"МР 2.1.10.0410-25. 2.1.10. Состояние здоровья населения в связи с состоянием окружающей среды и условиями проживания населения. Оценка риска, анализ и прогнозирование воздействия климатических факторов на здоровье населения. Методические рекомендации"
ГОСУДАРСТВЕННОЕ САНИТАРНО-ЭПИДЕМИОЛОГИЧЕСКОЕ
НОРМИРОВАНИЕ РОССИЙСКОЙ ФЕДЕРАЦИИ
Утверждаю
Руководитель Федеральной службы
по надзору в сфере защиты прав
потребителей и благополучия человека,
Главный государственный санитарный врач
Российской Федерации
А.Ю.ПОПОВА
29 декабря 2025 г.
Дата введения 29 апреля 2026 г.
2.1.10. СОСТОЯНИЕ ЗДОРОВЬЯ НАСЕЛЕНИЯ В СВЯЗИ С СОСТОЯНИЕМ
ОКРУЖАЮЩЕЙ СРЕДЫ И УСЛОВИЯМИ ПРОЖИВАНИЯ НАСЕЛЕНИЯ
ОЦЕНКА РИСКА, АНАЛИЗ И ПРОГНОЗИРОВАНИЕ ВОЗДЕЙСТВИЯ
КЛИМАТИЧЕСКИХ ФАКТОРОВ НА ЗДОРОВЬЕ НАСЕЛЕНИЯ
МЕТОДИЧЕСКИЕ РЕКОМЕНДАЦИИ
МР 2.1.10.0410-25
1. Разработаны: ФБУН "Северо-Западный научный центр гигиены и общественного здоровья" (Р.В. Бузинов, Г.Б. Еремин, С.Н. Носков, А.А. Ковшов, Д.С. Борисова, Д.С. Исаев, О.Л. Маркова); ФБУН "ФНЦ медико-профилактических технологий управления рисками здоровью населения" (Н.В. Зайцева, П.З. Шур, Е.В. Хрущева, М.Р. Камалтдинов, А.А. Хасанова); Российский государственный гидрометеорологический университет (Е.Г. Головина, О.М. Ступишина); ФГБУН "Санкт-Петербургский Федеральный исследовательский центр Российской академии наук" (В.И. Горный, С.Г. Крицук, И.Ш. Латыпов, А.А. Тронин).
2. Утверждены руководителем Федеральной службы по надзору в сфере защиты прав потребителей и благополучия человека, Главным государственным санитарным врачом Российской Федерации А.Ю. Поповой 29 декабря 2025 г.
3. Введены впервые.
I. Область применения
1.1. Настоящие методические рекомендации (далее - МР) разработаны в целях предупреждения возникновения и распространения инфекционных заболеваний и массовых неинфекционных заболеваний <1> при воздействии климатических факторов на здоровье населения.
--------------------------------
<1> Пункт 1 статьи 29 Федерального закона от 30.03.1999 N 52-ФЗ "О санитарно-эпидемиологическом благополучии населения".
1.2. Настоящие МР могут применяться в целях:
- разработки и реализации мероприятий по адаптации к изменению климатических условий, рассмотрении вариантов социальных, экономических и технических мер по предупреждению и смягчению их последствий для уменьшения риска для здоровья населения <2>;
--------------------------------
<2> Пункт 6 приложения национального плана мероприятий второго этапа адаптации к изменениям климата на период до 2025 года, утвержденного распоряжением Правительства Российской Федерации от 11.03.2023 N 559-р (далее - национальный план мероприятий второго этапа адаптации к изменениям климата на период до 2025 года).
- совершенствования системы социально-гигиенического мониторинга, включая состояние здоровья населения и среды обитания в различных климатических условиях, для прогнозирования, предупреждения и профилактики заболеваний, ассоциированных с действием климатических факторов <3>;
--------------------------------
<3> Пункты 3 и 6 постановления Правительства Российской Федерации от 02.02.2006 N 60 "Об утверждении Положения о проведении социально-гигиенического мониторинга".
- информирования органов государственной власти Российской Федерации, органов государственной власти субъектов Российской Федерации, органов местного самоуправления и населения о характере воздействия климатических условий на заболеваемость населения в связи с их потенциальным неблагоприятным воздействием <4>.
--------------------------------
<4> Пункт 5.5 постановления Правительства Российской Федерации от 30.06.2004 N 322 "Об утверждении Положения о Федеральной службе по надзору в сфере защиты прав потребителей и благополучия человека".
1.3. МР не распространяются на вопросы, связанные с оценкой профессионального риска и разработкой мероприятий по улучшению условий труда.
1.4. МР предназначены для специалистов Федеральной службы по надзору в сфере защиты прав потребителей и благополучия человека, а также могут быть использованы специалистами органов исполнительной власти субъектов Российской Федерации в сфере охраны здоровья, научно-исследовательских, образовательных, проектных и иных организаций, деятельность которых связана с оценкой риска здоровью населения при воздействии факторов среды обитания.
II. Общие положения
2.1. Воздействие климатических факторов, в том числе в условиях происходящего изменения климата, носит комплексный характер и создает риски для здоровья населения. Влияние климатических условий происходит как непосредственно за счет изменения во времени характеристик метеогелиогеофизических факторов, так и опосредовано за счет влияния экологических или социально-экономических факторов.
2.2. Воздействие климатических факторов на здоровье населения на территории Российской Федерации включает влияние на уровни неинфекционной заболеваемости и смертности, в том числе по причине болезней системы кровообращения и органов дыхания, на эпидемиологическую обстановку (расширение ареала распространения инфекционных и паразитарных болезней), на инфраструктуру системы здравоохранения (разрушающее воздействие на объекты температурно-влажностных деформаций, деградации многолетней мерзлоты, необходимость дополнительного охлаждения помещений в летний период), на оказание медицинской помощи в экстренной форме (обеспечение быстрого реагирования и мобилизации материально-технических средств и личного состава) <5>.
--------------------------------
<5> Глава I национального плана мероприятий второго этапа адаптации к изменениям климата на период до 2025 года.
2.3. По оценкам Всемирной организации здравоохранения (далее - ВОЗ) 37% связанных с жарой случаев смерти обусловлены антропогенным изменением климата. За последние 20 лет количество связанных с жарой случаев смерти среди людей старше 65 лет увеличилось на 70%. Ожидается, что к началу 2030 годов в результате воздействия изменения климата на такие заболевания, как малярия, и режим наводнений в прибрежных районах, ежегодно будет регистрироваться 250000 дополнительных случаев смерти <6>.
--------------------------------
<6> ВОЗ. Изменение климата - who.int/ru/news-room/fact-sheets/detail/climate-change-and-health (в свободном доступе).
2.4. Климатическая доктрина Российской Федерации <7> признает влияние деятельности человека на климат на фоне его естественной изменчивости, приводящей к значимым, преимущественно неблагоприятным для человека и окружающей среды последствиям. Это требует научного обоснования подходов к прогнозированию воздействия климатических факторов на здоровье населения и разработки профилактических мероприятий, направленных на минимизацию их неблагоприятного воздействия.
--------------------------------
<7> Пункт 5 Климатической доктрины Российской Федерации, утвержденной указом Президента Российской Федерации от 26.10.2023 N 812.
2.5. Оценка и прогнозирование влияния климатических факторов на здоровье населения проводится с использованием статистического анализа и оценки риска здоровью населения.
2.6. При анализе влияния климатических факторов на здоровье населения проводится:
- сбор гелиогеофизических, метеорологических факторов и подготовку данных;
- сбор медико-демографической информации и данных о состоянии здоровья населения;
- оценка влияния климатических факторов на здоровье населения, включая оценку рисков здоровью населения и потерь, связанных с воздействием климатических факторов, в том числе путем визуализации риска преждевременной смертности или повышенной заболеваемости с помощью пакетов программ геоинформационной системы (далее - ГИС программ);
- создание прогнозной модели мероприятий первичной профилактики риска для здоровья населения, связанного с воздействием природно-климатических факторов;
- планирование мероприятий по минимизации неблагоприятного воздействия на здоровье населения климатических факторов.
2.7. Оценка рисков здоровью населения и потерь, связанных с воздействием климатических факторов, используется при разработке и планировании мер по адаптации к изменениям климата. При этом вместе с анализом влияния медленно развивающихся изменений климатических условий на здоровье населения (например, повышение температуры в течение длительного периода времени) целесообразно учитывать особенности влияния кратковременных вариаций метеорологических факторов (например, экстремальных погодных или климатических явлений) <8>.
--------------------------------
<8> ГОСТ Р ИСО 14090-2019 "Адаптация к изменениям климата", введенный приказом Росстандарта от 12.09.2019 N 674-ст;.
III. Перечень показателей космической и земной погоды.
Источники информации
3.1. Сбор и подготовка данных для показателей космической и земной погоды (гелиогеофизических и метеорологических факторов) осуществляются отдельно.
3.2. Показатели космической погоды (гелиогеофизические факторы).
3.2.1. Вариации параметров солнечной активности (далее - СА):
- индексы глобальных вариаций СА: интегральный радиопоток на волне длиной
= 10,7 см, число Вольфа, суммарная площадь пятен на диске, количество новообразовавшихся активных областей;
- вариации параметров вспышечной компоненты СА: количество вспышек (всплесков) в разных диапазонах электромагнитного спектра (оптическом, радио, рентгеновском диапазонах).
3.2.2. Вариации характеристик процессов в околоземном космическом пространстве (плотности и скорости потоков протонов и электронов в солнечном ветре, величины потоков рентгеновского излучения разных энергий).
3.2.3. Вариации характеристик геомагнитного поля (трех (x, y, z)-компонент).
3.2.4. Вариации характеристик электрического поля атмосферы (величин напряженности обеих полярностей, коэффициента униполярности).
3.3. Показатели земной погоды: вариации метеорологических факторов (атмосферного давления, температуры и влажности воздуха, скорости ветра, облачности, характеристик процессов циркуляции атмосферы, величины парциальной плотности кислорода в воздухе).
3.4. Информация по метеорологическим и гелиогеофизическим данным может быть получена из официальных источников <9>.
--------------------------------
<9> Официальный сайт Федеральной Службы по гидрометеорологии и мониторингу окружающей среды (далее - Росгдромет) - www.meteorf.gov.ru (в свободном доступе); официальный сайт ФГБУ "Гидрометцентр России" - www.meteoinfo.ru (в свободном доступе); ФГБУН "Институт земного магнетизма, ионосферы и распространения радиоволн им. Н.В. Пушкова" РАН - www.izmiran.ru (в свободном доступе); международная сеть магнитных обсерваторий реального времени (англ. International Real-time Magnetic Observatory Network, INTERMAGNET) - intermagnet.org (в свободном доступе); "Всероссийский научно-исследовательский институт гидрометеорологической информации - Мировой центр данных" (ВНИИГМИ-МЦД) - meteo.ru/; ФГБУ "Институт прикладной геофизики им. акад. Е.К. Федорова" - http://ipg.geospace.ru (в свободном доступе).
IV. Сбор медико-демографической информации и данных
о состоянии здоровья населения
4.1. Перечень основных заболеваний, связанных с действием климатических факторов, изложен в методических документах <10>.
--------------------------------
<10> МР 2.1.10.0057-12 "Оценка риска и ущерба от климатических изменений, влияющих на повышение уровня заболеваемости и смертности в группах населения повышенного риска", утвержденные руководителем Федеральной службы по надзору в сфере защиты прав потребителей и благополучия человека, Главным государственным санитарным врачом Российской Федерации 17.01.2012 (далее - МР 2.1.10.0057-12).
4.2. При сборе и анализе данных о заболеваемости и смертности населения рекомендуется учитывать случаи заболеваний и смерти по причинам болезней, ассоциированных с действием климатических факторов:
- болезни системы кровообращения: I10 - I15 <11> (болезни, характеризующиеся повышенным кровяным давлением), I20 - I25 (ишемическая болезнь сердца), I44 - I48 (нарушения проводимости и ритма). I60 - I69 (цереброваскулярные болезни);
--------------------------------
<11> По Международной классификации болезней МКБ-10.
- болезни органов дыхания: J00 - J06 (острые респираторные инфекции верхних дыхательных путей), J09 - J18 (грипп и пневмония), J20 - J22 (другие острые респираторные инфекции нижних дыхательных путей), J30.1 (аллергический ринит, вызванный пыльцой растений), J40 - J45 (хронические болезни нижних дыхательных путей: хронические бронхиты, эмфизема, другая хроническая обструктивная легочная болезнь, астма);
- болезни эндокринной нервной системы E10 - E14 (сахарный диабет) (см. главу VIII).
4.3. К группам населения повышенного риска, для которых проводится оценка влияния климатических изменений на показатели здоровья, относятся:
- дети и подростки (от 0 до 17 лет);
- лица старшего возраста (60 лет и старше);
- лица с хроническими заболеваниями, страдающие болезнями органов дыхания, системы кровообращения и эндокринной системы;
- коренные народы.
4.4. Оценка влияния природно-климатических факторов на население выполняется по следующим показателям:
- заболеваемость населения по обращаемости, включая нарушения отдельных функций организма (R00 - R99 <12>);
--------------------------------
<12> По Международной классификации болезней МКБ-10.
- заболеваемость населения по данным госпитализации;
- обращаемость населения за скорой медицинской помощью;
- смертность населения.
4.5. Источниками информации о случаях заболеваний в течение календарного дня и (или) календарного месяца являются учетная форма N 025-1/у "Талон пациента, получающего медицинскую помощь в амбулаторных условиях" <13> и "Медицинская карта пациента, получающего медицинскую помощь в стационарных условиях, в условиях дневного стационара" (форма N 003/у) <14>. Сбор первичной информации осуществляется путем выкопировки или на основе электронных баз данных медицинских организаций, территориальных фондов обязательного медицинского страхования.
--------------------------------
<13> Приложение 3 приказа Минздрава России от 13.05.2025 N 274н "Об утверждении унифицированных форм медицинской документации, используемых в медицинских организациях, оказывающих медицинскую помощь в амбулаторных условиях, и порядков их ведения" (зарегистрирован Минюстом России 30.05.2025, регистрационный N 82433).
