Постановление Правительства РФ от 30.09.2025 N 1504
ПРАВИТЕЛЬСТВО РОССИЙСКОЙ ФЕДЕРАЦИИ
ПОСТАНОВЛЕНИЕ
от 30 сентября 2025 г. N 1504
О ВНЕСЕНИИ ИЗМЕНЕНИЙ
В НЕКОТОРЫЕ АКТЫ ПРАВИТЕЛЬСТВА РОССИЙСКОЙ ФЕДЕРАЦИИ
Правительство Российской Федерации постановляет:
1. Утвердить прилагаемые изменения, которые вносятся в акты Правительства Российской Федерации.
2. Федеральной антимонопольной службе при установлении цен (тарифов) на услуги акционерного общества "Системный оператор Единой энергетической системы" по оперативно-диспетчерскому управлению в электроэнергетике на 2026 год учесть расходы на выплату дивидендов за 2022 и 2023 годы.
3. Федеральной антимонопольной службе в 4-месячный срок привести свои нормативные правовые акты в соответствие с настоящим постановлением, в том числе исключив из расчета необходимой валовой выручки, определяемой для системного оператора электроэнергетических систем России, осуществляющего виды деятельности, в которых применяется государственное регулирование цен (тарифов), расчетную предпринимательскую прибыль.
4. Признать утратившими силу отдельные положения актов Правительства Российской Федерации по перечню согласно приложению.
5. Настоящее постановление вступает в силу со дня его официального опубликования.
Председатель Правительства
Российской Федерации
М.МИШУСТИН
Утверждены
постановлением Правительства
Российской Федерации
от 30 сентября 2025 г. N 1504
ИЗМЕНЕНИЯ,
КОТОРЫЕ ВНОСЯТСЯ В АКТЫ ПРАВИТЕЛЬСТВА РОССИЙСКОЙ ФЕДЕРАЦИИ
1. Пункт 3 Правил индексации цены на мощность, утвержденных постановлением Правительства Российской Федерации от 13 апреля 2010 г. N 238 "Об определении ценовых параметров торговли мощностью на оптовом рынке электрической энергии и мощности" (Собрание законодательства Российской Федерации, 2010, N 16, ст. 1922; 2011, N 14, ст. 1916; 2012, N 4, ст. 504; 2014, N 23, ст. 2994; N 34, ст. 4677; 2015, N 36, ст. 5034; 2017, N 37, ст. 5531), дополнить абзацем следующего содержания:
"С 1-го числа месяца, следующего за месяцем вступления в силу постановления Правительства Российской Федерации от 30 сентября 2025 г. N 1504 "О внесении изменений в некоторые акты Правительства Российской Федерации", цены на мощность, определенные по результатам конкурентных отборов мощности на 2025 и 2026 годы, дополнительно умножаются на коэффициент, равный 1,1516.".
2. В Правилах оптового рынка электрической энергии и мощности, утвержденных постановлением Правительства Российской Федерации от 27 декабря 2010 г. N 1172 "Об утверждении Правил оптового рынка электрической энергии и мощности и о внесении изменений в некоторые акты Правительства Российской Федерации по вопросам организации функционирования оптового рынка электрической энергии и мощности" (Собрание законодательства Российской Федерации, 2011, N 14, ст. 1916; 2012, N 20, ст. 2539; 2013, N 23, ст. 2909; 2015, N 36, ст. 5034; 2016, N 31, ст. 5017; 2017, N 37, ст. 5531; 2019, N 5, ст. 389; N 45, ст. 6365; 2024, N 16, ст. 2245; N 45, ст. 6821):
а) пункт 4 дополнить подпунктом 19 следующего содержания:
"19) торговля мощностью по договорам купли-продажи (поставки) мощности, заключенным в отношении генерирующих объектов, включенных в перечень генерирующих объектов, подлежащих строительству в ценовых зонах оптового рынка, утвержденный Правительством Российской Федерации.";
б) дополнить пунктом 33(2) следующего содержания:
"33(2). При оценке выполнения условий, предусмотренных абзацами третьим и пятым пункта 32, абзацами вторым и четвертым пункта 33 настоящих Правил, не учитываются объемы производства электрической энергии на электростанции и выдачи такой электрической энергии в электрическую сеть сетевой организации в случае, если загрузка генерирующего оборудования электростанции выполнялась по диспетчерской команде (распоряжению) системного оператора, выданной в целях предотвращения развития и ликвидации нарушений нормального режима электрической части энергосистемы, в пределах величин загрузки, указанных в такой диспетчерской команде (распоряжении). Подтверждение факта загрузки генерирующего оборудования по диспетчерской команде (распоряжению) системного оператора в указанных целях осуществляется в порядке, предусмотренном абзацем четвертым пункта 31 настоящих Правил.";
в) в абзаце первом пункта 41 цифры "18" заменить цифрами "19";
г) в пункте 51:
в абзаце десятом слова "и 17" заменить словами ", 17 и 19";
в абзаце восемнадцатом слова "С 1 января 2027 г." заменить словами "С 1-го числа месяца, следующего за месяцем вступления в силу постановления Правительства Российской Федерации от 30 сентября 2025 г. N 1504 "О внесении изменений в некоторые акты Правительства Российской Федерации",";
д) в абзаце шестнадцатом пункта 55 слова "С 1 января 2027 г." заменить словами "С 1-го числа месяца, следующего за месяцем вступления в силу постановления Правительства Российской Федерации от 30 сентября 2025 г. N 1504 "О внесении изменений в некоторые акты Правительства Российской Федерации",";
е) по тексту пункта 103 слова "и 17" заменить словами ", 17 и 19";
ж) в пункте 107:
в абзаце десятом слова "6 лет" заменить словами "4 лет";
в абзаце одиннадцатом цифры "2029" заменить цифрами "2027";
в абзаце двенадцатом цифры "2030" заменить цифрами "2028", цифры "2029" заменить цифрами "2027";
в абзаце тринадцатом цифры "2031" заменить цифрами "2029";
з) в абзаце шестом пункта 109 слова "и 17" заменить словами ", 17 и 19";
и) в абзаце двенадцатом пункта 112(6) цифры "170(1)" заменить цифрами "319";
к) в пункте 114:
в предложении втором абзаца девятнадцатого слова "в подпункте 17" заменить словами "в подпунктах 17 и 19";
в предложении первом абзаца двадцатого слова "и 18" заменить словами ", 18 и 19";
л) дополнить пунктами 115(2) - 115(5) следующего содержания:
"115(2). Правительство Российской Федерации на основании предложений Правительственной комиссии по вопросам развития электроэнергетики утверждает перечень генерирующих объектов, подлежащих строительству в ценовых зонах оптового рынка, а также определяет субъектов оптового рынка, которые будут осуществлять поставку мощности с использованием указанных генерирующих объектов по договорам, предусмотренным подпунктом 19 пункта 4 настоящих Правил. Предложение Правительственной комиссии по вопросам развития электроэнергетики формируется на основании предложения федерального органа исполнительной власти, осуществляющего функции по выработке и реализации государственной политики и нормативно-правовому регулированию в сфере топливно-энергетического комплекса.
