Приказ Росстата от 30.09.2025 N 543
МИНИСТЕРСТВО ЭКОНОМИЧЕСКОГО РАЗВИТИЯ РОССИЙСКОЙ ФЕДЕРАЦИИ
ФЕДЕРАЛЬНАЯ СЛУЖБА ГОСУДАРСТВЕННОЙ СТАТИСТИКИ
ПРИКАЗ
от 30 сентября 2025 г. N 543
ОБ УТВЕРЖДЕНИИ ОФИЦИАЛЬНОЙ СТАТИСТИЧЕСКОЙ МЕТОДОЛОГИИ
ФОРМИРОВАНИЯ ОФИЦИАЛЬНОЙ СТАТИСТИЧЕСКОЙ ИНФОРМАЦИИ
О ПРОГНОЗЕ ЧИСЛЕННОСТИ НАСЕЛЕНИЯ
В соответствии с частью 2 статьи 7 Федерального закона от 29 ноября 2007 г. N 282-ФЗ "Об официальном статистическом учете и системе государственной статистики в Российской Федерации", подпунктом 5.2 Положения о Федеральной службе государственной статистики, утвержденного постановлением Правительства Российской Федерации от 2 июня 2008 г. N 420, и в целях реализации позиции 1.8.4 Федерального плана статистических работ, утвержденного распоряжением Правительства Российской Федерации от 6 мая 2008 г. N 671-р, приказываю:
утвердить прилагаемую Официальную статистическую методологию статистической информации о прогнозе формирования официальной численности населения.
Заместитель руководителя
С.Н.ЕГОРЕНКО
Утверждена
приказом Росстата
от 30.09.2025 N 543
ОФИЦИАЛЬНАЯ СТАТИСТИЧЕСКАЯ МЕТОДОЛОГИЯ
ФОРМИРОВАНИЯ ОФИЦИАЛЬНОЙ СТАТИСТИЧЕСКОЙ ИНФОРМАЦИИ
О ПРОГНОЗЕ ЧИСЛЕННОСТИ НАСЕЛЕНИЯ
I. Общие положения
1.1. Официальная статистическая методология расчета официальной статистической информации о прогнозе численности населения (далее - Методология), соответствует требованиям статьи 7 и принципам официального статистического учета, определенным статьей 4 Федерального закона от 29 ноября 2007 г. N 282-ФЗ "Об официальном статистическом учете и системе государственной статистики в Российской Федерации".
Методология разработана в соответствии с подпунктом 5.2 пункта 5 Положения о Федеральной службе государственной статистики, утвержденного постановлением Правительства Российской Федерации от 2 июня 2008 г. N 420.
1.2. Настоящая Методология определяет порядок процесса формирования официальной статистической информации о прогнозе численности населения в соответствии с позициями 1.8.1, 1.8.3, 1.8.5, 1.8.6, 1.8.7, 1.8.8, 1.8.9 и 1.8.10 Федерального плана статистических работ, утвержденного распоряжением Правительства Российской Федерации от 6 мая 2008 г. N 671-р (далее - ФПСР), а также данных, разрабатываемых научными организациями в соответствии с государственными контрактами на выполнение научно-исследовательских работ.
1.3. Формирование официальной статистической информации о прогнозе численности населения осуществляется в соответствии с позицией 1.8.4 ФПСР.
II. Основные понятия и определения
2.1. Основные понятия и определения, используемые исключительно в целях применения настоящей Методологии:
Прогноз численности населения (перспективная, предположительная численность населения) - предположительная численность населения на определенный момент в будущем, рассчитанная с учетом демографических тенденций, наблюдающихся в настоящее время, и предположения о том, как они будут развиваться в будущем.
Сценарные переменные - ограниченный набор демографических показателей, по которым разрабатываются сценарии их динамики в будущем, являющиеся основой для расчета прогноза численности населения. К числу сценарных переменных для расчета прогноза численности населения относятся средний возраст матери при рождении ребенка, суммарный коэффициент рождаемости, ожидаемая продолжительность жизни при рождении, коэффициент младенческой смертности и абсолютные числа прибывших и выбывших.
Суммарный коэффициент рождаемости - среднее количество детей, которые могут родиться у одной женщины на протяжении всего репродуктивного периода (15 - 49 лет) при сохранении в каждом возрасте уровня рождаемости того периода, для которого вычисляется показатель.
Ожидаемая продолжительность жизни при рождении - число лет, которое в среднем предстояло бы прожить одному человеку из поколения родившихся в данном году при условии, что на протяжении всей жизни этого поколения уровень смертности в каждом возрасте останется таким, как в год, для которого вычислен показатель.
Коэффициент младенческой смертности - отношение числа умерших в возрасте до одного года на протяжении периода, для которого рассчитывается показатель, к числу родившихся живыми за тот же период.
III. Основные показатели
3.1. Прогноз численности населения включает следующие показатели:
Численность населения по полу и возрасту на начало года, годовая периодичность, единица измерения по ОКЕИ: 792 - человек;
Число родившихся (без мертворожденных), годовая периодичность, единица измерения по ОКЕИ: 792 - человек;