<14> Приложение 3 приказа Минздрава России от 05.08.2022 N 530н "Об утверждении унифицированных форм медицинской документации, используемых в медицинских организациях, оказывающих медицинскую помощь в стационарных условиях, в условиях дневного стационара и порядков их ведения" (зарегистрирован Минюстом России 18.10.2022, регистрационный N 70594).
4.6. Источниками информации о случаях вызова скорой медицинской помощи является учетная форма N 110/у "Карта вызова скорой медицинской помощи" <15>. Ежедневные данные по обращаемости за скорой медицинской помощью формируются на станциях скорой медицинской помощи или в отделениях скорой медицинской помощи.
--------------------------------
<15> Приложение 3 приказа Минздравсоцразвития России от 02.12.2009 N 942 "Об утверждении статистического инструментария станции (отделения), больницы скорой медицинской помощи", с изменением, внесенным приказом Минздрава России от 15.09.2020 N 979.
4.7. Источником информации о регистрации случаев заболеваний в течение календарного года является форма федерального статистического наблюдения N 12 "Сведения о числе заболеваний, зарегистрированных у пациентов, проживающих в районе обслуживания медицинской организации" <16>.
--------------------------------
<16> Приказ Росстата от 13.11.2024 N 543 "Об утверждении формы федерального статистического наблюдения с указаниями по ее заполнению для организации Министерством здравоохранения Российской Федерации федерального статистического наблюдения в сфере охраны здоровья".
4.8. В качестве источников информации о нарушениях отдельных функций организма также могут использоваться данные научных исследований.
4.9. Для количественного определения связи между климатическими факторами и показателями заболеваемости населения с целью характеристики санитарно-эпидемиологического благополучия территории по климатическим характеристикам применяются стандартизованные данные, сгруппированные по календарному периоду, возрасту, полу заболевших. Оценка производится по количеству заболеваний, госпитализаций, обращений за скорой медицинской помощью на изучаемой территории.
4.10. При оценке влияния природно-климатических факторов на показатели смертности населения используется информация о дате смерти, возрасте и гендерной принадлежности умершего, основной причине смерти с указанием кода по МКБ-10, месте проживания и месте смерти.
4.11. Источником информации для сбора информации по показателям смертности являются региональные медицинские информационно-аналитические центры (МИАЦ).
4.12. Сведения о среднегодовой численности населения территории для расчета интенсивных показателей заболеваемости и смертности (включая численность населения по полу и возрасту) могут быть получены на информационных ресурсах Росстата <17>.
--------------------------------
<17> Официальный сайт Федеральной службы государственной статистики - rosstat.gov.ru/statistic (в свободном доступе).
V. Подготовка данных
5.1. В зависимости от выполняемых задач при оценке влияния климатических факторов на здоровье населения учитываются минимальное и максимальное значение, медиана, размах, дисперсия, коэффициенты осцилляции и вариации исследуемых показателей.
5.2. Для количественной оценки связи климатических характеристик и заболеваемости населения используют информацию с одинаковым осреднением (ежедневное, среднемесячное, среднеквартальное, среднесезонное, среднегодовое) и с учетом географических координат местности.
5.3. Данные о показателях заболеваемости и смертности анализируются как в целом среди всего населения, так и по отдельным возрастным группам <18>.
--------------------------------
<18> Приказ Росстата от 17.07.2019 N 409 "Об утверждении методики определения возрастных групп населения".
5.4. Анализ данных о состоянии здоровья населения может производиться, в зависимости от задач исследования, в разрезе классов болезней, нозологических групп и отдельных нозологических форм. На территориях с выраженным вкладом микроклимата в неблагоприятные условия труда, целесообразно учитывать возможность выделения групп населения, не связанных с такими условиями труда, или проводить их категоризацию в зависимости от степени влияния этого фактора.
5.5. Логический контроль всех данных, вводимых для анализа, проводится с помощью графического метода, который позволяет визуально обнаружить "выпадающие" из общего ряда значения, например, ошибку введенного знака, допущенную при вводе значения температуры, или пропущенную запятую.
5.6. Базы данных, содержащие информацию об оцениваемых показателях, проверяются на пропуски значений. Если в базе данных отсутствует 30% значений для того или иного параметра, то такая переменная исключается из анализа.
5.7. При проведении исследований целесообразно учитывать наличие лага. Временной лаг определяется особенностями действия фактора на состояние здоровье и особенностями регистрации случаев его нарушения.
5.8. При обнаружении отклоняющихся от центральной тенденции значений количества случаев того или иного показателя, которые выходят за пределы трех стандартных отклонений, данные показатели верифицируются и принимается решение о замене "выбросов" значением, соответствующим двум стандартным отклонениям.
5.9. При наличии входных данных, содержащих подробную информацию (пол, возраст, анамнез субъектов наблюдения) и позволяющих сформировать однородные группы, в которых можно проводить корректный анализ условий возникновения (обострения) конкретных заболеваний, в границах конкретных календарных сезонов проводятся следующие подготовительные действия:
- формируются однородные группы наблюдения по полу, возрасту, состоянию здоровья исследуемых людей;
- на основе статистического анализа входных данных определяются рамки нормального (обычного) состояния здоровья людей внутри таких групп в заданный сезон. Такими рамками предлагается считать границы вероятного (срединного) отклонения (+/- 25% относительно центра) сезонных распределений исследуемых характеристик здоровья (например, распределений количества случаев заболеваний/обострений/смертей или распределений показателей, которые характеризуют функционирование внутренних систем организма);
- определяется значение отклонения (аномальное состояние) вышеуказанных характеристик от их значений, которые были характерны для нормального состояния здоровья. В каждом конкретном исследовании величина отклонения подлежит оценке, определяемой исходя из цели исследования;
- проводится, по возможности, полный отбор климатических факторов, характеризующих каждый день во временном интервале в +/- 5 дней относительно даты конкретного факта регистрации нормального или аномального показателя здоровья людей в группах наблюдения (метод наложенных эпох, реперный день - дата регистрации конкретного состояния здоровья в исследуемой группе людей);
- каждый природный параметр подвергается процедуре стандартизации по формуле (1):
, (1)
где: x - измеренное значение климатического фактора;
x0.5 season - медианное значение параметра, вычисленное по выборке величиной в определенный интервал времени, предшествующий наблюдению (для каждого параметра определяется свой временной интервал устойчивых величин значений);
- стандартное отклонение величины этого параметра, вычисленное по той же выборке.
5.10. При наличии входных медицинских данных, содержащих только обобщенную информацию (например, суммарное количество заболеваний и (или) смертельных случаев за год с учетом численности населения), входные данные рекомендуется обработать для получения усредненной информации следующим образом:
- построить кривые временного хода медицинских показателей в заданном интервале времени и определить характерные точки локальных экстремумов таких кривых;
- построить распределения климатических параметров на основании выборок по минимальным заданным интервалам времени (например, за год);
- вычислить характеристики положения (моду, медиану) и разброса (стандартное отклонение, размах, экстремальные значения) указанных распределений.
VI. Статистические методы оценки влияния климатических
факторов на состояние здоровья населения и оценки риска
6.1. Методика предполагает сравнение климатических характеристик, зарегистрированных в моменты (дни) категорированных ("норма" - "аномалия") медицинских событий. Возможно применение математического аппарата кластерного анализа, метода наложенных эпох и описательных статистик, направленных на оценку и анализ влияния гелиогеофизических и метеорологических факторов на здоровье населения.
6.2. При оценке влияния температуры атмосферного воздуха на показатели здоровья населения определяются тепловые и холодовые волны, а также пороговые значения температур, выше или ниже которых наблюдается изменение показателей смертности, заболеваемости (включая нарушения отдельных функций организма, классы по МКБ-10 R00 - R99), госпитализации населения, обращаемости за скорой медицинской помощью.
6.3. Для спутникового картирования риска преждевременной смертности и повышенной заболеваемости, вызванных тепловыми и холодовыми волнами, выполняется аппроксимация квадратичной функцией зависимости ежедневной смертности от среднесуточной температуры и определяется tm - температура минимальной смертности, соответствующая точке минимума этой квадратичной функции.
6.4. Для выявления климатических факторов, ответственных в заданном периоде за формирование условий, способствующих либо нормальному, либо аномальному состоянию здоровья исследуемой группы людей, проводится фильтрация включенных в исследование климатических факторов на предмет сходства (различия) их распределений при соответствии разным состояниям здоровья людей. Возможно определение сходства (различия) распределений посредством критерия Манна-Уитни, при этом фильтрация проводится в каждый день интервала наложенных эпох.
6.5. При углубленных исследованиях для оценки наличия связи между климатическими факторами и состоянием здоровья категорированных (категория "нормальное состояние здоровья" и категория "аномальное состояние здоровья" для заданного сезона) групп населения возможно привлечение математического аппарата кластерного анализа, метода наложенных эпох и описательных статистик (см. приложение 1 к настоящим МР):
6.5.1. Посредством вычисления описательных статистик (медианы, 25 и 75 процентили) определяется положение центра распределения и разброс выборки, образованной стандартизированными величинами всех включенных в исследование климатических факторов.
6.5.2. В соответствии с методом наложенных эпох вышеуказанные вычисления проводятся для каждого дня временного интервала продолжительностью в +/- 5 дней относительно реперного дня. Реперными днями считаются дни регистрации альтернативных событий - регистрация нормального состояния здоровья и регистрация аномального состояния здоровья в одной и той же однородной группе людей в заданный период.
6.5.3. Определяется межкластерное расстояние (предлагается использовать эвклидову меру) выборок климатических факторов, соответствующих нормальному и аномальному состоянию здоровья людей в исследуемых группах в заданный сезон.
6.5.4. В интервале наложенных эпох находится день максимального межкластерного расстояния указанных выше выборок - день максимального различия климатических факторов при соответствии альтернативным событиям, определяющим состояние здоровья исследуемых людей, который указывает положение таких альтернативных событий на линии смены погоды.
6.5.5. В случае наличия данных из удаленных друг от друга географических регионов проводится сравнение только гелиогеофизических факторов, так как метеорологические параметры, определяющие атмосферные режимы, локальны:
- определяются характеристики исследуемых временных промежутков с точки зрения гелиогеофизических факторов - положение на линии смены фаз цикла СА;
- сопоставляются кривые, характеризующие определенные изменения медико-статистического параметра в разных географических регионах;
- рассматривается сходство или различие таких кривых с учетом сходства-различия географических координат (широты, долготы), а также учитывая количество населения исследуемых регионов;
- проводится анализ значимости сходства или различия параметров космической погоды путем расчета вероятного (срединного) отклонения (+/- 25% относительно центра) сезонных распределений исследуемых характеристик; в случае углубленных исследований статистическая значимость отличий может быть установлена с помощью критерия Краскела-Уоллиса.
VII. Представление результатов статистических методов
7.1. Результатами оценки влияния климатических факторов на здоровье населения являются показатели прироста или убыли заболеваемости, смертности, госпитализаций и вызовов скорой помощи в процентах при увеличении или уменьшении значений метеорологических параметров на установленный прирост показателя. Установленные показатели представляются с доверительными интервалами не менее 95%.
7.2. Для графического представления данных временных рядов используют линейные и радиальные диаграммы. С помощью линейной диаграммы отражают временной тренд количества заболеваний, госпитализаций, вызовов скорой медицинской помощи. При этом целесообразно построение линейных диаграмм с двумя осями, где на одной оси откладывают значения зависимой переменной, а на другой оси - независимой переменной. Радиальные диаграммы используют для отображения среднемесячных значений климатических факторов и (или) климатических индексов.
7.3. Для компьютерной визуализации координатно-привязанных цифровых карт риска преждевременной смертности или повышенной заболеваемости, вызванных колебаниями параметров природно-климатических факторов, используются пакеты ГИС программ. Эти программы позволяют определять и сравнивать интегральные по площади районов (населенного пункта) риски, смертность и (или) уровни заболеваемости.
7.4. В дальнейшем определяются климатические факторы, оказывающие влияние на здоровье исследуемых групп населения с графическим представлением динамики указанных выше параметров в интервале наложенных эпох, а также списки параметров, ответственных за формирование условий состояния здоровья людей в различных географических точках, с указанием географических характеристик местности.
7.5. При представлении результатов оценки риска здоровью от климатических факторов по данным эпидемиологических исследований используются методические документы по оценке риска <19>.
--------------------------------
<19> МР 2.1.10.0057-12.
7.6. Картирование рисков здоровью населения, связанных с воздействием природно-климатических факторов, в том числе риска перегрева [3, 4], проводится организациями, специализирующимися в области компьютерной обработки материалов спутниковых съемок (см. приложение 2 к настоящим МР).
7.7. Спутниковое картирование рисков здоровью, преждевременной смертности (повышенной заболеваемости), связанных с воздействием природно-климатических факторов, используется для информационной поддержки системы принятия управленческих решений в области управления риском для здоровья населения при воздействии факторов среды обитания.
VIII. Оценка и анализ воздействия климатических факторов
на здоровье населения, на основе оценки риска
8.1. Оценка рисков, связанных с воздействием климатических факторов, производится в соответствии с принципом этапности, который предусматривает последовательное выполнение четырех взаимосвязанных этапов: идентификация опасности, анализ зависимости "экспозиция-ответ", оценка экспозиции и характеристика риска.
8.1.1. На этапе идентификации опасности формируется план проведения последующих исследований, устанавливаются неопределенности, способные повлиять на полноту и достоверность окончательных заключений. Основными задачами этапа идентификации опасности является выбор приоритетных климатических факторов и их комплексов, изучение которых позволяет охарактеризовать уровни риска нарушений состояния здоровья населения, обусловленные их влиянием; определить потенциальные вредные эффекты, способные формироваться под воздействием этих факторов, и дать оценку научной доказанности возможности их развития у человека; определить чувствительные группы населения.
8.1.2. На этапе анализа зависимости "экспозиция-ответ" производится оценка наличия параметров для оценки риска или возможности их разработки на базе изучения причинно-следственных связей показателей нарушения состояния здоровья с воздействием климатических факторов.
