Постановление Правительства РФ от 27.12.2024 N 1944
ПРАВИТЕЛЬСТВО РОССИЙСКОЙ ФЕДЕРАЦИИ
ПОСТАНОВЛЕНИЕ
от 27 декабря 2024 г. N 1944
ОБ УТВЕРЖДЕНИИ ПРАВИЛ
РАСПРЕДЕЛЕНИЯ И ПЕРЕРАСПРЕДЕЛЕНИЯ ОБЪЕМОВ
ПРЕДОСТАВЛЕНИЯ СПЕЦИАЛИЗИРОВАННОЙ, В ТОМ ЧИСЛЕ
ВЫСОКОТЕХНОЛОГИЧНОЙ, МЕДИЦИНСКОЙ ПОМОЩИ, ВКЛЮЧЕННОЙ
В БАЗОВУЮ ПРОГРАММУ ОБЯЗАТЕЛЬНОГО МЕДИЦИНСКОГО СТРАХОВАНИЯ,
МЕЖДУ МЕДИЦИНСКИМИ ОРГАНИЗАЦИЯМИ, ФУНКЦИИ И ПОЛНОМОЧИЯ
УЧРЕДИТЕЛЕЙ В ОТНОШЕНИИ КОТОРЫХ ОСУЩЕСТВЛЯЮТ ПРАВИТЕЛЬСТВО
РОССИЙСКОЙ ФЕДЕРАЦИИ ИЛИ ФЕДЕРАЛЬНЫЕ ОРГАНЫ
ИСПОЛНИТЕЛЬНОЙ ВЛАСТИ
В соответствии со статьей 35 Федерального закона "Об обязательном медицинском страховании в Российской Федерации" Правительство Российской Федерации постановляет:
1. Утвердить прилагаемые Правила распределения и перераспределения объемов предоставления специализированной, в том числе высокотехнологичной, медицинской помощи, включенной в базовую программу обязательного медицинского страхования, между медицинскими организациями, функции и полномочия учредителей в отношении которых осуществляют Правительство Российской Федерации или федеральные органы исполнительной власти.
2. Признать утратившими силу:
постановление Правительства Российской Федерации от 18 января 2023 г. N 41 "Об утверждении Правил распределения и перераспределения объемов предоставления специализированной, в том числе высокотехнологичной, медицинской помощи, включенной в базовую программу обязательного медицинского страхования, между медицинскими организациями, функции и полномочия учредителей в отношении которых осуществляют Правительство Российской Федерации или федеральные органы исполнительной власти, и признании утратившими силу некоторых актов Правительства Российской Федерации" (Собрание законодательства Российской Федерации, 2023, N 4, ст. 659);
постановление Правительства Российской Федерации от 1 июня 2024 г. N 757 "О внесении изменений в постановление Правительства Российской Федерации от 18 января 2023 г. N 41" (Собрание законодательства Российской Федерации, 2024, N 24, ст. 3306).
3. Настоящее постановление вступает в силу со дня его официального опубликования.
Председатель Правительства
Российской Федерации
М.МИШУСТИН
Утверждены
постановлением Правительства
Российской Федерации
от 27 декабря 2024 г. N 1944
ПРАВИЛА
РАСПРЕДЕЛЕНИЯ И ПЕРЕРАСПРЕДЕЛЕНИЯ ОБЪЕМОВ
ПРЕДОСТАВЛЕНИЯ СПЕЦИАЛИЗИРОВАННОЙ, В ТОМ ЧИСЛЕ
ВЫСОКОТЕХНОЛОГИЧНОЙ, МЕДИЦИНСКОЙ ПОМОЩИ, ВКЛЮЧЕННОЙ
В БАЗОВУЮ ПРОГРАММУ ОБЯЗАТЕЛЬНОГО МЕДИЦИНСКОГО СТРАХОВАНИЯ,
МЕЖДУ МЕДИЦИНСКИМИ ОРГАНИЗАЦИЯМИ, ФУНКЦИИ И ПОЛНОМОЧИЯ
УЧРЕДИТЕЛЕЙ В ОТНОШЕНИИ КОТОРЫХ ОСУЩЕСТВЛЯЮТ ПРАВИТЕЛЬСТВО
РОССИЙСКОЙ ФЕДЕРАЦИИ ИЛИ ФЕДЕРАЛЬНЫЕ ОРГАНЫ
ИСПОЛНИТЕЛЬНОЙ ВЛАСТИ
1. Настоящие Правила устанавливают порядок распределения и перераспределения объемов предоставления специализированной, в том числе высокотехнологичной, медицинской помощи, включенной в базовую программу обязательного медицинского страхования, оказываемой в стационарных условиях и условиях дневного стационара по перечню заболеваний, состояний (групп заболеваний, состояний), предусмотренному базовой программой обязательного медицинского страхования в соответствии с частью 3.1 статьи 35 Федерального закона "Об обязательном медицинском страховании в Российской Федерации" (далее - объемы предоставления медицинской помощи), между медицинскими организациями, функции и полномочия учредителей в отношении которых осуществляют Правительство Российской Федерации или федеральные органы исполнительной власти (далее - федеральные медицинские организации).