Число умерших, годовая периодичность, единица измерения по ОКЕИ: 792 - человек;
Число прибывших, годовая периодичность, единица измерения по ОКЕИ: 792 - человек;
Число выбывших, годовая периодичность, единица измерения по ОКЕИ: 792 - человек;
Ожидаемая продолжительность жизни при рождении, годовая периодичность, единица измерения по ОКЕИ: 366 - год.
Суммарный коэффициент рождаемости, годовая периодичность, единица измерения по ОКЕИ: 642 - единица.
IV. Методологические основы, алгоритм формирования
и формулы расчета
4.1. Концептуальной основой Методологии является практическое инструктивно-методическое пособие по демографической статистике, утвержденное Росстатом 7 декабря 2007 г.
4.2. Расчет ведется методом компонент на основе отчетных данных по демографическим показателям за предшествующий расчету прогноза год и сценарных переменных. В качестве сценарных переменных для рождаемости используются средний возраст матери при рождении ребенка и суммарный коэффициент рождаемости, для смертности - ожидаемая продолжительность жизни при рождении и коэффициент младенческой смертности, для миграции - абсолютные числа прибывших и выбывших. Сценарии уточняются раз в два года. Расчет проводится по всем субъектам Российской Федерации.
4.3. На первом этапе происходит определение младенческой смертности по полу и преобразование сценарных переменных в возрастные коэффициенты рождаемости, смертности и миграции.
4.3.1. Процедура определения коэффициента младенческой смертности по полу на основе коэффициента смертности для двух полов вместе.
t - год, для которого производиться расчет, isex - пол, ireg - субъект.
Входные показатели:
q(0,t,3,ireg) - коэффициент младенческой смертности для обоего пола,
q(iage,t,isex,ireg), iage = 0, isex = 3.
Выходные показатели:
q(0,t,isex,ireg), isex = 1,2 - коэффициент младенческой смертности мужчин и женщин
Расчет:
Q(0,t,isex,ireg) = 1000 · q(0,t,isex,ireg), isex = 3
Q(0,t,1,ireg) = aM + bM · Q(0,t,3,ireg)
Q(0,t,2,ireg) = aF + bF · Q(0,t,3,ireg)
где
Q(0,t,3,ireg)
5 Q(0,t,3,ireg)
10
5 < q(0,t,3,ireg) < 10
aM
0.16091
1.26673
(Q0 - 5) / 5 · 1.26673 + (1 - (Q0 - 5) / 5) · 0.16091
bM
1.10188
1.07841
(Q0 - 5) / 5 · 1.07841 + (1 - (Q0 - 5) / 5) · 1.10188
aF
-0.17762
-1.35423
(Q0 - 5) / 5 · -1.35423 + (1 - (Q0 - 5) / 5) · -0.17762
bF
0.89273
0.9184
(Q0 - 5) / 5 · 0.9184 + (1 - (Q0 - 5) / 5) · 0.89273
q(0,t,isex,ireg) = Q(0,t,isex,ireg) / 1000, isex = 1,2
Процедура выполнена.
4.3.2. Процедура определения возрастных показателей смертности на основе ожидаемой продолжительности жизни и коэффициента младенческой смертности (по полу).
t - год, для которого производится расчет, isex - пол, ireg - субъект.
Входные показатели:
Возрастные вероятности смерти, взятые в качестве базовой модели q(iage,-,isex,ireg). При прогнозе берутся q(iage,t-1,isex,ireg) - возрастные вероятности смерти в предыдущем году t-1, iage = 0, ..., 100, для возраста 100 лет указывается возрастной коэффициент смертности;
e0(t,isex,ireg), q(0,t,isex,ireg) - прогнозируемые ожидаемая продолжительность жизни по полу isex и коэффициент младенческой смертности в году t;
Ряды констант:
lgtS(iage,isex) константы для преобразования логитов вероятностей смерти
- вспомогательный ряд
Выходные показатели:
q(iage,t,isex,ireg) - возрастные вероятности смерти в году t, по полу isex и возрасту iage = 0, ..., 100, для возраста 100 лет указывается возрастной коэффициент смертности;
PP (iage,t,isex,ireg) - возрастные вероятности дожития в году t, по полу isex и возрасту iage = -1, 0, ..., 99, где возраст "-1" означает родившихся в году t;
Для упрощения в формулах опускается признак пола isex и региона ireg.
Рассчитывается:
lgt(iage,t-1) = 0.5 · ln(q(iage,t-1) / (1 - q(iage,t-1))), iage = 0, ..., 100
lgt0 = 0.5 · ln(q0(t) / (1 - q0(t))) (напомним q0(t) - сценарное значение младенческой смертности).
Задача решается подбором параметров Par1 и Par2, таких что ряд
lgt(iage,t) = lgt(iage,t 1) + (Par1V(iage) + Par2(1 - V(iage))) * IgtS(iage)
соответствует сценарным ожидаемой продолжительности жизни и коэффициенту младенческой смертности в году t.
Par1 = (lgt0 - lgt(0,t-1)) / lgtS(0)
Второй параметр Par2 подбирается с помощью итераций, его значение при итерации Step обозначим Par2(Step)
Первоначально (шаг итераций 0) Step = 0, Par2(Step) = 0
На каждом шаге итерации, соответствующие Par1 и Par2 величины рассчитываются по формулам
q(iage,t) = exp(2 · lgt(iage,t)) / (1 + exp(2 · lgt(iage,t))), iage = 0, ..., 100;
l(0,t) = 1
l(iage,t) = l(iage - 1,t) · (1 - q(iage - 1,t)), iage = 1, ..., 100;
Далее:

Наконец,

Определяется разность D(Step) = eee - e0(t),
Задача считается решенной, если Abs(D(Step))
0.001
На первом шаге итераций,
, на втором и последующем шагах Step = 2,...


После завершения итераций рассчитывается ряд PP(iage,t) - возрастных вероятностей дожития в году t, iage = -1, 0, ..., 99
PP(-1,t) = LL(0,t)
PP(iage,t) = LL(iage + 1,t) / LL(iage,t), iage = 0, ..., 98
PP(99,t) = LL(100,t) / (LL(99,t) + LL(100,t))
5.3.3. Процедура определения возрастных показателей рождаемости на основе коэффициента суммарной рождаемости и среднего возраста матери при рождении ребенка.
t - год, для которого производится расчет, ireg - регион.
Входные показатели
f(i,t-1,ireg) - ряд возрастных коэффициентов в предыдущем году t-1, i = 1, ..., 7, - номер возрастной группы
i
1
2
3
4
5
6
7
iage
15 - 19
20 - 24
25 - 29
30 - 34
35 - 39
40 - 44
45 - 49
iage1
15
20
25
30
35
40
45
iage2
19
24
29
34
39
44
49
TFR(t,ireg), Xm(t,ireg) - прогнозируемые суммарный коэффициент рождаемости и средний возраст матери при рождении ребенка в году t;
Ряды констант
lgtSF(i) - константы для преобразования логитов коэффициентов
рождаемости
Выходные показатели
f(i,t,ireg) - ряд возрастных коэффициентов в году t, i = 1, ..., 7, - номер возрастной группы.
Для упрощения в формулах признак региона ireg опускается
Рассчитывается:
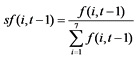
For i = 1, ..., 7

lgtF(i,t-1) = Ln(sf(i,t-1) / (1 - sf(i,t-1)))
Задача решается подбором параметра Par, такого, что ряд
lgtF(i,t) = lgtF(i,t-1) + Par * lgtSF(i)
будет соответствовать TFR(t,ireg), Xm(t,ireg) - прогнозируемые суммарный коэффициент рождаемости и средний возраст матери при рождении ребенка в году t.
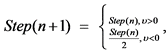
Задача решается итерационно. При Step = 0 величина Par = 0.
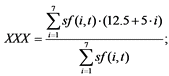
При заданном Par величина Xm(t) определяется следующим образом:
lgtF(i,t) = lgtF(i,t-1) + Par * lgtSF(i);
sf(i,t) = Exp(lgF(i,t)) / (1 + lgF(i,t)));

Определяется разность D(Step) = XXX - Xm(t),
Задача считается решенной, если Abs(D(Step))
0.001
На первом шаге итераций,
, на втором и последующем шагах Step = 2,...