8.1.3. На этапе оценки экспозиции определяются численные характеристики интенсивности и (или) частоты воздействия климатических факторов.
8.1.4. В ходе характеристики риска, в зависимости от задач исследования, производится расчет количественных показателей индивидуального риска здоровью, позволяющих определить ориентировочные величины негативных последствий (заболеваний и преждевременной смерти) при различных сценариях, осуществляется их категорирование с учетом допустимости, а также может быть проведена оценка популяционных рисков.
Пример оценки риска для здоровья населения, проживающего в условиях Крайнего Севера, обусловленного влиянием метеорологических факторов, представлен в приложении 3 к настоящим МР.
8.2. Идентификация опасности
8.2.1. На этапе идентификации опасности осуществляется выбор приоритетных климатических факторов, которые могут стать причиной формирования риска для здоровья населения; определение перечня вероятных вредных эффектов, обусловленных их воздействием; характеристика населения, подвергающегося влиянию изучаемых факторов [7, 12].
8.2.2. На данном этапе учитываются особенности оценки различных групп климатических факторов - метеорологических и гелиогеофизических, определяющих погоду и климат.
8.2.3. Ведущими критериями для выбора приоритетных (индикаторных) климатических факторов являются вероятность их воздействия на человека опасность для здоровья человека, то есть способность вызывать вредные эффекты в виде климаточувствительных негативных эффектов (ответов) для здоровья населения [25].
Выбор анализируемых климатических факторов
и характеризующих их показателей
8.2.4. Выбор анализируемых климатических факторов и характеризующих их показателей производится с учетом цели и задач их оценки.
8.2.5. На данном этапе составляется перечень климатических факторов, значимых для населения, проживающего на анализируемой территории, изучение которых позволит охарактеризовать потенциальное наличие риска нарушений состояния здоровья населения, обусловленного их влиянием.
8.2.6. При идентификации опасности метеогелиогеофизических факторов рассматриваются значения характеризующих их показателей, которые могут быть представлены абсолютными и (или) относительными значениями, величиной вариации этих значений и (или) индексами, учитывающими сочетанное действие. Метеорологические показатели могут быть представлены для характеристики краткосрочного и долгосрочного влияния факторов.
8.2.7. Среди метеорологических показателей для анализа краткосрочного влияния на здоровье населения целесообразно использовать среднесуточную температуру (°C), максимальную/минимальную суточную температуру (°C), межсуточные перепады температуры (частота и амплитуда в °C). Показателями для оценки фактора атмосферного давления могут быть внутрисуточная (межсуточная) амплитуда колебаний атмосферного давления (в мм. рт. ст.) и частота суточных перепадов атмосферного давления (количество перепадов за сутки).
8.2.8. К показателям, которые целесообразно использовать для анализа долгосрочных эффектов влияния метеорологических факторов на здоровье населения, характеризующих климат на анализируемой территории, относятся среднемесячная температура (°C), температура за зимний/летний сезон (°C), среднегодовая температура, среднее атмосферное давление (в мм. рт. ст.), средняя скорость ветра (м/с).
8.2.9. Если для задач исследования целесообразно оценивать одновременное действие нескольких метеофакторов, то в качестве показателей могут быть использованы индексы, включающие значения двух или более метеорологических факторов и способствующие объективной интерпретации их интегрального эффекта. К ним относятся, например, эффективная температура (далее - ЭТ), ветро-холодовой индекс по Сайплу, индекс суровости погоды по Бодману, эквивалентно-эффективная температура (ЭЭТ), нормальная эквивалентно-эффективная температура (далее - НЭЭТ), физиологически эквивалентная температура (англ. Physiologically Equivalent Temperature, PET), универсальный индекс теплового комфорта (англ. Universal Thermal Climate Index, UTCI) [10, 11, 13, 16, 19, 20]. Выбор индекса отражает оптимальное сочетание метеорологических факторов, характеризующих их влияние на здоровье населения, для задач проводимого исследования.
8.2.10. К гелиогеофизическим факторам могут быть отнесены индексы глобальных вариаций СА, вариации параметров вспышечной компоненты СА, характеристик процессов в околоземном космическом пространстве, характеристик геомагнитного поля, характеристик электрического поля атмосферы.
8.2.11. В соответствии с задачами оценки предварительно устанавливаются значения выделенных показателей для анализируемой территории за необходимый промежуток времени. Так, для оценки краткосрочного воздействия могут быть использованы, например, данные 8-срочных наблюдений (каждые три часа) или посуточные данные о величинах метеорологических факторов или их показателей.
8.2.12. Также изучаются диапазоны изменений выделенных показателей климатических факторов, которые оцениваются по отношению к пороговым значениям или диапазонам комфорта, за пределами которых данные показатели способны оказывать влияние на здоровье населения [15].
В качестве значимых для населения, проживающего на анализируемой территории метеорологических факторов, рассматриваются те, для которых значения величин определяющих их показателей выходят за пределы установленных диапазонов комфорта или пороговых уровней.
Определение контингента исследования
8.2.13. Для определения контингента исследования целесообразно установить потенциальную территорию (зону) воздействия для каждого климатического фактора. Население, проживающее на данной территории, относится к контингенту, для которого вероятно формирование риска, обусловленного влиянием фактора.
8.2.14. Также проводится анализ данного контингента с выбором наиболее уязвимых групп населения (п. 4.3).
Установление вероятных ответов со стороны здоровья
населения, ассоциированных с влиянием изучаемых факторов
и их показателей
8.2.15. Для определения вероятных ответов со стороны здоровья населения, ассоциированных с влиянием метеогелиогеофизических факторов и их показателей, проводится установление связей, позволяющих охарактеризовать наличие потенциальной опасности для здоровья человека.
8.2.16. Ответы определяются в соответствии с механизмами влияния показателей метеофакторов и принципами биологического правдоподобия.
8.2.17. В качестве ответов может рассматриваться смертность населения (по причинам основных климатозависимых заболеваний), заболеваемость (по классам МКБ, группам и нозологическим формам), нарушение отдельных функций организма (например, повышение активности окислительного стресса, дисфункция гепатобилиарной системы, тканевая гипоксия и компенсаторная активация гомеостаза периферической крови, супрессия Т-клеточного звена иммунитета и активация неспецифической резистентности) и отклонения клинико-лабораторных показателей от половозрастной физиологической нормы.
8.2.18. При установлении ответов для здоровья населения, обусловленных влиянием метеорологических факторов, может быть проанализировано как влияние отдельных метеорологических показателей (например, среднесуточная температура воздуха для характеристики влияния температуры, суточные перепады атмосферного явления для оценки влияния атмосферного давления), так и показателей комплексного воздействия нескольких климатических факторов, выражаемых в виде различных индексов.
8.2.19. Определение ответов целесообразно проводить для каждой из выделенных групп, входящих в контингент исследования.
8.2.20. Основные заболевания [9, 23], характеризующиеся чувствительностью к метеорологическим факторам (в условиях краткосрочного влияния) <20>:
--------------------------------
<20> Подпункт 5.2.1 МР 2.1.10.0057-12.
- болезни органов дыхания: острые респираторные инфекции верхних и нижних дыхательных путей, грипп и пневмония (J00 - J22), вазомоторный и аллергический ринит (J30), хронические болезни нижних дыхательных путей (J40 - J45), в том числе астма (J45);
- болезни системы кровообращения: болезни, характеризующиеся повышенным кровяным давлением (I10 - I15), ишемическая болезнь сердца (I20 - I25), нарушения проводимости и сердечного ритма (I44 - 49), цереброваскулярные болезни (I60 - I69);
- болезни эндокринной системы, расстройства питания и нарушения обмена веществ: сахарный диабет (I10 - 14);
- кишечные инфекции: другие сальмонеллезные инфекции (A02), шигеллез (A03), другие бактериальные кишечные инфекции (A04), другие бактериальные пищевые отравления (A05), вирусные и другие уточненные кишечные инфекции (A08).
8.2.21. Этот перечень может быть дополнен по данным опубликованных научных исследований, в которых была установлена статистически значимая связь с анализируемыми фактором или его показателями (например, травмами, отравлениями и некоторыми другими последствиями воздействия внешних причин, психическими расстройствами и расстройствами поведения, болезнями кожи и подкожной клетчатки, болезнями мочеполовой системы, болезнями нервной системы).
8.2.22. К заболеваниям, характеризующимся чувствительностью к метеорологическим факторам в условиях долгосрочного влияния, в том числе в условиях изменения климата, целесообразно отнести трансмиссивные болезни: болезнь Лайма (A69.2), клещевой вирусный энцефалит (A84), лихорадка Денге (A90 - 91), лихорадка Западного Нила (A92.3), желтая лихорадка (A95), малярия (B50 - 54), лейшманиоз (B55), африканский трипаносомоз (B56), болезнь Шагаса (B57), охоцеркоз (B73), филяриатоз (B74).
8.2.23. К основным заболеваниям, характеризующимся чувствительностью к гелиогеофизическим факторам, относятся:
1) болезни системы кровообращения:
- ишемическая болезнь сердца (I20 - I25), в том числе острый инфаркт миокарда (I21);
- цереброваскулярные болезни (I60 - I69), в том числе инфаркт мозга (I63);
- болезни, характеризующиеся повышенным кровяным давлением (I10 - I15).
2) болезни нервной системы:
- воспалительные болезни центральной нервной системы (G00 - G09);
- демиелинизирующие болезни центральной нервной системы (G35 - G37);
- экстрапирамидные и другие двигательные нарушения (G20 - G26);
- другие нарушения нервной системы (G90 - G99), в том числе расстройства вегетативной нервной системы (G90).
8.2.24. Список приоритетных заболеваний, характеризующихся. чувствительностью к метеогелиогеофизическим факторам, может быть дополнен по данным опубликованных научных исследований, в которых была установлена статистически значимая связь с анализируемыми фактором или его показателями. Нарушения функций организма могут быть установлены с использованием биомаркеров эффекта. Например, биомаркерами дисфункции гепатобилиарной системы, нарушения метаболизма жиров и детоксикации чужеродных веществ являются отклонения от половозрастной физиологической нормы показателей аланинаминотрансферазы, аспартатаминотрансферазы, гамма-глутамилтрансферазы в сыворотке крови (повышение), общий билирубин в сыворотке крови (повышение), CYP450 в крови (снижение).
8.2.25. Установление перечня вероятных ответов со стороны здоровья населения, ассоциированных с влиянием климатических факторов и их показателей, также определяется целями и задачами проводимого исследования.
Выбор приоритетных для исследования факторов
8.2.26. В качестве рекомендуемых критериев включения климатических факторов в дальнейшую оценку риска целесообразно использовать следующие критерии:
- наличие исходных данных о значениях показателей метеорологического фактора для анализируемой территории за необходимый промежуток времени;
- значимость фактора для населения, проживающего на анализируемой территории (значения показателя выходят за пределы установленных диапазонов комфорта или пороговых уровней);
- наличие данных о вероятных ответах со стороны здоровья населения, обусловленных влиянием анализируемых метеогелиогеофизических факторов и их показателей;
- наличие связей, позволяющих охарактеризовать потенциальную опасность для здоровья человека, или возможности их установления.
Пример шаблона представления результатов идентификации опасности представлен в приложении 4 к настоящим МР.
8.2.27. По результатам реализации этапа идентификации опасности устанавливаются климатические факторы и их показатели, включенные в дальнейшую оценку риска; контингенты исследования; вероятные ответы со стороны здоровья населения, обусловленные их влиянием; исходные данные о значениях данных факторов и их показателей.
8.3. Оценка зависимости "экспозиция-эффект (ответ)"
8.3.1. На этапе оценки зависимости "экспозиция-эффект (ответ)" устанавливаются количественные показатели, характеризующие связи между величиной экспозиции климатических факторов и вероятными ответами, установленными на этапе идентификации опасности. В качестве экспозиции может быть учтено как влияние отдельных климатических показателей, так и показателей сочетанного (комплексного) воздействия нескольких климатических факторов, в том числе в виде биоклиматических показателей (индексов).
8.3.2. При оценке зависимости "экспозиция-эффект (ответ)" целесообразно рассматривать зависимость нарушений здоровья с учетом следующих видов экспозиции:
- величин показателя, характеризующего метеорологический фактор (например, в °C, мм. рт. ст., %), или биоклиматического индекса (в единицах индекса);
- вариаций показателя, характеризующего метеорологический фактор, или вариаций биоклиматического индекса (величин изменения), например, количество °C выше порога, определяемого как волна жары, или количество °C за пределами диапазона, характеризующего отсутствие температурного стресса, за каждый день/месяц;
- периода времени, во время которого величина показателя или биоклиматического индекса находилась в диапазоне действующих уровней;
- повторяемости вариаций показателя, характеризующего метеорологический фактор, или вариаций биоклиматического индекса.
8.3.3. В качестве параметров зависимости "экспозиция-эффект (ответ)" используются величины, количественно определяющие вероятность нарушения здоровья на единицу величины или степени изменения фактора, находящегося в диапазоне действующих уровней.
8.3.4. В качестве действующих уровней метеорологического фактора используются уровни воздействия, при которых могут регистрироваться негативные эффекты для здоровья населения. Они находятся за границами установленного диапазона значений экспозиции, в пределах которого вероятность возникновения негативных ответов пренебрежимо мала. Эти диапазоны могут быть ограничены как с двух сторон, так и с одной.
8.3.5. Действующие уровни метеорологического фактора могут быть представлены в виде фиксированных значений (например, для перепадов атмосферного давления) или величин, рассчитанных для определенной территории за анализируемый период (например, для волн тепла и холода, определяемых как последовательное количество дней, во время которых среднесуточная температура находилась за пределами определенного процентиля всех значений температуры за изучаемый многолетний период).
8.3.6. Действующие уровни метеофакторов выбираются для отдельных видов нарушений состояния здоровья населения, установленных в качестве вероятных негативных ответов на этапе идентификации опасности.