2. Распределение объемов предоставления медицинской помощи и соответствующих им объемов финансового обеспечения между федеральными медицинскими организациями осуществляется на основании заявок на распределение объемов предоставления медицинской помощи, поступивших от федеральных медицинских организаций в соответствии с частью 2.2 статьи 15 Федерального закона "Об обязательном медицинском страховании в Российской Федерации", включенных в единый реестр медицинских организаций, осуществляющих деятельность в сфере обязательного медицинского страхования (далее - распределение объемов предоставления медицинской помощи), утверждается Министерством здравоохранения Российской Федерации по согласованию с Заместителем Председателя Правительства Российской Федерации, в обязанности которого входит координация деятельности Министерства здравоохранения Российской Федерации, по каждой федеральной медицинской организации в пределах средств, предусмотренных в бюджете Федерального фонда обязательного медицинского страхования (далее - Фонд) на финансовое обеспечение специализированной, в том числе высокотехнологичной, медицинской помощи, включенной в базовую программу обязательного медицинского страхования, оказываемой федеральными медицинскими организациями, на соответствующий финансовый год с указанием объемов финансового обеспечения медицинской помощи, соответствующих объемам предоставления медицинской помощи:
специализированной медицинской помощи (за исключением высокотехнологичной медицинской помощи) по группам заболеваний (состояний), предусмотренным базовой программой обязательного медицинского страхования, с коэффициентом относительной затратоемкости менее 2;
специализированной медицинской помощи (за исключением высокотехнологичной медицинской помощи) по группам заболеваний (состояний), предусмотренным базовой программой обязательного медицинского страхования, с коэффициентом относительной затратоемкости, равным 2 и более;
высокотехнологичной медицинской помощи, включенной в базовую программу обязательного медицинского страхования;
высокотехнологичной медицинской помощи с использованием ряда уникальных методов лечения, применяемых при сердечно-сосудистой хирургии и трансплантации органов, раздельно по каждому виду высокотехнологичной медицинской помощи (методу лечения);
высокотехнологичной медицинской помощи с использованием ряда персонифицированных методов лечения раздельно по каждому виду высокотехнологичной медицинской помощи (методу лечения).
3. В срок, не превышающий 5 рабочих дней со дня утверждения Правительством Российской Федерации программы государственных гарантий бесплатного оказания гражданам медицинской помощи на очередной финансовый год и плановый период, Фонд направляет в Министерство здравоохранения Российской Федерации на утверждение предложения, сформированные на основании заявок федеральных медицинских организаций на распределение объемов предоставления медицинской помощи и соответствующих им объемов финансового обеспечения:
специализированной медицинской помощи (за исключением высокотехнологичной медицинской помощи) по группам заболеваний (состояний), предусмотренным базовой программой обязательного медицинского страхования, с коэффициентом относительной затратоемкости менее 2;
специализированной медицинской помощи (за исключением высокотехнологичной медицинской помощи) по группам заболеваний (состояний), предусмотренным базовой программой обязательного медицинского страхования, с коэффициентом относительной затратоемкости, равным 2 и более;
высокотехнологичной медицинской помощи, включенной в базовую программу обязательного медицинского страхования;
высокотехнологичной медицинской помощи с использованием ряда уникальных методов лечения, применяемых при сердечно-сосудистой хирургии и трансплантации органов, раздельно по каждому виду высокотехнологичной медицинской помощи (методу лечения);
высокотехнологичной медицинской помощи с использованием ряда персонифицированных методов лечения раздельно по каждому виду высокотехнологичной медицинской помощи (методу лечения).