Заявление о намерении осуществлять поставку мощности по договорам, предусмотренным подпунктом 19 пункта 4 настоящих Правил, с указанием группы точек поставки, зарегистрированной в отношении соответствующего генерирующего объекта, направляется субъектом оптового рынка в федеральный орган исполнительной власти, осуществляющий функции по выработке и реализации государственной политики и нормативно-правовому регулированию в сфере топливно-энергетического комплекса.
Предложения Правительственной комиссии по вопросам развития электроэнергетики должны содержать в отношении каждого подлежащего строительству генерирующего объекта наименование генерирующего объекта, группу точек поставки, место расположения, величину установленной мощности генерирующего объекта, дату начала поставки мощности на оптовый рынок, тип генерирующего объекта, вид используемого топлива, плановое значение удельных капитальных затрат, значение коэффициента использования установленной мощности, длительность периода реализации проекта по строительству генерирующего объекта, значение коэффициента, отражающего потребление электрической энергии и мощности на собственные и (или) хозяйственные нужды электростанций, указание на применение или неприменение требований по локализации к основному энергетическому оборудованию, наименование субъекта оптового рынка, который будет осуществлять поставку мощности с использованием генерирующего объекта.
Предложения Правительственной комиссии по вопросам развития электроэнергетики могут содержать технические требования к генерирующему объекту, подлежащему строительству.
115(3). Правительство Российской Федерации до даты начала поставки мощности генерирующего объекта, указанной в утвержденном Правительством Российской Федерации в соответствии с пунктом 115(2) настоящих Правил перечне генерирующих объектов, подлежащих строительству в ценовых зонах оптового рынка, на основании предложений Правительственной комиссии по вопросам развития электроэнергетики принимает решение об утверждении величины удельных капитальных затрат, величины удельных затрат на технологическое присоединение генерирующего объекта к электрическим сетям и сетям газораспределения.
В целях формирования предложений, предусмотренных абзацем первым настоящего пункта, Правительственная комиссия по вопросам развития электроэнергетики не позднее чем за 2 месяца до даты начала поставки мощности, указанной в утвержденном Правительством Российской Федерации в соответствии с пунктом 115(2) настоящих Правил перечне генерирующих объектов, подлежащих строительству в ценовых зонах оптового рынка, рассматривает поступившие в федеральный орган исполнительной власти, осуществляющий функции по выработке и реализации государственной политики и нормативно-правовому регулированию в сфере топливно-энергетического комплекса, предложения субъекта оптового рынка, который будет осуществлять поставку мощности с использованием нового генерирующего объекта, о величине затрат на строительство нового генерирующего объекта и затрат на технологическое присоединение к электрическим сетям и сетям газораспределения, а также документы, указанные в абзацах четвертом - седьмом и девятом настоящего пункта.
Для формирования соответствующих предложений Правительственной комиссии по вопросам развития электроэнергетики субъект оптового рынка, который будет осуществлять поставку мощности с использованием нового генерирующего объекта, представляет в федеральный орган исполнительной власти, осуществляющий функции по выработке и реализации государственной политики и нормативно-правовому регулированию в сфере топливно-энергетического комплекса, не позднее чем за 7 месяцев до даты начала поставки мощности, указанной в утвержденном Правительством Российской Федерации в соответствии с пунктом 115(2) настоящих Правил перечне генерирующих объектов, подлежащих строительству в ценовых зонах оптового рынка, следующие документы:
копии проектной и сметной документации;
копии положительного заключения государственной экспертизы проектной документации и результатов инженерных изысканий, копии положительного заключения государственной экспертизы о проверке достоверности определения сметной стоимости строительства нового генерирующего объекта, выданных уполномоченным на проведение государственной экспертизы учреждением, подведомственным Министерству строительства и жилищно-коммунального хозяйства Российской Федерации;
копии договоров, обеспечивающих строительство нового генерирующего объекта и технологическое присоединение к электрическим сетям и сетям газораспределения, документов об исполнении обязательств по таким договорам (срок исполнения которых наступил по состоянию на дату представления указанных документов субъектом оптового рынка), а также копии решений уполномоченных органов государственной власти об установлении платы за технологическое присоединение к электрическим сетям и сетям газораспределения;
результаты технологического аудита и ценового аудита проекта по строительству нового генерирующего объекта.
