Рейтинг@Mail.ru

Постановление Правительства РФ от 05.12.2016 N 1302

ПРАВИТЕЛЬСТВО РОССИЙСКОЙ ФЕДЕРАЦИИ

ПОСТАНОВЛЕНИЕ

от 5 декабря 2016 г. N 1302

ОБ УТВЕРЖДЕНИИ ПРАВИЛ

ФИНАНСОВОГО ОБЕСПЕЧЕНИЯ ВЫСОКОТЕХНОЛОГИЧНОЙ МЕДИЦИНСКОЙ

ПОМОЩИ, НЕ ВКЛЮЧЕННОЙ В БАЗОВУЮ ПРОГРАММУ ОБЯЗАТЕЛЬНОГО

МЕДИЦИНСКОГО СТРАХОВАНИЯ, ОКАЗЫВАЕМОЙ ГРАЖДАНАМ РОССИЙСКОЙ

ФЕДЕРАЦИИ ФЕДЕРАЛЬНЫМИ ГОСУДАРСТВЕННЫМИ УЧРЕЖДЕНИЯМИ

В соответствии с частью 6 статьи 50.1 Федерального закона "Об обязательном медицинском страховании в Российской Федерации" Правительство Российской Федерации постановляет:

1. Утвердить прилагаемые Правила финансового обеспечения высокотехнологичной медицинской помощи, не включенной в базовую программу обязательного медицинского страхования, оказываемой гражданам Российской Федерации федеральными государственными учреждениями.

2. Настоящее постановление вступает в силу с 1 января 2017 г.

3. Действие пунктов 4 - 13 и 19 Правил, утвержденных настоящим постановлением, распространяется на правоотношения, возникшие при формировании государственного задания на оказание федеральными государственными учреждениями гражданам Российской Федерации государственных услуг по оказанию высокотехнологичной медицинской помощи, не включенной в базовую программу обязательного медицинского страхования, и расчете объема финансового обеспечения его выполнения, начиная с государственного задания на 2017 год и на плановый период 2018 и 2019 годов.

Председатель Правительства

Российской Федерации

Д.МЕДВЕДЕВ

Утверждены

постановлением Правительства

Российской Федерации

от 5 декабря 2016 г. N 1302

ПРАВИЛА

ФИНАНСОВОГО ОБЕСПЕЧЕНИЯ ВЫСОКОТЕХНОЛОГИЧНОЙ МЕДИЦИНСКОЙ

ПОМОЩИ, НЕ ВКЛЮЧЕННОЙ В БАЗОВУЮ ПРОГРАММУ ОБЯЗАТЕЛЬНОГО

МЕДИЦИНСКОГО СТРАХОВАНИЯ, ОКАЗЫВАЕМОЙ ГРАЖДАНАМ РОССИЙСКОЙ

ФЕДЕРАЦИИ ФЕДЕРАЛЬНЫМИ ГОСУДАРСТВЕННЫМИ УЧРЕЖДЕНИЯМИ

1. Настоящие Правила устанавливают порядок финансового обеспечения высокотехнологичной медицинской помощи, не включенной в базовую программу обязательного медицинского страхования (по перечню видов высокотехнологичной медицинской помощи, установленному в рамках программы государственных гарантий бесплатного оказания гражданам медицинской помощи на соответствующий финансовый год и плановый период), оказываемой гражданам Российской Федерации включенными в утвержденный Министерством здравоохранения Российской Федерации перечень федеральными бюджетными и автономными учреждениями, функции и полномочия учредителя которых осуществляют соответствующие федеральные органы исполнительной власти (далее соответственно - государственное учреждение, орган, осуществляющий функции и полномочия учредителя, высокотехнологичная медицинская помощь).

2. Финансовое обеспечение высокотехнологичной медицинской помощи осуществляется в пределах бюджетных ассигнований, предусмотренных в бюджете Федерального фонда обязательного медицинского страхования (далее - фонд) на соответствующий финансовый год и плановый период на указанные цели.

3. Финансовое обеспечение высокотехнологичной медицинской помощи осуществляется путем предоставления из бюджета фонда государственным учреждениям субсидий на финансовое обеспечение выполнения ими государственного задания на оказание высокотехнологичной медицинской помощи, утвержденного органом, осуществляющим функции и полномочия учредителя (далее соответственно - государственное задание, субсидия).