4. В случае установления Правительством Российской Федерации в соответствии с частью 2.2 статьи 15 Федерального закона "Об обязательном медицинском страховании в Российской Федерации" сроков подачи заявки на распределение объемов предоставления медицинской помощи для вновь созданных или реорганизованных федеральных медицинских организаций Фонд в срок, не превышающий 10 рабочих дней со дня поступления в Фонд заявки от такой федеральной медицинской организации, направляет в Министерство здравоохранения Российской Федерации на утверждение предложения, сформированные на основании заявки от такой федеральной медицинской организации по распределению объемов предоставления медицинской помощи и соответствующих им объемов финансового обеспечения:
специализированной медицинской помощи (за исключением высокотехнологичной медицинской помощи) по группам заболеваний (состояний), предусмотренным базовой программой обязательного медицинского страхования, с коэффициентом относительной затратоемкости менее 2;
специализированной медицинской помощи (за исключением высокотехнологичной медицинской помощи) по группам заболеваний (состояний), предусмотренным базовой программой обязательного медицинского страхования, с коэффициентом относительной затратоемкости, равным 2 и более;
высокотехнологичной медицинской помощи, включенной в базовую программу обязательного медицинского страхования;
высокотехнологичной медицинской помощи с использованием ряда уникальных методов лечения, применяемых при сердечно-сосудистой хирургии и трансплантации органов, раздельно по каждому виду высокотехнологичной медицинской помощи (методу лечения);
высокотехнологичной медицинской помощи с использованием ряда персонифицированных методов лечения раздельно по каждому виду высокотехнологичной медицинской помощи (методу лечения).
5. Министерство здравоохранения Российской Федерации в срок, не превышающий 5 рабочих дней со дня поступления от Фонда предложений по распределению объемов предоставления медицинской помощи и соответствующих им объемов финансового обеспечения, направляет распределение объемов предоставления медицинской помощи и соответствующих им объемов финансового обеспечения на согласование Заместителю Председателя Правительства Российской Федерации, в обязанности которого входит координация деятельности Министерства здравоохранения Российской Федерации.
6. Распределение объемов предоставления медицинской помощи и соответствующих им объемов финансового обеспечения формируется Министерством здравоохранения Российской Федерации совместно с Фондом с учетом:
а) нормативов объема медицинской помощи и соответствующих им нормативов финансовых затрат на единицу объема медицинской помощи для федеральных медицинских организаций в стационарных условиях и условиях дневного стационара, предусмотренных базовой программой обязательного медицинского страхования на очередной финансовый год, и численности лиц, застрахованных по обязательному медицинскому страхованию;
б) информации федеральных медицинских организаций, содержащейся в заявках на распределение объемов предоставления медицинской помощи и соответствующих им объемов финансового обеспечения;
в) статистической отчетности об объемах и о качестве оказания медицинской помощи федеральными медицинскими организациями в отчетном периоде;
г) фактических объемов оказания федеральными медицинскими организациями медицинской помощи за счет средств обязательного медицинского страхования и иных источников финансирования за год, предшествующий году утверждения объемов предоставления медицинской помощи;
д) внедрения в федеральных медицинских организациях ранее не применявшихся новых методов диагностики и лечения;
е) числа коек в федеральной медицинской организации, на которых планируется оказание специализированной, в том числе высокотехнологичной, медицинской помощи в рамках базовой программы обязательного медицинского страхования в стационарных условиях и условиях дневного стационара (далее - мощность федеральной медицинской организации);
ж) перечня видов высокотехнологичной медицинской помощи, включенных в базовую программу обязательного медицинского страхования, и его изменения;
з) перечня работ (услуг), составляющих медицинскую деятельность, по видам и условиям оказания медицинской помощи, предусмотренных в лицензии на осуществление медицинской деятельности, полученной федеральной медицинской организацией в установленном порядке;
и) изменения мощности федеральной медицинской организации (в том числе с учетом ввода новых мощностей, проведения мероприятий по реконструкции, модернизации зданий, перепрофилированию отделений федеральной медицинской организации).