После завершения итераций рассчитывается ряд

4.3.4. Процедура определения чисел мигрантов по полу и возрасту и расчета населения с учетом миграции.
Входные показатели:
S0(x,t,T,s,r) - население региона r в момент времени t без учета миграции в году T, (T = 1 - на начало, T = 2 - на конец года) по возрасту x и полу s.
Mi(t,r,y) - сценарное число прибывших в территорию r в году t и типу миграции y, при расчете по России присутствуют два типа миграции, y = 1 миграция из населения с возрастной структурой, похожей на население России, y = 2 миграция из населения с иной (более молодой) возрастной структурой (при расчете по регионам вся миграция относится к первому типу).
M0(t,r) - сценарное число выбывших из территории r в году t;
- население региона r в момент времени
< t по возрасту x и полу s.
- число прибывших в территорию r в году
< t по полу и возрасту. При расчете по России присутствуют два типа миграции, y = 1 миграция из населения с возрастной структуры, похожей на население России, y = 2 миграция из населения с иной (более молодой) возрастной структурой. Считается, что вся миграция базового года относится к первому типу.
- число выбывших из территории r в году
< t по полу и возрасту.
Ряды констант:
При расчете по России SM(x,s,r) - структура миграции второго типа.
При расчете по регионам:
SM0(x,s) - стандартная структура прибывших;
OM(x,s) - стандартная интенсивность выбытия.
Выходные показатели:
S1(x,t0,T,s,r) - население региона r в момент времени t0 с учетом миграции в году T, (T = 1 - на начало, T = 2 - на конец года) по возрасту x и полу s.
M1(x,t,T,s,r,y) - число прибывших в территорию r в году T, (T = 1 - на начало, T = 2 - на конец года) по возрасту x и полу s.
M2(x,t,T,s,r) - число выбывших из территории r в году T (T = 1 - на начало, T = 2 - на конец года) по возрасту x и полу s.
Алгоритм расчета включает в себя следующие этапы:
a) Определяются числа выбывших по полу и возрасту:
Выбирается такое максимальное
,
, что
,
Для года
рассчитывается среднегодовое население
и числа выбывших мигрантов по возрасту на момент переезда


Если
существует, то

иначе

b. Определяются числа прибывших (по России - миграция первого типа y = 1) по полу и возрасту:
Выбирается такое максимальное
,
, что
,
Для года
рассчитывается среднегодовое население
и числа прибывших мигрантов по возрасту на момент переезда


Если
существует, то

иначе

c. Определяются числа прибывших второго типа y = 2 только по России по полу и возрасту