8.3.7. Установлено, что по критерию увеличения количества случаев смертей, обусловленных болезнями системы кровообращения (инфаркт миокарда и острый коронарный синдром), ассоциированных с влиянием суточных перепадов атмосферного давления, в качестве действующих уровней могут быть использованы перепады давления, превышающие 10 мбар (7,5 мм. рт. ст.) [18].
8.3.8. Для индекса ЭТ (°C) по критерию отсутствия физиологического стресса в качестве действующих уровней могут быть использованы значения, например, ниже плюс 5 °C и выше плюс 17 °C, по критерию наличия среднего уровня холодного стресса - ниже минус 13 °C, среднего уровня теплового стресса - выше плюс 26 °C <21>. Однако эти значения могут варьировать в зависимости от территории и изменяться по мере поступления новых данных.
--------------------------------
<21> Руководство по практике метеорологического обслуживания населения. ВМО - N 834 - digitallibrary.un.org/nanna/record/241081/files/wmo_834_ru.pdf?withWatermark=0&withMetadata=0&version=l®isterDownload=1 (в свободном доступе).
8.3.9. Параметры зависимости "экспозиция-эффект (ответ)" могут быть установлены как по результатам анализа имеющейся информации о показателях, характеризующих связи между величиной экспозиции факторов и ассоциированными ответами, так и с применением адекватных методов их расчета.
8.3.10. При анализе данных для установления показателей, характеризующих связи между величиной экспозиции факторов и ассоциированными ответами, целесообразно, чтобы они соответствовали следующим требованиям:
1) показатели характеризуются количественными зависимостями вероятности формирования негативных ответов со стороны здоровья населения, обусловленными влиянием метеорологического фактора, находящегося в диапазоне действующих уровней;
2) показатель характеризует ответы, возникающие на единицу изменения фактора (например, на каждый мм. рт. ст., на каждый °C выше или ниже установленного диапазона действующего уровня);
3) параметры для количественной оценки риска предусматривают четко идентифицированные эффекты и (или) ответы;
4) математические модели, по результатам которых были получены параметры зависимости "экспозиция-эффект (ответ)", оцениваются на предмет статистической значимости и биологического правдоподобия.
8.3.11. Все установленные связи проверяются на наличие статистической значимости в соответствии с принятыми методами статистической обработки данных. Отбираются показатели, характеризующие метеорологический фактор, имеющие значимые корреляционные связи с показателями, характеризующими ответы со стороны здоровья населения.
8.3.12. Биологическое правдоподобие - критерий, согласно которому наблюдаемая ассоциация, предположительно причинно-следственная, согласуется с существующими биологическими или медицинскими знаниями. В отношении математических моделей для количественной оценки метеорологических рисков для оценки биологического правдоподобия целесообразной является оценка наличия патогенетических механизмов развития нарушений здоровья под воздействием климатических факторов. По результатам проводимой экспертизы заведомо ложные связи (ложные корреляции), не отвечающие приведенным условиям (гипотезам), исключаются из дальнейшего анализа.
Показатели, характеризующие зависимость
"экспозиция-эффект (ответ)"
8.3.13. В качестве показателей, характеризующих связи между величиной экспозиции метеорологических факторов и ответами, могут быть использованы эпидемиологические показатели и показатели, полученные по результатам математического моделирования зависимости "экспозиция - ответ".
8.3.14. Из эпидемиологических показателей для задач оценки риска для здоровья населения, обусловленного влиянием метеорологических факторов, целесообразно использовать показатель относительного риска (далее - RR), который показывает увеличение вероятности негативного ответа при исследуемом уровне экспозиции, равном "RR-1". Например, установлено [17], что суточное изменение температуры на >= 5 °C связано с увеличением числа госпитализаций с обострением заболеваний сердечно-сосудистой системы в среднем на 14,0% (RR = 1,14; 95% CI 1,020 - 1,283; p = 0,021), а при одновременном изменении температуры воздуха на >= 5 °C и влажности на >= 40% - на 29% (RR = 1,29; 95% CI 1,090 - 1,599; p = 0,034).
8.3.15. При анализе математических моделей зависимости "экспозиция - ответ" предпочтительными являются результаты логистических регрессионных моделей, ключевым показателем является величина коэффициента регрессии.
8.3.16. Если по результатам анализа информации о показателях, характеризующих зависимость "экспозиция-эффект (ответ)" установлено, что имеющихся данных недостаточно, то они могут быть установлены с помощью проведения математического моделирования.
Расчет показателей, характеризующих зависимость
"экспозиция-эффект (ответ)"
8.3.17. Для расчета показателей, характеризующих зависимость вероятности возникновения негативных ответов от величины экспозиции, могут быть использованы методы регрессионного или эпидемиологического анализа.
8.3.18. Построение моделей осуществляется с использованием стандартных программ статистической обработки данных. В качестве входных параметров используются значения показателей метеорологических параметров; значения показателей заболеваемости населения в соответствии с ответами, установленными на этапе идентификации опасности; показатели, характеризующие действующие уровни анализируемого метеорологического показателя.
8.3.19. При построении моделей допускается использование лагов, позволяющих учитывать эффекты влияния метеорологических факторов, возникающие через определенный интервал времени. Лаг 0 означает, что обе переменные относятся к одному и тому же дню (месяцу), лаг +1 означает, что, например, смертность (заболеваемость) анализировалась в день или месяц, следующий за тем, к которому относится метеорологический показатель <22>.
--------------------------------
<22> МР 2.1.10.0057-12.
8.3.20. Математические модели могут быть представлены в виде парных регрессионных моделей и множественных регрессионных моделей.
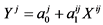
8.3.21. Общий вид парной регрессионной модели может быть представлен в виде формулы (2):
, (2)
где: Yj - относительная заболеваемость населения по j-ой причине, случаев на 1 000 населения;
a0j, a01ij - коэффициенты модели;
Xij - i-ый фактор, воздействующий на j-ый ответ.
8.3.22. В качестве показателя, характеризующего зависимость "экспозиция - эффект (ответ)", используется коэффициент регрессии, характеризующий изменение вероятности возникновения негативных эффектов со стороны здоровья населения на единицу экспозиции.
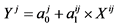
8.3.23. Общий вид множественной регрессионной модели может быть представлен в виде формулы (3):
, (3)
где: Yj - относительная заболеваемость населения по j-ой причине, случаев на 1000 населения;
a0j, a1ij - коэффициенты модели;
Xij - i-ый фактор, воздействующий на j-ый ответ.
8.3.24. Заболеваемость, ассоциированная с влиянием анализируемых метеорологических факторов, рассчитывается как разность оценок, полученных при фактическом уровне фактора и уровне фактора, при котором вероятно не происходит возникновения неблагоприятных эффектов со стороны здоровья человека, обусловленных его действием, формула (4):
, (4)
где:
- заболеваемость населения по j-ой причине, ассоциированная с воздействием j-ого фактора, случаев на 1000 населения;
a1ij - коэффициент модели;
XNij - уровень фактора, при котором вероятно не происходит возникновения неблагоприятных эффектов со стороны здоровья человека, обусловленных его действием.
8.3.25. На основе полученных данных рассчитывается вероятность случая заболевания в течение года, формула (5):
, (5)
где: Pj - вероятность случая заболевания по j-ой причине в течение календарного года.
8.3.26. Вероятность заболевания, ассоциированная с воздействием выделенных факторов [14], определяется как разность оценок заболеваемости при фактическом уровне действия фактора и уровне, при котором вероятно не происходит возникновения неблагоприятных эффектов для здоровья населения, обусловленных его действием, формула (6):
, (6)
где:
- вероятность заболевания по j-ой причине, ассоциированная с воздействием i-го фактора.
8.3.27. Расчет эпидемиологических показателей осуществляется в соответствии со стандартными методиками эпидемиологического анализа <23>.
--------------------------------
<23> Эпидемиология: дизайн исследований и анализ данных (англ. Epidemiology: Study Design and Data Analysis) - accord.edu.so/web/content/31889?download=true&access_token=5b3e36e0-015b-487c-bae0-dlcle3c7fc70 (в свободном доступе).
8.3.28. В качестве группы наблюдения используется контингент исследования, установленный на этапе идентификации опасности.
8.3.29. При расчете эпидемиологических показателей (OR, RR) для задач оценки риска, обусловленного влиянием метеорологических факторов, учитывают их доверительные границы (CI).
8.3.30. Дополнительный метод, позволяющий оценить влияние климатических факторов на состояние здоровья населения, представлен в главе VI.
8.3.31. Результатом реализации этапа анализа зависимости "экспозиция-эффект (ответ)" является установление количественных показателей, характеризующих вероятность нарушения здоровья на единицу величины или степени изменения фактора, находящегося в диапазоне действующих уровней, и (или) математических моделей, позволяющих рассчитать эту зависимость, для каждого из показателей, установленных на этапе идентификации опасности.
8.4. Оценка экспозиции климатических факторов
8.4.1. На данном этапе осуществляется количественная оценка уровней экспозиции климатических факторов. Этап включает в себя определение зоны воздействия изучаемых факторов и расчет уровней экспозиции метеорологических факторов для населения, проживающего на данной территории.
Определение зоны воздействия изучаемых факторов
8.4.2. В качестве зоны воздействия климатического фактора принимается территория, на которой анализируемый фактор регистрируется на уровнях, способных вызывать нарушения состояния здоровья исследуемого контингента населения, обусловленных его влиянием.
8.4.3. Зона воздействия может быть определена по результатам натурных наблюдений за климатическими (метеорологическими) показателями, и может быть уточнена на основе использования дополнительных методов исследования (например, материалов спутниковой съемки).
Расчет уровней экспозиции климатических факторов
(виды экспозиции определены в п. 8.3.2)
8.4.4. Значения экспозиции климатических факторов характеризуются интенсивностью, продолжительностью и повторяемостью воздействия.
8.4.5. Вариации показателей и биоклиматических индексов рассчитываются как разность значений показателей/индексов, и значения ближайшей границей диапазона их действия.
8.4.6. Продолжительность воздействия экспозиции характеризует периоды времени, во время которых значения показателей климатических факторов регистрировались на уровне действующих значений (для краткосрочных воздействий - дни, для долгосрочных - месяцы, годы).
8.4.7. Повторяемость воздействия характеризует частоту периодов времени за определенный временной диапазон, например, количество дней за год, во время которых величина показателя или биоклиматического индекса находилась на уровне действующих значений.
8.4.8. Расчет экспозиции, представленной в виде величин показателя, характеризующего климатический фактор или биоклиматический индекс, осуществляется в соответствии с формулой (7):
Es = Aср t, (7)
где: Es - уровень экспозиции, выраженной в виде величин показателя, характеризующего метеорологический фактор или биоклиматического индекса;
Acp t - величина показателя, характеризующего метеорологический фактор или биоклиматический индекс, осредненная за период времени t (например, месяц, год).
8.4.9. Например, при расчете Es для средней температуры атмосферного воздуха за определенный период времени (например, сутки, месяц, сезон) может быть использовано фактическое значение данной температуры за анализируемой период времени.
8.4.10. Расчет экспозиции, представленной в виде вариаций показателя, характеризующего климатический фактор, или вариации биоклиматического индекса, осуществляется в соответствии с формулой (8):
, (8)
где:
- уровень экспозиции, представленной в виде вариаций показателя, характеризующего метеорологический фактор, или вариаций биоклиматического индекса;
Afср - фактическая величина показателя, характеризующего метеорологический фактор или биоклиматический индекс;
Aр - величина, соответствующая значению ближайшей границы диапазона действующих уровней.
8.4.11. Например, при расчете
для внутрисуточных перепадов атмосферного давления рассчитывается величина значения, на которую фактическое значение превышает значение ближайшей границы диапазона действующих уровней, в мм. рт. ст.
8.4.12. Расчет экспозиции, представленной в виде временного периода, во время которого величина показателя, характеризующего фактор или биоклиматический индекс, находилась в диапазоне действующих уровней, осуществляется в соответствии с формулой (9):
Et = T, (9)
где: Et - уровень (продолжительность) экспозиции, представленной в виде периода времени, в течение которого величина показателя или биоклиматического индекса находилась в диапазоне действующих уровней, дней, месяцев, лет;
T - продолжительность периода, во время которого величина показателя или биоклиматического индекса (A) находилась в диапазонах действующих уровней (AN) (ANниж < A > ANверх).
Например, при расчете Et для волн тепла рассчитывается количество последовательных дней, во время которых температура атмосферного воздуха находилась выше порогового уровня, определяемого для данной территории как волна тепла.
8.4.13. Для биоклиматических индексов при расчете Et в качестве величины экспозиции рассчитывается количество дней/месяцев за промежуток времени, в течение которого значение индекса находилось в диапазоне действующих уровней, а также рассчитывается величина отличия фактического значения индекса от его границы.
8.4.14. Расчет экспозиции, представленной в виде повторяемости вариаций показателя или биоклиматического индекса, представляет собой суммарное число вариаций в течение определенных периодов времени, и осуществляется в соответствии с формулой (10):
, (10)
где: Ep - уровень экспозиции, представленной в виде повторяемости вариаций показателя или биоклиматического индекса;
K - единичная вариация метеорологического показателя/индекса, ед.
8.4.15. Например, при расчете Ep для волн тепла за год рассчитывается суммарное количество дней в году, во время которых температура атмосферного воздуха находилась выше порогового уровня, определяемого для данной территории как волна тепла.
8.4.16. Расчет уровней экспозиции климатических факторов осуществляется на основе данных метеорологических наблюдений, проводимых на анализируемой территории. Если проводится оценка одного метеорологического фактора, то расчет экспозиции осуществляется на основе данных инструментальных измерений метеорологических величин (например, температура воздуха, скорость ветра, влажность воздуха), а если выполняется оценка совместного влияния нескольких климатических факторов, и в качестве показателя используется биоклиматический индекс, то осуществляется расчет биоклиматических индексов на основе имеющихся метеорологических наблюдений. Они могут быть рассчитаны с использованием специализированных программных продуктов.