7. При распределении объемов предоставления специализированной медицинской помощи (за исключением высокотехнологичной медицинской помощи) по группам заболеваний (состояний), предусмотренным базовой программой обязательного медицинского страхования, с коэффициентами относительной затратоемкости менее 2, равными 2 и более, высокотехнологичной медицинской помощи, включенной в базовую программу обязательного медицинского страхования, высокотехнологичной медицинской помощи с использованием ряда уникальных методов лечения, применяемых при сердечно-сосудистой хирургии и трансплантации органов, высокотехнологичной медицинской помощи с использованием ряда персонифицированных методов лечения и соответствующих им объемов финансового обеспечения учитываются объемы предоставления медицинской помощи и соответствующие им объемы финансового обеспечения в экстренной форме:
федеральной медицинской организацией, расположенной на территории закрытого административно-территориального образования или являющейся единственной медицинской организацией в муниципальном образовании, оказывающей специализированную медицинскую помощь, или единственной медицинской организацией, оказывающей высокотехнологичную медицинскую помощь (при получении Фондом подтверждения о расположении федеральной медицинской организации на территории закрытого административно-территориального образования или о том, что она является единственной медицинской организацией в муниципальном образовании, оказывающей специализированную медицинскую помощь, или единственной медицинской организацией, оказывающей высокотехнологичную медицинскую помощь, от исполнительных органов субъектов Российской Федерации в сфере охраны здоровья);
федеральными медицинскими организациями, подведомственными Управлению делами Президента Российской Федерации, Министерству обороны Российской Федерации, Министерству внутренних дел Российской Федерации, Министерству Российской Федерации по делам гражданской обороны, чрезвычайным ситуациям и ликвидации последствий стихийных бедствий, Федеральной таможенной службе;
научными медицинскими организациями и образовательными организациями высшего образования, осуществляющими оказание специализированной, в том числе высокотехнологичной, медицинской помощи по профилям "хирургия", "кардиология", "сердечно-сосудистая хирургия", "травматология и ортопедия", "комбустиология", "неонатология", "акушерство и гинекология", "детская хирургия", "нейрохирургия", "офтальмология", "детская офтальмология", "челюстно-лицевая хирургия" и "оториноларингология" (при получении Фондом подтверждения от федерального органа исполнительной власти в отношении подведомственной ему федеральной медицинской организации о том, что федеральная медицинская организация является научной медицинской организацией или образовательной организацией высшего образования, осуществляющей оказание специализированной, в том числе высокотехнологичной, медицинской помощи);
федеральными медицинскими организациями в отношении оказания ими высокотехнологичной медицинской помощи с использованием ряда уникальных методов лечения, применяемых при сердечно-сосудистой хирургии и трансплантации органов, в случае распределения им объемов предоставления высокотехнологичной медицинской помощи с использованием ряда уникальных методов лечения, применяемых при сердечно-сосудистой хирургии и трансплантации органов, и соответствующих им объемов финансового обеспечения на текущий год.
8. В срок, не превышающий 5 рабочих дней со дня утверждения распределения объемов предоставления медицинской помощи и соответствующих им объемов финансового обеспечения, Министерством здравоохранения Российской Федерации по согласованию с Заместителем Председателя Правительства Российской Федерации, в обязанности которого входит координация деятельности Министерства здравоохранения Российской Федерации, распределение объемов предоставления медицинской помощи и соответствующих им объемов финансового обеспечения доводится до Фонда, федеральных медицинских организаций и федеральных органов исполнительной власти, осуществляющих функции и полномочия их учредителей.