Технологический аудит и ценовой аудит для целей настоящего пункта понимаются в значениях, предусмотренных пунктом 319 настоящих Правил, и осуществляются в том числе с целью подтверждения выбора мероприятий с целью минимизации их стоимости.
Федеральный орган исполнительной власти, осуществляющий функции по выработке и реализации государственной политики и нормативно-правовому регулированию в сфере топливно-энергетического комплекса, при условии получения в соответствии с требованиями настоящего пункта документов от субъекта оптового рынка, который будет осуществлять поставку мощности с использованием нового генерирующего объекта, не позднее чем за 70 календарных дней до даты начала поставки мощности, указанной в утвержденном Правительством Российской Федерации в соответствии с пунктом 115(2) настоящих Правил перечне генерирующих объектов, подлежащих строительству в ценовых зонах оптового рынка, направляет в Правительственную комиссию по вопросам развития электроэнергетики предложения о величине капитальных затрат на строительство нового генерирующего объекта, сформированные по результатам рассмотрения документов, полученных от субъекта оптового рынка, которым будет осуществляться поставка мощности с использованием нового генерирующего объекта по договорам, указанным в подпункте 19 пункта 4 настоящих Правил.
Предложения о величине капитальных затрат на строительство нового генерирующего объекта, указанные в абзаце девятом настоящего пункта, должны быть сформированы в соответствии с методикой, утверждаемой федеральным органом исполнительной власти, осуществляющим функции по выработке и реализации государственной политики и нормативно-правовому регулированию в сфере топливно-энергетического комплекса.
115(4). В отношении генерирующих объектов, включенных в утвержденный Правительством Российской Федерации в соответствии с пунктом 115(2) настоящих Правил перечень генерирующих объектов, подлежащих строительству в ценовых зонах оптового рынка, в порядке, установленном договором о присоединении к торговой системе оптового рынка, заключаются договоры, указанные в подпункте 19 пункта 4 настоящих Правил.
Объем мощности, составляющий обязательства поставщика по поставке мощности по договорам, указанным в подпункте 19 пункта 4 настоящих Правил, определяется равным объему установленной мощности, указанному для соответствующего генерирующего объекта в утвержденном Правительством Российской Федерации в соответствии с пунктом 115(2) настоящих Правил перечне генерирующих объектов, подлежащих строительству в ценовых зонах оптового рынка, с учетом допустимого отклонения от этой величины в сторону увеличения, но не более чем на 10 процентов.
По договорам, указанным в подпункте 19 пункта 4 настоящих Правил, продажа мощности осуществляется в обеих ценовых зонах.
Период поставки мощности по договорам, указанным в подпункте 19 пункта 4 настоящих Правил, начинается с даты начала поставки мощности, указанной в утвержденном Правительством Российской Федерации в соответствии с пунктом 115(2) настоящих Правил перечне генерирующих объектов, подлежащих строительству в ценовых зонах оптового рынка, и заканчивается 31 декабря года, следующего за годом, в котором истекает 180-й месяц поставки мощности.
Цена на мощность, поставляемую по договорам, указанным в подпункте 19 пункта 4 настоящих Правил, определяется согласно приложению N 7(2).
Поставщик мощности в целях определения цены на мощность, поставляемую по договорам, указанным в подпункте 19 пункта 4 настоящих Правил, в соответствии с договором о присоединении к торговой системе оптового рынка представляет сторонам таких договоров информацию об удельной расчетной величине расходов, связанных с уплатой налога на прибыль организаций, а также заверения в том, что поставщиком мощности по истечении налогового периода уплачен налог на прибыль организаций, с указанием суммы уплаченного налога, рассчитанной пропорционально доле дохода от продажи электрической энергии и мощности на оптовом рынке с использованием соответствующего генерирующего объекта в доходе поставщика мощности за налоговый период.
Поставщик мощности в целях определения цены на мощность, поставляемую по договорам, указанным в подпункте 19 пункта 4 настоящих Правил, в соответствии с договором о присоединении к торговой системе оптового рынка представляет сторонам таких договоров информацию об удельной расчетной величине расходов, связанных с уплатой налога на имущество организаций, а также заверения в том, что поставщиком мощности по истечении налогового периода в отношении соответствующего генерирующего объекта уплачен налог на имущество организаций, с указанием суммы уплаченного налога.
Ответственность за полное или частичное неисполнение сторонами договора, указанного в подпункте 19 пункта 4 настоящих Правил, а также за представление поставщиком мощности недостоверных заверений, указанных в абзацах шестом и (или) седьмом настоящего пункта, определяется в соответствии с приложением N 7(2) к настоящим Правилам.
115(5). В случае если в утвержденном Правительством Российской Федерации в соответствии с пунктом 115(2) настоящих Правил перечне генерирующих объектов, подлежащих строительству в ценовых зонах оптового рынка, в отношении генерирующего объекта содержится указание на применение требований по локализации к основному энергетическому оборудованию, то такое оборудование должно соответствовать требованиям по локализации.
Подтверждение выполнения установленных в соответствии с настоящими Правилами требований по локализации в отношении оборудования новых генерирующих объектов осуществляется в соответствии с договором о присоединении к торговой системе оптового рынка на основании документа, выданного федеральным органом исполнительной власти, осуществляющим функции по выработке государственной политики и нормативно-правовому регулированию в сфере промышленного и оборонно-промышленного комплексов, или его подведомственной организацией в соответствии с утвержденным им порядком выдачи такого документа, содержащего результаты проверки наличия в реестре российской промышленной продукции, размещаемом в государственной информационной системе промышленности в соответствии со статьей 17.1 Федерального закона "О промышленной политике в Российской Федерации", реестровых записей в отношении всего генерирующего оборудования, к которому применяются требования по локализации.