8.4.17. Результатом реализации этапа оценки экспозиции являются количественные уровни экспозиции метеорологических факторов, выделенные в качестве приоритетных на этапе идентификации опасности, рассчитанные с учетом особенностей их влияния (интенсивности, продолжительности, повторяемости).
8.5. Характеристика воздействия климатических факторов
на здоровье населения
8.5.1. На этапе характеристики воздействия климатических факторов на здоровье населения проводится обобщение данных, полученных на предыдущих этапах оценки риска здоровью, и на их основе производится расчет и категорирование уровней риска для здоровья населения в зоне воздействия климатических факторов для выделения приоритетных нарушений здоровья населения.
Расчет индивидуальных уровней риска
8.5.2. Расчет индивидуальных уровней риска выполняется как произведение вероятности нарушений здоровья населения, связанных с действием климатических факторов, и тяжести установленных ответов для каждого из видов нарушений здоровья, формула (11):
Rинд. = Pi x gi, (11)
где: Rинд. - индивидуальный уровень риска здоровью;
Pi - вероятность возникновения i-ого нарушения здоровья населения;
gi - коэффициент тяжести для i-ого вида нарушений здоровья.
8.5.3. Показатель тяжести определяется в виде безразмерного коэффициента из диапазона от 0 до 1 на уровнях, рассчитанных на основе величин, рекомендуемых ВОЗ <24>, и представленных в методических документах <25>.
--------------------------------
<24> Методы и источники данных ВОЗ для оценок глобального бремени болезней за период 2000 - 2019 (англ. WHO. Methods and data sources for global burden of disease estimates 2000 - 2019) - cdn.who.int/media/docs/default-source/gho-documents/global-health-estimates/ghe2019_daly-methods.pdf?sfvrsn=31b25009_7 (в свободном доступе).
<25> Таблица П7.1 Р 2.1.10.3968-23 "Руководство по оценке риска здоровью населения при воздействии химических веществ, загрязняющих среду обитания", утвержденное руководителем Федеральной службы по надзору в сфере защиты прав потребителей и благополучия человека, Главным государственным санитарным врачом Российской Федерации 06.09.2023 (далее - Р 2.1.10.3968-23).
8.5.4. Расчет вероятности нарушений здоровья, связанных с воздействием климатических факторов, производится в соответствии с формулами (12 - 14) в зависимости от задач проводимого исследования и особенностей экспозиции метеорологических факторов.
8.5.5. Если экспозиция метеорологического фактора представлена в виде величин показателя, характеризующего метеорологический фактор или биоклиматический индекс (Es), то вероятность нарушений здоровья рассчитывается в соответствии с формулой (12):
Pi = Es x EERs, (12)
где: Pi - вероятность возникновения i-ого нарушения здоровья населения;
Es - уровень экспозиции, выраженной в виде величин показателя, характеризующего метеорологический фактор или биоклиматический индекс;
EERs - показатель, характеризующий зависимость "экспозиция-эффект (ответ)" для i-ого нарушения здоровья населения (в единицах экспозиции).
8.5.6. При использовании формулы (12) величина вероятности возникновения i-ого нарушения здоровья населения рассчитывается для того периода времени, для которого была рассчитана экспозиция и установлена величина показателя, характеризующего метеорологический фактор или биоклиматический индекс. Например, если в качестве экспозиции использована величина среднемесячной температуры атмосферного воздуха, то вероятность нарушений здоровья также будет рассчитана за месяц.
8.5.7. Если экспозиция метеорологического фактора представлена в виде вариаций показателя, характеризующего метеорологический фактор, или вариаций биоклиматического индекса (Ev), то вероятность нарушений здоровья рассчитывается в соответствии с формулой (13):
Pi = Ev x EERv, (13)
где: Pi - вероятность возникновения i-ого нарушения здоровья населения;
Ev - уровень экспозиции, представленной в виде вариаций показателя, характеризующего метеорологический фактор, или вариаций биоклиматического индекса;
EERv - показатель, характеризующий зависимость "экспозиция-эффект (ответ)" для i-ого нарушения здоровья населения на каждую единицу величины или степени изменения фактора, находящегося в диапазоне действующих уровней (в единицах анализируемого метеорологического параметра).
8.5.8. При использовании формулы (13) величина вероятности возникновения i-ого нарушения здоровья населения рассчитывается для периода времени, эквивалентного периоду, принятого для расчета разности значений метеорологического показателя или биоклиматического индекса с уровнем ближайшей границы диапазона действия (вариация). Например, если в качестве экспозиции использована величина внутрисуточных перепадов атмосферного давления (количество мм.рт.ст., на которые фактическая величина давления превышает пороговый уровень), то вероятность нарушений здоровья также будет рассчитана за сутки.
8.5.9. Если экспозиция метеорологического фактора представлена в виде периода времени, во время которого величина показателя или биоклиматического индекса находилась в диапазоне действующих уровней (Et), то вероятность нарушений здоровья рассчитывается в соответствии с формулой (14):
Pi = Et x EERt, (14)
где: Pi - вероятность возникновения i-ого нарушения здоровья населения;
Et - уровень экспозиции, представленной в виде периода времени, во время которого величина показателя или биоклиматического индекса находилась в диапазоне действующих уровней;
EERt - показатель, характеризующий зависимость "экспозиция-эффект (ответ)" для i-ого нарушения здоровья населения для единицу периода времени (например, день, месяц), во время которого величина показателя или биоклиматического индекса находилась в диапазоне действующих уровней (в единицах экспозиции).
8.5.10. При использовании формулы (14) величина вероятности возникновения i-ого нарушения здоровья населения рассчитывается для того периода времени, во время которого величина показателя или биоклиматического индекса находилась в диапазоне действующих уровней (например, вероятность возникновения нарушений здоровья во время волны тепла).
8.5.11. Если экспозиция метеорологического фактора представлена в виде повторяемости вариаций показателя или биоклиматического индекса (Ep), то вероятность нарушений здоровья рассчитывается в соответствии с формулой (15):
Pi = Ep x EERp, (15)
где: Pi - вероятность возникновения i-ого нарушения здоровья населения;
Ep - уровень экспозиции, представленной в виде повторяемости вариаций показателя или биоклиматического индекса;
EERp - показатель, характеризующий зависимость "экспозиция-эффект (ответ)" для i-ого нарушения здоровья населения для каждой вариации показателя или биоклиматического индекса.
8.5.12. При использовании формулы (15) величина вероятности возникновения i-ого нарушения здоровья населения рассчитывается для количества вариаций показателя или биоклиматического индекса за определенный промежуток времени. Например, может быть рассчитана вероятность возникновения нарушений здоровья населения, обусловленная всеми волнами тепла за год.
8.5.13. На основе рассчитанных вероятностей возникновения нарушений здоровья населения (Pi) с использованием коэффициента тяжести рассчитываются индивидуальные уровни риска (Rинд.) для каждого из установленных нарушений здоровья (формула (11).
Категорирование индивидуальных показателей риска
и оценка их приемлемости
8.5.14. Для категорирования индивидуальных показателей уровней риска, обусловленных влиянием климатических факторов, предлагается следующая классификация:
1) 1,0 x 10-6 и менее - минимальный уровень риска;
2) 1,1 x 10-6 - 1,0 x 10-4 - допустимый (приемлемый) уровень риска;
3) 1,1 x 10-4 - 1,0 x 10-3 - настораживающий уровень риска;
4) > 10-3 - высокий уровень риска.
8.5.15. Критерием допустимости (приемлемости) индивидуальных показателей риска является его величина 1,0 x 10-4, не требующая проведения профилактических мер по адаптации населения к воздействию климатических факторов.
Расчет популяционных уровней риска
8.5.16. На основе полученных значений с использованием данных о количестве населения, проживающего на анализируемой территории, может быть рассчитан популяционный показатель риска, представляющий собой меру ожидаемой частоты нарушений здоровья среди контингента исследования, формула (16):
Rпоп. = Pi x POP, (16)
где: Rпоп. - величина популяционного уровня риска;
Pi - вероятность возникновения i-ого нарушения здоровья населения;
POP - численность контингента исследования, чел.
8.5.17. При представлении результатов оценки риска по данным эпидемиологических исследований используются подходы, изложенные в методических документах <26>.
--------------------------------
<26> МР 2.1.10.0057-12.
Анализ и выделение приоритетных нарушений здоровья
населения, обусловленных влиянием климатических факторов
8.5.18. Основной задачей оценки риска для здоровья населения, обусловленного влиянием климатических факторов, является выделение приоритетных нарушений здоровья населения, в связи с этим целесообразно проведение оценки интегрального риска для каждого из видов нарушений здоровья населения, обусловленного влиянием различных метеорологических факторов.
8.5.19. Для этого проводится составление перечня видов нарушений здоровья населения, для которых были рассчитаны индивидуальные уровни риска, обусловленные разными метеорологическими факторами.
8.5.20. Расчет интегрального риска для здоровья населения, обусловленного каждым из видов нарушений здоровья, осуществляется в соответствии с формулой (17).
Rинт.i = 1 - (1 - Rметео.1) x (1 - Rметео.2) x
x (1 - Rметео.n), (17)
где: Rинт.i - интегральный уровень риска для здоровья населения, обусловленный i-ым видом нарушения здоровья населения;
Rметео.1, Rметео.2, Rметео.n - уровень риска для здоровья населения, обусловленный влиянием метеорологических факторов 1, 2, 3... n на развитие i-ого вида нарушения здоровья населения.
8.5.21. На основе полученных результатов может быть проведена оценка вкладов каждого из факторов в формирование интегрального уровня риска, а также выделение наиболее значимых из них с позиции влияния на здоровье населения, что является важным для задач информирования населения и планирования мероприятий первичной профилактики риска для минимизации неблагоприятного воздействия на здоровье населения.
8.5.22. Таким образом, по результатам реализации этапа характеристики воздействия метеорологических факторов на здоровье населения рассчитываются индивидуальные количественные уровни риска для здоровья населения с учетом тяжести вероятных ответов, осуществляется их категорирование с оценкой приемлемости и выделяются приоритетные виды нарушений здоровья населения для их учета при разработке мер адаптации населения к воздействию климатических факторов. Также могут быть рассчитаны популяционные уровни риска, для задач обоснования масштабов планируемых мероприятий адаптации населения.
8.5.23. Результаты оценки риска для здоровья населения, обусловленного влиянием метеорологических факторов на здоровье населения, позволяют:
1) устанавливать уровни экспозиции климатических факторов, которые не приводят к связанным с ними неприемлемым уровням риска здоровью и не требуют проведения мер адаптации населения к воздействию климатических факторов;
2) устанавливать территории (зоны) неприемлемого риска здоровью, для населения которых разрабатываются и реализуются меры по адаптации к воздействию климатических факторов;
3) выделять виды нарушений здоровья, обуславливающие неприемлемый риск, в отношении которых предусматриваются медико-профилактические мероприятия в планах адаптации населения к воздействию климатических факторов;
4) оценивать с использованием популяционных показателей риска здоровью эффект применения медико-профилактических мероприятий.
8.6. Оценка неопределенностей
8.6.1. Оценка неопределенностей является обязательной и завершает каждый из четырех этапов оценки риска здоровью, обусловленного влиянием климатических факторов.
8.6.2. При проведении оценки риска для здоровья населения, связанного с климатическими факторами, могут иметь место как стандартные неопределенности, такие как отсутствие или неполнота информации об определенных параметрах, процессах или моделях; вариабельность данных; неопределенности, обусловленные пробелами в научной теории и причинных связях, необходимых для точного предсказания тех или иных эффектов, так и неопределенности, характерные для оценки климатических факторов.
8.6.3. На этапе идентификации опасности в качестве источников неопределенности можно привести выбор показателей для оценки влияния климатических факторов, в качестве которых могут быть использованы как единичные показатели, так и индексы, характеризующие разные комплексы метеорологических факторов.
8.6.4. При установлении значения климатического фактора, которое вероятно не приводит к возникновению неблагоприятных эффектов для здоровья населения и при построении математических моделей на этапе оценки зависимости "экспозиция-ответ" источниками неопределенности могут быть:
- недостаточно полные базы данных, обусловленные особенностями их сбора и агрегации;
- отсутствие количественной оценки всех факторов, кроме климатических, оказывающих воздействие на здоровье населения;
- отсутствие оценки степени адаптации населения к климатическим условиям, сложившимся на данной территории;
- статистическая неопределенность диапазонов действующих уровней климатических факторов и параметров моделей;
- предположение, что климатические факторы оказывают негативное воздействие на здоровье круглосуточно в течение всего времени нахождения реципиентов риска на исследуемой территории.
8.6.5. На этапе оценки экспозиции основными источниками неопределенности являются:
- вариабельность значений метеорологических параметров, или их отсутствие за определенные периоды наблюдений;
- экстраполяция результатов измерения величин климатических факторов на территории в целом;
- предположение о сохранении степени воздействия климатических факторов в течение длительного времени (при оценке пожизненного риска здоровью);
- отсутствие информации о периоде проживания в условиях оцениваемой экспозиции климатических факторов;
- индивидуальная, национальная, социальная и пр. вариабельность реципиентов.
8.6.6. Для уменьшения степени неопределенности оценки риска климатических факторов целесообразно проведение дополнительных исследований, в первую очередь, формирования риска здоровью при сочетанном действии разнородных факторов, включая профессиональные.
8.6.7. На этапе характеристики риска в качестве основных источников неопределенности можно выделить:
- расчет вероятности изменений состояния здоровья с использованием параметров характеризующих среднюю тенденцию зависимости "экспозиция - эффект (ответ)";
- неопределенности в оценке показателя тяжести негативных ответов, не учитывающей медицинскую степень тяжести заболевания;
- условность категорирования величин показателей риска.
IX. Разработка рекомендаций по минимизации неблагоприятного
воздействия на здоровье населения климатических факторов
9.1. Предложенные подходы позволяют создать прогнозную модель по развитию мероприятий первичной профилактики риска для здоровья населения, связанного с воздействием природно-климатических факторов: при воздействии метеорологических факторов - за 1 день до начала событий, при воздействии метеогелиофизических факторов - от 4 до 2 дней (таблица 1).
