактического совокупного композитного индекса
определяется без учета
.
11(10). Для территориальных сетевых организаций, указанных в пунктах 11(5), 11(6) Методических указаний, расчет корректировки подконтрольных расходов, определяемых с применением эталонов затрат территориальных сетевых организаций, по итогам деятельности в 2026 и 2027 годах (
,
) осуществляется по формулам:
, (9.27),
, (9.28),
где:
,
- корректировка подконтрольных расходов, рассчитанная по формуле (9.23) Методических указаний, при этом в качестве величины подконтрольных расходов, учтенных при установлении тарифов на услуги по передаче электрической энергии на год i - 2
, принимается величина подконтрольных расходов, определенных с применением эталонов затрат территориальных сетевых организаций в соответствии с формулой (9.19) или (9.20) Методических указаний;
,
- корректировка подконтрольных расходов, рассчитанная как разность между фактической и плановой величинами подконтрольных расходов, определенными в соответствии с абзацами седьмым - девятым пункта 11(7) Методических указаний при соблюдении условия абзаца десятого пункта 11(7) Методических указаний.
12. При расчете базового уровня подконтрольных расходов, связанных с передачей электрической энергии, в базовом году долгосрочного периода регулирования учитываются следующие статьи затрат:
1) сырье и материалы, определяемые в соответствии с пунктом 24 Основ ценообразования;
2) ремонт основных средств, определяемый на основе пунктом 25 Основ ценообразования;
3) оплата труда, определяемая на основе пункта 26 Основ ценообразования;
4) другие подконтрольные расходы, в том числе расходы по коллективным договорам и другие расходы, осуществляемые из прибыли регулируемой организации.
В состав других подконтрольных расходов не включаются расходы, связанные с компенсацией незапланированных расходов (со знаком "плюс") или полученного избытка (со знаком "минус"), выявленных по итогам последнего истекшего года долгосрочного периода регулирования, за который известны фактические значения параметров расчета тарифов, связанных с отклонением фактических значений параметров расчета тарифов от планировавшихся значений параметров расчета тарифов, а также расходы, учтенные при определении неподконтрольных расходов.
В состав подконтрольных расходов включаются расходы, необходимые для исполнения предусмотренных пунктом 5 статьи 37 Федерального закона от 26 марта 2003 г. N 35-ФЗ "Об электроэнергетике" обязанностей сетевой организации по обеспечению коммерческого учета электрической энергии (мощности), не относящиеся к капитальным вложениям, а также расходы, связанные с исполнением Указа и требований принятых в соответствии с Указом нормативных правовых актов Правительства Российской Федерации, не относящиеся к капитальным вложениям.
Базовый уровень подконтрольных расходов определяется регулирующими органами с учетом абзацев девятого - четырнадцатого пункта 38 Основ ценообразования.
IV. Расчет необходимой валовой выручки на оплату
технологического расхода (потерь) электрической энергии
13. Необходимая валовая выручка в части оплаты технологического расхода (потерь) электрической энергии в i-м году долгосрочного периода регулирования определяется по формуле:
, (11),
абзац утратил силу. - Приказ ФАС России от 31.08.2020 N 801/20,
где:
ЦПi - прогнозная цена (тариф) покупки потерь электрической энергии в сетях (с учетом мощности) в году i, учитываемая при установлении тарифа на услуги по передаче электрической энергии по электрическим сетям, принадлежащим на праве собственности или ином законном основании территориальным сетевым организациям, определяемая в соответствии с пунктом 81 Основ ценообразования;
абзацы шестой - седьмой утратили силу. - Приказ ФАС России от 31.08.2020 N 801/20;
- объем технологического расхода (потерь) электрической энергии в сетях территориальной сетевой организации, определенный на i-й год долгосрочного периода регулирования в соответствии с пунктом 40(1) Основ ценообразования.
- экономия расходов на оплату потерь электрической энергии, полученная сетевой организацией при осуществлении деятельности по передаче электрической энергии в результате проведения мероприятий по сокращению объема используемых энергетических ресурсов, определяемая в соответствии с пунктом 34(2) или 34(3) Основ ценообразования;
di - доля
, которая учитывается в составе необходимой валовой выручки в части содержания электрических сетей, определяемая регулирующим органом в диапазоне от 0 до 1.
14. Необходимая валовая выручка регулируемой организации при расчете тарифов на услуги по передаче электрической энергии по электрическим сетям, с использованием которых услуги по передаче электрической энергии оказываются территориальными сетевыми организациями, определенная в соответствии с методическими указаниями, принимается органами исполнительной власти субъектов Российской Федерации в области государственного регулирования тарифов при определении единых (котловых) тарифов на услуги по передаче электрической энергии, а также индивидуальных тарифов для взаиморасчета между парой регулируемых организаций.