9. Перераспределение объемов предоставления медицинской помощи и соответствующих им объемов финансового обеспечения осуществляется Министерством здравоохранения Российской Федерации совместно с Фондом, утверждается Министерством здравоохранения Российской Федерации по согласованию с Заместителем Председателя Правительства Российской Федерации, в обязанности которого входит координация деятельности Министерства здравоохранения Российской Федерации, в случае:
а) внесения в установленном порядке изменений в параметры программы государственных гарантий бесплатного оказания гражданам медицинской помощи на очередной финансовый год и плановый период, влияющих на объемы предоставления медицинской помощи;
б) поступления в Фонд предложений федеральных медицинских организаций о внесении изменений в распределение объемов предоставления медицинской помощи и соответствующих им объемов финансового обеспечения;
в) неисполнения федеральной медицинской организацией распределенных ей объемов предоставления медицинской помощи и соответствующих им объемов финансового обеспечения;
г) принятия отдельных решений Правительства Российской Федерации в целях дополнительного финансового обеспечения предоставления застрахованным лицам специализированной, в том числе высокотехнологичной, медицинской помощи, включенной в базовую программу обязательного медицинского страхования, оказываемой федеральными медицинскими организациями;
д) утраты федеральной медицинской организацией права на осуществление медицинской деятельности или ее ликвидации;
е) реорганизации федеральных медицинских организаций способами, влекущими прекращение деятельности;
ж) расторжения договора, заключенного между федеральной медицинской организацией и Фондом, на оказание и оплату медицинской помощи в рамках базовой программы обязательного медицинского страхования.
10. Предложения федеральных медицинских организаций о внесении изменений в распределение объемов предоставления медицинской помощи и соответствующих им объемов финансового обеспечения формируются с указанием изменений соответствующих им объемов финансового обеспечения, подписываются руководителем федеральной медицинской организации и направляются в Фонд на рассмотрение ежеквартально, не позднее 15-го числа месяца, следующего за месяцем окончания квартала.
11. При формировании предложений о внесении изменений в распределение объемов предоставления медицинской помощи и соответствующих им объемов финансового обеспечения федеральная медицинская организация проводит анализ фактического исполнения распределенных объемов предоставления медицинской помощи и соответствующих им объемов финансового обеспечения и при необходимости осуществляет перераспределение объемов предоставления медицинской помощи и соответствующих им объемов финансового обеспечения в пределах распределенных объемов предоставления медицинской помощи и соответствующих им объемов финансового обеспечения на текущий год:
между объемами высокотехнологичной медицинской помощи, включенной в базовую программу обязательного медицинского страхования, и объемами специализированной медицинской помощи по группам заболеваний (состояний), предусмотренным базовой программой обязательного медицинского страхования, с коэффициентом относительной затратоемкости, равным 2 и более;
в целях уменьшения объемов предоставления медицинской помощи и соответствующих им объемов финансового обеспечения специализированной медицинской помощи по группам заболеваний (состояний), предусмотренным базовой программой обязательного медицинского страхования, с коэффициентом относительной затратоемкости менее 2, для увеличения объемов высокотехнологичной медицинской помощи, включенной в базовую программу обязательного медицинского страхования, и (или) объемов специализированной медицинской помощи по группам заболеваний (состояний), предусмотренным базовой программой обязательного медицинского страхования, с коэффициентом относительной затратоемкости, равным 2 и более.
12. Предложения о внесении изменений в распределение объемов предоставления медицинской помощи и соответствующих им объемов финансового обеспечения для высокотехнологичной медицинской помощи с использованием ряда уникальных методов лечения, применяемых при сердечно-сосудистой хирургии и трансплантации органов, а также объемов предоставления медицинской помощи и соответствующих им объемов финансового обеспечения для высокотехнологичной медицинской помощи с использованием ряда персонифицированных методов лечения формируются отдельно.
13. При рассмотрении Фондом поступивших от федеральных медицинских организаций предложений о внесении изменений в распределение объемов предоставления медицинской помощи и соответствующих им объемов финансового обеспечения указанные предложения могут быть согласованы, не согласованы либо частично согласованы.