Таблица 1
Распределение природных параметров
по заблаговременности прогноза
Параметр природной среды
Блок погоды
Заблаговременность прогноза
Давление потока плазмы - суточный коэффициент вариации [безразмерная величина]
Космическая погода (околоземное пространство)
3 - 4 дня
Скорость потока плазмы - суточная медиана [км/с]
Космическая погода (околоземное пространство)
3 - 4 дня
Напряженность z-компоненты геомагнитного поля (геоцентрическая система координат (англ. Geocentric solar ecliptic, GSE) - суточный максимум [нТл]
Космическая погода (геомагнитное поле)
1 день
Температура воздуха - суточный минимум [°C]
Земная погода (температура воздуха)
1 день
Температура воздуха - суточный максимум [°C]
Земная погода (температура воздуха)
1 день
Температура воздуха - суточная медиана [°C]
Земная погода (температура воздуха)
1 день
Поток протонов с энергией E > 100 МэВ - суммарный за сутки [протонов/(см2)/стер]
Космическая погода (околоземное пространство)
3 дня
Долготный угол потока плазмы в ОКП ом ветре (геоцентрическая система координат) - суточный максимум [градусы]
Космическая погода (околоземное пространство)
1 день
Напряженность геомагнитного поля (среднее арифметическое абсолютной величины
, N = кол-во точек дискретизации) - суточный коэффициент осцилляции [безразмерная величина]
Космическая погода (геомагнитное поле)
2 - 3 дня
Температура точки росы - суточный максимум [°C]
Земная погода (влажность)
1 день
Температура точки росы - суточное среднее [°C]
Земная погода (влажность)
1 день
9.2. На основании прогнозируемых данных о природных параметрах возможно ранжировать территорию региона и провести расчеты ассоциированных с данными природно-климатическими факторами рисков здоровью населения. Эта информация дает возможность усилить меры по оказанию медицинской помощи на выделенных территориях, в особенности населению из групп риска (возраст более 60 лет, лица с наличием хронических заболеваний, в первую очередь, болезней системы кровообращения), в целях снижения преждевременной смертности. При использовании индивидуальных показателей уровней риска целесообразно рекомендовать разработку мер по минимизации неблагоприятного воздействия на здоровье населения и его адаптации к воздействию климатических факторов на основе результатов их категорирования.
9.3. В соответствии с предложенной системой категорирования (п.п. 8.2.4) настораживающий и высокий уровни риска (1,0 x 10-4 и более) характеризуются как неприемлемые, при установлении которых целесообразно рекомендовать разработку мер по адаптации населения к воздействию климатических факторов и минимизации их неблагоприятного воздействия на здоровье населения.
9.4. Меры адаптации населения к воздействию климатических факторов целесообразно разрабатывать с учетом механизмов их воздействия на приоритетные виды нарушений здоровья населения при неприемлемых уровнях риска здоровью.
9.5. Минимизация неблагоприятного воздействия на здоровье населения природно-климатических факторов может включать:
- архитектурно-планировочные решения, направленные на защиту населения (например, рациональная районная планировка, в том числе защищающая внутридворовые территории от ураганных ветров, общественные здания и помещения со свободным доступом для обогрева в холодный период года, использование материалов строительства, имеющих высокое альбедо, озеленение, создание питьевых галерей, полив улиц, соблюдение норм инсоляции);
- работу медицинских и жилищно-коммунальных организаций в режиме повышенной готовности в случае получения прогноза о резком ухудшении параметров природно-климатических факторов;
- своевременное информирование населения территорий о возможном ухудшении параметров природно-климатических факторов, увеличении рисков здоровью и путях их снижения, в особенности, для особо уязвимых групп населения (например, ограничение пребывания на открытом воздухе, использование одежды с необходимыми теплоизоляционными свойствами, в случае волн жары - снижение физических нагрузок до минимума, использование головных уборов, солнцезащитных очков, зонтов, употребление достаточного количество жидкости, организация рационального воздухообмена в жилых помещениях).
Приложение 1
к МР 2.1.10.0410-25
СХЕМА
АЛГОРИТМА ОБРАБОТКИ ВХОДНЫХ ДАННЫХ И ПОЛУЧЕНИЯ ВЫВОДОВ
О ВОЗМОЖНОЙ СВЯЗИ МЕЖДУ ВАРИАЦИЯМИ КЛИМАТИЧЕСКИХ ФАКТОРОВ
И СОСТОЯНИЕМ ЗДОРОВЬЯ ПРИ ПРОВЕДЕНИИ ИССЛЕДОВАНИЙ

Приложение 2
к МР 2.1.10.0410-25
ИНФОРМАЦИОННАЯ ПОДДЕРЖКА РАЗРАБОТКИ СТРАТЕГИИ
СНИЖЕНИЯ РИСКОВ И УЩЕРБОВ ОТ ПРЕЖДЕВРЕМЕННОЙ СМЕРТНОСТИ
НАСЕЛЕНИЯ ОТ ПЕРЕГРЕВА В КРУПНЫХ ГОРОДАХ
(НА ПРИМЕРЕ РОСТОВА-НА-ДОНУ, ОМСКА)
1.1. Для периода с июня по август собраны материалы съемки спутниками серии Landsat и временные ряды наблюдений среднесуточной температуры воздуха и почвы на метеостанциях, входящих в систему Всемирной метеорологической организации (англ. World Meteorological Organization, далее - WMO) (таблица П2.1).
Таблица П2.1
Комплект спутниковых и метеорологических данных
N
Город
Спутник
Количество сцен
Эпоха, дд.мм.гггг
Источник данных
Код метеостанции WMO
1
Ростов-на-Дону
Landsat 7
Landsat 8
37
26
31.07.2000
30.08.2022
earthexplorer.usgs.gov
34730
2
Омск
Landsat 7
Landsat 8
10
34
01.06.2013
25.08.2022
earthexplorer.usgs.gov
28698
1.2. На официальном сайте г. Ростов-на-Дону <27> и на интерактивной карте генерального плана г. Омск <28> представлены цифровые карты функциональных зон обоих городов. При анализе результатов использованы основные характеристики городов (таблица П2.2).
--------------------------------
<27> Генеральный план муниципального образования городского округа "Город Ростов-на-Дону" - rostov-gorod.ru/administration/structure/departments/daig/action/01-grado-01-genplan/ (в свободном доступе).
<28> Генеральный план города Омск - omskmap.itpgrad.ru/GP_Demonstr#?z=13&c=8157455.204879366,7366494.390812901 (в свободном доступе).
Таблица П2.2
Характеристики городов
N
Название города
Широта, градусы
Средняя температура воздуха в июле, °C
Население, млн. чел
Площадь города/зеленых зон, км2
Доля частных домовладений, %
1
Ростов-на-Дону
47°14' N
24,0
1,142
348/77
28,6
2
Омск
54°56' N
19,6
1,126
578/130
84,7
1.3. Цифровая карта плотности населения для Ростова-на-Дону и Омска получена на сайте GHSL <29>. Данные о ежесуточном количестве смертей получены Северо-Западным научным центром гигиены и общественного здоровья от Управлений Роспотребнадзора по Ростовской и Омской областям. Ежедневные данные получены, как минимум, за десятилетний период. Сведения о смерти содержат: дату смерти, дату выдачи свидетельства о смерти, возраст и пол умершего, основную причину смерти с указанием кода по МКБ-10, место смерти (муниципальное образование).
--------------------------------
<29> Глобальный слой населенных пунктов (англ. Global Human Settlement Layer) - ghsl.jrc.ec.europa.eu/download.php (в свободном доступе).
1.4. Для оценок экономических ущербов от преждевременной смертности, вызванной перегревом использовались следующие данные: 1,3 млн. руб на преждевременную смерть жителя Ростова-на-Дону и 1,4 млн. руб - для жителя Омска [5]. На первом этапе для каждого из городов по данным медицинской статистики была найдена квадратичная зависимость между
- смертностью по данным медицинской статистики и t - среднесуточной температуры воздуха на метеостанции (рис. П2.1). Кроме того, определена
- среднегодовая смертность (%0/год) как среднее за все года, за которые были получены данные о смертности (рис. П2.2), а также параметры температуры (рис. П2.3).

Рисунок П2.1. Аппроксимация зависимости
- ежедневной
смертности от среднесуточной температуры.
(А) Ростов-на-Дону. (Б) Омск
Примечания: 1. Кривая аппроксимации. 2. 90% доверительный
интервал. tm. определена для точки минимума
кривой аппроксимации

Рисунок П2.2. Зависимость
от S(i).
Приведено для оптимального значения T<...>, соответствующего
максимуму R2
Примечания: Ростов-на-Дону: 1.
. 2. Линия регрессии
для всех сцен спутника Landsat, i = 1,,,,I..
Омск: 3.
. 4. Линия регрессии для всех сцен спутника
Landsat, i = 1,,,,I..

Рисунок П2.3. Определение параметра T<...>
Примечания: 1. Данные по Ростову-на-Дону.
2. Кривая для данных по Ростову-на-Дону. 3. Данные по Омску.
4. Кривая для данных по Омску
1.5. Таблицы П2.3 и П2.4 показывают, что ошибки спутникового картирования смертности и экономических ущербов, вызванных перегревом, лежат в пределах 10% и могут быть использованы в качестве информационной поддержки системы принятия управленческих решений в области управления риском для здоровья населения при воздействии факторов среды обитания.
Таблица П2.3
Вклад районов в общую смертность
Населенные территории
Доля района в ежегодном количестве смертей по отношению ко всему городу, %
Потенциальное среднегодовое количество смертей от перегрева
Обозначение на рис. 2.4
Название районов
Население, чел
Медицинская статистика
Спутниковое картирование
Спутниковое картирование
A
Центральный
245578
23
31
17
B
Кировский
248209
27
25
19
C
Советский
204001
16
15
11
D
Октябрьский
271440
19
13
14
E
Ленинский
156467
15
16
11
Таблица П2.4
Основные характеристики по смертности и ущербам,
вызванных перегревом в Омске и Ростове-на-Дону
Среднегодовые характеристики
Омск
Ростов-на-Дону
Количество смертей от перегрева по данным: медицинской статистики/спутн. картирование, (смертей/год)
72/64
152/146
Смертность от перегрева по данным: медицинской статистики/спутн. картирование (%0/год)
0,06/0,06
0,13/0,12
Экономический ущерб по городу от преждевременной смертности от перегрева по данным:
медицинской статистики/спутн. картирование, (млн. руб/год)
100/90
198/190
1.6. Цифровые карты функциональных зон обоих городов представлены на рис. П2.4А и П2.5А. Результаты спутникового картирования рисков перегрева, удельного количества смертей и ущербов от преждевременной смертности, вызванной перегревом приведены на рис. П2.4В, Г и П2.5В, Г.

Рисунок П2.4 Анализ пространственного распределения рисков
перегрева, смертности и ущербов от преждевременной
смертности от перегрева в г. Омске
Примечания: (А) Упрощенная карта-схема функциональных зон.
(Б) Цифровая карта плотности населения, n(x, y) (Epoch:
2020). (В) Цифровая карта риска перегрева, r(x, y).
(Г) Цифровая карта потенциального количества смертей,
и экономических ущербов от перегрева, l(x, y)
Условные обозначения: 1. Границы города. 2. Озера, пруды.
3. Реки. 4. Пригороды. 5. Границы районов. 6. Жилые
и деловые застройки. 7. Промышленность и транспортная
инфраструктура. 8. Территории хранения и утилизации отходов.
9. Зоны отдыха, рекреационные, садоводства, кладбища.
10. Территории специального назначения.
Районы Омска: A - Центральный; B - Кировский; C - Советский;
D - Октябрьский; E - Ленинский

Рисунок П2.5. Анализ пространственного распределения рисков
перегрева, смертности и ущербов от преждевременной
смертности от перегрева в городе Ростов-на-Дону
Примечания: (А) Упрощенная карта-схема функциональных зон.
(Б) Цифровая карта плотности населения, n(x, y) (Epoch:
2020). (В) Цифровая карта риска перегрева, r(x, y).
(Г) Цифровая карта потенциального количества смертей,
и экономических ущербов от перегрева, l(x, y)
Условные обозначения: 1. Границы города. 2. Озера, пруды.
3. Реки. 4. Пригороды. 5. Границы районов.
6. Жилые и деловые застройки. 7. Промышленность
и транспортная инфраструктура. 8. Территории хранения
и утилизации отходов. 9. Зоны отдыха, рекреационные,
садоводства, кладбища
1.7. Спутниковые карты потенциальных рисков, связанных с вариацией метеорологических факторов, показывают, что разумной стратегией при управлении риском для здоровья населения является направление сил и средств в наиболее плотно населенные районы города.
Приложение 3
к МР 2.1.10.0410-25
ОЦЕНКА РИСКА
ДЛЯ ЗДОРОВЬЯ НАСЕЛЕНИЯ, ПРОЖИВАЮЩЕГО В УСЛОВИЯХ КРАЙНЕГО
СЕВЕРА, ОБУСЛОВЛЕННОГО ВЛИЯНИЕМ МЕТЕОРОЛОГИЧЕСКИХ ФАКТОРОВ
1.1. В качестве контингента исследования было выбрано детское (до 18 лет) и взрослое население (старше 18 лет), проживающее на территории одного из крупных промышленных городов, расположенного за Полярным кругом (69° с.ш.).
1.2. На этапе идентификации опасности установлено, что в дальнейшую оценку риска для здоровья населения Крайнего Севера целесообразно включить температуру атмосферного воздуха, влажность воздуха, скорость ветра в виде среднемесячного индекса НЭЭТ и внутрисуточные перепады атмосферного давления [14]. Данные факторы соответствуют всем рекомендуемым критериям для включения в дальнейшую оценку риска.
1.3. Выбранные показатели могут оказывать влияние на развитие болезней системы кровообращения, органов дыхания, эндокринной системы, психических расстройств, травм, отравлений и других последствий воздействия внешних причин (отморожений) в рамках групп нозологических форм, связанных с действием климатических факторов, указанных в методических документах <30>.