Проверка наличия подтверждения выполнения установленных в соответствии с настоящими Правилами требований по локализации в отношении оборудования новых генерирующих объектов может быть возложена решением федерального органа исполнительной власти, осуществляющего функции по выработке государственной политики и нормативно-правовому регулированию в сфере промышленного и оборонно-промышленного комплексов, на подведомственную указанному органу организацию. Финансовое обеспечение выполнения указанных функций такой подведомственной организацией осуществляет федеральный орган исполнительный власти, осуществляющий функции и полномочия учредителя такой организации. В случае если подведомственная организация является федеральным государственным учреждением, финансовое обеспечение осуществляется в форме государственного задания.";
м) пункт 116 дополнить абзацем следующего содержания:
"Стоимость мощности, продаваемой по договорам, указанным в подпункте 19 пункта 4 настоящих Правил, определяется в порядке, установленном договором о присоединении к торговой системе оптового рынка, организацией коммерческой инфраструктуры исходя из умноженной на сезонный коэффициент цены, определенной в соответствии с приложением N 7(2) к настоящим Правилам.";
н) в абзаце пятом пункта 117 цифры "18" заменить цифрами "19";
о) в абзацах первом и четвертом пункта 119 слова "и 17" заменить словами ", 17 и 19";
п) в пункте 121:
в предложении первом абзаца второго слова "15 - 17 пункта 4" заменить словами "15 - 17 и 19 пункта 4";
в абзаце пятом слова "и 18" заменить словами ", 18 и 19";
р) в абзаце четвертом пункта 122 цифры "18" заменить цифрами "19";
с) в пункте 123:
в предложении первом абзаца второго слова "и 15" заменить словами ", 15 и 19";
абзац третий после предложения первого дополнить предложением следующего содержания: "Объем мощности, покупаемой в совокупности по договорам купли-продажи (поставки) мощности, заключенным по результатам конкурентных отборов мощности новых генерирующих объектов, проведенных после 1 января 2025 г., каждым покупателем в ценовой зоне, определяется путем распределения объема мощности, поставленной в соответствующей ценовой зоне с использованием новых генерирующих объектов, между указанными покупателями, функционирующими в этой ценовой зоне, пропорционально объемам фактического пикового потребления таких покупателей, уменьшенным на объем пикового потребления покупателя, обеспечиваемый покупкой мощности по регулируемым договорам.";
т) в пункте 124:
в абзаце первом слова "и 15" заменить словами ", 15 и 19";
в абзаце втором:
в предложении первом слова "в указанной ценовой зоне" заменить словами "расположенного в ценовой зоне, в которой функционирует указанный участник оптового рынка";
в предложении втором слова "в указанной ценовой зоне" заменить словами "расположенного в ценовой зоне, в которой функционирует указанный участник оптового рынка (за исключением случаев, указанных в пункте 196(2) настоящих Правил)";
абзац седьмой после слов "в соответствующей ценовой зоне" дополнить словами "(ценовых зонах)";
в предложении первом абзаца девятнадцатого слова "генерирующего объекта, за исключением" заменить словами "генерирующего объекта, функционирующего на основе использования отходов производства и потребления, за исключением";
дополнить абзацем следующего содержания:
"По договорам, указанным в подпункте 19 пункта 4 настоящих Правил, каждый участник оптового рынка покупает мощность в объеме, определяемом в соответствии с договором о присоединении к торговой системе оптового рынка, соответствующем части объема мощности каждого генерирующего объекта, поставляемой в соответствующем месяце по указанным договорам в ценовых зонах оптового рынка, пропорциональной разности объема фактического пикового потребления и объема пикового потребления, обеспечиваемого покупкой мощности по регулируемым договорам. При этом из указанных объемов фактического пикового потребления исключаются объемы пикового потребления производителей электрической энергии в пределах максимальных объемов потребления электрической энергии на собственные и (или) хозяйственные нужды, определяемых в соответствии с договором о присоединении к торговой системе оптового рынка.";
у) абзац четырнадцатый пункта 125 признать утратившим силу;
ф) абзац третий пункта 137 изложить в следующей редакции:
"Отклонения, произошедшие на энергопринимающих устройствах потребителей (в том числе в группах точек поставки гарантирующих поставщиков), не относящихся к категории участников с регулируемым потреблением, признаются отклонениями по внешней инициативе, если они возникли в результате введения в установленном порядке ограничения режима потребления по основаниям, не связанным с нарушением такими потребителями (гарантирующими поставщиками) своих обязательств по заключенным на оптовом рынке договорам, или в результате исполнения диспетчерских команд (распоряжений) системного оператора, выданных в целях предотвращения развития и ликвидации нарушений нормального режима электрической части энергосистемы в отношении генерирующих объектов, по которым на оптовом рынке не зарегистрированы отдельные группы точек поставки. Величины отклонений по внешней инициативе в этом случае определяются в соответствии с договором о присоединении к торговой системе оптового рынка.";
х) в пункте 196(2):
в предложении первом абзаца второго:
слово "применяются" исключить;
слова "с учетом особенностей" заменить словами "применяются с учетом решения Правительства Российской Федерации и особенностей";
дополнить абзацем следующего содержания:
"Покупка мощности генерирующих объектов, отобранных по итогам дополнительного отбора проектов, осуществляется по договорам о предоставлении мощности квалифицированных генерирующих объектов, функционирующих на основе использования возобновляемых источников энергии, участниками оптового рынка первой и второй ценовых зон оптового рынка.";
ц) в абзаце седьмом пункта 264 цифру "1" заменить цифрами "31";
ч) дополнить приложением N 7(2) следующего содержания:
"Приложение N 7(2)
к Правилам оптового рынка
электрической энергии и мощности
МЕТОДИКА
РАСЧЕТА ЦЕН НА МОЩНОСТЬ, ОПРЕДЕЛЕНИЯ И ПРИМЕНЕНИЯ
ВЕЛИЧИНЫ ШТРАФОВ ЗА НЕИСПОЛНЕНИЕ ОБЯЗАТЕЛЬСТВ В ОТНОШЕНИИ
ГЕНЕРИРУЮЩИХ ОБЪЕКТОВ, ВКЛЮЧЕННЫХ В ПЕРЕЧЕНЬ ГЕНЕРИРУЮЩИХ
ОБЪЕКТОВ, ПОДЛЕЖАЩИХ СТРОИТЕЛЬСТВУ В ЦЕНОВЫХ ЗОНАХ
ОПТОВОГО РЫНКА
1. Настоящая методика применяется для расчета цен на мощность для генерирующих объектов, включенных в перечень генерирующих объектов, подлежащих строительству в ценовых зонах оптового рынка, утвержденный Правительством Российской Федерации (далее - перечень генерирующих объектов, подлежащих строительству в ценовых зонах), поставляемую по договорам купли-продажи (поставки) мощности, указанным в подпункте 19 пункта 4 Правил оптового рынка электрической энергии и мощности, утвержденных постановлением Правительства Российской Федерации от 27 декабря 2010 г. N 1172 "Об утверждении Правил оптового рынка электрической энергии и мощности и о внесении изменений в некоторые акты Правительства Российской Федерации по вопросам организации функционирования оптового рынка электрической энергии и мощности" (далее соответственно - Правила оптового рынка, договоры купли-продажи (поставки) мощности), а также для определения и применения величины штрафа за неисполнение обязательств по поставке мощности по договорам купли-продажи (поставки) мощности.
2. Цена на мощность, продаваемую по договорам купли-продажи (поставки) мощности (
), рассчитывается коммерческим оператором оптового рынка для генерирующего объекта по итогам каждого месяца m периода поставки мощности по договорам купли-продажи (поставки) мощности, но не ранее месяца, в котором определенный системным оператором предельный объем поставки мощности генерирующего объекта впервые был больше нуля, и определяется по формуле (рублей/МВт):

где:
OpExm - значение удельных затрат на эксплуатацию генерирующего объекта, равное цене на мощность, определенной для ценовой зоны, в которой расположен генерирующий объект, по итогам конкурентного отбора мощности, для соответствующего года поставки, уменьшенное на коэффициент 1,2, а также уменьшенное в 2026 - 2030 годах на коэффициент 1,0341 (рублей/МВт в месяц);
- величина плановой компенсации капитальных затрат на строительство генерирующего объекта для месяца m, определяемая с 1-го по 180-й месяц поставки мощности в соответствии с пунктом 3 настоящей методики, а с 181-го до последнего месяца поставки мощности принимаемая равной нулю (рублей/МВт в месяц);
НПm - удельная расчетная величина расходов, связанных с уплатой налога на прибыль организаций, определяемая с учетом особенностей, предусмотренных договором о присоединении к торговой системе оптового рынка, исходя из суммы уплаченного налога на прибыль организаций, рассчитанной исходя из доли дохода от продажи электрической энергии и мощности на оптовом рынке с использованием соответствующего генерирующего объекта в доходе, полученном поставщиком мощности за налоговый период, и (или) информации об удельной величине расходов, связанных с уплатой налога на прибыль организаций, представленной поставщиком мощности в соответствии с абзацем шестым пункта 115(4) Правил оптового рынка, которая с 1-го по 180-й месяц поставки мощности не может превышать величину, определяемую в соответствии с пунктом 11 настоящей методики (рублей/МВт в месяц);
НИm - удельная расчетная величина расходов, связанных с уплатой налога на имущество организаций, определяемая с учетом особенностей, предусмотренных договором о присоединении к торговой системе оптового рынка, исходя из суммы уплаченного налога на имущество в отношении соответствующего генерирующего объекта и (или) информации об удельной расчетной величине расходов, связанных с уплатой налога на имущество организаций, представленной поставщиком мощности в соответствии с абзацем седьмым пункта 115(4) Правил оптового рынка, которая с 1-го по 180-й месяц поставки мощности не может превышать величину, определяемую в соответствии с пунктом 12 настоящей методики (рублей/МВт в месяц);
m - порядковый номер месяца поставки мощности генерирующего объекта (m = 1 для месяца, соответствующего дате начала поставки мощности генерирующим объектом, указанной в решении Правительства Российской Федерации);
- расчетная величина прибыли от продажи электрической энергии, определяемая для месяца m в соответствии с пунктом 9 настоящей методики (рублей/МВт в месяц);
Ксн - коэффициент, отражающий потребление электрической энергии и мощности на собственные и (или) хозяйственные нужды электростанций, указанный в перечне генерирующих объектов, подлежащих строительству в ценовых зонах.
3. Величина плановой компенсации капитальных затрат на строительство генерирующего объекта для месяца m (
) определяется по формуле:

где:
Rm - не возмещенная по состоянию на начало месяца m часть капитальных затрат на строительство генерирующего объекта (рублей/МВт);
НДm - норма доходности (выражаемая в процентах годовых) в отношении месяца m, равная норме доходности, рассчитанной в соответствии с пунктом 8 настоящей методики в отношении календарного года, предшествующего календарному году, к которому относится месяц m.
