<Письмо> Минстроя России от 06.04.2026 N 8021-ОГ/00
МИНИСТЕРСТВО СТРОИТЕЛЬСТВА И ЖИЛИЩНО-КОММУНАЛЬНОГО ХОЗЯЙСТВА
РОССИЙСКОЙ ФЕДЕРАЦИИ
ПИСЬМО
от 6 апреля 2026 г. N 8021-ОГ/00
Департамент развития жилищно-коммунального хозяйства Минстроя России рассмотрел коллективное обращение, поступившее письмом Председателя Комиссии Государственной Думы Федерального Собрания Российской Федерации по обеспечению жилищных прав граждан, и в рамках своей компетенции сообщает следующее.
В соответствии с частью 1 статьи 156 Жилищного кодекса Российской Федерации (далее - ЖК РФ) плата за содержание жилого помещения устанавливается в размере, обеспечивающем содержание общего имущества в многоквартирном доме (далее - МКД) в соответствии с требованиями законодательства.
В силу положений части 1 статьи 158 ЖК РФ собственник помещения в МКД обязан нести расходы на содержание принадлежащего ему помещения, а также участвовать в расходах на содержание общего имущества в МКД соразмерно своей доле в праве общей собственности на это имущество путем внесения платы за содержание жилого помещения, взносов на капитальный ремонт.
Согласно частям 1 и 2 статьи 39 ЖК РФ собственники помещений в МКД несут бремя расходов на содержание общего имущества в МКД. Доля обязательных расходов на содержание общего имущества в МКД, бремя которых несет собственник помещения в таком доме, определяется долей в праве общей собственности на общее имущество в таком доме указанного собственника.
Таким образом, общий размер платы за содержание жилого помещения, подлежащей внесению совокупно всеми собственниками помещений в МКД распределяется между этими собственниками в соответствии с их долями в праве общедолевой собственности на общее имущество в МКД.
Соответственно, размер платы за содержание жилого помещения, подлежащей внесению совокупно всеми собственниками помещений в МКД, равен сумме платежей за содержание жилого помещения, подлежащих внесению каждым собственником помещения в МКД.
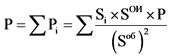
Запишем приведенные утверждения в виде математических выражений:

где:
P - размер платы за содержание жилья, подлежащий оплате совокупно всеми собственниками помещений в МКД, руб./мес.;
Pi - размер платы за содержание жилья, подлежащий оплате i-тым собственником помещения в МКД, руб./мес.
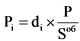
Для определения Pi необходимо умножить P на долю i-того собственника помещения в МКД в праве общедолевой собственности на общее имущество в МКД:
Pi = di x P
где:
di - доля i-того собственника помещения в МКД в праве общедолевой собственности на общее имущество в МКД.
На основании части 1 статьи 37 ЖК РФ доля в праве общей собственности на общее имущество в МКД собственника помещения в этом доме пропорциональна размеру общей площади указанного помещения.
Следовательно, справедливо выражение:

где:
di - доля i-того собственника помещения в МКД в праве общедолевой собственности на общее имущество в МКД;
Si - площадь помещения в МКД, принадлежащего i-тому собственнику, м2;
Sоб - общая площадь жилых и нежилых помещений в МКД (за исключением помещений, входящих в состав общего имущества в МКД), м2.
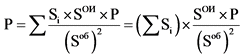
При этом необходимо отметить справедливость следующих математических выражений:


Важно особо обратить внимание, что в расчетах размера платы за содержание общего имущества в МКД не подлежит применению площадь помещений, входящих в состав общего имущества в МКД.
Отмечается, что доля в праве общей долевой собственности на общее имущество в МКД (di) либо не имеет размерности, либо измеряется в процентах. Законом не предусмотрено измерение доли в праве общедолевой собственности на общее имущество в МКД в единицах площади (м2).
Учитывая, что Pi = di x P, при этом
, справедливо выражение:

Согласно позиции Верховного суда Российской Федерации размер платы за содержание жилого помещения для i-того собственника помещения в МКД определяется долей в праве общей долевой собственности на общее имущество в МКД, которая пропорциональна, а не равна площади принадлежащего собственнику помещения.
Как следует из приведенной ранее формулы
, доля i-того собственника помещения в МКД в праве общей долевой собственности на общее имущество в МКД именно пропорциональна, а не равна площади принадлежащего i-тому собственнику помещения в МКД.
При этом коэффициентом пропорциональности является величина
, поскольку справедливо выражение:

Учитывая, что Pi = di x P, получим:

Следовательно, если размер платы за содержание жилого помещения утвержден в виде суммарного размера платы за содержание жилого помещения, подлежащей оплате совокупно всеми собственниками помещений в МКД, ранее обозначенного P и определенного в единицах измерения руб./мес., тогда размер платы за содержание жилого помещения для i-того собственника помещения в МКД, ранее обозначенный Pi, определяется как произведение суммарного размера платы за содержание жилого помещения, подлежащий оплате совокупно всеми собственниками помещений в МКД, ранее обозначенного P, на долю i-того собственника помещения в МКД в праве общедолевой собственности на общее имущество в МКД, ранее обозначенную di, равную
, что также равно
.
Приведенный порядок расчета соответствует позиции Верховного суда Российской Федерации и позиции Минстроя России.
Вместе с тем, отмечается следующее.
В формуле
применяются величины Sоб и P, которые можно считать постоянными на период действия утвержденного размера платы за содержание жилого помещения, поскольку:
- в силу части 7 статьи 156 ЖК РФ размер платы за содержание жилого помещения в МКД устанавливается на срок не менее чем один год, при этом по истечении года в случае если договором управления МКД не предусмотрен порядок изменения указанного размера платы и общим собранием собственников помещений в МКД не принималось решений об изменении такого размера платы, продолжает действовать ранее утвержденный размер платы за содержание жилого помещения (ранее обозначенный P);
- общая площадь помещений в МКД, ранее обозначенная Sоб, может изменяться при изменении площади отдельных помещений в МКД, однако изменение площади одного из множества помещений в МКД несущественно влияет на величину Sоб, при этом изменения площади отдельных помещений в МКД, сопряженные с изменением состава общего имущества в МКД (в том числе с изменением площади помещений, входящих в состав общего имущества в МКД), требуют согласия собственников помещений в МКД, которое в большинстве случаев получить затруднительно, вследствие указанных обстоятельств динамика изменений Sоб крайне низка, в подавляющем числе МКД указанная величина является постоянной на протяжении многих лет.
Таким образом, в формуле
, которую можно представить в виде
или
, величина
, равная
, является постоянной на период действия утвержденного размера платы за содержание жилого помещения.
В этой связи допустимо утверждать размер платы за содержание жилого помещения не в виде суммарного размера платы за содержание жилого помещения, подлежащей оплате совокупно всеми собственниками помещений в МКД, ранее обозначенного P и определенного в единицах измерения руб./мес., а в виде удельного размера платы за содержание жилого помещения на 1 м2 площади жилых и нежилых помещений, равного
и определенного в единицах измерения руб./(м2·мес.).
Допустимость такого способа утверждения размера платы за содержание жилого помещения подтверждается в том числе пунктом 2 Правил проведения органом местного самоуправления открытого конкурса по отбору управляющей организации для управления многоквартирным домом, утвержденных постановлением Правительства Российской Федерации от 6 февраля 2006 г. N 75, которым понятие "размер платы за содержание и ремонт жилого помещения" определено как плата, включающая в себя плату за работы и услуги по управлению МКД, содержанию, текущему и капитальному ремонту общего имущества собственников помещений в МКД, установленная из расчета 1 кв. метра общей площади жилого или нежилого помещения в МКД.
Учитывая, что
, одинаковые результаты расчета размера платы за содержание жилого помещения дают следующие способы:
1) утверждение размера платы за содержание жилого помещения в виде суммарного размера платы за содержание жилого помещения, подлежащей оплате совокупно всеми собственниками помещений в МКД, в настоящем письме обозначенного P и определенного в единицах измерения руб./мес., в целях дальнейшего деления такой величины на Sоб и умножения на Si при расчете размера платы за содержание жилого помещения для i-того собственника помещения в МКД;
2) утверждение размера платы за содержание жилого помещения в виде отношения
, определенного в единицах измерения руб./(м2·мес.), в целях дальнейшего умножения такой величины на Si при расчете размера платы за содержание жилого помещения для i-того собственника помещения в МКД.
Указанное разъяснение содержится в том числе в письме Минстроя России от 29 сентября 2025 года N 57757-ДН/04.
При этом отмечается, что способ утверждения размера платы за содержание жилого помещения в виде удельного размера платы за содержание жилого помещения на 1 м2 площади жилых и нежилых помещений, равного
и определенного в единицах измерения руб./(м2·мес.), применяется в подавляющем числе случаев.
Как следует из представленных в настоящем письме разъяснений, указанный способ математически соответствует порядку расчета размера платы за содержание жилого помещения, учитывающему, что размер платы за содержание жилого помещения для i-того собственника помещения в МКД определяется долей в праве общей долевой собственности на общее имущество в МКД, которая пропорциональна, а не равна площади принадлежащего собственнику помещения, что соответствует позиции Верховного суда Российской Федерации.
Особо отмечается, что применение в расчетах размера платы за содержание жилого помещения площади помещений, входящих в состав общего имущества в МКД, обозначаемой SОИ (единица измерения м2), не предусмотрено законом.
Дополнительно проанализируем предлагаемый отдельными лицами порядок расчета доли i-того собственника помещения в МКД в праве общедолевой собственности на общее имущество в МКД, обозначенной в настоящем письме di, по формуле:

где:
di - доля i-того собственника помещения в МКД в праве общедолевой собственности на общее имущество в МКД;
Si - площадь помещения в МКД, принадлежащего i-тому собственнику, м2;
Sоб - общая площадь жилых и нежилых помещений в МКД (за исключением помещений, входящих в состав общего имущества в МКД), м2;
SОИ - площадь помещений, входящих в состав общего имущества в МКД, м2.
Применение предлагаемой формулы приводит к определению доли i-того собственника помещения в МКД в праве общедолевой собственности на общее имущество в МКД, обозначенной в настоящем письме di, в единицах измерения площади (м2), тогда как доля в праве является безразмерной величиной (либо измеряется в процентах).
Важно отметить, что сторонники указанного способа расчета не возражают против утверждения размера платы за содержание жилого помещения в виде удельного размера платы за содержание жилого помещения на 1 м2 площади жилых и нежилых помещений, равного
и определенного в единицах измерения руб./(м2·мес.).
Далее сторонники указанного способа расчета предлагают проводить расчет размера платы за содержание жилого помещения, подлежащего оплате i-тым собственником помещения в МКД, измеряемого в руб./мес., не по указанной в настоящем письме формуле Pi = di x P, применение которой как разъяснено ранее, соответствует позициям Верховного суда Российской Федерации и Минстроя России, а по не имеющей логике формуле:

То есть, предлагается долю i-того собственника помещения в МКД в праве общедолевой собственности на общее имущество в МКД, рассчитанную по некорректной формуле, умножить на удельный размер платы за содержание жилого помещения на 1 м2 площади жилых и нежилых помещений в МКД.
Применив предлагаемую сторонниками указанного способа расчета формулу расчета di, получим следующее математическое выражение:

Какой логический и (или) математический смысл указанной формулы, непонятно. Для чего в числителе используется произведение площади помещения i-того собственника и площади помещений, входящих в состав общего имущества в МКД, а в знаменателе квадрат общей площади помещений в МКД, и что характеризуют указанные величины, непонятно.
Если на основании приведенной формулы рассчитать общий размер платы за содержание жилого помещения, подлежащего оплате совокупно всеми собственниками помещений в МКД, обозначенный в настоящем письме P и измеряемый в руб./мес., по ранее приведенной в настоящем письме формуле
, получим следующее:

Учитывая, что величины SОИ, P, Sоб являются постоянными на период действия утвержденного размера платы за содержание жилого помещения, перепишем выражение в следующем виде:

Поскольку общая площадь жилых и нежилых помещений в МКД равна сумме площадей таких помещений, то есть как ранее указано в настоящем письме
, полученное выражение примет вид:

Очевидно, что в случае если SОИ не равно Sоб, а именно такое обстоятельство имеет место в большинстве МКД, приведенное математическое тождество неверно.
При этом в случае если площадь помещений, входящих в состав общего имущества в МКД, меньше общей площади жилых и нежилых помещений в МКД (то есть в выражении
числитель меньше знаменателя), а в подавляющем числе МКД именно такая ситуация, тогда суммарный размер платы за содержание жилого помещения, подлежащей оплате совокупно всеми собственниками помещений в МКД, ниже этой же величины, на основании которой выполнен весь расчет (если SОИ < Sоб, тогда
), то есть получается неверное математическое неравенство P < P.
Следовательно, лицо, осуществляющее управление МКД, стоимость услуг и работ по содержанию жилого помещения оказываемых которым, утвержденная решением общего собрания собственников помещений в МКД, составляет всего P (руб./мес.), никогда не сможет получить оплату оказанных услуг и выполненных работ в утвержденном размере, даже при 100%-ной собираемости платежей.
Если же рассмотреть МКД, в котором помещения в составе общего имущества отсутствуют (например, одноэтажный МКД, включающий в себя две квартиры, входные двери которых ведут непосредственно на улицу, при этом отсутствуют какие-либо помещения в составе общего имущества, в том числе отсутствуют подвал и чердак), то есть SОИ = 0, тогда результатом предлагаемого расчета размера платы за содержание жилого помещения для i-того собственника будет:

То есть, независимо от состава предоставляемых услуг и работ (даже при бесконечном перечне таких услуг и работ), независимо от утвержденного удельного размера платы за содержание жилого помещения
(именно эту величину предлагают утверждать сторонники анализируемого способа расчета, и такая величина будет больше нуля), размер платы для всех собственников помещений в МКД, в котором отсутствуют помещения в составе общего имущества в МКД, при применении предлагаемого способа расчета всегда будет равен нулю.
Важно отметить, что состав общего имущества в МКД не ограничивается помещениями, в этой связи общее имущество есть в том числе в МКД, в котором отсутствуют помещения в составе общего имущества. В состав указанного общего имущества в соответствии с частью 1 статьи 36 ЖК РФ могут входить крыши, ограждающие несущие и ненесущие конструкции данного дома, механическое, электрическое, санитарно-техническое и другое оборудование, находящееся в данном доме за пределами или внутри помещений и обслуживающее более одного помещения, земельный участок, на котором расположен данный дом, с элементами озеленения и благоустройства, иные предназначенные для обслуживания, эксплуатации и благоустройства данного дома и расположенные на указанном земельном участке объекты.
Применение предлагаемого способа расчета приведет к тому, что все указанные элементы общего имущества в МКД, в котором отсутствуют помещения в составе общего имущества, лицо, осуществляющее управление МКД, должно содержать бесплатно.
Очевидно, что исполнителя услуг и работ по содержанию жилого помещения в указанном случае будет практически невозможно найти.
Из вышесказанного следует, что применение в расчетах размера платы за содержание жилого помещения площади помещений, входящих в состав общего имущества, обозначаемой SОИ (единица измерения м2), равно как и определение доли i-того собственника помещения в МКД в праве общедолевой собственности на общее имущество в МКД, обозначенной в настоящем письме di, по формуле
, не предусмотрено законом, является неверным и приводит к некорректному результату.
Таким образом, при рассмотрении вопросов, касающихся порядка расчета размера платы за содержание жилого помещения, следует руководствоваться вышеприведенными положениями действующего законодательства Российской Федерации.
Дополнительно отмечается, что в соответствии со статьями 20 и 196 ЖК РФ надзор за соблюдением юридическими лицами, индивидуальными предпринимателями и гражданами обязательных требований, установленных жилищным законодательством, осуществляется исполнительными органами субъектов Российской Федерации, уполномоченными на осуществление государственного жилищного надзора.
Обращаем внимание, что в соответствии с пунктом 2 Правил подготовки нормативных правовых актов федеральных органов исполнительной власти и их государственной регистрации, утвержденных постановлением Правительства Российской Федерации от 13 августа 1997 г. N 1009, письма федеральных органов исполнительной власти не являются нормативными правовыми актами.
Таким образом, письма Минстроя России и его структурных подразделений, в которых разъясняются вопросы применения нормативных правовых актов, не содержат правовых норм, являются позицией Минстроя России, не направлены на установление, изменение или отмену правовых норм, а содержащиеся в них разъяснения не могут рассматриваться в качестве общеобязательных государственных предписаний постоянного или временного характера.
Заместитель директора
Департамента развития
жилищно-коммунального хозяйства
Д.Ю.НИФОНТОВ