--------------------------------
<30> МР 2.1.10.0057-12.
1.4. На этапе оценки зависимости "экспозиция-эффект (ответ)" установлено, что по данным ряда релевантных зарубежных исследований, перепады давления составляющие 7,5 мм.рт.ст. в сутки приводят к возникновению острых заболеваний сердечно сосудистой системы, в том числе, острого инфаркта миокарда, гипертонических кризов, острых нарушений мозгового кровообращения, острых заболеваний коронарных сосудов и др. [14]. Для индекса НЭЭТ комфортным является диапазон от 12,0 до 24,0 °C, за этими границами предъявляют повышенные требования к механизмам терморегуляции [1, 10]. В связи с этим величина 12 °C может быть использована в качестве значения экспозиции, ниже которого вероятно возникновению неблагоприятных эффектов для здоровья населения, обусловленных данным фактором.
1.5. Для количественной оценки вероятности развития нарушения состояния здоровья проведено установление количественных связей между экспозицией метеорологических факторов (атмосферного давления и температуры атмосферного воздуха, влажности воздуха, скорости ветра в виде индекса НЭЭТ) и ранее установленными на этапе идентификации опасности климатозависимыми заболеваниями (болезни органов дыхания (J00 - J99), болезни эндокринной системы (E00 - E90), болезни системы кровообращения (I00 - I99), травмы, отравления и некоторые другие последствия воздействия внешних причин (S00 - T88), психические расстройства и расстройства поведения (F00 - F99).
1.6. Моделирование причинно-следственных связей между НЭЭТ, атмосферным давлением и заболеваемостью населения выполнялось с использованием методов математической статистики. Все модели проходили проверку на статистическую значимость установленных связей (p < 0,05) и экспертную оценку соответствия медико-биологическим представлениям.
1.7. Общий вид причинно-следственных связей представлен линейной множественной регрессионной моделью (формула 1 таблицы П3.1). Заболеваемость, ассоциированная с влиянием анализируемых метеорологических факторов, была рассчитана как разность оценок, полученных при фактическом уровне фактора и уровне фактора, при котором вероятно не происходит возникновения неблагоприятных эффектов со стороны здоровья человека, обусловленных его действием (формула 2 таблицы П3.1). На основе полученных данных была рассчитана вероятность случая заболевания в течение года (формула 3 таблицы П3.1). Дополнительная вероятность заболевания, ассоциированная с воздействием фактора атмосферного давления и НЭЭТ, определяется как разность оценок заболеваемости при фактическом уровне действия фактора и уровне, при котором вероятно не происходит возникновения неблагоприятных эффектов для здоровья населения, обусловленных его действием (формула 4 таблица П3.1).
Таблица П3.1
Формулы, используемые для моделирования
причинно-следственных связей между НЭЭТ, атмосферным
давлением и заболеваемостью населения <31>
--------------------------------
<31> Примечание: уровень (фактора для атмосферного давления в количестве дней, а для НЭЭТ - в месяцах.
N
Формула
Обозначения
1

Yj - относительная заболеваемость или смертность населения по j-ой причине, случаев на 1 000 населения;
,
- коэффициенты модели;
Xij - i-ый фактор, воздействующий на j-ый ответ
2

- дополнительная заболеваемость или смертность населения по j-ой причине, ассоциированная с воздействием i-ого фактора, случаев на 1 000 населения;
- коэффициент модели;
- уровень фактора, при котором вероятно не происходит возникновения неблагоприятных эффектов со стороны здоровья человека, обусловленных его действием
3

Pj - вероятность случая заболевания по j-ой причине в течение календарного года
4

- дополнительная вероятность заболевания по j-ой причине, ассоциированная с воздействием i-го фактора
1.8. Результаты корреляционно-регрессионного анализа приведены в таблице П3.2 (a0, a1 - параметры модели, R2 - коэффициент детерминации). Отобраны только статистически значимые связи (p < 0,05). Отрицательный знак коэффициента a1 означает, что заболеваемость увеличивается при уменьшении НЭЭТ.
Таблица П3.2
Параметры статистически значимых
линейных регрессионных моделей (p < 0,05)
Класс болезней по МКБ-10
Фактор риска
a0
a1
R2
Болезни системы кровообращения (I00 - I99)
Перепады атмосферного давления
93,23
0,205
0,04
Болезни органов дыхания (J00 - J99)
НЭЭТ
308,230
-7,808
0,3
Болезни системы кровообращения (I00 - I99)
103,651
-1,051
0,2
Травмы, отравления и некоторые другие последствия воздействия внешних причин (S00 - T88)
0,72
-0,078
0,6
1.9. В качестве исходных данных по метеорологических параметрам были использованы результаты наблюдений на метеорологических станциях исследуемой территории в период с 01.01.2014 г. по 31.12.2018 г. (суточное осреднение): атмосферное давление (межсуточные перепады) на уровне станции (гПа), а также температура атмосферного воздуха (°C), относительная влажность воздуха (%), скорость ветра (м/с). На основе данных показателей были рассчитаны среднемесячные величины индексов НЭЭТ в соответствии с формулой И.В. Бутьевой [1].
1.10. В качестве исходных данных по заболеваемости населения использовались данные фонда обязательного медицинского страхования о количестве обратившихся за медицинской помощью и застрахованных на исследуемой территории за 2014 - 2018 гг. в разрезе возрастных групп (дети, взрослые) по причинам болезней отдельных нозологических форм по классам болезней органов дыхания, сердечно-сосудистой системы, и классу травмы, отравления и другие последствия воздействия внешних причин. На основе абсолютных случаев заболеваний были рассчитаны относительные показатели заболеваемости (на 1 000 населения) путем деления абсолютных показателей на численность застрахованных и умножения на 1 000.
1.11. На этапе оценки экспозиции для оценки установленных метеорологических показателей были использованы периоды времени, когда величина показателя или биоклиматического индекса находилась в диапазоне действующих уровней для НЭЭТ ниже 12 °C, для атмосферного давления - перепады более 7,5 мм.рт.ст. При осреднении за 5 лет количество дней с межсуточными перепадами атмосферного давления составляющих 7,5 мм.рт.ст. и более на изучаемой территории составило 80,4 дней в год. Для НЭЭТ - количество месяцев со среднемесячным значением ниже 12 °C составило 11,4.
1.12. По результатам характеристики риска с использованием полученных математических моделей зависимости "экспозиция - эффект (ответ)" установлено, что дополнительная вероятность развития болезней системы кровообращения у взрослого населения, связанная с влиянием суточных перепадов атмосферного давления, составляет 1,1 x 10-2. Дополнительная вероятность развития заболеваний органов дыхания, ассоциированная с влиянием НЭЭТ, для детского населения составляет 3,91 x 10-1, а для взрослого населения - 1,56 x 10-1; болезней системы кровообращения для взрослого населения - 2,51 x 10-2; травм и отравлений (отморожений) для детского населения - 7,06 x 10-4, а для взрослого населения - 9,59 x 10-4.
1.13. С учетом коэффициентов тяжести заболеваний, связанных с воздействием метеорологических факторов <32>, рассчитаны уровни риска для детского и взрослого населения, ассоциированные с влиянием температуры атмосферного воздуха, влажности воздуха, скорости ветра (в виде НЭЭТ) и уровни риска для взрослого населения, ассоциированные с влиянием атмосферного давления.
--------------------------------
<32> Р 2.1.10.3968-23.
1.14. Уровни риска здоровью взрослого и детского населения, ассоциированные с влиянием метеорологических факторов, приведены в Таблице П3.3.
Уровень риска здоровью, обусловленный болезнями органов дыхания для детского населения составил 2,94 x 10-2, для взрослого населения - 1,17 x 10-2; болезнями системы кровообращения для взрослого населения - 4,24 x 10-3; болезнями по классу травмы, отравления и некоторые другие последствия воздействия внешних причин (отморожения) для детского населения - 6,50 x 10-5 и 8,83 x 10-5 для взрослого населения. Уровень риска здоровью взрослого населения, обусловленный болезнями системы кровообращения, ассоциированный с влиянием суточных перепадов атмосферного давления, составил 1,85 x 10-3.
Таблица П3.3
Уровни риска для детского и взрослого населения,
ассоциированные с влиянием метеорологических факторов
Класс (МКБ-10)
Возраст
Дополнительная вероятность заболевания
Коэффициент тяжести
Уровень риска
НЭЭТ
Болезни органов дыхания
Дети
3,91 * 10-1
0,075
2,94 * 10-2
Травмы и отравления
7,06 * 10-4
0,092
6,50 * 10-5
Болезни органов дыхания
Взрослые
1,56 * 10-1
0,075
1,17 * 10-2
Болезни системы кровообращения
2,51 * 10-2
0,169
4,24 * 10-3
Травмы и отравления
9,59 * 10-4
0,092
8,83 * 10-5
Атмосферное давление
Болезни системы кровообращения
Взрослые
1,1 * 10-2
0,169
1,85 * 10-3
1.15. В соответствии с классификацией для категорирования индивидуальных показателей уровней риска, обусловленных влиянием климатических факторов, для взрослого населения, проживающего на территории одного из крупных промышленных городов, расположенного за Полярным кругом, установлены неприемлемые уровни риска, обусловленные болезнями системы кровообращения, ассоциированные с влиянием НЭЭТ и атмосферного давления, а также болезнями органов дыхания, ассоциированные с влиянием НЭЭТ. Для детского населения установлены неприемлемые уровни риска, обусловленные болезнями органов дыхания, ассоциированные с влиянием НЭЭТ.
1.16. Таким образом, по результатам расчета и оценки уровней риска, формируемых для населения, проживающего на территории Крайнего Севера, для взрослого населения установлены неприемлемые уровни риска, обусловленные болезнями системы кровообращения, ассоциированные с влиянием НЭЭТ и атмосферного давления (4,24 x 10-3 и 1,85 x 10-3, соответственно) и болезнями органов дыхания (1,17 x 10-2). Для детского населения установлены неприемлемые уровни риска, обусловленные болезнями органов дыхания (2,94 x 10-2). По классу болезни травмы, отравления и некоторые другие последствия воздействия внешних причин, ассоциированные с влиянием НЭЭТ, уровни риска как для взрослого, так и для детского населения, категорируются как допустимые приемлемые (6,50 x 10-5 и 8,83 x 10-5, соответственно).
1.17. В качестве основных неопределенностей можно выделить:
- неопределенности, связанные с предположением, что комплекс метеорологических факторов в виде НЭЭТ оказывает негативное воздействие на здоровье круглосуточно, в течение всего времени нахождения реципиентов риска на исследуемой территории;
- неопределенности, связанные с недостаточной полнотой базы данных о заболеваемости населения, так как использовались только данные об обращаемости населения за медицинской помощью в системе ОМС;
- неопределенность диапазонов действующих уровней индекса НЭЭТ и суточных перепадов атмосферного давления;
- неопределенности, связанные с отсутствием информации о периоде проживания в условиях оцениваемой экспозиции метеорологических факторов;
- неопределенности, связанные с экстраполяцией результатов измерения величин метеорологических факторов на территорию в целом, а именно - использовании результатов регистрации метеорологических факторов с одного гидрометеорологического поста при оценке риска для населения, проживающего на территории города;
- неопределенности, связанные с индивидуальной, профессиональной, национальной, социальной и пр. вариабельность реципиентов.
Приложение 4
к МР 2.1.10.0410-25
(рекомендуемый образец)
Шаблон представления результатов
идентификации опасности метеогелиогеофизических факторов
Наименование климатического фактора
Наименование показателя, характеризующего климатический фактор
Наличие необходимых исходных данных о значениях показателя климатического фактора
Значимость показателя для населения, проживающего на анализируемой территории за исследуемый период
Наличие вероятных ответов на воздействие фактора
Наличие связей, позволяющих охарактеризовать наличие потенциальной опасности для здоровья человека, или возможности их установления
Факторы/показатели, включенные в дальнейшую оценку риска
Причина включения в список
Причина исключения из списка
Включено в оценку риска (+/-)
-
-
-
-
-
-
-
-
-
-
-
-
-
-
-
-
-
-
-
-
-
-
-
-
-
-
-
НОРМАТИВНЫЕ И МЕТОДИЧЕСКИЕ ДОКУМЕНТЫ
1. Федеральный закон от 30.03.1999 N 52-ФЗ "О санитарно-эпидемиологическом благополучии населения".
2. Климатическая доктрина Российской Федерации.
3. Постановление Правительства Российской Федерации от 30.06.2004 N 322 "Об утверждении Положения о Федеральной службе по надзору в сфере защиты прав потребителей и благополучия человека".
4. Постановление Правительства Российской Федерации от 02.02.2006 N 60 "Об утверждении Положения о проведении социально-гигиенического мониторинга".
5. Распоряжение Правительства Российской Федерации от 25.04.2011 N 730р "Об утверждении Комплексного плана реализации Климатической доктрины Российской Федерации на период до 2020 года".
6. Национальный план мероприятий второго этапа адаптации к изменениям климата на период до 2025 года.
7. Приказ Минздрава России от 13.05.2025 N 274н "Об утверждении унифицированных форм медицинской документации, используемых в медицинских организациях, оказывающих медицинскую помощь в амбулаторных условиях, и порядков их ведения".
8. Приказ Минздрава России от 05.08.2022 N 530н "Об утверждении унифицированных форм медицинской документации, используемых в медицинских организациях, оказывающих медицинскую помощь в стационарных условиях, в условиях дневного стационара и порядков их ведения".
9. Приказ Минздравсоцразвития России от 02.12.2009 N 942 "Об утверждении статистического инструментария станции (отделения), больницы скорой медицинской помощи".
10. Приказ Росстата от 13.11.2024 N 543 "Об утверждении формы федерального статистического наблюдения с указаниями по ее заполнению для организации Министерством здравоохранения Российской Федерации федерального статистического наблюдения в сфере охраны здоровья".
11. Приказ Росстата от 17.07.2019 N 409 "Об утверждении методики определения возрастных групп населения".