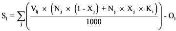
4. Размер субсидии (тыс. рублей), предоставляемой l-му государственному учреждению, определяется органом, осуществляющим функции и полномочия учредителя (Sl), по формуле:

,

где:

Vlj - объем высокотехнологичной медицинской помощи j-го профиля, установленный l-му государственному учреждению в рамках государственного задания на год, на который рассчитывается субсидия (человек);

Nj - средний норматив финансовых затрат на единицу объема высокотехнологичной медицинской помощи j-го профиля, установленный в программе государственных гарантий бесплатного оказания гражданам медицинской помощи на год, на который рассчитывается субсидия (рублей);

Xj - доля заработной платы в структуре среднего норматива финансовых затрат на единицу объема высокотехнологичной медицинской помощи j-го профиля, установленная до 1 января 2026 г. Министерством здравоохранения Российской Федерации, с 1 января 2026 г. Правительством Российской Федерации на год, на который рассчитывается субсидия;

Ki - коэффициент уровня среднемесячной заработной платы в i-м субъекте Российской Федерации, на территории которого государственное учреждение оказывает высокотехнологичную медицинскую помощь (предельное значение коэффициента 1,5);

Ol - величина корректировки размера субсидии (тыс. рублей), предоставляемой l-му государственному учреждению, по итогам выполнения им государственного задания в году, предшествующем году предоставления субсидии (показатель применяется по отношению к итогам выполнения государственного задания в 2017 году и последующие годы).

5. Коэффициент уровня среднемесячной заработной платы в i-м субъекте Российской Федерации, на территории которого государственное учреждение оказывает высокотехнологичную медицинскую помощь, определяется по формуле:

,

где:

ЗПi - среднемесячная номинальная начисленная заработная плата в расчете на одного работника в i-м субъекте Российской Федерации, на территории которого государственное учреждение оказывает высокотехнологичную медицинскую помощь, за год, предшествующий отчетному году (рублей);

ЗП - среднемесячная номинальная начисленная заработная плата в расчете на одного работника в Российской Федерации за год, предшествующий отчетному году (рублей).

6. В случае если коэффициент уровня среднемесячной заработной платы в i-м субъекте Российской Федерации, на территории которого государственное учреждение оказывает высокотехнологичную медицинскую помощь, меньше 1, значение показателя принимается равным 1.

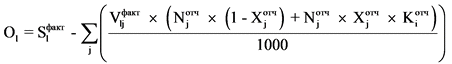
7. Величина корректировки размера субсидии (тыс. рублей), предоставляемой l-му государственному учреждению, по итогам выполнения им государственного задания в году, предшествующем году предоставления субсидии, определяется по формуле:

,

где:

- размер субсидии, определенной 1-му государственному учреждению в году, предшествующем году предоставления субсидии (тыс. рублей), без учета величины корректировки;

- объем высокотехнологичной медицинской помощи j-го профиля, фактически оказанной l-м государственным учреждением в рамках государственного задания в году, предшествующем году предоставления субсидии (человек);

- средний норматив финансовых затрат на единицу объема высокотехнологичной медицинской помощи j-го профиля, установленный в программе государственных гарантий бесплатного оказания гражданам медицинской помощи на год, предшествующий году, в котором рассчитывается субсидия (рублей);

- доля заработной платы в структуре среднего норматива финансовых затрат на единицу объема высокотехнологичной медицинской помощи j-го профиля, которая применялась при расчете субсидии в году, предшествующем году предоставления субсидии;

- коэффициент уровня среднемесячной заработной платы в i-м субъекте Российской Федерации, на территории которого государственное учреждение оказывает высокотехнологичную медицинскую помощь, который применялся при расчете субсидии в году, предшествующем году предоставления субсидии.

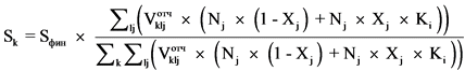
8. Объем финансового обеспечения высокотехнологичной медицинской помощи, исходя из которого k-й орган, осуществляющий функции и полномочия учредителя, формирует государственные задания государственным учреждениям (Sk), определяется по формуле:

,

где:

Sфин - общий объем бюджетных ассигнований на финансовое обеспечение высокотехнологичной медицинской помощи, предусмотренный в бюджете фонда на соответствующий финансовый год;

- объем высокотехнологичной медицинской помощи j-го профиля, установленный для l-го государственного учреждения в рамках государственного задания, утвержденного k-м органом, осуществляющим функции и полномочия учредителя, на год, предшествующий году, на который рассчитывается субсидия.