4. Не возмещенная по состоянию на начало первого (m = 1) месяца часть капитальных затрат на строительство генерирующего объекта (R1) определяется по формуле:

где:
КЗуд - величина удельных капитальных затрат на строительство генерирующего объекта, указанная в решении Правительства Российской Федерации, принятом в порядке, установленном пунктом 115(3) Правил оптового рынка, а в случае отсутствия такого решения Правительства Российской Федерации принимаемая равной плановой величине удельных капитальных затрат, указанной в решении Правительства Российской Федерации, принятом в порядке, установленном пунктом 115(2) Правил оптового рынка (рублей/МВт);
Кстр - коэффициент расходов на страхование, равный 1,04 и применяемый только в отношении перечня генерирующих объектов, подлежащих строительству в ценовых зонах, утвержденного решением Правительства Российской Федерации в 2025 году;
Кприв - коэффициент приведения, определяемый в соответствии с пунктом 5 настоящей методики;
ТПуд - величина удельных затрат на осуществление мероприятий по технологическому присоединению генерирующего объекта к электрическим сетям и сетям газораспределения, указанная в решении Правительства Российской Федерации, принятом в порядке, установленном пунктом 115(3) Правил оптового рынка (рублей/МВт).
5. Коэффициент приведения (Кприв) определяется по формуле:

где:
НДср - среднее арифметическое значение норм доходности, определенных в отношении N календарных месяцев, предшествовавших году, на который приходится дата начала фактической поставки мощности. Норма доходности в отношении календарного месяца равна норме доходности, определяемой в соответствии с пунктом 8 настоящей методики в отношении календарного года, к которому относится указанный календарный месяц;
N - длительность периода реализации проекта по строительству генерирующего объекта, указанная в перечне генерирующих объектов, подлежащих строительству в ценовых зонах.
В отношении перечня генерирующих объектов, подлежащих строительству в ценовых зонах, утвержденного решением Правительства Российской Федерации в 2025 году, коэффициент приведения (Кприв) определяется по формуле:

где:
КС2526 - средневзвешенная по дням 2025 и 2026 годов ключевая ставка Центрального банка Российской Федерации;
ДГО2526 - средняя доходность долгосрочных государственных обязательств, определенная по результатам 2025 и 2026 годов коммерческим оператором оптового рынка в соответствии с договором о присоединении к торговой системе оптового рынка с учетом порядка, установленного федеральным органом исполнительной власти, осуществляющим функции по выработке государственной политики и нормативно-правовому регулированию в сфере анализа и прогнозирования социально-экономического развития.
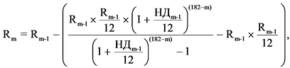
6. Не возмещенная по состоянию на начало месяца m, отличного от первого (m > 1), часть капитальных затрат на строительство генерирующего объекта (Rm) определяется по формуле:

где
Rm-1 - не возмещенная по состоянию на начало месяца, предшествующего месяцу m, часть капитальных затрат на строительство генерирующего объекта (рублей/МВт);
НДm-1 - норма доходности, рассчитанная в соответствии с пунктом 8 настоящей методики в отношении календарного года, предшествующего году, к которому относится месяц, предшествующий месяцу m.
7. В случае изменения значения капитальных затрат на строительство генерирующего объекта на дату определения цены на мощность в отношении месяца m относительно значения этих затрат, учтенных при определении цены на мощность в отношении месяца, предшествовавшего месяцу m, расчет величины не возмещенной по состоянию на начало месяца m части капитальных затрат (Rm-1) производится с учетом изменения всех соответствующих величин (от R1 до Rm-1 включительно).
8. Норма доходности (НДi) рассчитывается коммерческим оператором оптового рынка по результатам i-го календарного года. Расчет производится ежегодно с учетом особенностей, предусмотренных договором о присоединении к торговой системе оптового рынка, и определяется по формуле:

где:
i - индекс года от 1 до 15;
НДб - базовый уровень нормы доходности инвестированного капитала, равный 14 процентам;
ДГОi - средняя доходность долгосрочных государственных обязательств, определяемая по результатам i-го календарного года коммерческим оператором оптового рынка в порядке, установленном федеральным органом исполнительной власти, осуществляющим функции по выработке государственной политики и нормативно-правовому регулированию в сфере анализа и прогнозирования социально-экономического развития, с учетом особенностей, предусмотренных договором о присоединении к торговой системе оптового рынка;
ДГОб - базовый уровень доходности долгосрочных государственных обязательств, равный 8,5 процента.
9. Расчетная величина прибыли от продажи электрической энергии (
) определяется по формуле:

где:
- средневзвешенное значение из цен на электрическую энергию, определенных по результатам конкурентного отбора ценовых заявок на сутки вперед, в каждый час предшествующего месяца в группе точек поставки, к которой относится генерирующий объект, по объемам электрической энергии, продаваемой по результатам конкурентного отбора ценовых заявок на сутки вперед в соответствующие часы (рублей/МВт·ч);
- значение переменных (топливных) затрат на выработку электрической энергии, определяемое в соответствии с пунктом 10 настоящей методики (рублей/МВт·ч);
КИУМ - значение коэффициента использования установленной мощности, указанное в перечне генерирующих объектов, подлежащих строительству в ценовых зонах;
УМ - объем установленной мощности соответствующего генерирующего объекта (МВт), указанный в перечне генерирующих объектов, подлежащих строительству в ценовых зонах;
- объем электрической энергии, составляющий обязательства по поставке электрической энергии по регулируемым договорам на оптовый рынок в предшествующем месяце (МВт·ч);
- - объем мощности, фактически поставленной на оптовый рынок в предшествующем месяце (МВт).
10. Значение переменных (топливных) затрат на выработку электрической энергии (
) определяется как произведение установленного в соответствии с настоящим пунктом для соответствующих генерирующих объектов значения удельного расхода условного топлива и цены соответствующего вида топлива с учетом калорийного эквивалента соответствующего топлива.
