"Методика оценки реализации государственных программ Российской Федерации в рамках осуществления последующего контроля за исполнением федерального бюджета"
Утверждена
Коллегией Счетной палаты
Российской Федерации
(протокол
от 28 февраля 2023 г. N 9К (1614))
СЧЕТНАЯ ПАЛАТА РОССИЙСКОЙ ФЕДЕРАЦИИ
МЕТОДИКА
ОЦЕНКИ РЕАЛИЗАЦИИ ГОСУДАРСТВЕННЫХ ПРОГРАММ РОССИЙСКОЙ
ФЕДЕРАЦИИ В РАМКАХ ОСУЩЕСТВЛЕНИЯ ПОСЛЕДУЮЩЕГО КОНТРОЛЯ
ЗА ИСПОЛНЕНИЕМ ФЕДЕРАЛЬНОГО БЮДЖЕТА
(с изменениями, утвержденными
Коллегией Счетной палаты Российской Федерации,
протокол от 6 ноября 2025 г. N 95К (1880))
Общие сведения
1. РАЗРАБОТАНА Департаментом исследований и методологии аппарата Счетной палаты Российской Федерации.
2. ДАТА ВСТУПЛЕНИЯ В СИЛУ:
3. ВЗАМЕН Методики оценки качества формирования и реализации государственных программ Российской Федерации в рамках осуществления последующего контроля за исполнением федерального бюджета (протокол от 9 марта 2022 г. N 11К (1536)).
1. Общие положения
1.1. Методика оценки реализации государственных программ Российской Федерации в рамках осуществления последующего контроля за исполнением федерального бюджета (далее - Методика) разработана в целях определения алгоритма оценки реализации государственных программ (комплексных программ) <1> Российской Федерации (далее - государственные программы) в ходе внешней проверки годового отчета об исполнении федерального бюджета и подготовки заключения на годовой отчет об исполнении федерального бюджета <2> (далее - внешняя проверка годового отчета об исполнении федерального бюджета).
--------------------------------
<1> Часть 8 статьи 14 Федерального закона от 5 апреля 2013 г. N 41-ФЗ "О Счетной палате Российской Федерации" (далее - Федеральный закон N 41-ФЗ).
<2> Часть 4 статьи 20 Федерального закона N 41-ФЗ.
1.2. Методика разработана с учетом положений стандарта внешнего государственного аудита (контроля) 104 "Аудит эффективности" (далее - СГА 104 "Аудит эффективности"), стандарта внешнего государственного аудита (контроля) 203 "Последующий контроль за исполнением федерального бюджета" (далее - СГА 203 "Последующий контроль за исполнением федерального бюджета"), а также с учетом положений иных стандартов внешнего государственного аудита (контроля) и методических документов Счетной палаты Российской Федерации (далее - Счетная палата).
(в ред. протокола Коллегии Счетной палаты РФ от 06.11.2025 N 95К (1880))
2. Оценка реализации государственных программ в ходе внешней
проверки годового отчета об исполнении федерального бюджета
2.1. Оценка реализации государственных программ в ходе внешней проверки годового отчета об исполнении федерального бюджета осуществляется в формате экспресс-оценки (далее - оценка реализации государственных программ), которая предполагает:
деятельность инспектора (группы инспекторов) по оценке реализации государственных программ в условиях временных ограничений. Рекомендуемые временные затраты - не более трех недель для оценки одной государственной программы;
оценку реализации государственных программ за отчетный год по ограниченному количеству параметров и блоков, предусмотренных пунктами 2.5 и 2.6 Методики, с использованием расчетов (расчетного файла), подготавливаемых в соответствии с СГА 203 "Последующий контроль за исполнением федерального бюджета";
(в ред. протокола Коллегии Счетной палаты РФ от 06.11.2025 N 95К (1880))
учет результатов оценки реализации государственных программ при принятии решений в части проведения отдельных тематических контрольных или экспертно-аналитических мероприятий по аудиту государственных программ, определения целей, вопросов и предмета таких мероприятий на основе риск-ориентированного подхода и положений Методических рекомендаций по проведению аудита государственных программ Российской Федерации, реализации национальных проектов (программ) и федеральных проектов <2(1)>, а также при проведении экспертизы проектов государственных программ, проектов изменений в указанные программы в соответствии с Методическими указаниями по проведению экспертизы проектов государственных программ Российской Федерации <2(2)>.
(в ред. протокола Коллегии Счетной палаты РФ от 06.11.2025 N 95К (1880))
--------------------------------
<2(1)> Утверждены Коллегией Счетной палаты (протокол от 12 апреля 2024 г. N 22К (1706)).
(сноска введена протоколом Коллегии Счетной палаты РФ от 06.11.2025 N 95К (1880))
<2(2)> Утверждены Коллегией Счетной палаты (протокол от 22 декабря 2022 г. N 80К (1605)).
(сноска введена протоколом Коллегии Счетной палаты РФ от 06.11.2025 N 95К (1880))
2.2. Оценка реализации государственных программ осуществляется в отношении государственных программ в целом, а не в отношении главных администраторов средств федерального бюджета, являющихся ответственными исполнителями, соисполнителями или участниками государственных программ.
2.3. Для государственных программ, содержащих сведения, составляющие государственную тайну, положения Методики применяются с учетом состава и содержания материалов, доступных для проведения оценки, на основании мотивированного решения члена Коллегии Счетной палаты в рамках компетенции, установленной Регламентом Счетной палаты.
(в ред. протокола Коллегии Счетной палаты РФ от 06.11.2025 N 95К (1880))
Отдельная оценка реализации государственной программы только в части сведений, составляющих государственную тайну, не производится. Оценка осуществляется в целом по государственной программе. При этом членом Коллегии Счетной палаты принимается одно из следующих решений об отражении в предложениях для включения в заключение Счетной палаты на отчет об исполнении федерального бюджета за отчетный год результатов оценки реализации государственной программы:
в случае, если объем сведений, составляющих государственную тайну, незначителен, информация о реализации государственной программы в части сведений, составляющих государственную тайну, приводится в описательном порядке без проведения оценки. Такое изложение (описание) осуществляется в соответствии с установленным порядком по работе со сведениями, составляющими государственную тайну. Оценка реализации государственной программы проводится только на основании открытых данных и (или) данных для служебного пользования;
в случае, если объем сведений, составляющих государственную тайну, значителен (как с точки зрения финансового обеспечения, так и наличия показателей, мероприятий (результатов), формируется общая (единая) оценка с использованием сведений как составляющих, так и не составляющих государственную тайну. Такую оценку необходимо проводить в соответствии с установленным порядком работы со сведениями, составляющими государственную тайну.
2.4. Оценка реализации государственных программ включает:
оценку исполнения государственной программы по ресурсам и результатам;
оценку формирования и использования системы показателей исходя из приоритетов социально-экономического развития Российской Федерации по результатам проверки исполнения государственной программы.
Оценка формирования и использования системы показателей исходя из приоритетов социально-экономического развития Российской Федерации по результатам проверки исполнения государственной программы необходима для исследования отдельных параметров государственной программы (состояние, в котором находилась государственная программа в ходе ее исполнения в отчетном году), влияющих на реализацию государственной программы.
2.5. Оценка исполнения государственной программы по ресурсам и результатам в отчетном году состоит из следующих блоков:
1) оценка кассового исполнения по расходам федерального бюджета на реализацию государственной программы за отчетный год;
1(1)) оценка планирования и привлечения внебюджетных источников на реализацию государственной программы за отчетный год;
(введен протоколом Коллегии Счетной палаты РФ от 06.11.2025 N 95К (1880))
2) анализ объема проектной части государственной программы;
3) оценка объема изменений, внесенных в сводную бюджетную роспись федерального бюджета (в отчетном году);
4) оценка реализации мероприятий (достижения результатов) структурных элементов государственной программы за отчетный год;
5) оценка достижения плановых значений показателей государственной программы за отчетный год;
5(1)) оценка достижения плановых значений показателей структурных элементов государственной программы за отчетный год;
(введен протоколом Коллегии Счетной палаты РФ от 06.11.2025 N 95К (1880))
6) оценка динамики дебиторской задолженности по расчетам по авансовым платежам (за отчетный год);
7) оценка ввода объектов в эксплуатацию в рамках реализации государственной программы (за отчетный год).
2.6. Оценка формирования и использования системы показателей исходя из приоритетов социально-экономического развития Российской Федерации по результатам проверки исполнения государственной программы состоит из следующих блоков:
1) оценка состава показателей государственной программы;
2) утратил силу. - Протокол Коллегии Счетной палаты РФ от 06.11.2025 N 95К (1880);
3) оценка стабильности состава показателей государственной программы за три года (в ретроспективе);
4) оценка динамики плановых (фактических) значений показателей государственной программы;
5) оценка количества показателей государственной программы, по которым представлены фактические значения за отчетный год;
6) оценка количества показателей государственной программы, по которым формируется официальная статистическая информация в соответствии с федеральным планом статистических работ и которые рассчитываются по методикам, принятым международными организациями.
2.7. В Методике под показателями государственной программы понимаются показатели уровня государственной программы, отраженные в разделе 2 "Показатели государственной программы (комплексной программы) Российской Федерации" паспорта государственной программы <3> (далее также - показатели государственной программы, показатели).
--------------------------------
<3> Показатели, отраженные в разделе 2.1 "Аналитические (сквозные) показатели социально-экономического развития Российской Федерации и обеспечения национальной безопасности Российской Федерации в рамках государственной программы (комплексной программы) Российской Федерации" паспорта государственной программы, оценке в рамках Методики не подлежат.
2.8. Оценка стабильности состава показателей государственной программы, предусмотренная подпунктом 3 пункта 2.6 Методики, осуществляется начиная с отчетного 2024 года.
2.9. Для оценки реализации государственных программ применяется информация, представленная в сводном годовом докладе о ходе реализации и оценке эффективности государственных программ <4>. При отсутствии информации в сводном годовом докладе о ходе реализации и оценке эффективности государственных программ, необходимой для применения Методики, используются данные уточненного годового отчета о ходе реализации государственной программы. При этом осуществляется проверка (сравнение) информации, представленной в сводном годовом докладе о ходе реализации и оценке эффективности государственных программ и уточненном годовом отчете о ходе реализации государственной программы. Факты несоответствия информации подлежат отражению в предложениях для включения в заключение Счетной палаты на отчет об исполнении федерального бюджета за отчетный год в части анализа и оценки соответствующей государственной программы.
(в ред. протокола Коллегии Счетной палаты РФ от 06.11.2025 N 95К (1880))
--------------------------------
<4> Сводный годовой доклад о ходе реализации и оценке эффективности государственных программ как часть информации, предоставляемой одновременно с годовым отчетом об исполнении федерального бюджета, в соответствии с подпунктом 7 пункта 2 статьи 264.10 Бюджетного кодекса Российской Федерации.
(в ред. протокола Коллегии Счетной палаты РФ от 06.11.2025 N 95К (1880))
2.10. В результате анализа реализации государственной программы по блокам, указанным в пунктах 2.5 и 2.6 Методики, за исключением блока по анализу объема проектной части государственной программы (подпункт 2 пункта 2.5), присваивается следующая оценка: "высокий уровень", "средний уровень", "низкий уровень"
2.11. При оценке реализации государственных программ могут быть также рассмотрены и проанализированы иные, не указанные в пунктах 2.5 и 2.6 Методики параметры государственной программы в соответствии с примерной программой проведения контрольного мероприятия по проверке исполнения федерального закона о федеральном бюджете за отчетный финансовый год и бюджетной отчетности об исполнении федерального бюджета за отчетный финансовый год в главном администраторе средств федерального бюджета, включающей в себя вопросы по проверке исполнения федерального закона о федеральном бюджете за отчетный финансовый год и бюджетной отчетности об исполнении федерального бюджета за отчетный финансовый год в подведомственных главному администратору средств федерального бюджета учреждениях, организациях и территориальных органах, и СГА 203 "Последующий контроль за исполнением федерального бюджета".
(в ред. протокола Коллегии Счетной палаты РФ от 06.11.2025 N 95К (1880))
При этом результаты анализа таких дополнительных параметров в итоговой оценке реализации государственной программы не учитываются, но при необходимости могут быть направлены в соответствующее структурное подразделение аппарата Счетной палаты для включения в заключение Счетной палаты на отчет об исполнении федерального бюджета за отчетный год.
2.12. Итоговая оценка реализации государственной программы осуществляется в соответствии с разделом 16 Методики.
3. Оценка кассового исполнения по расходам
федерального бюджета на реализацию государственной программы
за отчетный год
3.1. Оценка кассового исполнения по расходам федерального бюджета на реализацию государственной программы за отчетный год основывается на степени кассового исполнения.
3.2. Оценка кассового исполнения по расходам федерального бюджета на реализацию государственной программы за отчетный год проводится исходя из:
бюджетных ассигнований федерального бюджета, запланированных на реализацию государственной программы (в соответствии с показателями сводной бюджетной росписи федерального бюджета на 31 декабря отчетного года);
кассовых расходов федерального бюджета на реализацию государственной программы (в соответствии с бюджетной отчетностью за отчетный год).
3.3. Степень кассового исполнения по расходам федерального бюджета на реализацию государственной программы за отчетный год рассчитывается по формуле:

где:
СКИГП - степень кассового исполнения по расходам федерального бюджета на реализацию государственной программы за отчетный год;
РкГП - кассовые расходы федерального бюджета на реализацию государственной программы за отчетный год;
РпГП - бюджетные ассигнования федерального бюджета, запланированные на реализацию государственной программы (в соответствии с показателями сводной бюджетной росписи федерального бюджета на 31 декабря отчетного года).
При определении бюджетных ассигнований федерального бюджета, запланированных на реализацию государственной программы (в соответствии с показателями сводной бюджетной росписи федерального бюджета на 31 декабря отчетного года), не учитывается объем средств резервного фонда Правительства Российской Федерации и резервного фонда Президента Российской Федерации <5>, предусмотренных в государственной программе Российской Федерации "Управление государственными финансами и регулирование финансовых рынков".
--------------------------------
<5> Отражаются по кодам направлений расходов 20540 и 20550 соответственно.
3.4. Оценка по рассматриваемому блоку присваивается следующим образом:
"низкий уровень" - степень кассового исполнения по расходам федерального бюджета на реализацию государственной программы за отчетный финансовый год составляет менее 80%;
"средний уровень" - степень кассового исполнения по расходам федерального бюджета на реализацию государственной программы за отчетный финансовый год составляет от 80% (включительно) до 97%;
"высокий уровень" - степень кассового исполнения по расходам федерального бюджета на реализацию государственной программы за отчетный финансовый год составляет 97% и более.
3(1). Оценка планирования и привлечения внебюджетных
источников на реализацию государственной программы
за отчетный год
(раздел введен протоколом Коллегии Счетной палаты РФ
от 06.11.2025 N 95К (1880))
3(1).1. Оценка планирования и привлечения внебюджетных источников на реализацию государственной программы за отчетный год основывается на расчете степени исполнения финансового обеспечения за счет средств внебюджетных источников на реализацию государственной программы.
3(1).2. Оценка планирования и привлечения внебюджетных источников на реализацию государственной программы за отчетный год проводится исходя из:
финансового обеспечения за счет средств внебюджетных источников, запланированного на реализацию государственной программы (в соответствии с параметрами паспорта государственной программы по состоянию на 31 декабря отчетного года);
исполнения финансового обеспечения за счет средств внебюджетных источников на реализацию государственной программы (в соответствии с отчетом о ходе реализации государственной программы за отчетный год).
Оценка планирования и привлечения внебюджетных источников на реализацию государственной программы за отчетный год стимулирует как повышение качества планирования параметров финансового обеспечения государственной программы за счет средств внебюджетных источников <5(1)>, так и степени исполнения финансового обеспечения за счет средств внебюджетных источников, не ухудшая запланированных параметров (с возможностью их увеличения).
--------------------------------
<5(1)> В соответствии с Правилами планирования параметров финансового обеспечения национальных проектов, государственных программ Российской Федерации, структурных элементов государственных программ Российской Федерации за счет внебюджетных источников, утвержденными постановлением Правительства Российской Федерации от 15 августа 2024 г. N 1093.
3(1).3. Степень исполнения финансового обеспечения за счет средств внебюджетных источников на реализацию государственной программы за отчетный год рассчитывается по формуле:

где:
СКИГПвб - степень исполнения финансового обеспечения за счет средств внебюджетных источников на реализацию государственной программы за отчетный год;
РкГПвб - исполнение финансового обеспечения за счет средств внебюджетных источников на реализацию государственной программы (в соответствии с отчетом о ходе реализации государственной программы за отчетный год);
РпГПвб - финансовое обеспечение за счет средств внебюджетных источников, запланированное на реализацию государственной программы (в соответствии с параметрами паспорта государственной программы по состоянию на 31 декабря отчетного года).
3(1).4. Оценка по рассматриваемому блоку присваивается следующим образом:
"низкий уровень" - степень исполнения финансового обеспечения за счет средств внебюджетных источников на реализацию государственной программы за отчетный финансовый год составляет менее 80% или 120% и более;
"средний уровень" - степень исполнения финансового обеспечения за счет средств внебюджетных источников на реализацию государственной программы за отчетный финансовый год составляет от 80% (включительно) до 97% или от 103% (включительно) до 120%;
"высокий уровень" - степень исполнения финансового обеспечения за счет средств внебюджетных источников на реализацию государственной программы за отчетный финансовый год составляет от 97% (включительно) до 103%.
В случае внесения изменений в государственную программу в течение отчетного года в части уменьшения объемов финансового обеспечения за счет средств внебюджетных источников на 10% и более по сравнению с редакцией паспорта государственной программы, приведенного в соответствие с федеральным законом о федеральном бюджете на текущий финансовый год и плановый период, оценка по рассматриваемому блоку снижается на один уровень от изначально полученной оценки.
4. Анализ объема проектной части государственной программы
4.1. Анализ объема проектной части государственной программы осуществляется на основе значения доли расходов федерального бюджета, направленных на реализацию федеральных проектов, ведомственных проектов, федеральных целевых программ, в общем объеме расходов на реализацию государственной программы.
4.2. Анализ объема проектной части государственной программы позволяет учитывать фактор проработанности государственной программы с точки зрения проектных принципов управления.
Любая программа в соответствии с лучшими практиками управления проектами и программами <6> объединяет взаимосвязанные друг с другом проекты (возможно - подпрограммы и операции программы), управление которыми координируется для получения выгод, которые были бы недоступны при управлении ими по отдельности. Программа всегда содержит проекты.
--------------------------------
<6> Например, Руководство к Своду знаний по управлению проектами (A Guide to the Project Management Body of Knowledge), Стандарт управления программой (The Standard for Program Management).
При этом если государственную программу считать портфелем проектов (содержит проекты и операционную деятельность, управляемые совместно с целью достижения стратегических целей), то даже в таком случае доля проектной части должна быть преобладающей.
Доля проектной части государственной программы отражает особенность государственной программы (ее процессный или проектный характер).
Государственной программой, в которой преобладает доля процессных расходов, управлять, как правило, легче.
4.3. Доля проектной части государственной программы рассчитывается по следующей формуле:

где:
ДРПР - доля проектной части государственной программы;
ОПРФБ - объем расходов федерального бюджета, направленных на реализацию федеральных проектов, ведомственных проектов, федеральных целевых программ, реализуемых в рамках государственной программы (в соответствии с показателями сводной бюджетной росписи федерального бюджета на 31 декабря отчетного финансового года);
ОБРФБ - общий объем расходов федерального бюджета, направленных на реализацию государственной программы (в соответствии с показателями сводной бюджетной росписи федерального бюджета на 31 декабря отчетного финансового года).
5. Оценка объема изменений, внесенных в сводную бюджетную
роспись федерального бюджета (в отчетном году)
5.1. Оценка объема изменений, внесенных в сводную бюджетную роспись федерального бюджета (в отчетном году), проводится на основе значения доли объема изменений (увеличения и (или) сокращения, внутреннего перераспределения - по модулю) бюджетных ассигнований к общему объему расходов федерального бюджета на реализацию государственной программы на начало отчетного года.
5.2. Оценка объема изменений, внесенных в сводную бюджетную роспись федерального бюджета (в отчетном году), проводится исходя изданных, содержащихся в:
форме 0501051 "Справка об изменении сводной бюджетной росписи федерального бюджета и лимитов бюджетных обязательств на финансовый год и плановый период";
форме 0501055 "Справка об изменении сводной бюджетной росписи федерального бюджета и лимитов бюджетных обязательств на финансовый год и на плановый период по предложению главного распорядителя средств федерального бюджета (главного администратора источников финансирования дефицита федерального бюджета)".
5.3. Оценка объема изменений, внесенных в сводную бюджетную роспись федерального бюджета (в отчетном году), отражает точность планирования бюджетных ассигнований федерального бюджета на реализацию государственной программы.
5.4. Доля объема изменений (увеличения и (или) сокращения, внутреннего перераспределения) бюджетных ассигнований рассчитывается по формуле:

где:
ДИЗГП - доля объема изменений (увеличения и (или) сокращения, внутреннего перераспределения) бюджетных ассигнований;
- объем n-го изменения (увеличения и (или) сокращения, внутреннего перераспределения) объема бюджетных ассигнований по государственной программе;
N - количество изменений в рамках ведения сводной бюджетной росписи федерального бюджета;
РпнгГП - бюджетные ассигнования федерального бюджета, запланированные на реализацию государственной программы (в соответствии с утвержденными показателями сводной бюджетной росписи федерального бюджета на 1 января отчетного года).
В случае если в рамках государственной программы имеет место внутреннее перераспределение, то такие изменения (то есть изменения в рамках одной справки об изменении сводной бюджетной росписи федерального бюджета) учитываются по модулю один раз.
В общий объем бюджетных ассигнований федерального бюджета на реализацию государственной программы на начало отчетного года (РпнгГП) не включаются средства резервного фонда Правительства Российской Федерации, резервного фонда Президента Российской Федерации, предусмотренные в рамках государственной программы Российской Федерации "Управление государственными финансами и регулирование финансовых рынков".
В объем изменений, внесенных в сводную бюджетную роспись федерального бюджета
, не включаются бюджетные ассигнования в части:
изменения резервного фонда Правительства Российской Федерации и резервного фонда Президента Российской Федерации в рамках государственной программы Российской Федерации "Управление государственными финансами и регулирование финансовых рынков";
изменений, вносимых в случае изменения функций и полномочий главных распорядителей (распорядителей), получателей бюджетных средств, а также в связи с передачей государственного (муниципального) имущества, изменением подведомственности распорядителей (получателей) бюджетных средств, централизацией закупок товаров, работ, услуг для обеспечения государственных (муниципальных) нужд в соответствии с частями 2 и 3 статьи 26 Федерального закона от 5 апреля 2013 г. N 44-ФЗ "О контрактной системе в сфере закупок товаров, работ, услуг для обеспечения государственных и муниципальных нужд" (код вида изменений - 211) <7>.
--------------------------------
<7> В соответствии с Порядком составления и ведения сводной бюджетной росписи федерального бюджета и бюджетных росписей главных распорядителей средств федерального бюджета, а также утверждения (изменения) и доведения (отзыва) лимитов бюджетных обязательств при организации исполнения федерального бюджета, утвержденным приказом Минфина России от 4 апреля 2024 г. N 39н.
(в ред. протокола Коллегии Счетной палаты РФ от 06.11.2025 N 95К (1880))
5.5. Оценка по рассматриваемому блоку присваивается следующим образом:
"низкий уровень" - доля объема изменений (увеличения и (или) сокращения, внутреннего перераспределения) бюджетных ассигнований составляет более 60%;
"средний уровень" - доля объема изменений (увеличения и (или) сокращения, внутреннего перераспределения) бюджетных ассигнований составляет от 30% (включительно) до 60% (включительно);
"высокий уровень" - доля объема изменений (увеличения и (или) сокращения, внутреннего перераспределения) бюджетных ассигнований составляет менее 30%.
6. Оценка реализации мероприятий (достижения
результатов) структурных элементов государственной программы
за отчетный год
6.1. Оценка реализации мероприятий (достижения результатов) структурных элементов государственной программы за отчетный год основывается на степени достижения мероприятий (результатов) структурных элементов государственной программы и доли реализованных мероприятий (достигнутых результатов) структурных элементов государственной программы за отчетный год (справочно).
6.2. Оценка реализации мероприятий (достижения результатов) структурных элементов государственной программы за отчетный год проводится исходя из:
плановых значений мероприятий (результатов) структурных элементов государственной программы на отчетный год, утвержденных в паспортах структурных элементов государственной программы в отчетном году (на 31 декабря отчетного года);
фактических значений мероприятий (результатов) структурных элементов государственной программы за отчетный год, представленных в годовых отчетах о ходе реализации структурных элементов государственной программы за соответствующий год.
6.3. Степень достижения q-ого мероприятия (результата) структурного элемента государственной программы за отчетный год рассчитывается по следующим формулам:
для мероприятий (результатов), желаемой тенденцией изменения которых является увеличение значений:

для мероприятий (результатов), желаемой тенденцией изменения которых является снижение значений:

где:
- степень достижения q-ого мероприятия (результата) структурного элемента государственной программы за отчетный год;
- фактическое значение q-ого мероприятия (результата) структурного элемента государственной программы на конец отчетного года;
- плановое значение q-ого мероприятия (результата) структурного элемента государственной программы на отчетный год.
В случае если по мероприятию (результату) структурного элемента государственной программы отсутствует фактическое значение за отчетный год или фактическое значение носит предварительный характер, то степень достижения такого мероприятия (результата) признается равной 0,0. Такой подход обусловлен тем, что на уровне структурных элементов государственной программы должны быть предусмотрены такие мероприятия (результаты), по которым к моменту формирования годовых отчетов о ходе реализации структурных элементов государственной программы должны быть доступны итоговые фактические данные <8>.
--------------------------------
<8> При проведении оценки реализации мероприятий (достижения результатов) структурных элементов государственной программы следует иметь в виду требование абзаца седьмого пункта 15 Положения о системе управления государственными программами Российской Федерации, утвержденного постановлением Правительства Российской Федерации от 26 мая 2021 г. N 786 (далее - Положение о системе управления государственными программами), в соответствии с которым мероприятие (результат) структурного элемента государственной программы должно формироваться исходя из принципов конкретности, точности, достоверности, измеримости (счетности), возможности мониторинга, в том числе ежемесячного мониторинга (при необходимости).
(в ред. протокола Коллегии Счетной палаты РФ от 06.11.2025 N 95К (1880))
В случае если степень достижения q-ого мероприятия (результата) структурного элемента государственной программы
больше 1,0, такие значения признаются равными 1,0. В случае если степень достижения q-ого мероприятия (результата) структурного элемента государственной программы
меньше 0,0, такие значения признаются равными 0,0.
6.4. Степень достижения мероприятий (результатов) структурных элементов государственной программы рассчитывается по каждой группе структурных элементов, а также в целом по государственной программе:
степень достижения результатов федеральных проектов государственной программы рассчитывается по формуле:

где:
- степень достижения всех результатов всех федеральных проектов государственной программы за отчетный год;
- степень достижения q-ого результата федерального проекта государственной программы за отчетный год;
РФП - общее количество результатов всех федеральных проектов государственной программы, предусмотренных к достижению в отчетном году;
степень достижения результатов ведомственных проектов государственной программы рассчитывается по формуле:

где:
- степень достижения всех результатов всех ведомственных проектов государственной программы за отчетный год;
- степень достижения q-ого результата ведомственного проекта государственной программы за отчетный год;
РВП - общее количество результатов всех ведомственных проектов государственной программы, предусмотренных к достижению в отчетном году;
степень достижения мероприятий (результатов) комплексов процессных мероприятий государственной программы рассчитывается по формуле:

где:
- степень достижения всех мероприятий (результатов) всех комплексов процессных мероприятий государственной программы за отчетный год;
- степень достижения q-ого мероприятия (результата) комплекса процессного мероприятия государственной программы за отчетный год;
РКПМ - общее количество мероприятий (результатов) всех комплексов процессных мероприятий государственной программы, предусмотренных к достижению в отчетном году;
степень достижения всех мероприятий (результатов) структурных элементов государственной программы рассчитывается по формуле:

(в ред. протокола Коллегии Счетной палаты РФ
от 06.11.2025 N 95К (1880))
где:
СДРЕЗитог - степень достижения всех мероприятий (результатов) всех структурных элементов государственной программы за отчетный год;
(в ред. протокола Коллегии Счетной палаты РФ от 06.11.2025 N 95К (1880))
- степень достижения q-ого мероприятия (результата) структурного элемента государственной программы за отчетный год;
Р - общее количество мероприятий (результатов) всех структурных элементов государственной программы, предусмотренных к достижению в отчетном году.
6.5. Оценка по рассматриваемому блоку присваивается следующим образом:
"низкий уровень" - степень достижения всех мероприятий (результатов) всех структурных элементов государственной программы составляет менее 70%;
"средний уровень" - степень достижения всех мероприятий (результатов) всех структурных элементов государственной программы составляет от 70% (включительно) до 90%;
"высокий уровень" - степень достижения всех мероприятий (результатов) всех структурных элементов государственной программы составляет 90% и более.
В случае внесения изменений в государственную программу в IV квартале отчетного года в части ухудшения ранее установленных плановых значений мероприятий (результатов) структурных элементов государственной программы, за исключением случаев наличия соответствующих решений Президента Российской Федерации (исключение применяется только при указании реквизитов таких решений), оценка по рассматриваемому блоку снижается на один уровень от изначально полученной оценки.
(в ред. протокола Коллегии Счетной палаты РФ от 06.11.2025 N 95К (1880))
6.6. Оценка доли реализованных мероприятий (достигнутых результатов) структурных элементов государственной программы за отчетный год проводится аналитически (справочно) и не участвует в формировании итоговой оценки реализации государственной программы.
Реализованными (достигнутыми) считаются мероприятия (результаты) структурных элементов государственной программы, степень достижения которых в соответствии с пунктом 6.3 Методики составляет 1,0, а также по которым в годовых отчетах о ходе реализации структурных элементов государственной программы проставлен статус "Выполнено" (при наличии такого статуса) и по которым фактическая дата достижения не превышает плановой даты.
(в ред. протокола Коллегии Счетной палаты РФ от 06.11.2025 N 95К (1880))
Доля реализованных мероприятий (достигнутых результатов) структурных элементов государственной программы рассчитывается по каждой группе структурных элементов, а также в целом по государственной программе:
доля достигнутых результатов федеральных проектов государственной программы рассчитывается по формуле:

где:
- доля достигнутых результатов всех федеральных проектов государственной программы;
ВРФП - количество достигнутых результатов всех федеральных проектов государственной программы;
РФП - общее количество результатов всех федеральных проектов государственной программы, предусмотренных к достижению в отчетном году;
доля достигнутых результатов ведомственных проектов государственной программы рассчитывается по формуле:

где:
- доля достигнутых результатов всех ведомственных проектов государственной программы;
ВРВП - количество достигнутых результатов всех ведомственных проектов государственной программы;
РВП - общее количество результатов всех ведомственных проектов государственной программы, предусмотренных к достижению в отчетном году;
доля реализованных мероприятий (достигнутых результатов) всех комплексов процессных мероприятий государственной программы рассчитывается по формуле:

где:
- доля реализованных мероприятий (достигнутых результатов) всех комплексов процессных мероприятий государственной программы;
ВРКПМ - количество реализованных мероприятий (достигнутых результатов) всех комплексов процессных мероприятий государственной программы;
РКПМ - общее количество мероприятий (результатов) всех комплексов процессных мероприятий государственной программы, предусмотренных к достижению в отчетном году;
доля реализованных мероприятий (достигнутых результатов) всех структурных элементов государственной программы рассчитывается по формуле:

где:
ДРР - доля реализованных мероприятий (достигнутых результатов) всех структурных элементов государственной программы;
ВР - количество реализованных мероприятий (достигнутых результатов) всех структурных элементов государственной программы;
Р - общее количество мероприятий (результатов) всех структурных элементов государственной программы, предусмотренных к достижению в отчетном году.
Оценка по предусмотренному настоящим пунктом аналитическому (справочному) блоку присваивается следующим образом:
"низкий уровень" - доля реализованных мероприятий (достигнутых результатов) всех структурных элементов государственной программы составляет менее 70%;
"средний уровень" - доля реализованных мероприятий (достигнутых результатов) всех структурных элементов государственной программы составляет от 70% (включительно) до 90%;
"высокий уровень" - доля реализованных мероприятий (достигнутых результатов) всех структурных элементов государственной программы составляет 90% и более.
7. Оценка достижения плановых значений показателей
государственной программы за отчетный год
7.1. Оценка достижения показателей государственной программы за отчетный год основывается на степени достижения показателей государственной программы и доли выполненных показателей государственной программы (справочно).
7.2. По показателям государственной программы, по которым в уточненном годовом отчете о ходе реализации государственной программы за отчетный год представлены предварительные данные об их выполнении, степень достижения показателей государственной программы определяется с учетом коэффициента точности прогноза.
(в ред. протокола Коллегии Счетной палаты РФ от 06.11.2025 N 95К (1880))
Коэффициент точности прогноза рассчитывается для каждого показателя государственной программы, по которому в уточненном годовом отчете о ходе реализации государственной программы за отчетный год были представлены предварительные данные о достижении такого показателя.
(в ред. протокола Коллегии Счетной палаты РФ от 06.11.2025 N 95К (1880))
Коэффициент точности прогноза рассчитывается на основе:
предварительных значений показателя государственной программы, представленных в уточненных годовых отчетах о ходе реализации государственной программы за два года, предшествующих отчетному;
(в ред. протокола Коллегии Счетной палаты РФ от 06.11.2025 N 95К (1880))
итоговых фактических значений по таким показателям за соответствующий год (например, на основании данных официальной статистики).
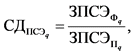
Коэффициент точности прогноза за период рассчитывается по следующей формуле:

где:
- коэффициент точности прогноза достижения q-ого показателя государственной программы за период t;
- итоговое фактическое значение q-ого показателя государственной программы в периоде t, указанное, например, в данных официальной статистики;
- предварительное значение q-ого показателя государственной программы в периоде t, указанное в уточненном годовом отчете о ходе реализации государственной программы.
(в ред. протокола Коллегии Счетной палаты РФ от 06.11.2025 N 95К (1880))
Для расчета коэффициентов точности прогноза используются два периода со следующими индексами для q, характеризующими период:
"1" - год предшествующий отчетному;
"0" - год предшествующий периоду "1".
Коэффициент точности прогноза достижения q-ого показателя государственной программы за два периода вычисляется по следующей формуле:

где:
- коэффициент точности прогноза достижения q-ого показателя государственной программы за два периода;
- коэффициент точности прогноза достижения q-ого показателя государственной программы в году, предшествующем отчетному (период "1");
- коэффициент точности прогноза достижения q-ого показателя государственной программы в году, предшествующем периоду "1" (период "0").
Коэффициент точности прогноза определяется с точностью до трех знаков после запятой.
В случае если данные для расчета коэффициента точности прогноза для показателя государственной программы по одному из двух периодов отсутствуют (например, ввиду отсутствия показателя в государственной программе ранее), коэффициент точности прогноза рассчитывается на основе данных имеющегося периода.
Коэффициенты точности прогноза позволяют:
сформировать отношение к предварительным данным по показателям государственной программы (доверие к предварительным данным);
скорректировать (при оценке достижения показателя государственной программы за отчетный год) предварительные данные за отчетный год с учетом коэффициента точности прогноза по каждому показателю.
7.3. Оценка достижения показателей государственной программы за отчетный год проводится исходя из:
плановых значений показателей на отчетный год, утвержденных в государственной программе в отчетном году (на 31 декабря отчетного года);
фактических (прогнозных) значений показателей государственной программы за отчетный год, представленных в уточненных годовых отчетах о ходе реализации государственной программы за соответствующий год.
(в ред. протокола Коллегии Счетной палаты РФ от 06.11.2025 N 95К (1880))
7.4. Степень достижения q-ого показателя государственной программы рассчитывается по следующим формулам:
для показателей, желаемой тенденцией изменения которых является увеличение значений:

для показателей, желаемой тенденцией изменения которых является снижение значений:

где:
- степень достижения q-ого показателя государственной программы;
- фактическое (прогнозное) значение q-ого показателя государственной программы, достигнутое на конец отчетного периода;
- плановое значение q-ого показателя государственной программы;
- коэффициент точности прогноза q-ого показателя государственной программы.
Коэффициент точности прогноза применяется для показателей государственной программы, по которым в уточненном годовом отчете о ходе реализации государственной программы за отчетный год представлены предварительные данные. В остальных случаях коэффициент точности прогноза равен 1,0.
(в ред. протокола Коллегии Счетной палаты РФ от 06.11.2025 N 95К (1880))
В случае если плановые значения показателя государственной программы представлены закрытым интервалом (от одного определенного значения до другого определенного значения), в целях настоящей оценки в качестве планового значения устанавливается величина, равная среднему арифметическому значению пределов такого интервала. В случае если плановые значения представлены открытым интервалом (больше или меньше определенного значения), в целях настоящей оценки в качестве планового значения устанавливается определенное значение для такого интервала.
Показатели государственной программы, по которым представлены предварительные данные в уточненном годовом отчете о ходе реализации государственной программы в отчетном году и по которым отсутствует возможность расчета коэффициента точности прогноза, исключаются из оценки достижения плановых значений показателей государственной программы за отчетный год.
(в ред. протокола Коллегии Счетной палаты РФ от 06.11.2025 N 95К (1880))
В случае если по показателю государственной программы отсутствует как фактическое, так и предварительное значение за отчетный год, то степень достижения такого показателя признается равной 0,0.
В случае если степень достижения q-ого показателя государственной программы
больше 1,0, такие значения признаются равными 1,0. В случае если степень достижения q-ого показателя государственной программы
меньше 0,0, такие значения признаются равными 0,0.
7.5. Степень достижения всех показателей государственной программы рассчитывается по формуле:
где:

(в ред. протокола Коллегии Счетной палаты РФ
от 06.11.2025 N 95К (1880))
СДПОКитог - степень достижения всех показателей государственной программы;
(в ред. протокола Коллегии Счетной палаты РФ от 06.11.2025 N 95К (1880))
- степень достижения q-ого показателя государственной программы;
М - общее количество показателей государственной программы.
7.6. Оценка по рассматриваемому блоку присваивается следующим образом:
"низкий уровень" - степень достижения всех показателей государственной программы составляет менее 70%;
"средний уровень" - степень достижения всех показателей государственной программы составляет от 70% (включительно) до 90%;
"высокий уровень" - степень достижения всех показателей государственной программы составляет 90% и более.
В случае внесения изменений в государственную программу в IV квартале отчетного года в части ухудшения ранее установленных плановых значений показателей государственной программы, за исключением случаев наличия соответствующих решений Президента Российской Федерации (исключение применяется только при указании реквизитов таких решений), оценка по рассматриваемому блоку снижается на один уровень от изначально полученной оценки.
(в ред. протокола Коллегии Счетной палаты РФ от 06.11.2025 N 95К (1880))
7.7. Оценка доли выполненных показателей государственной программы за отчетный год проводится аналитически (справочно) и не участвует в формировании итоговой оценки реализации государственной программы.
Выполненными считаются показатели государственной программы, степень достижения которых в соответствии с пунктом 7.4 Методики составляет 1,0.
Доля выполненных показателей государственной программы рассчитывается по формуле:

где:
ДВИ - доля выполненных показателей государственной программы;
В - количество выполненных показателей государственной программы;
М - общее количество показателей государственной программы.
Оценка по предусмотренному настоящим пунктом аналитическому (справочному) блоку присваивается следующим образом:
"низкий уровень" - доля выполненных показателей государственной программы составляет менее 70%;
"средний уровень" - доля выполненных показателей государственной программы составляет от 70% (включительно) до 90%;
"высокий уровень" - доля выполненных показателей государственной программы составляет 90% и более.
7(1). Оценка достижения плановых значений
показателей структурных элементов государственной программы
за отчетный год
(введен протоколом Коллегии Счетной палаты РФ
от 06.11.2025 N 95К (1880))
7(1).1. Оценка достижения показателей структурных элементов государственной программы за отчетный год основывается на расчете степени достижения показателей структурных элементов государственной программы.
7(1).2. Оценка достижения показателей структурных элементов государственной программы за отчетный год проводится исходя из:
плановых значений показателей структурных элементов государственной программы в паспортах структурных элементов государственной программы в отчетном году (по состоянию на 31 декабря отчетного года);
фактических значений показателей структурных элементов государственной программы за отчетный год, представленных в годовых отчетах о ходе реализации структурных элементов государственной программы за соответствующий год.
В случае если показатель структурного элемента государственной программы одновременно включен в паспорт государственной программы, то такой показатель при расчете степени достижения учитывается единожды как показатель государственной программы.
7(1).3. Степень достижения q-ого показателя структурного элемента государственной программы за отчетный год рассчитывается по следующим формулам:
для показателей, желаемой тенденцией изменения которых является увеличение значений:

для показателей, желаемой тенденцией изменения которых является снижение значений:

где:
- степень достижения q-ого показателя структурного элемента государственной программы за отчетный год;
- фактическое значение q-ого показателя структурного элемента государственной программы, достигнутое на конец отчетного года;
- плановое значение q-ого показателя структурного элемента государственной программы в отчетном году.
В случае если по показателю структурного элемента государственной программы отсутствует фактическое значение за отчетный год или фактическое значение носит предварительный характер, то степень достижения такого показателя признается равной 0,0. Такой подход обусловлен тем, что на уровне структурных элементов государственной программы должны быть предусмотрены такие показатели, по которым к моменту формирования годовых отчетов о ходе реализации структурных элементов государственной программы должны быть доступны итоговые фактические данные <8(1)>.
--------------------------------
<8(1)> При проведении оценки достижения плановых значений показателей структурных элементов государственной программы следует иметь в виду требование абзаца десятого пункта 18 Положения о системе управления государственными программами, а также требование абзаца четвертого пункта 20 Положения об организации проектной деятельности в Правительстве Российской Федерации, утвержденного постановлением Правительства Российской Федерации от 31 октября 2018 г. N 1288, в соответствии с которыми показатели структурного элемента государственной программы должны отвечать критериям точности, однозначности, измеримости (счетности), сопоставимости, достоверности, своевременности, регулярности (возможности проведения ежемесячной оценки их достижения).
В случае если степень достижения q-ого показателя структурного элемента государственной программы
больше 1,0, такие значения признаются равными 1,0. В случае если степень достижения q-ого показателя структурного элемента государственной программы
меньше 0,0, такие значения признаются равными 0,0.
7(1).4. Степень достижения показателей структурных элементов государственной программы рассчитывается по каждой группе структурных элементов, а также в целом по государственной программе:
степень достижения показателей федеральных проектов государственной программы рассчитывается по формуле:

где:
- степень достижения показателей федеральных проектов государственной программы;
- степень достижения q-ого показателя федерального проекта государственной программы за отчетный год;
ПФП - общее количество показателей федеральных проектов государственной программы, предусмотренных к достижению в отчетном году;
степень достижения показателей ведомственных проектов государственной программы рассчитывается по формуле:

где:
- степень достижения показателей ведомственных проектов государственной программы;
- степень достижения q-ого показателя ведомственного проекта государственной программы за отчетный год;
ПВП - общее количество показателей ведомственных проектов государственной программы, предусмотренных к достижению в отчетном году;
степень достижения показателей комплексов процессных мероприятий государственной программы рассчитывается по формуле:

где:
- степень достижения показателей комплексов процессных мероприятий государственной программы;
- степень достижения q-ого показателя комплекса процессных мероприятий государственной программы за отчетный год;
ПКПМ - общее количество показателей комплексов процессных мероприятий государственной программы, предусмотренных к достижению в отчетном году;
степень достижения всех показателей структурных элементов государственной программы рассчитывается по формуле:

где:
СДПСЭитог - степень достижения всех показателей всех структурных элементов государственной программы за отчетный год;
- степень достижения q-ого показателя структурного элемента государственной программы за отчетный год;
П - общее количество показателей всех структурных элементов государственной программы, предусмотренных к достижению в отчетном году.
7(1).5. Оценка по рассматриваемому блоку присваивается следующим образом:
"низкий уровень" - степень достижения всех показателей структурных элементов государственной программы за отчетный год составляет менее 70%;
"средний уровень" - степень достижения всех показателей структурных элементов государственной программы за отчетный год составляет от 70% (включительно) до 90%;
"высокий уровень" - степень достижения всех показателей структурных элементов государственной программы за отчетный год составляет 90% и более.
В случае внесения изменений в государственную программу в IV квартале отчетного года в части ухудшения ранее установленных плановых значений показателей структурных элементов государственной программы, за исключением случаев наличия соответствующих решений Президента Российской Федерации (исключение применяется только при указании реквизитов таких решений), оценка по рассматриваемому блоку снижается на один уровень от изначально полученной оценки.
8. Оценка динамики дебиторской задолженности по расчетам
по авансовым платежам (за отчетный год)
8.1. Оценка динамики дебиторской задолженности по расчетам по авансовым платежам (за отчетный год) основывается на доле просроченной дебиторской задолженности в общем объеме дебиторской задолженности по государственной программе за отчетный год и приросте дебиторской задолженности к объему кассовых расходов на реализацию государственной программы за отчетный год (справочно).
8.2. Оценка динамики дебиторской задолженности по расчетам по авансовым платежам (за отчетный год) проводится исходя из:
данных формы 0503169 "Сведения по дебиторской и кредиторской задолженности" за отчетный год;
кассовых расходов федерального бюджета на реализацию государственной программы (в соответствии с бюджетной отчетностью за отчетный год).
8.3. Доля просроченной дебиторской задолженности в общем объеме дебиторской задолженности по государственной программе за отчетный год рассчитывается по формуле:

где:
ПДЗД - доля просроченной дебиторской задолженности в общем объеме дебиторской задолженности по государственной программе за отчетный год;
ДЗП - объем просроченной дебиторской задолженности по авансовым платежам в рамках государственной программы на конец отчетного года (данные формы 0503169 "Сведения по дебиторской и кредиторской задолженности" за отчетный год);
ДЗГП - общий объем дебиторской задолженности по авансовым платежам в рамках государственной программы на конец отчетного года (данные формы 0503169 "Сведения по дебиторской и кредиторской задолженности" за отчетный год);
8.4. Оценка по рассматриваемому блоку присваивается следующим образом:
"низкий уровень" - доля просроченной дебиторской задолженности в общем объеме дебиторской задолженности по государственной программе за отчетный год составляет более 10%;
"средний уровень" - доля просроченной дебиторской задолженности в общем объеме дебиторской задолженности по государственной программе за отчетный год составляет до 10% (включительно);
"высокий уровень" - доля просроченной дебиторской задолженности в общем объеме дебиторской задолженности по государственной программе за отчетный год отсутствует.
8.5. Прирост дебиторской задолженности к объему кассовых расходов на реализацию государственной программы за отчетный год рассчитывается по формуле:

где:
ПДЗГП - прирост дебиторской задолженности к объему кассовых расходов на реализацию государственной программы за отчетный год;
- объем дебиторской задолженности по авансовым платежам в рамках государственной программы на конец отчетного года (данные формы 0503169 "Сведения по дебиторской и кредиторской задолженности" за отчетный год);
- объем дебиторской задолженности по авансовым платежам в рамках государственной программы на начало отчетного года (данные формы 0503169 "Сведения по дебиторской и кредиторской задолженности" за отчетный год);
РкГП - кассовые расходы федерального бюджета на реализацию государственной программы за отчетный год.
8.6. Оценка прироста дебиторской задолженности к объему кассовых расходов на реализацию государственной программы за отчетный год производится аналитически (справочно) и не участвует в формировании итоговой оценки государственной программы.
8.7. Оценка по рассматриваемому блоку присваивается следующим образом:
"низкий уровень" - прирост дебиторской задолженности к объему кассовых расходов на реализацию государственной программы за отчетный финансовый год составляет 5% и более;
"средний уровень" - прирост дебиторской задолженности к объему кассовых расходов на реализацию государственной программы за отчетный финансовый год составляет до 5%;
"высокий уровень" - прирост дебиторской задолженности к объему кассовых расходов на реализацию государственной программы за отчетный финансовый год отсутствует.
9. Оценка ввода объектов в эксплуатацию в рамках реализации
государственной программы (за отчетный год)
9.1. Оценка ввода объектов в эксплуатацию в рамках реализации государственной программы (за отчетный год) основывается на степени ввода объектов в эксплуатацию в рамках государственной программы за отчетный год.
9.2. Оценка ввода объектов в эксплуатацию в рамках реализации государственной программы (за отчетный год) проводится исходя из данных реестра объектов капитального строительства, объектов недвижимого имущества, строительство (реконструкция, в том числе с элементами реставрации, техническое перевооружение) или приобретение которых осуществляется (планируется осуществлять) за счет средств федерального бюджета <8(2)>.
(в ред. протокола Коллегии Счетной палаты РФ от 06.11.2025 N 95К (1880))
--------------------------------
<8(2)> Формирование и ведение реестра, включая формирование, согласование и представление позиций в отношении включаемых в него сведений и мониторинг строительства, приобретения объектов, осуществляются в компоненте управления капитальными вложениями подсистемы бюджетного планирования государственной интегрированной информационной системы управления общественными финансами "Электронный бюджет" (пункт 3 Положения о порядке формирования и ведения реестра объектов капитального строительства, объектов недвижимого имущества, строительство (реконструкция, в том числе с элементами реставрации, техническое перевооружение) или приобретение которых осуществляется (планируется осуществлять) за счет средств федерального бюджета, утвержденного постановлением Правительства Российской Федерации от 30 мая 2024 г. N 702).
(введена протоколом Коллегии Счетной палаты РФ от 06.11.2025 N 95К (1880))
9.3. Степень ввода объектов в эксплуатацию в рамках реализации государственной программы за отчетный год рассчитывается по формуле:

где:
СВОБГП - степень ввода объектов в эксплуатацию в рамках реализации государственной программы за отчетный год;
- количество введенных в отчетном году объектов в эксплуатацию, в том числе объектов капитального строительства государственной собственности субъектов Российской Федерации (муниципальной собственности), детализированных в соглашениях между главным распорядителем средств федерального бюджета и высшим исполнительным органом субъекта Российской Федерации;
- количество объектов, подлежащих введению в отчетном году в эксплуатацию, в том числе объектов капитального строительства государственной собственности субъектов Российской Федерации (муниципальной собственности), детализированных в соглашениях между главным распорядителем средств федерального бюджета и высшим исполнительным органом субъекта Российской Федерации.
9.4. В случае отсутствия соответствующих расходов в рамках государственной программы оценка ввода объектов в эксплуатацию в рамках реализации государственной программы (за отчетный год) не проводится и не учитывается в итоговой оценке.
--------------------------------
<11> исключена. - Протокол Коллегии Счетной палаты РФ от 06.11.2025 N 95К (1880);
<12> исключена. - Протокол Коллегии Счетной палаты РФ от 06.11.2025 N 95К (1880);
9.5. При проведении оценки ввода объектов в эксплуатацию в рамках реализации государственной программы (за отчетный год) также осуществляется анализ отражения соответствующих объектов в качестве мероприятий (результатов) структурных элементов государственной программы. Факты отсутствия (частичного отсутствия) объектов в качестве мероприятий (результатов) структурных элементов государственной программы подлежат отражению в предложениях для включения в заключение Счетной палаты на отчет об исполнении федерального бюджета за отчетный год в части анализа и оценки соответствующей государственной программы.
9.6. Оценка по рассматриваемому блоку присваивается следующим образом:
"низкий уровень" - степень ввода объектов в эксплуатацию в рамках реализации государственной программы за отчетный финансовый год составляет менее 70%;
"средний уровень" - степень ввода объектов в эксплуатацию в рамках реализации государственной программы за отчетный финансовый год составляет от 70% (включительно) до 95%;
"высокий уровень" - степень ввода объектов в эксплуатацию в рамках реализации государственной программы за отчетный финансовый год составляет 95% и более.
10. Оценка состава показателей государственной программы
10.1. Оценка состава показателей государственной программы <13>:
--------------------------------
<13> При проведении оценки состава показателей государственной программы следует иметь в виду требование абзаца третьего пункта 17 Положения о системе управления государственными программами, в соответствии с которым для каждой цели государственной программы (комплексной программы) формируются показатели, отражающие конечные общественно значимые социально-экономические эффекты (эффекты в сфере обеспечения национальной безопасности Российской Федерации) от реализации государственной программы (комплексной программы).
(в ред. протокола Коллегии Счетной палаты РФ от 06.11.2025 N 95К (1880))
осуществляется на основе отнесения показателей государственной программы к непосредственным результатам, конечным результатам или итоговым эффектам, а также к иным результатам;
позволяет учитывать характеристики включенных в государственную программу показателей (уровень иерархии показателей);
проводится исходя из утвержденных версий государственных программ в отчетном году (на 31 декабря отчетного года).
10.2. Понятия "непосредственные результаты", "конечные результаты" и "итоговые эффекты" соответствуют понятиям, предусмотренным СГА 104 "Аудит эффективности".
(в ред. протокола Коллегии Счетной палаты РФ от 06.11.2025 N 95К (1880))
абзац утратил силу. - Протокол Коллегии Счетной палаты РФ от 06.11.2025 N 95К (1880).
Под иными результатами понимаются результаты (например, "выходы" от определенных процессов, процедур; характеристики объемов и видов затраченных ресурсов), которые не могут быть определены как непосредственные результаты, конечные результаты или итоговые эффекты.
В частности, к иным результатам относятся результаты, которые отражают реализацию отдельных процессов, процедур, направленных на достижение непосредственных результатов (то есть являются контрольными точками для достижения непосредственных результатов).
Примеры и дополнительные разъяснения, отражающие разделение показателей государственной программы на непосредственные и конечные результаты, итоговые эффекты, приведены в Методических рекомендациях по применению аудита эффективности <13(1)>.
(в ред. протокола Коллегии Счетной палаты РФ от 06.11.2025 N 95К (1880))
--------------------------------
<13(1)> Утверждены Коллегией Счетной палаты (протокол от 28 сентября 2021 г. N 63К (1506)).
(введена протоколом Коллегии Счетной палаты РФ от 06.11.2025 N 95К (1880))
10.3. Показатели государственной программы, характеризующие непосредственные результаты, конечные результаты, итоговые эффекты, а также иные результаты, образуют три группы показателей, при этом для показателей государственной программы, характеризующих конечные результаты или итоговые эффекты, формируется единая группа.
10.4. По каждой группе рассчитывается доля показателей в группе от общего количества показателей государственной программы по следующим формулам:
1) по группе показателей, характеризующих непосредственные результаты:

где:
УВНР - доля показателей государственной программы, характеризующих непосредственные результаты;
КПНР - количество показателей государственной программы, характеризующих непосредственные результаты;
КПОБЩ - общее количество показателей государственной программы;
2) по группе показателей, характеризующих конечные результаты и итоговые эффекты:

где:
УВКР(ИЭ) - доля показателей государственной программы, характеризующих конечные результаты и итоговые эффекты;
КПКР(ИЭ) - количество показателей государственной программы, характеризующих конечные результаты и итоговые эффекты;
КПОБЩ - общее количество показателей государственной программы;
3) по группе показателей, характеризующих иные результаты:

где:
УВИР - доля показателей государственной программы, характеризующих иные результаты;
КПИР - количество показателей государственной программы, характеризующих иные результаты;
КПОБЩ - общее количество показателей государственной программы.
10.5. Для расчета значений УВНР, УВКР(ИЭ), УВИР используются показатели государственной программы, по которым осуществлялся мониторинг в отчетном году.
10.6. Оценка по рассматриваемому блоку присваивается следующим образом:
"низкий уровень" - доля показателей государственной программы, характеризующих конечные результаты и итоговые эффекты, составляет менее 70%;
"средний уровень" - доля показателей государственной программы, характеризующих конечные результаты и итоговые эффекты, составляет от 70% (включительно) до 90%;
"высокий уровень" - доля показателей государственной программы, характеризующих конечные результаты и итоговые эффекты, составляет 90% и более.
11. Оценка стабильности состава показателей государственной
программы на протяжении отчетного года
Раздел утратил силу. - Протокол Коллегии Счетной палаты РФ от 06.11.2025 N 95К (1880);
12. Оценка стабильности состава показателей государственной
программы за три года (в ретроспективе)
12.1. Оценка стабильности состава показателей государственной программы за три года (в ретроспективе):
осуществляется на основе уровня стабильности как отношение показателей государственной программы, по которым осуществлялся их мониторинг в отчетном году (на 31 декабря отчетного года) и по которым на протяжении трех последних лет (отчетный год и два года, предшествующие отчетному) или с момента начала их мониторинга не изменялась методика их расчета, к общему количеству показателей государственной программы, по которым хотя бы один раз на протяжении трех последних лет (отчетный год и два года, предшествующие отчетному - в редакциях государственной программы по состоянию на 31 декабря соответствующего года <15>) осуществлялся мониторинг их достижения;
--------------------------------
<15> Следует использовать информацию, содержащуюся в уточненных годовых отчетах о ходе реализации государственной программы за соответствующий год.
(в ред. протокола Коллегии Счетной палаты РФ от 06.11.2025 N 95К (1880))
проводится для отражения самого факта исключения (факта изменения состава) из государственной программы показателей за три года (с точки зрения редакций государственной программы на конец соответствующего года).
12.2. При расчете уровня стабильности состава показателей государственной программы за три года не учитываются следующие случаи изменения состава показателей государственной программы:
внесение изменений в методики расчета показателей государственной программы, носящих юридико-технический характер;
изменение методик расчета показателей государственной программы, если такие методики приняты международными организациями;
исключение показателей из состава государственной программы на основании предложений (рекомендаций) Счетной палаты;
корректировка методик расчета показателей государственной программы на основании предложений (рекомендаций) Счетной палаты;
исключение показателей государственной программы, мониторинг которых был планово завершен или которые были исключены из государственной программы в связи с исключением из нее определенной сферы реализации (отрасли, подотрасли).
12.3. При применении исключений, предусмотренных абзацами четвертым и пятым пункта 12.2 Методики, в сопроводительном письме к предложениям для включения в заключение Счетной палаты на отчет об исполнении федерального бюджета за отчетный год в части анализа и оценки соответствующей государственной программы отражаются реквизиты актов, заключений, отчетов, информационных писем Счетной палаты, иных документов, в которых были отражены соответствующие предложения (рекомендации) Счетной палаты. При отсутствии таких актов, заключений, отчетов, информационных писем Счетной палаты, иных документов, исключения, предусмотренные абзацами четвертым и пятым пункта 12.2 Методики, не применяются.
Также в таком сопроводительном письме дается краткое обоснование применения исключения, предусмотренного абзацем вторым пункта 12.2 Методики.
12.4. Показатели государственной программы, по которым отсутствуют методики их расчета, приравниваются к нестабильным, т.е. к показателям, по которым на протяжении трех последних лет (отчетный год и два года, предшествующие отчетному) или с момента начала их мониторинга изменялась методика их расчета.
12.5. Уровень стабильности состава показателей государственной программы за три года рассчитывается по следующей формуле:

где:
КСГП - уровень стабильности состава показателей государственной программы за три года;
КПСТ - количество показателей государственной программы, по которым осуществлялся мониторинг в отчетном году (на 31 декабря отчетного года) и по которым на протяжении трех последних лет (отчетный год и два года, предшествующие отчетному) или с момента начала их мониторинга не изменялась методика их расчета;
КПИТ - общее количество показателей государственной программы, по которым хотя бы один раз на протяжении трех последних лет (отчетный год и два года, предшествующие отчетному - в редакциях государственной программы по состоянию на 31 декабря соответствующего года) осуществлялся их мониторинг.
12.6. В рамках оценки стабильности состава показателей государственной программы за три года также осуществляется сравнение показателей государственной программы, представленных в уточненном годовом отчете о ходе реализации государственной программы, с показателями в редакции государственной программы по состоянию на 31 декабря отчетного года. Выявленные факты несоответствия подлежат отражению в предложениях для включения в заключение Счетной палаты на отчет об исполнении федерального бюджета за отчетный год в части анализа и оценки соответствующей государственной программы.
(в ред. протокола Коллегии Счетной палаты РФ от 06.11.2025 N 95К (1880))
12.7. Оценка по рассматриваемому блоку присваивается следующим образом:
"низкий уровень" - уровень стабильности состава показателей государственной программы за три года составляет менее 70%;
"средний уровень" - уровень стабильности состава показателей государственной программы за три года составляет от 70% (включительно) до 90%;
"высокий уровень" - уровень стабильности состава показателей государственной программы за три года составляет 90% и более.
13. Оценка динамики плановых (фактических) значений
показателей государственной программы
13.1. Оценка динамики плановых (фактических) значений показателей государственной программы осуществляется:
на основе средних коэффициентов роста значений показателей государственной программы по сравнению со значениями показателей предыдущего периода;
только в отношении показателей государственной программы, мониторинг которых осуществлялся в отчетном году (на 31 декабря отчетного года).
13.2. Оценка динамики плановых (фактических) значений показателей государственной программы позволяет учитывать:
фактор роста плановых значений показателей государственной программы в году, следующем за отчетным, по сравнению с плановыми значениями показателей государственной программы в отчетном году;
фактор занижения плановых значений показателей государственной программы в отчетном году по сравнению с фактическими значениями показателей государственной программы в году, предшествующем отчетному;
эффект резкого изменения фактических значений показателей государственной программы в году, предшествующем отчетному, по сравнению с фактическими значениями в предшествующем периоде.
13.3. Оценка динамики плановых (фактических) значений показателей государственной программы проводится исходя из:
плановых значений показателей, предусмотренных в государственной программе в отчетном году (по состоянию на 31 декабря отчетного года);
плановых значений показателей, предусмотренных в государственной программе на год, следующий за отчетным (в редакции паспорта государственной программы, приведенного в соответствие с федеральным законом о федеральном бюджете на текущий финансовый год и плановый период);
фактических значений показателей государственной программы за два года, предшествующих отчетному, указанных в уточненных годовых отчетах о ходе реализации государственной программы за соответствующий год. В случае если в таких годовых отчетах была представлена прогнозная (предварительная) информация о фактических значениях показателей государственной программы, актуальную информацию необходимо запросить у ответственного исполнителя или использовать данные официальной статистики.
(в ред. протокола Коллегии Счетной палаты РФ от 06.11.2025 N 95К (1880))
13.4. Коэффициент роста значения q-ого показателя государственной программы рассчитывается по следующей формуле:
для показателей, желаемой тенденцией изменения которых является увеличение значений:

для показателей, желаемой тенденцией изменения которых является снижение значений:

где:
- коэффициент роста значения q-ого показателя государственной программы в период t по сравнению со значением такого показателя в период t - 1;
- значение q-ого показателя государственной программы в период t;
- значение q-ого показателя государственной программы в период t - 1.
13.5. Для каждого q-ого показателя государственной программы рассчитываются три коэффициента роста:
плановое значение q-ого показателя государственной программы на год, следующий за отчетным, по сравнению с плановым значением q-ого показателя государственной программы на отчетный год (характеризует фактор роста в соответствии с абзацем вторым пункта 13.2 Методики);
плановое значение q-ого показателя государственной программы на отчетный год по сравнению с фактическим значением q-ого показателя государственной программы за год предшествующий отчетному (характеризует фактор занижения в соответствии с абзацем третьим пункта 13.2 Методики);
фактическое значение q-ого показателя государственной программы за год предшествующий отчетному, по сравнению с фактическим значением q-ого показателя государственной программы за предшествующий период (характеризует эффект резкого изменения в соответствии с абзацем четвертым пункта 13.2 Методики).
В случае если плановые значения показателя государственной программы представлены закрытым интервалом (от одного определенного значения до другого определенного значения), в целях оценки в качестве планового значения устанавливается величина, равная среднему арифметическому значению пределов такого интервала. В случае если плановые значения представлены открытым интервалом (больше или меньше определенного значения), в целях оценки в качестве планового значения устанавливается определенное значение для такого интервала.
13.6. Для расчета коэффициентов роста, предусмотренных пунктом 13.5 Методики, используется четыре периода со следующими индексами для q, характеризующими период:
"3" - год, следующий за отчетным (используется плановое значение q-ого показателя государственной программы);
"2" - отчетный год (используется плановое значение q-ого показателя государственной программы);
"1" - год, предшествующий отчетному (используется фактическое значение q-ого показателя государственной программы);
"0" - год, предшествующий периоду "1" (используется фактическое значение q-ого показателя государственной программы).
13.7. В целях ограничения резкого изменения коэффициентов роста (в том числе в части фактических значений показателей государственной программы при расчете коэффициентов в соответствии с абзацами третьим и четвертым пункта 13.5 Методики) такие коэффициенты не могут принимать значения более 2,0 и менее 0,1 (ограничиваются такими значениями).
13.8. Средний коэффициент роста значений q-ого показателя государственной программы вычисляется по следующей формуле:

где:
- средний коэффициент роста значений q-ого показателя государственной программы;
- коэффициент роста планового значения q-ого показателя государственной программы в году, следующим за отчетным (период "3"), по сравнению с плановым значением такого показателя в отчетном году (период "2"): характеризует фактор роста в соответствии с абзацем вторым пункта 13.2 Методики;
- коэффициент роста планового значения q-ого показателя государственной программы в отчетном году (период "2") по сравнению с фактическим значением такого показателя в году, предшествующем отчетному (период "1"): характеризует фактор занижения в соответствии с абзацем третьим пункта 13.2 Методики;
- коэффициент роста фактического значения q-ого показателя государственной программы в году, предшествующем отчетному (период "1"), по сравнению с фактическим значением такого показателя в предшествующем периоде (период "0"): характеризует эффект резкого изменения в соответствии с абзацем четвертым пункта 13.2 Методики.
13.9. В случае если значение по показателю государственной программы в один из периодов отсутствует (например, ввиду отсутствия показателя в государственной программе ранее), количество периодов и коэффициентов роста сокращается (например, в расчете учитываются только коэффициенты роста в соответствии с абзацем третьим и четвертым пункта 13.5 Методики). При этом периоды должны следовать друг за другом.
13.10. Показатели государственной программы, по которым рассчитан средний коэффициент роста их значений, образовывают следующие группы:
1) группа с положительной динамикой значений показателей включает показатели государственной программы, средний коэффициент роста значений по которым более 1,05;
2) группа без существенной динамики значений показателей включает показатели государственной программы, средний коэффициент роста значений по которым варьируется от 0,95 (включительно) до 1,05 (включительно);
3) группа с отрицательной динамикой значений показателей включает показатели государственной программы, средний коэффициент роста значений по которым менее 0,95.
13.11. По каждой группе рассчитывается доля показателей в группе от общего количества показателей государственной программы по формулам, аналогичным формулам, указанным в пункте 10.4 Методики.
13.12. Оценка по рассматриваемому блоку присваивается следующим образом:
"низкий уровень" - доля показателей государственной программы в группах с положительной динамикой и без существенной динамики значений показателей составляет менее 90%;
"средний уровень" - доля показателей государственной программы в группах с положительной динамикой и без существенной динамики значений показателей составляет от 90% (включительно) до 95%;
"высокий уровень" - доля показателей государственной программы в группах с положительной динамикой и без существенной динамики значений показателей составляет 95% и более.
14. Оценка количества показателей государственной программы,
по которым представлены фактические значения за отчетный год
14.1. Оценка количества показателей государственной программы, по которым представлены фактические значения за отчетный год (далее - оценка количества показателей с итоговыми значениями), осуществляется на основе значения доли показателей государственной программы, по которым в уточненном годовом отчете о ходе реализации государственной программы представлены данные о фактическом выполнении показателей за отчетный год, в общем количестве показателей государственной программы.
(в ред. протокола Коллегии Счетной палаты РФ от 06.11.2025 N 95К (1880))
14.2. Оценка количества показателей с итоговыми значениями направлена на оценку деятельности ответственного исполнителя государственной программы в части:
оптимальности выбора состава показателей государственной программы, учитывающего сроки формирования фактической информации об их достижении;
сокращения сроков представления итоговых фактических данных по показателям государственной программы.
Оценка количества показателей с итоговыми значениями также характеризует доверие к данным о результатах реализации государственной программы за отчетный год.
14.3. Доля показателей государственной программы, по которым представлены фактические значения за отчетный год, рассчитывается по следующей формуле:

где:
ДПСД - доля показателей государственной программы, по которым представлены фактические значения за отчетный год;
КПСД количество показателей государственной программы, по которым представлены фактические значения за отчетный год;
КПОБЩ - общее количество показателей государственной программы.
14.4. Показатели государственной программы, фактические значения которых носят предварительный характер, не учитываются в количестве показателей государственной программы, по которым представлены фактические значения за отчетный год (КПСД)
14.5. Оценка по рассматриваемому блоку присваивается следующим образом:
"низкий уровень" - доля показателей государственной программы, по которым представлены фактические значения за отчетный год, составляет менее 90%;
"средний уровень" - доля показателей государственной программы, по которым представлены фактические значения за отчетный год, составляет от 90% (включительно) до 95%;
"высокий уровень" - доля показателей государственной программы, по которым представлены фактические значения за отчетный год, составляет 95% и более.
15. Оценка количества показателей государственной программы,
по которым формируется официальная статистическая информация
в соответствии с федеральным планом статистических работ
и которые рассчитываются по методикам, принятым
международными организациями
15.1. Оценка количества показателей государственной программы, по которым формируется официальная статистическая информация в соответствии с федеральным планом статистических работ и которые рассчитываются по методикам, принятым международными организациями, позволяет оценить степень доверия к самим показателям государственной программы, в том числе в части отражения в них тенденций, реально характеризующих прогресс в реализации государственной программы. Указанная оценка осуществляется на основе отнесения показателей государственной программы к следующим группам:
показатели государственной программы, по которым формируется официальная статистическая информация в соответствии с федеральным планом статистических работ <17>;
--------------------------------
<16> исключена. - Протокол Коллегии Счетной палаты РФ от 06.11.2025 N 95К (1880);
<17> Показатели государственной программы, расчет которых осуществляется по методикам, утвержденным ответственными исполнителями, соисполнителями, участниками государственной программы, как субъектами официального статистического учета, и которые включены в Федеральный план статистических работ (утвержден распоряжением Правительства Российской Федерации от 6 мая 2008 г. N 671-р), относятся к показателям, по которым формируется официальная статистическая информация.
показатели государственной программы, фактические данные по которым формируются ответственными исполнителями, соисполнителями, участниками государственной программы <18>;
--------------------------------
<18> К таким показателям относятся показатели государственной программы, расчет которых осуществляется по методикам, утвержденным ответственными исполнителями, соисполнителями, участниками государственной программы, а также которые не включены в федеральный план статистических работ. При этом допускается, что источником расчета для таких показателей государственной программы являются показатели, включенные в федеральный план статистических работ.
показатели государственной программы, которые рассчитываются по методикам, принятым международными организациями.
15.2. По каждой группе рассчитывается доля показателей государственной программы в группе от общего количества показателей государственной программы по следующим формулам:
1) по группе показателей государственной программы, по которым формируется официальная статистическая информация в соответствии с федеральным планом статистических работ:

где:
УВОФ - доля показателей государственной программы, по которым формируется официальная статистическая информация в соответствии с федеральным планом статистических работ;
КПОФ - количество показателей государственной программы на 31 декабря отчетного года, по которым формируется официальная статистическая информация в соответствии с федеральным планом статистических работ;
КПОБЩ - общее количество показателей государственной программы на 31 декабря отчетного года;
2) по группе показателей государственной программы, фактические данные по которым формируются ответственными исполнителями, соисполнителями, участниками государственной программы:

где:
УВОИ - доля показателей государственной программы, фактические данные по которым формируются ответственными исполнителями, соисполнителями, участниками государственной программы;
КПОИ - количество показателей государственной программы на 31 декабря отчетного года, фактические данные по которым формируются ответственными исполнителями, соисполнителями, участниками государственной программы;
КПОБЩ - общее количество показателей государственной программы на 31 декабря отчетного года;
3) по группе показателей государственной программы, которые рассчитываются по методикам, принятым международными организациями:

где:
УВМО - доля показателей государственной программы, которые рассчитываются по методикам, принятым международными организациями;
КПМО - количество показателей государственной программы на 31 декабря отчетного года, которые рассчитываются по методикам, принятым международными организациями;
КПОБЩ - общее количество показателей государственной программы на 31 декабря отчетного года.
15.3. Оценка по рассматриваемому блоку присваивается следующим образом:
"низкий уровень" - доля показателей государственной программы, по которым формируется официальная статистическая информация в соответствии с федеральным планом статистических работ и которые рассчитываются по методикам, принятым международными организациями, составляет менее 70%;
"средний уровень" - доля показателей государственной программы, по которым формируется официальная статистическая информация в соответствии с федеральным планом статистических работ и которые рассчитываются по методикам, принятым международными организациями, составляет от 70% (включительно) до 90%;
"высокий уровень" - доля показателей государственной программы, по которым формируется официальная статистическая информация в соответствии с федеральным планом статистических работ и которые рассчитываются по методикам, принятым международными организациями, составляет 90% и более.
16. Итоговая оценка реализации государственной программы
16.1. При подведении итогов и интерпретации оценки по каждому блоку в случае необходимости могут приниматься во внимание отдельные особенности управления государственной программой, необходимость принятия того или иного решения, что отражается в комментариях к оценке реализации государственной программы.
Интерпретация итоговой оценки в соответствии с Методикой осуществляется в целом после оценки по всем блокам.
16.2. Итоговая оценка реализации государственной программы присваивается как отдельно в части оценки исполнения государственной программы по ресурсам и результатам и оценки формирования и использования системы показателей исходя из приоритетов социально-экономического развития Российской Федерации, так и в целом по всем блокам оценки, предусмотренным Методикой (интегральная оценка), по результатам проверки исполнения государственной программы на основе средней арифметической оценки с учетом того, что "низкий уровень" равен 1, "средний уровень" - 2, "высокий уровень" - 3.
(в ред. протокола Коллегии Счетной палаты РФ от 06.11.2025 N 95К (1880))
При этом при округлении вводятся промежуточные уровни - "уровень ниже среднего" (среднее арифметическое находится в границах от 1,3 до 1,7 (все включительно) и "уровень выше среднего" (среднее арифметическое находится в границах от 2,3 до 2,7 (все включительно).
ПРИМЕР
итоговой оценки реализации государственной программы в ходе внешней проверки годового отчета об исполнении федерального бюджета за отчетный год
ОЦЕНКА ИСПОЛНЕНИЯ ГОСУДАРСТВЕННОЙ ПРОГРАММЫ ПО РЕСУРСАМ И РЕЗУЛЬТАТАМ
ИНТЕГРАЛЬНАЯ ОЦЕНКА
Оценка кассового исполнения федерального бюджета
Оценка планирования и привлечения внебюджетных источников
Оценка объема изменений, внесенных в сводную бюджетную роспись
Оценка реализации мероприятий (достижения результатов) структурных элементов...
Оценка достижения ... показателей ...
Оценка достижения ... показателей структурных элементов
Оценка динамики дебиторской задолженности...
Оценка ввода объектов в эксплуатацию...
Итого
степень достижения мероприятий (результатов) ...
справочно <*>:
доля реализованных мероприятий (достигнутых результатов) ...
степень достижения показателей ...
справочно <*>:
доля выполненных показателей ...
степень достижения показателей структурных элементов ...
доля просроченной дебиторской задолженности ...
справочно <*>:
прирост дебиторской задолженности ...
1
2
3
4
5
6
7
8
9
10
11
12
13
высокий уровень
высокий уровень
высокий уровень
средний уровень
средний уровень
высокий уровень
средний уровень
высокий уровень
средний уровень
средний уровень
средний уровень
уровень выше среднего
уровень выше среднего
ОЦЕНКА ФОРМИРОВАНИЯ И ИСПОЛЬЗОВАНИЯ СИСТЕМЫ ПОКАЗАТЕЛЕЙ ИСХОДЯ ИЗ ПРИОРИТЕТОВ СОЦИАЛЬНО-ЭКОНОМИЧЕСКОГО РАЗВИТИЯ РОССИЙСКОЙ ФЕДЕРАЦИИ ПО РЕЗУЛЬТАТАМ ПРОВЕРКИ ИСПОЛНЕНИЯ ГОСУДАРСТВЕННОЙ ПРОГРАММЫ
Оценка состава показателей ...
Оценка стабильности состава показателей ... за три года
Оценка динамики ... значений показателей
Оценка количества показателей ..., по которым представлены фактические значения за отчетный год ...
Оценка количества показателей ..., по которым формируется официальная статистическая информация ...
Итого
1
2
3
4
5
6
высокий уровень
низкий уровень
высокий уровень
низкий уровень
средний уровень
средний уровень
--------------------------------
<*> Оценка проводится аналитически (справочно) и не участвует в формировании итоговой (интегральной) оценки реализации государственной программы. (в ред. протокола Коллегии Счетной палаты РФ от 06.11.2025 N 95К (1880))