Постановление Правительства РФ от 10.04.2026 N 386
ПРАВИТЕЛЬСТВО РОССИЙСКОЙ ФЕДЕРАЦИИ
ПОСТАНОВЛЕНИЕ
от 10 апреля 2026 г. N 386
ОБ УТВЕРЖДЕНИИ ПРАВИЛ
ПРЕДОСТАВЛЕНИЯ И РАСПРЕДЕЛЕНИЯ В 2026 ГОДУ ИНЫХ МЕЖБЮДЖЕТНЫХ
ТРАНСФЕРТОВ, ИМЕЮЩИХ ЦЕЛЕВОЕ НАЗНАЧЕНИЕ, ИЗ ФЕДЕРАЛЬНОГО
БЮДЖЕТА БЮДЖЕТАМ СУБЪЕКТОВ РОССИЙСКОЙ ФЕДЕРАЦИИ
НА ФИНАНСОВОЕ ОБЕСПЕЧЕНИЕ РЕАЛИЗАЦИИ МЕРОПРИЯТИЙ
ПО ИНФОРМАТИЗАЦИИ ЗДРАВООХРАНЕНИЯ
Правительство Российской Федерации постановляет:
Утвердить прилагаемые Правила предоставления и распределения в 2026 году иных межбюджетных трансфертов, имеющих целевое назначение, из федерального бюджета бюджетам субъектов Российской Федерации на финансовое обеспечение реализации мероприятий по информатизации здравоохранения.
Председатель Правительства
Российской Федерации
М.МИШУСТИН
Утверждены
постановлением Правительства
Российской Федерации
от 10 апреля 2026 г. N 386
ПРАВИЛА
ПРЕДОСТАВЛЕНИЯ И РАСПРЕДЕЛЕНИЯ В 2026 ГОДУ ИНЫХ МЕЖБЮДЖЕТНЫХ
ТРАНСФЕРТОВ, ИМЕЮЩИХ ЦЕЛЕВОЕ НАЗНАЧЕНИЕ, ИЗ ФЕДЕРАЛЬНОГО
БЮДЖЕТА БЮДЖЕТАМ СУБЪЕКТОВ РОССИЙСКОЙ ФЕДЕРАЦИИ
НА ФИНАНСОВОЕ ОБЕСПЕЧЕНИЕ РЕАЛИЗАЦИИ МЕРОПРИЯТИЙ
ПО ИНФОРМАТИЗАЦИИ ЗДРАВООХРАНЕНИЯ
1. Настоящие Правила устанавливают цели, условия и порядок предоставления и распределения в 2026 году иных межбюджетных трансфертов, имеющих целевое назначение, из федерального бюджета бюджетам субъектов Российской Федерации на финансовое обеспечение реализации мероприятий по информатизации здравоохранения в целях обеспечения взаимодействия медицинских информационных систем медицинских организаций государственной и муниципальной систем здравоохранения (далее - информационные системы медицинских организаций) и государственных информационных систем в сфере здравоохранения субъектов Российской Федерации (далее - информационные системы субъектов Российской Федерации) с государственной информационной системой обязательного медицинского страхования (далее - информационная система страхования), единой государственной информационной системой в сфере здравоохранения (далее соответственно - единая информационная система, иной межбюджетный трансферт).
2. Обеспечение взаимодействия информационных систем медицинских организаций и информационных систем субъектов Российской Федерации с информационной системой страхования, единой информационной системой предусматривает выполнение мероприятий, в том числе выполнение работ и оказание услуг по развитию информационных систем медицинских организаций, информационных систем субъектов Российской Федерации, по следующим направлениям:
а) обеспечение информационного взаимодействия информационных систем субъектов Российской Федерации с сервисами информационной системы страхования, в том числе при формировании и ведении персонифицированного учета сведений о застрахованных лицах, сведений о медицинской помощи, оказанной застрахованным лицам, а также в целях информационного сопровождения застрахованных лиц;
б) обеспечение интеграции и информационного взаимодействия информационных систем субъектов Российской Федерации с компонентами и подсистемами единой информационной системы в соответствии с интеграционными профилями;
в) обеспечение предоставления электронных услуг и сервисов гражданам в личном кабинете гражданина в федеральной государственной информационной системе "Единый портал государственных и муниципальных услуг (функций)" (далее - единый портал), а также посредством многофункционального сервиса обмена информацией;
г) обеспечение внедрения электронного медицинского документооборота при оказании первичной медико-санитарной помощи, медицинской помощи в условиях стационара, скорой медицинской помощи, специализированной, в том числе высокотехнологичной, медицинской помощи, санаторно-курортного лечения, в том числе в целях контроля объемов, сроков, качества и условий предоставления медицинской помощи по обязательному медицинскому страхованию застрахованным лицам, а также финансового обеспечения указанной медицинской помощи в электронном виде;
д) обеспечение внедрения программного обеспечения с применением технологий искусственного интеллекта, являющегося медицинским изделием, при оказании медицинской помощи в соответствии с программой государственных гарантий бесплатного оказания гражданам медицинской помощи.
3. Иные межбюджетные трансферты предоставляются бюджетам субъектов Российской Федерации в пределах лимитов бюджетных обязательств, доведенных в установленном порядке до Министерства здравоохранения Российской Федерации как получателя средств федерального бюджета на предоставление иных межбюджетных трансфертов на мероприятия, указанные в пункте 2 настоящих Правил.
4. Критерием отбора субъекта Российской Федерации для предоставления иного межбюджетного трансферта является уровень численности постоянного населения субъекта Российской Федерации за отчетный финансовый год, составляющий не более 11 млн. человек (по данным Федеральной службы государственной статистики).
5. Условиями предоставления иного межбюджетного трансферта являются:
а) соответствие субъекта Российской Федерации критерию, указанному в пункте 4 настоящих Правил;
б) заключение между Министерством здравоохранения Российской Федерации и высшим исполнительным органом субъекта Российской Федерации соглашения о предоставлении иного межбюджетного трансферта с использованием государственной интегрированной информационной системы управления общественными финансами "Электронный бюджет" в соответствии с типовой формой, утвержденной Министерством финансов Российской Федерации (далее - соглашение).
6. Перечисление иных межбюджетных трансфертов осуществляется в установленном порядке на единые счета бюджетов, открытые финансовым органам субъектов Российской Федерации в территориальных органах Федерального казначейства.
7. Размер иного межбюджетного трансферта, предоставляемого бюджету i-го субъекта Российской Федерации (Si), определяется по формуле:

где:
Kri - расчетный коэффициент;
n - количество субъектов Российской Федерации - получателей иных межбюджетных трансфертов, единиц;
Sобщ - общий объем бюджетных ассигнований, предусмотренных в федеральном бюджете на предоставление иных межбюджетных трансфертов в 2026 году.
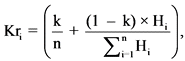
8. Расчетный коэффициент (Kri) определяется по формуле:

где:
k - коэффициент выравнивания, принимающий значение 0,75 в 2026 году;
Hi - численность постоянного населения субъекта Российской Федерации за отчетный финансовый год (по данным Федеральной службы государственной статистики).
9. Остатки неиспользованных бюджетных ассигнований на предоставление иных межбюджетных трансфертов, источником финансового обеспечения которых является иной межбюджетный трансферт за счет средств нормированного страхового запаса, перечисленный в 2026 году Федеральным фондом обязательного медицинского страхования в федеральный бюджет, по состоянию на 15 декабря 2026 г. подлежат возврату в бюджет Федерального фонда обязательного медицинского страхования.
Неиспользованные иные межбюджетные трансферты, предоставленные из федерального бюджета бюджету субъекта Российской Федерации, источником финансового обеспечения которых является иной межбюджетный трансферт за счет средств нормированного страхового запаса, перечисленный в 2026 году Федеральным фондом обязательного медицинского страхования в федеральный бюджет, по состоянию на 1 января 2027 г. подлежат возврату в федеральный бюджет для последующего перечисления в бюджет Федерального фонда обязательного медицинского страхования.
10. Результатом предоставления иного межбюджетного трансферта является выполнение мероприятий, предусмотренных пунктом 2 настоящих Правил, - 100 процентов медицинских организаций государственной и муниципальной систем здравоохранения, в которых внедрены информационные системы медицинских организаций и информационные системы субъектов Российской Федерации, обеспечивающие взаимодействие с информационной системой страхования, единой информационной системой (далее - результат предоставления иного межбюджетного трансферта).
11. Исполнительный орган субъекта Российской Федерации, уполномоченный высшим исполнительным органом субъекта Российской Федерации, размещает в государственной интегрированной информационной системе управления общественными финансами "Электронный бюджет" в порядке, по форме и в сроки, которые установлены соглашением:
а) отчет о расходах бюджета субъекта Российской Федерации, в целях осуществления которых предоставляется иной межбюджетный трансферт;
б) отчет о достижении значения результата предоставления иного межбюджетного трансферта.
12. Оценка эффективности использования иного межбюджетного трансферта по результату предоставления иного межбюджетного трансферта осуществляется Министерством здравоохранения Российской Федерации путем вычисления отношения фактического значения, достигнутого субъектом Российской Федерации в отчетном периоде, к плановому значению, установленному соглашением, в том числе по следующим показателям, установленным соглашением:
а) 100 процентов медицинских организаций государственной и муниципальной систем здравоохранения, участвующих в программе государственных гарантий бесплатного оказания гражданам медицинской помощи, обеспечили взаимодействие с информационной системой страхования, единой информационной системой посредством информационных систем субъектов Российской Федерации;
б) 100 процентов заявлений о прикреплении к медицинской организации государственной и муниципальной систем здравоохранения, поданных на единый портал, по которым гражданами получен финальный статус оказания услуги;
в) 90 процентов заявлений о прикреплении к медицинской организации государственной и муниципальной систем здравоохранения, поданных на единый портал, рассмотрены в 2 дня;
г) не менее 36 процентов граждан воспользовались услугами (сервисами) в личном кабинете гражданина на едином портале;
д) не более 5 процентов технических ошибок информационных систем субъектов Российской Федерации в общем числе попыток записи через сервис записи на прием к врачу на едином портале;
е) не более 10 процентов ошибок при обработке запросов на регистрацию структурированных электронных медицинских документов в подсистеме федерального реестра электронных медицинских документов единой информационной системы;
ж) не менее 35 видов электронных медицинских документов регистрируется в подсистеме федерального реестра электронных медицинских документов единой информационной системы посредством информационных систем субъектов Российской Федерации, доступ к которым обеспечен для использования гражданами в личном кабинете гражданина на едином портале;
з) не менее 95 процентов структурированных электронных медицинских документов, касающихся эпикриза по законченному случаю амбулаторному, результатов профилактического медицинского осмотра (диспансеризации), эпикриза в стационаре выписного и (или) выписного эпикриза из родильного дома, карты вызова скорой медицинской помощи, регистрируется в подсистеме федерального реестра электронных медицинских документов единой информационной системы относительно количества случаев оказания первичной медико-санитарной помощи, количества обращений с профилактической целью (диспансеризация), медицинской помощи в условиях стационара, скорой медицинской помощи в рамках территориальной программы обязательного медицинского страхования;
и) не менее 99 процентов медицинских свидетельств о рождении (смерти), оформленных в медицинских организациях государственной и муниципальной систем здравоохранения в форме электронных медицинских документов, регистрируется в федеральных реестрах медицинских документов о рождении (смерти) единой информационной системы относительно общего количества актов гражданского состояния;
к) не менее 20 процентов исследований компьютерной томографии и магнитно-резонансной томографии регистрируется в единой информационной системе относительно общего количества исследований компьютерной томографии и магнитно-резонансной томографии, проведенных в амбулаторных условиях в рамках территориальной программы обязательного медицинского страхования;
л) не менее 5 медицинских изделий (программного обеспечения с применением технологий искусственного интеллекта, являющегося медицинским изделием) применяется в информационных системах субъектов Российской Федерации.
13. В случае если субъектом Российской Федерации по состоянию на 31 декабря текущего финансового года допущено недостижение значения результата предоставления иного межбюджетного трансферта, в том числе показателей, предусмотренных пунктом 12 настоящих Правил (далее - показатель), размер средств, подлежащих возврату из бюджета субъекта Российской Федерации в федеральный бюджет до 1 июня года, следующего за годом предоставления иного межбюджетного трансферта (Vвозврата), определяется по формуле:

где:
k1 - коэффициент возврата иного межбюджетного трансферта;
m - количество показателей, по которым индекс, отражающий уровень недостижения i-го показателя, установленного соглашением, имеет положительное значение;
r - общее количество показателей.
14. Коэффициент возврата иного межбюджетного трансферта (k1) определяется по формуле:

где Di - индекс, отражающий уровень недостижения i-го показателя.
При расчете коэффициента возврата иного межбюджетного трансферта (k1) используются только положительные значения индекса, отражающего уровень недостижения i-го показателя, установленного соглашением (Di).
15. Индекс, отражающий уровень недостижения i-го показателя, установленного соглашением (Di), определяется по формуле:

где:
Ti - фактически достигнутое значение i-го показателя, установленного соглашением, на отчетную дату;
Pi - плановое значение i-го показателя, установленного соглашением.
16. Основанием для освобождения субъектов Российской Федерации от применения мер ответственности является документально подтвержденное наступление одного из следующих обстоятельств непреодолимой силы, препятствующих исполнению соответствующих обязательств:
а) установление регионального (межмуниципального) и (или) местного уровня реагирования на чрезвычайную ситуацию, подтвержденного правовым актом исполнительного органа субъекта Российской Федерации и (или) органа местного самоуправления;
б) установление карантина и (или) иных ограничений, направленных на предотвращение распространения и ликвидацию очагов заразных и иных болезней животных, подтвержденных правовым актом исполнительного органа субъекта Российской Федерации;
в) аномальные погодные условия, подтвержденные справкой территориального органа Федеральной службы по гидрометеорологии и мониторингу окружающей среды;
г) наличие вступившего в законную силу в году предоставления иного межбюджетного трансферта решения арбитражного суда о признании несостоятельной (банкротом) организации, деятельность которой оказывала влияние на исполнение обязательств, предусмотренных соглашением.
17. В случае нарушения субъектом Российской Федерации целей, установленных при предоставлении иного межбюджетного трансферта, применяются бюджетные меры принуждения, предусмотренные бюджетным законодательством Российской Федерации.
18. Ответственность за достоверность представляемых в Министерство здравоохранения Российской Федерации информации и документов, которые предусмотрены настоящими Правилами, возлагается на высшие исполнительные органы субъектов Российской Федерации.
19. Контроль за соблюдением условий предоставления иных межбюджетных трансфертов осуществляется Министерством здравоохранения Российской Федерации и уполномоченными органами государственного финансового контроля.