9. В случае если государственное задание не установлено l-му государственному учреждению на год, предшествующий году, на который рассчитывается субсидия, то значение объема высокотехнологичной медицинской помощи j-го профиля, используемое в расчете, определяется на основании заявки k-го органа, осуществляющего функции и полномочия учредителя, в ведении которого находится учреждение, по согласованию с Министерством здравоохранения Российской Федерации.

9(1). Распределение объемов высокотехнологичной медицинской помощи j-х профилей и соответствующих им объемов финансового обеспечения между государственными учреждениями осуществляется по согласованию с Заместителем Председателя Правительства Российской Федерации, в обязанности которого входит координация деятельности Министерства здравоохранения Российской Федерации, в пределах бюджетных ассигнований, предусмотренных в бюджете фонда на соответствующий финансовый год и плановый период на финансовое обеспечение высокотехнологичной медицинской помощи, на основании сведений о плановых объемах государственного задания на оказание высокотехнологичной медицинской помощи для государственных учреждений на соответствующий финансовый год, представленных Министерством здравоохранения Российской Федерации в соответствии с пунктами 11(1) и 11(2) настоящих Правил.

9(2). При внесении изменений в распределенные объемы высокотехнологичной медицинской помощи объем финансового обеспечения высокотехнологичной медицинской помощи, определенный в соответствии с пунктом 8 настоящих Правил, может быть изменен по решению Заместителя Председателя Правительства Российской Федерации, в обязанности которого входит координация деятельности Министерства здравоохранения Российской Федерации, в случае наличия возможности его перераспределения между органами, осуществляющими функции и полномочия учредителей.

10. Фонд в срок, не превышающий 3 рабочих дней со дня принятия федерального закона о бюджете фонда на очередной финансовый год и плановый период, представляет в Министерство здравоохранения Российской Федерации сведения об общем объеме бюджетных ассигнований на финансовое обеспечение высокотехнологичной медицинской помощи, предусмотренном в бюджете фонда на соответствующий финансовый год.

11. Министерство здравоохранения Российской Федерации в течение 5 рабочих дней со дня получения согласованных с Заместителем Председателя Правительства Российской Федерации, в обязанности которого входит координация деятельности Министерства здравоохранения Российской Федерации, сведений о распределении объемов высокотехнологичной медицинской помощи j-го профиля между государственными учреждениями представляет в орган, осуществляющий функции и полномочия учредителя, и в фонд информацию об объемах финансового обеспечения высокотехнологичной медицинской помощи, определенных в соответствии с пунктом 8 настоящих Правил, в отношении каждого органа, осуществляющего функции и полномочия учредителя.

11(1). Орган, осуществляющий функции и полномочия учредителя, не позднее 15 января представляет в Министерство здравоохранения Российской Федерации сведения о показателях объема высокотехнологичной медицинской помощи согласно приложению N 1, установленных для государственных учреждений в государственном задании, на год, предшествующий году, на который рассчитывается субсидия, и о соответствующих им объемах финансового обеспечения, а также информацию о дополнительных показателях объема высокотехнологичной медицинской помощи, возможных к исполнению с учетом технологической мощности (коечный фонд, медицинское оборудование, кадровая обеспеченность) государственных учреждений, и о соответствующих им объемах финансового обеспечения.

Министерство здравоохранения Российской Федерации в срок до 20 января направляет на согласование в Правительство Российской Федерации показатели плановых объемов государственного задания на оказание высокотехнологичной медицинской помощи для государственных учреждений на соответствующий финансовый год, подготовленные с учетом информации, представленной органами, осуществляющими функции и полномочия учредителя, в соответствии с приложением N 1 к настоящим Правилам.

11(2). В случае необходимости внесения изменений в утвержденное государственное задание орган, осуществляющий функции и полномочия учредителя, не позднее 10-го числа месяца, следующего за месяцем окончания квартала, а в IV квартале - до 1 ноября представляет в Министерство здравоохранения Российской Федерации сведения о показателях плановых объемов высокотехнологичной медицинской помощи согласно приложению N 2 и о соответствующих им объемах финансового обеспечения.