В отношении объектов газовой генерации цена топлива определяется на основании данных, полученных в соответствии с договором о присоединении к торговой системе оптового рынка от поставщика мощности, исходя из оптовой цены на газ, платы за снабженческо-сбытовые услуги и затрат на услуги по транспортировке газа по газораспределительным сетям (в случае оказания в отношении генерирующего объекта таких услуг), сформированных на основании решений федерального органа исполнительной власти в области регулирования тарифов и (или) уполномоченных исполнительных органов субъектов Российской Федерации. В целях определения указанной цены топлива поставщик мощности представляет коммерческому оператору оптового рынка информацию о значении калорийного эквивалента, об установленных федеральным органом исполнительной власти в области регулирования тарифов значениях оптовой цены на газ, платы за снабженческо-сбытовые услуги и о решениях федерального органа исполнительной власти в области регулирования тарифов и (или) уполномоченных исполнительных органов субъектов Российской Федерации, на основании которых формируются затраты на услуги по транспортировке газа по газораспределительным сетям (в случае оказания в отношении генерирующего объекта таких услуг).
В отношении объектов угольной генерации цена топлива определяется на основании данных, полученных от поставщика мощности. В целях определения указанной цены топлива поставщик мощности представляет коммерческому оператору оптового рынка в соответствии с договором о присоединении к торговой системе оптового рынка информацию о значении цены угля с учетом затрат на транспортировку угля и значении калорийного эквивалента.
Порядок определения цены соответствующего вида топлива с учетом калорийного эквивалента соответствующего топлива и ее составляющих определяется договором о присоединении к торговой системе оптового рынка. В случае непредставления поставщиком мощности информации в соответствии с абзацами вторым и (или) третьим настоящего пункта цена соответствующего вида топлива определяется равной нулю.
Значение удельного расхода условного топлива в целях определения переменных (топливных) затрат на выработку электрической энергии принимается равным нормативу удельного расхода топлива при производстве электрической энергии, установленному для соответствующего генерирующего объекта федеральным органом исполнительной власти, осуществляющим функции по выработке и реализации государственной политики и нормативно-правовому регулированию в сфере топливно-энергетического комплекса, и представленному поставщиком мощности коммерческому оператору оптового рынка в порядке и сроки, которые предусмотрены договором о присоединении к торговой системе оптового рынка, в отношении каждого года поставки мощности с использованием генерирующего объекта. В случае если поставщиком мощности не были направлены величины нормативов удельного расхода топлива при производстве электрической энергии, значения удельного расхода условного топлива в целях определения переменных (топливных) затрат на выработку электрической энергии принимаются равными:
240 граммам условного топлива на выработку 1 кВт·ч электрической энергии - для генерирующих объектов на базе парогазовых установок, а также иных типов генерирующих объектов, не относящихся к генерирующим объектам на базе газотурбинных установок и паросиловых установок;
320 граммам условного топлива на выработку 1 кВт·ч электрической энергии - для генерирующих объектов на базе паросиловых установок, использующих в качестве основного топлива природный газ;
346 граммам условного топлива на выработку 1 кВт·ч электрической энергии - для генерирующих объектов на базе газотурбинных установок;
353 граммам условного топлива на выработку 1 кВт·ч электрической энергии - для генерирующих объектов на базе паросиловых установок, использующих в качестве основного топлива уголь.
11. Удельная расчетная величина расходов, связанных с уплатой налога на прибыль организаций (НПm), определяемая с учетом особенностей, предусмотренных договором о присоединении к торговой системе оптового рынка, исходя из суммы уплаченного налога на прибыль организаций, рассчитанной исходя из доли дохода от продажи электрической энергии и мощности на оптовом рынке с использованием соответствующего генерирующего объекта в доходе, полученном поставщиком мощности за налоговый период, и (или) информации об удельной величине расходов, связанных с уплатой налога на прибыль организаций, представленной поставщиком мощности в соответствии с абзацем шестым пункта 115(4) Правил оптового рынка, которая с 1-го по 180-й месяц поставки мощности не может превышать величину, определяемую по формуле:

где:
te - плановый срок (в годах) полезного использования генерирующего объекта, равный 20 годам;
Ставка НПm - налоговая ставка налога на прибыль организаций, равная величине, указанной в абзаце первом пункта 1 статьи 284 Налогового кодекса Российской Федерации (в редакции, действующей по состоянию на 1 января года, к которому относится месяц m).
12. Удельная расчетная величина расходов, связанных с уплатой налога на имущество организаций (НИm), определяемая с учетом особенностей, предусмотренных договором о присоединении к торговой системе оптового рынка, исходя из суммы уплаченного налога на имущество в отношении соответствующего генерирующего объекта и (или) информации об удельной расчетной величине расходов, связанных с уплатой налога на имущество организаций, представленной поставщиком мощности в соответствии с абзацем седьмым пункта 115(4) Правил оптового рынка, которая с 1-го по 180-й месяц поставки мощности не может превышать величину, определяемую по формуле:

где Ставка НИm - налоговая ставка налога на имущество организаций, равная величине, указанной в пункте 1 статьи 380 Налогового кодекса Российской Федерации (в редакции, действующей по состоянию на 1 января года, к которому относится месяц m).
13. Договором купли-продажи (поставки) мощности определяется выплачиваемая поставщиком мощности сумма в случае, если предельный объем поставки мощности генерирующего объекта меньше объема, равного 95 процентам объема мощности, составляющего обязательства по поставке мощности по договорам купли-продажи (поставки) мощности, размер которой не может быть меньше величины Sm, определяемой по формуле (рублей):

где:
- цена на мощность генерирующего объекта, определяемая по формуле (рублей/МВт):

- объем мощности, составляющий обязательства по поставке мощности с использованием генерирующего объекта (МВт);
- предельный объем мощности генерирующего объекта, определенный в отношении месяца m по результатам аттестации (в случае задержки начала поставки мощности показатель
равен нулю) (МВт).