12. Р 2.1.10.3968-23 "Руководство по оценке риска здоровью населения при воздействии химических веществ, загрязняющих среду обитания".
13. МР 5.1.0029-11 "Методические рекомендации к экономической оценке рисков для здоровья населения при воздействии факторов среды обитания".
14. МР 5.1.0030-11 "Методические рекомендации к экономической оценке и обоснованию решений в области управления риском для здоровья населения при воздействии факторов среды обитания".
15. МР 2.1.10.0057-12 "Оценка риска и ущерба от климатических изменений, влияющих на повышение уровня заболеваемости и смертности в группах населения повышенного риска".
16. МР 2.1.10.0059-12 "Оценка риска здоровью населения от воздействия транспортного шума".
17. ГОСТ Р ИСО 14090-2019 "Адаптация к изменениям климата".
18. РД 52.88.699-2008 "Положение о порядке действий учреждений и организаций при угрозе возникновения и возникновении опасных природных явлений".
БИБЛИОГРАФИЧЕСКИЕ ССЫЛКИ
1. Бутьева И.В., Шейнова Т.Г. Методические вопросы интегрального анализа медико-климатических условий//Комплексные биоклиматические исследования: сб. ст./АН СССР, Моск. фил. Геогр. о-ва СССР; [Отв. ред. А.А. Дмитриев, И.В. Бутьева]. Москва: МФГО, 1988. С. 97 - 108.
2. Веселов В.М., Прибыльская И.Р., Мирзеабасов О.А. Специализированные массивы для климатических исследований. Обнинск: ВНИИГМИ-МЦД, 2022.
3. Горный В.И., Крицук С.Г., Латыпов И.Ш., Манвелова А.Б., Тронин А.А. Спутниковое картирование риска перегрева городского воздуха (на примере г. Хельсинки, Финляндия)//Современные проблемы дистанционного зондирования Земли из космоса. 2022а. Т. 19. N 3. С. 23 - 34.
4. Горный В.И., Крицук С.Г., Латыпов И.Ш., Тронин А.А. Спутниковое картирование экономического ущерба от смертей городского населения, вызванных перегревом (на примере г. Хельсинки, Финляндия)//Современные проблемы дистанционного зондирования Земли из космоса. 20226. Т. 19. N 3. С. 35 - 46.
5. Зубец А.Н., Новиков А.В. Численная оценка стоимости жизни человека в России и в мире//Финансы: теория и практика. 2018. Т. 22, N 4. С. 52 - 75.
6. Носков С.Н., Головина Е.Г., Ступишина О.М., Мироненко О.В. Оценка влияния климатических факторов на самочувствие населения методом анкетирования//Гигиена и санитария. 2022. Т. 101, N 8. С. 866 - 871.
7. Носков С.Н., Еремин Г.Б., Копытенкова О.И., Ступишина О.М., Головина Е.Г., Никанов А.Н. Патент на промышленный образец N 131127 Российская Федерация. Схема алгоритма влияния природно-климатических факторов на здоровье населения и среду обитания: N 2021505881: заявл. 25.11.2021: опубл. 06.05.2022; заявитель Федеральное бюджетное учреждение науки "Северо-Западный научный центр гигиены и общественного здоровья".
8. Носков С.Н., Еремин Г.Б., Ступишина О.М., Головина Е.Г., Карелин А.О., Мироненко О.В. Патент на промышленный образец N 131128 Российская Федерация. Схема алгоритма выявления связи между космической и земной погодой, биосферой и здоровьем населения: N 2021505882: заявл. 25.11.2021: опубл. 06.05.2022; заявитель Федеральное бюджетное учреждение науки "Северо-Западный научный центр гигиены и общественного здоровья".
9. Носков С.Н., Карелин А.О., Головина Е.Г., Ступишина О.М., Еремин Г.Б. Оценка взаимосвязи обращаемости населения за медицинской помощью с факторами земной и космической погоды//Гигиена и санитария. 2021. Т. 100, N 8. С. 775 - 781.
10. Стефанович А.А., Воскресенская Е.Н. Современные методы оценки комфортности биоклиматических условий курортных местностей//Системы контроля окружающей среды. 2021. Вып. 1. N 43. С. 7 - 17.
11. Ткачук С.В. Обзор индексов степени комфортности погодных условий и их связь с показателями смертности//Труды Гидрометеорологического научно-исследовательского центра Российской Федерации. 2012. Вып. 347. С. 223 - 245.
12. Хасанова А.А., Шур П.З., Барг А.О. Патент на промышленный образец N 135925. Российская Федерация. Схема "Алгоритм идентификации опасности климатических факторов риска для здоровья населения". Опубл. 21.03.2023. Заявл. N 2022505153 от 23.11.2022.
13. Шартова Н.В., Шапошников Д.А., Константинов П.И., Ревич Б.А. Определение порогов температурно-зависимой смертности на основе универсального индекса теплового комфорта - UTCI//Анализ риска здоровью. 2019. N 3. С. 83 - 93.
14. Шур П.З., Кирьянов Д.А., Камалтдинов М.Р., Хасанова А.А. К оценке риска для здоровья населения, обусловленного влиянием климатических факторов в условиях Крайнего Севера//Анализ риска здоровью. 2022. N 3. С. 53 - 62.
15. Шур П.З., Хасанова А.А., Цинкер М.Ю., Зайцева Н.В. Методические подходы к оценке риска здоровью населения в условиях сочетанного воздействия климатических факторов и обусловленного ими химического загрязнения атмосферы//Анализ риска здоровью. 2023. N 2. С. 58 - 68.
16. Blazejczyk K., Jendritzky G.,
P., Fiala D. et al. An introduction to the Universal Thermal Climate Index (UTCI)//Geographia Polonica. 2013. Vol. 86. No. 1. P. 5 - 10.
17. Boussoussou N., Boussoussou M.,
G., Rakovics M. Complex effects of atmospheric parameters on acute cardiovascular diseases and major cardiovascular risk factors: data from the Cardiometeorology SM study//Scientific Reports. 2019. Vol. 9. Article number: 6358.
18. Danet S., Richard F., Montaye M., Beauchant S., Lemaire B., Graux C., Cottel D.,
N., Amouyel P. Unhealthy Effects of Atmospheric Temperature and Pressure on the Occurrence of Myocardial Infarction and Coronary Deaths. A 10-Year Survey: The Lille-World Health Organization MONICA Project (Monitoring Trends and Determinants in Cardiovascular Disease)//Circulation. 1999. Vol. 100, No. 1. P. 101 - 107.
19. de Freitas C.R., Grigorieva E.A. A comparison and appraisal of a comprehensive range of human thermal climate indices//Int. J. Biometeorol. 2017. Vol. 61. P. 487 - 512.
20. Matzarakis A., Rutz, F. Application of RayMan for tourism and climate investigations//Annalen der Meteorologie. 2005. Vol. 2. No. 41. P. 631 - 636.
21. Noskov S.N., Mironenko O.V., Yeremin G.B., Fedorova E.A. Overview. Analysis of ensuring climate information collection for carrying out social and hygienic monitoring//Vestnik of Saint Petersburg University. Medicine. 2021. Vol. 16, No. 3. P. 211 - 223.
22. Stupishina O.M., Golovina E.G., Noskov S.N. The relation of the human cardiac-events to the environmental complex variations//IOP Conference Series: Earth and Environmental Science: 14, Simferopol, 25 - 28 May 2021. Simferopol, 2021. P. 012029.
23. Stupishina O.M., Golovina E.G., Noskov S.N., Eremin G.B., Gorbanev S.A. The space and terrestrial weather variations as possible factors for ischemia events in Saint Petersburg//Atmosphere. 2022. Vol. 13, No. 1. DOI 10.3390/atmos13010008.
24. Stupishina O.M., Golovina E.G., Noskov S.N., Yeremin G.B., Gorbanev S.A. The human health under the complex environmental impact/In: Novel Perspectives of Geography, Environment and Earth Sciences. Vol. 5. Kolkata: BP International, 2023. P. 66 - 113.
25. Zaitseva N., Chetverkina K., Khasanova A. Hazard identification of climate risk factors on health of the far north population//20th International Multidisciplinary Scientific GeoConference SGEM 2020. Book number: 4.2, Vol. 20. - P. 163 - 168.
СПРАВОЧНАЯ ИНФОРМАЦИЯ
В настоящих МР используются следующие термины и определения:
Биомаркер эффекта - показатель, количественное изменение которого характеризует биохимическое, физиологическое поведенческое или другое изменение в организме (нарушение функций органов и систем), которое можно считать связанным с заведомо известным или возможным нарушением здоровья или заболевания, доказано связанные с воздействием экспозиции <33>.
--------------------------------
<33> Биомаркеры при оценке риска: достоверность и валидация (англ. Biomarkers In Risk Assessment: Validity And Validation) - inchem.org/documents/ehc/ehc/ehc222.htm (в свободном доступе).
Вероятное (срединное) отклонение случайной величины - половина участка, симметричного относительно центра рассеивания, вероятность попадания в который равна половине.
Гелиогеофизические факторы - природные процессы и явления, возникающие в верхней атмосфере Земли и околоземном космическом пространстве <34>.
--------------------------------
<34> МР 5.1.0029-11 "Методические рекомендации к экономической оценке рисков для здоровья населения при воздействии факторов среды обитания", утвержденные руководителем Федеральной службы по надзору в сфере защиты прав потребителей и благополучия человека, Главным государственным санитарным врачом Российской Федерации 31.07.2011 (далее - МР 5.1.0029-11).
Геоинформационная система (географическая информационная система, ГИС) - информационная система, оперирующая пространственными данными <35>.
--------------------------------
<35> ГОСТ Р 52438-2005 "Географические информационные системы. Термины и определения", введенный приказом Ростехрегулирования от 28.12.2005 N 423-ст.
Заболевание, характеризующееся чувствительностью к климатическим факторам (климаточувствительное заболевание) - заболевание, тесно связанное с метеорологическими и (или) климатическими факторами, что находит отражение в показателях территориальной заболеваемости или других показателях состояния здоровья населения и сезонном характере передачи заболеваний <36>.
--------------------------------
<36> МР 2.1.10.0057-12.
Изменение климата - статистически значимое изменение либо среднего состояния климата, либо его изменчивости, которое сохраняется в течение длительного времени (обычно несколько десятилетий или дольше). По определению Всемирной Метеорологической организации (ВМО) периодом для отсчета изменений климата считается 30 лет <37>.
--------------------------------
<37> МР 2.1.10.0057-12.
Климат - это средний режим погоды или статистическое описание средней величины и изменчивости соответствующих количественных параметров в течение определенного периода времени <38>.
--------------------------------
<38> МР 2.1.10.0057-12.
Климатические факторы (параметры) - метеогелиогеофизические (метеорологические и гелиогеофизические) факторы, определяющие погоду и климат на исследуемых территориях. Метеорологические факторы целесообразно анализировать в условиях краткосрочного и долгосрочного влияния.
Климаточувствительность - более высокая степень восприимчивости отдельных людей и систем к неблагоприятным воздействиям климата, включая его изменчивость, или неспособность преодолеть эти последствия <39>.
--------------------------------
<39> МР 5.1.0029-11.
Метеорологические факторы - природные процессы и явления, возникающие в атмосфере.
Нарушения состояния здоровья - изменения в морфологии, физиологии, развитии или продолжительности жизни организма человека, его потомства или популяции, приводящие к нарушениям функций организма, в том числе адаптации, заболеваниям или смерти.
Неопределенность - ситуация, обусловленная несовершенством знаний о настоящем или будущем состоянии рассматриваемой системы. Характеризует частичное отсутствие или степень надежности сведений об определенных параметрах, процессах или моделях, используемых при оценке риска. Неопределенность в конечном итоге определяет надежность и достоверность оценок риска и может быть уменьшена путем дополнительных исследований или измерений.
Опасное природное (гидрометеорологическое и гелиогеофизическое) явление - гидрометеорологическое (гелиогеофизическое) явление, которое по своему значению, интенсивности, продолжительности или времени возникновения представляет угрозу безопасности людей, а также может нанести значительный ущерб отраслям экономики <40>.
--------------------------------
<40> РД 52.88.699-2008 "Положение о порядке действий учреждений и организаций при угрозе возникновения и возникновении опасных природных явлений", введенный приказом Росгидромета от 16.10.2008 N 387.
Оценка риска для здоровья населения, обусловленного влиянием климатических факторов - количественная характеристика вредного воздействия на человека, способного развиться в результате воздействия метеогелиогеофизических (метеорологических и гелиогеофизических) факторов на человека при определенных условиях.
Перегрев - превышение среднесуточной температуры воздуха над температурой минимальной смертности.
Погода - повседневное проявление климата в определенном месте в определенное время <41>.
--------------------------------
<41> МР 2.1.10.0057-12.
Пороговый уровень влияния климатического фактора - это минимальный уровень воздействия, при котором могут регистрироваться негативные эффекты для здоровья населения. В качестве данной величины принимается уровень экспозиции, при котором отсутствует статистически значимое увеличение частоты или выраженности неблагоприятных эффектов для здоровья населения, связанных с климатическим фактором.
Потенциальная смертность - статистически усредненное на многолетнем интервале (математическое ожидание) значение смертности.
Потенциальный экономический ущерб - статистически усредненный на многолетнем интервале (математическое ожидание) экономический ущерб от преждевременной смертности от перегрева.
Приемлемый (допустимый) уровень риска - уровень риска здоровью человека, который не требует проведения профилактических мер по адаптации населения к воздействию метеорологических факторов.
Риск здоровью - вероятность нанесения вреда жизни или здоровью человека либо угрозы жизни или здоровью будущих поколений, в том числе с учетом тяжести этого вреда, обусловленная воздействием факторов среды обитания <42>.
--------------------------------
<42> Р 2.1.10.3968-23.
Среднегодовая смертность от перегрева во всем населенном пункте - превышение значения среднегодовой смертности над уровнем минимальной смертности.
Температура минимальной смертности - среднесуточная температура воздуха, при которой в данном населенном пункте на многолетнем интервале наблюдается минимальная смертность.