Министерство здравоохранения Российской Федерации в срок до 15-го числа месяца, следующего за месяцем окончания квартала, а в IV квартале - до 5 ноября направляет на согласование в Правительство Российской Федерации сведения о показателях плановых объемов высокотехнологичной медицинской помощи, предусмотренных приложением N 2 к настоящим Правилам.

11(3). Сведения, указанные в абзаце втором пункта 11(1) и абзаце втором пункта 11(2) настоящих Правил, представляются Министерством здравоохранения Российской Федерации на согласование в Правительство Российской Федерации в сводном формате по каждому государственному учреждению, сгруппированному по органам, осуществляющим функции и полномочия учредителя, в электронном виде.

12. Орган, осуществляющий функции и полномочия учредителя, представляет в фонд информацию о показателях государственного задания, в том числе при внесении в него изменений, и об объемах его финансового обеспечения, согласованных с Заместителем Председателя Правительства Российской Федерации, в обязанности которого входит координация деятельности Министерства здравоохранения Российской Федерации, в течение 5 рабочих дней со дня утверждения государственного задания (внесения в него изменений) в пределах объема финансового обеспечения, рассчитанного в соответствии с настоящими Правилами, с использованием государственной информационной системы обязательного медицинского страхования.

13. Предоставление государственному учреждению субсидии осуществляется на основании соглашения о порядке и об условиях предоставления субсидии, заключаемого между фондом, органом, осуществляющим функции и полномочия учредителя, и государственным учреждением с использованием государственной информационной системы обязательного медицинского страхования (далее - соглашение) по форме и в порядке, которые утверждаются Министерством здравоохранения Российской Федерации.

14. Перечисление субсидии осуществляется в соответствии с графиком, являющимся приложением к соглашению, на лицевой счет государственного учреждения в сумме, не превышающей:

а) 25 процентов годового размера субсидии не позднее 14 рабочих дней со дня заключения соглашения на текущий финансовый год;

б) 50 процентов годового размера субсидии в течение первого полугодия;

в) 75 процентов годового размера субсидии в течение 9 месяцев;

г) 100 процентов годового размера субсидии до 30 декабря текущего финансового года.

15. Изменение объема субсидии государственному учреждению в течение срока выполнения государственного задания осуществляется только при соответствующем изменении государственного задания с пересчетом размера субсидии в соответствии с настоящими Правилами и внесением соответствующих изменений в соглашение.

16. Государственные учреждения представляют в орган, осуществляющий функции и полномочия учредителя, и фонд отчетность об использовании субсидии с использованием государственной информационной системы обязательного медицинского страхования. Порядок и форма представления указанной отчетности устанавливаются фондом.

17. Не использованные в текущем финансовом году остатки средств субсидии используются государственным учреждением в очередном финансовом году на те же цели, за исключением случаев, предусмотренных пунктом 17(1) настоящих Правил.

17(1). Государственное учреждение в случае возникновения в текущем году остатка субсидии при условии выполнения государственного задания, а также отсутствия у государственного учреждения не погашенной в течение 3 месяцев кредиторской задолженности за счет средств субсидии на оказание высокотехнологичной медицинской помощи использует остаток субсидии на расходы на заработную плату, начисления на оплату труда, прочие выплаты, приобретение лекарственных средств, расходных материалов, продуктов питания, мягкого инвентаря, медицинского инструментария, реактивов и химикатов, прочих материальных запасов, расходы на оплату стоимости лабораторных и инструментальных исследований, проводимых в других учреждениях (при отсутствии в медицинской организации лаборатории и диагностического оборудования), расходы на организацию питания (при отсутствии организованного питания в медицинской организации), расходы на оплату услуг связи, транспортных услуг, коммунальных услуг, работ и услуг по содержанию имущества, расходы на арендную плату за пользование имуществом, оплату программного обеспечения и прочих услуг, социальное обеспечение работников медицинских организаций, установленное законодательством Российской Федерации, прочие расходы, расходы на приобретение основных средств.

18. Государственные учреждения осуществляют раздельный аналитический учет средств субсидии.

19. Контроль за использованием средств на финансовое обеспечение высокотехнологичной медицинской помощи осуществляется фондом и органами, осуществляющими функции и полномочия учредителя.