14. Договором купли-продажи (поставки) мощности определяется выплачиваемая поставщиком мощности неустойка в случае представления поставщиком мощности недостоверных заверений, предусмотренных абзацами шестым и (или) седьмым пункта 115(4) Правил оптового рынка, размер которой не может быть меньше величины, равной 25 процентам годовой стоимости мощности генерирующего объекта.
15. Особенности определения отдельных составляющих, используемых для расчета цен на мощность и суммы штрафа в соответствии с настоящей методикой, могут быть определены договором о присоединении к торговой системе оптового рынка.".
3. В Основах ценообразования в области регулируемых цен (тарифов) в электроэнергетике, утвержденных постановлением Правительства Российской Федерации от 29 декабря 2011 г. N 1178 "О ценообразовании в области регулируемых цен (тарифов) в электроэнергетике" (Собрание законодательства Российской Федерации, 2012, N 4, ст. 504; N 23, ст. 3008; 2013, N 31, ст. 4216; N 47, ст. 6105; 2014, N 9, ст. 919; 2015, N 20, ст. 2924; N 37, ст. 5153; 2016, N 2, ст. 395; 2017, N 29, ст. 4372; 2018, N 3, ст. 543; 2020, N 50, ст. 8211; N 52, ст. 8863; 2022, N 1, ст. 135; N 47, ст. 8218; N 51, ст. 9235; 2023, N 5, ст. 784; N 25, ст. 4578; N 36, ст. 6739; 2024, N 16, ст. 2245; N 53, ст. 8698):
а) подпункт 2 пункта 19 дополнить словами ", включая расходы на выплату дивидендов системным оператором электроэнергетических систем России (далее - системный оператор)";
б) пункт 32 дополнить абзацем следующего содержания:
"При регулировании тарифов на 2028 год для производителей электрической энергии, указанных в подпункте "г" пункта 3 постановления Правительства Российской Федерации от 23 декабря 2024 г. N 1868 "О внесении изменений в некоторые акты Правительства Российской Федерации по вопросам установления особенностей функционирования оптового и розничных рынков электрической энергии и мощности на отдельных территориях ценовых зон, ранее относившихся к неценовым зонам оптового рынка", если инвестиционные проекты, предусмотренные инвестиционными программами на период 2021 - 2027 годов, не были реализованы, из необходимой валовой выручки соответствующей организации, осуществляющей регулируемую деятельность, исключаются расходы на реализацию этих проектов в части, финансируемой за счет выручки от реализации товаров (услуг) по регулируемым ценам (тарифам).";
в) в предложении втором абзаца четвертого пункта 45 слова "функционирующим на отдельных территориях, ранее относившихся к неценовым зонам," исключить;
г) в абзаце пятнадцатом пункта 80 слова "электроэнергетических систем России (далее - системный оператор)" исключить.
4. В подпункте "г" пункта 3 постановления Правительства Российской Федерации от 23 декабря 2024 г. N 1868 "О внесении изменений в некоторые акты Правительства Российской Федерации по вопросам установления особенностей функционирования оптового и розничных рынков электрической энергии и мощности на отдельных территориях ценовых зон, ранее относившихся к неценовым зонам оптового рынка" (Собрание законодательства Российской Федерации, 2024, N 53, ст. 8698):
а) в абзаце первом цифры "2027" заменить цифрами "2028";
б) абзац третий признать утратившим силу;
в) в абзаце четвертом слова ", а также в случае, если проект инвестиционной программы, информация о котором раскрыта таким производителем электрической энергии в соответствии с пунктом 42 Правил утверждения инвестиционных программ, не соответствует условию, указанному в абзаце третьем настоящего подпункта" исключить.
Приложение
к постановлению Правительства
Российской Федерации
от 30 сентября 2025 г. N 1504
ПЕРЕЧЕНЬ
УТРАТИВШИХ СИЛУ ОТДЕЛЬНЫХ ПОЛОЖЕНИЙ АКТОВ ПРАВИТЕЛЬСТВА
РОССИЙСКОЙ ФЕДЕРАЦИИ
1. Абзац второй подпункта "и" пункта 6 изменений, которые вносятся в акты Правительства Российской Федерации по вопросу совершенствования порядка вывода объектов электроэнергетики в ремонт и из эксплуатации, утвержденных постановлением Правительства Российской Федерации от 30 января 2021 г. N 86 "Об утверждении Правил вывода объектов электроэнергетики в ремонт и из эксплуатации, а также о внесении изменений в некоторые акты Правительства Российской Федерации по вопросу совершенствования порядка вывода объектов электроэнергетики в ремонт и из эксплуатации" (Собрание законодательства Российской Федерации, 2021, N 6, ст. 985; 2022, N 1, ст. 135).
2. Подпункт 43 пункта 2 изменений, которые вносятся в акты Правительства Российской Федерации по вопросам установления особенностей функционирования оптового и розничных рынков электрической энергии и мощности на отдельных территориях ценовых зон, ранее относившихся к неценовым зонам оптового рынка, утвержденных постановлением Правительства Российской Федерации от 23 декабря 2024 г. N 1868 "О внесении изменений в некоторые акты Правительства Российской Федерации по вопросам установления особенностей функционирования оптового и розничных рынков электрической энергии и мощности на отдельных территориях ценовых зон, ранее относившихся к неценовым зонам оптового рынка" (Собрание законодательства Российской Федерации, 2024, N 53, ст. 8698).