14. При рассмотрении Фондом поступившего предложения от федеральной медицинской организации о внесении изменений в распределение объемов предоставления медицинской помощи и соответствующих им объемов финансового обеспечения в целях их увеличения при фактическом исполнении по предъявленным к оплате объемам предоставления медицинской помощи и соответствующим им объемам финансового обеспечения менее 25 процентов за I квартал текущего года, менее 50 процентов за первое полугодие текущего года, менее 75 процентов за 9 месяцев текущего года Фондом формируется предложение для направления в Министерство здравоохранения Российской Федерации об отказе в увеличении распределенных объемов предоставления медицинской помощи и соответствующих им объемов финансового обеспечения.
Для вновь созданных или реорганизованных федеральных медицинских организаций, включенных в течение года в единый реестр медицинских организаций, осуществляющих деятельность в сфере обязательного медицинского страхования, фактическое исполнение объемов предоставления медицинской помощи рассчитывается со дня фактического оказания медицинской помощи в рамках базовой программы обязательного медицинского страхования.
15. Процент фактического исполнения по предъявленным к оплате объемам предоставления медицинской помощи для вновь созданных или реорганизованных федеральных медицинских организаций, включенных в течение года в единый реестр медицинских организаций, осуществляющих деятельность в сфере обязательного медицинского страхования (Poij), определяется по формуле:

где:
Voij - объем предоставления медицинской помощи, предъявленный к оплате j-й федеральной медицинской организацией за I квартал, первое полугодие или 9 месяцев текущего года;
Oij - количество дней участия j-й федеральной медицинской организации в реализации базовой программы обязательного медицинского страхования в текущем году;
Di - количество календарных дней в i-м периоде (за I квартал, первое полугодие или 9 месяцев текущего года);
Roj - объем предоставления медицинской помощи j-й федеральной медицинской организацией, утвержденный Министерством здравоохранения Российской Федерации на текущий год на день перераспределения объемов предоставления медицинской помощи и соответствующих им объемов финансового обеспечения;
Q - период, на который распределены объемы, дней;
Y - общее количество календарных дней в текущем году.
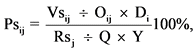
16. Процент фактического исполнения по предъявленным к оплате объемам финансового обеспечения медицинской помощи для вновь созданных или реорганизованных федеральных медицинских организаций, включенных в течение года в единый реестр медицинских организаций, осуществляющих деятельность в сфере обязательного медицинского страхования (Psij), определяется по формуле:

где:
Vsij - объем финансового обеспечения медицинской помощи, предъявленный к оплате j-й федеральной медицинской организацией за I квартал, первое полугодие или 9 месяцев текущего года;
Rsj - объем финансового обеспечения j-ой федеральной медицинской организации, утвержденный Министерством здравоохранения Российской Федерации на текущий год на день перераспределения объемов предоставления медицинской помощи и соответствующих им объемов финансового обеспечения.
17. В срок не позднее 25-го числа месяца, следующего за месяцем окончания квартала, Фонд направляет в Министерство здравоохранения Российской Федерации на утверждение предложения о внесении изменений в распределение объемов предоставления медицинской помощи и соответствующих им объемов финансового обеспечения.
18. При формировании Фондом предложения о внесении изменений в распределение объемов предоставления медицинской помощи и соответствующих им объемов финансового обеспечения приоритетным видом оказания медицинской помощи является высокотехнологичная медицинская помощь и специализированная медицинская помощь (за исключением высокотехнологичной медицинской помощи) по группам заболеваний (состояний), предусмотренным базовой программой обязательного медицинского страхования, с коэффициентом относительной затратоемкости, равным 2 и более.
19. В срок, не превышающий 5 рабочих дней со дня поступления от Фонда предложений о внесении изменений в распределение объемов предоставления медицинской помощи и соответствующих им объемов финансового обеспечения, Министерство здравоохранения Российской Федерации направляет предложения о внесении изменений в распределение объемов предоставления медицинской помощи и соответствующих им объемов финансового обеспечения на согласование Заместителю Председателя Правительства Российской Федерации, в обязанности которого входит координация деятельности Министерства здравоохранения Российской Федерации.