20. Доступ Министерства здравоохранения Российской Федерации, органа, осуществляющего функции и полномочия учредителя, и фонда к государственным заданиям, сформированным (измененным) с учетом ограничений, установленных нормативными правовыми актами Российской Федерации в области защиты сведений, составляющих государственную тайну или относимых к охраняемой в соответствии с законодательством Российской Федерации иной информации ограниченного доступа, в государственной информационной системе обязательного медицинского страхования, обеспечивается посредством организации информационного взаимодействия государственной интегрированной информационной системы управления общественными финансами "Электронный бюджет" и государственной информационной системы обязательного медицинского страхования.

Приложение N 1

к Правилам финансового обеспечения

высокотехнологичной медицинской

помощи, не включенной в базовую

программу обязательного медицинского

страхования, оказываемой гражданам

Российской Федерации федеральными

государственными учреждениями

ПОКАЗАТЕЛИ

объема высокотехнологичной медицинской помощи, не включенной в базовую программу обязательного медицинского страхования, оказываемой гражданам Российской Федерации федеральными государственными учреждениями, подведомственными

_________________________________________________________________

(наименование федерального органа исполнительной власти)

Наименование федерального государственного учреждения

Профиль высокотехнологичной медицинской помощи

N группы высокотехнологичной медицинской помощи

Показатели объема государственного задания в предшествующем году, пациентов

Показатели финансового обеспечения государственного задания в предшествующем году, тыс. рублей

Фактическое выполнение государственного задания в предшествующем году

Дополнительные показатели объема высокотехнологичной медицинской помощи, возможные к исполнению с учетом технологической мощности, пациентов

Дополнительное финансовое обеспечение, тыс. рублей

Количество пациентов, направленных на оказание высокотехнологичной медицинской помощи по каждой группе, пациентов

Проект государственного задания, пациентов

Проект финансового обеспечения, тыс. рублей

пациентов

процентов плановых значений

1.

итого

2.

итого

Приложение N 2

к Правилам финансового обеспечения

высокотехнологичной медицинской

помощи, не включенной в базовую

программу обязательного медицинского

страхования, оказываемой гражданам

Российской Федерации федеральными

государственными учреждениями

ПОКАЗАТЕЛИ

плановых объемов высокотехнологичной медицинской помощи, не включенной в базовую программу обязательного медицинского страхования, оказываемой гражданам Российской Федерации федеральными государственными учреждениями, подведомственными

_________________________________________________________________

(наименование федерального органа исполнительной власти)

Наименование федерального государственного учреждения

Профиль высокотехнологичной медицинской помощи

N группы высокотехнологичной медицинской помощи

Показатели объема утвержденного государственного задания, пациентов

Показатели финансового обеспечения утвержденного государственного задания, тыс. рублей

Фактическое выполнение государственного задания на 1-е число месяца, следующего за отчетным кварталом

Дополнительные показатели объема высокотехнологичной медицинской помощи, возможные к исполнению с учетом технологической мощности, пациентов

Дополнительное финансовое обеспечение, тыс. рублей

Количество пациентов, направленных на оказание высокотехнологичной медицинской помощи по каждой группе, пациентов

Проект государственного задания, пациентов

Проект финансового обеспечения, тыс. рублей

пациентов

процентов плановых значений

1.

итого

2.

итого

Другие документы по теме
(ред. от 20.03.1997) "О мерах по обеспечению взаимодействия Правительства Российской Федерации с палатами федерального собрания"
"Об утверждении Правил безопасности для наземных складов жидкого аммиака" (Зарегистрировано в Минюсте РФ 18.06.2003 N 4712)
"По делу о проверке конституционности положений части четвертой статьи 25.10 Федерального закона "О порядке выезда из Российской Федерации и въезда в Российскую Федерацию", подпункта 13 пункта 1 статьи 7 Федерального закона "О правовом положении иностранных граждан в Российской Федерации" и пункта 2 статьи 11 Федерального закона "О предупреждении распространения в Российской Федерации заболевания, вызываемого вирусом иммунодефицита человека (ВИЧ-инфекции)" в связи с жалобами ряда граждан"
"Об утверждении норм естественной убыли отдельных видов грузов при перевозках автомобильным транспортом"
Ошибка на сайте