20. Министерство здравоохранения Российской Федерации совместно с предложениями, указанными в пункте 19 настоящих Правил, направляет результаты анализа сложности лечения и соблюдения федеральными медицинскими организациями критериев доступности медицинской помощи, устанавливаемых для федеральных медицинских организаций программой государственных гарантий бесплатного оказания гражданам медицинской помощи на соответствующий год и плановый период, а также информацию об обеспечении маршрутизации пациентов из федеральных медицинских организаций в случае выполнения указанными организациями в полном объеме установленных плановых значений объемов предоставления медицинской помощи и (или) объемов финансового обеспечения предоставления медицинской помощи.
21. Перераспределение объемов предоставления медицинской помощи и соответствующих им объемов финансового обеспечения в случае реорганизации федеральных медицинских организаций в форме слияния или присоединения осуществляется Фондом и утверждается Министерством здравоохранения Российской Федерации в срок, не превышающий 5 рабочих дней со дня поступления от Фонда предложений по перераспределению объемов предоставления медицинской помощи и соответствующих им объемов финансового обеспечения в пределах утвержденных объемов предоставления медицинской помощи и соответствующих им объемов финансового обеспечения.
22. Заместителем Председателя Правительства Российской Федерации, в обязанности которого входит координация деятельности Министерства здравоохранения Российской Федерации, с учетом фактического исполнения в течение года объемов предоставления медицинской помощи может быть принято решение о перераспределении между федеральными медицинскими организациями объемов предоставления медицинской помощи и соответствующих им объемов финансового обеспечения.
22(1). По итогам финансового года с учетом исполнения федеральными медицинскими организациями распределенных им объемов предоставления медицинской помощи и соответствующих им объемов финансового обеспечения Министерство здравоохранения Российской Федерации совместно с Фондом вправе однократно осуществить перераспределение объемов предоставления медицинской помощи и (или) объемов финансового обеспечения между федеральными медицинскими организациями в пределах утвержденных им объемов финансового обеспечения при наличии поступивших в Фонд соответствующих предложений федеральных медицинских организаций.
23. В случае принятия отдельных решений Правительства Российской Федерации в целях дополнительного финансового обеспечения предоставления застрахованным лицам специализированной, в том числе высокотехнологичной, медицинской помощи, включенной в базовую программу обязательного медицинского страхования, высокотехнологичной медицинской помощи с использованием ряда уникальных методов лечения, применяемых при сердечно-сосудистой хирургии и трансплантации органов, высокотехнологичной медицинской помощи с использованием ряда персонифицированных методов лечения, включенной в базовую программу обязательного медицинского страхования, оказываемой федеральными медицинскими организациями, перераспределение объемов предоставления медицинской помощи и соответствующих им объемов финансового обеспечения между федеральными медицинскими организациями осуществляется по решению Заместителя Председателя Правительства Российской Федерации, в обязанности которого входит координация деятельности Министерства здравоохранения Российской Федерации.
24. Фонд ежемесячно, до 20-го числа месяца, следующего за отчетным, направляет в Правительство Российской Федерации, Министерство здравоохранения Российской Федерации и федеральные органы исполнительной власти сведения об объемах оказанной федеральными медицинскими организациями специализированной, в том числе высокотехнологичной, медицинской помощи, включенной в базовую программу обязательного медицинского страхования, и о соответствующих им объемах финансового обеспечения.
25. Формирование и доведение до федеральных медицинских организаций и федеральных органов исполнительной власти распределения, перераспределения объемов предоставления медицинской помощи и соответствующих им объемов финансового обеспечения, формирование, направление и рассмотрение заявок федеральных медицинских организаций на распределение объемов предоставления медицинской помощи и соответствующих им объемов финансового обеспечения, предложений федеральных медицинских организаций о внесении изменений в распределение объемов предоставления медицинской помощи и соответствующих им объемов финансового обеспечения осуществляются в электронной форме в государственной информационной системе обязательного медицинского страхования по формам, утверждаемым Фондом, с применением усиленной квалифицированной электронной подписи уполномоченных должностных лиц Министерства здравоохранения Российской Федерации, Фонда и федеральных медицинских организаций.
26. Фонд ежеквартально, до 10-го рабочего дня месяца, следующего за месяцем окончания квартала, информирует федеральные медицинские организации о фактическом исполнении распределенных объемов предоставления медицинской помощи и соответствующих им объемов финансового обеспечения в случае их неисполнения.