По регионам предполагается, что M1(x,t,T,s,r,2) = 0. Содержательно это означает, что миграция второго типа объединена с миграцией первого типа.
d. Расчет населения с учетом миграции
S1(x,t0,T,s,r) = S0(x,t0,T,s,r) + M1(x,t,T,s,r,1) + M1(x,t,T,s,r,2) - M2(x,t,T,s,r)
e. На втором этапе происходит расчет демографического прогноза на основе процедуры "передвижка по возрастам".
4.4.1. Процедура прогноза населения одного субъекта на один год
t - год, для которого производится расчет, isex - пол, ireg - субъект.
Входные показатели:
Сценарные переменные:
TFR(t,ireg), Xm(t,ireg) - суммарный коэффициент рождаемости и средний возраст матери при рождении ребенка в году t;
e0(t,isex,ireg), q(0,t,isex,ireg) - ожидаемая продолжительность жизни и коэффициент младенческой смертности в году t;
InMigrTot(t,ireg,Type) - число прибывших в территорию ireg в году t и типу Type, при расчете по России присутствуют два типа миграции, Type = 1 миграция из населения с возрастной структуры, похожей на население России, Type = 2 миграция из населения с иной (более молодой) возрастной структурой, при расчете по регионам вся миграция относится к первому типу.
OuMigrTot(t,ireg) - сценарное число выбывших в территорию ireg в году t;
- доля девочек среди новорожденных.
Результаты прогноза на начало года t или данные базового года:
Popul(iage,t,isex,ireg) - население региона ireg на начало года t по возрасту iage и полу isex.
f(i,t-1,ireg) - ряд возрастных коэффициентов в предыдущем году t-1, i = 1, ..., 7, - номер возрастной группы.
q(iage,t-1,isex,ireg) - возрастные вероятности смерти в предыдущем году t-1, по полу isex, и возрасту iage = 0, ..., 100, для возраста 100 лет указывается возрастной коэффициент смертности;
InMigr(iage,t-1,isex,ireg,Type) - число прибывших в территорию ireg в году t-1 по полу и возрасту и типу.
OutMigr(iage,t-1,isex,ireg) - число выбывших из территории ireg в году t-1 по полу и возрасту.
Данные предыдущих расчетов от базового года до года t-1
Popul(iage,
,isex,ireg) - население региона ireg в момент времени
< t-1 по возрасту iage и полу isex.
InMigr(iage,
,isex,ireg,Type) - число прибывших в территорию ireg в году
< t-1 по полу и возрасту и типу.
OutMigr(iage,
,isex,ireg) - число выбывших из территории ireg в году
< t-1 по полу и возрасту.
Ряды констант:
lgtSF(i) - константы для преобразования логитов коэффициентов рождаемости,
lgtS(iage,isex) - константы для преобразования логитов вероятностей смерти,
lgtSl(iage,isex), iage = 1, ..., 120 - логиты стандартных чисел живущих таблицы смертности.
- вспомогательный ряд
[при расчете по России] StrInMigr2(iage,isex,ireg) - структура миграции второго типа.
StrInMigr0(iage,isex) - стандартная структура прибывших;
IntOutMigr0(iage,isex) - стандартная интенсивность выбытия.
Выходные показатели:
Popul(iage,t+1,isex,ireg) - население региона ireg на начало года t+1 по возрасту iage и полу isex.
f(i,t,ireg) - ряд возрастных коэффициентов в году t, i = 1, ..., 7, - номер возрастной группы.
q(iage,t,isex,ireg) - ряд возрастных вероятностей смерти в году t по полу isex и возрасту iage = 0, ..., 100, для возраста 100 лет указывается возрастной коэффициент смертности;
B(i,t,3,ireg) - число родившихся обоих полов у женщин в возрастной группе i в году t;
B(·,t,isex,ireg) - общее число родившихся по полу в году t;
Death(iage,t,isex,ireg) - число умерших в году t по возрасту на начало года и полу;
InMigr(iage,t,isex,ireg,Type) - число прибывших в территорию ireg в году t по полу, возрасту и типу.
OutMigr(iage,t,isex,ireg) - число выбывших из территории ireg в году t по полу и возрасту.
Расчет:
a. С помощью процедуры определения чисел мигрантов по полу и возрасту в момент (начало или конец года) и процедуры расчета населения с учетом миграции определяется население на начало года
b. С помощью процедуры определения коэффициента младенческой смертности по полу на основе коэффициента смертности для двух полов вместе (пункт 5.3.1) переходим от сценарного коэффициента младенческой смертности для двух полов к показателям по полу.
С помощью процедур определения возрастных показателей смертности на основе ожидаемой продолжительности жизни и коэффициента младенческой смертности (по полу) и определения возрастных показателей рождаемости на основе коэффициента суммарной рождаемости и среднего возраста матери при рождении ребенка (пункты 5.3.2 и 5.3.3) на основе соответствующих сценарных переменных рассчитываются:
f(i,t,ireg) - ряд возрастных коэффициентов в году t, i = 1, ..., 7, - номер возрастной группы;
q(iage,t,isex,ireg) - ряд возрастных вероятностей смерти в году t, по полу isex и возрасту iage = 0, ..., 100 для возраста 100 лет указывается возрастной коэффициент смертности;
PP(iage,t,isex,ireg) - ряд возрастных вероятностей дожития в году t, по полу isex, и возрасту iage = -1, 0, ..., 99, где возраст "-1" означает родившихся в году t;
c. Население на конец года без учета миграции Popul0(iage,t,2,isex,ireg) определяется по формулам:
Popul0(iage,t,2,isex,ireg) = Popul1(iage - 1,t,1,isex,ireg) · PP(iage - 1,t,isex,ireg),
iage = 1, ..., 99
Popul0(100,t,2,isex,ireg) = (Popul1(99,t,1,isex,ireg) + Popul1(100,t,1,isex,ireg)) · PP(99,t,isex,ireg)
Число родившихся обоих полов у женщин в возрастной группе i в году t определяется по формуле:

i
1
2
3
4
5
6
7
iage1
15
20
25
30
35
40
45
iage2
19
24
29
34
39
44
49
Общее число родившихся по полу в году t равно:
для девочек B(·,t,2,ireg) = B(·,t,3,ireg) · ![]()
и для мальчиков B(·,t,1,ireg) = B(·,t,3,ireg) - B(·,t,2,ireg).
Popul0(0,t,2,isex,ireg) = B(·,t,isex,ireg) · PP(-1,t,isex,ireg)
d. Окончательное население на начало года t+1 определяется с помощью процедуры "Процедура определения чисел мигрантов по полу и возрасту в момент (начало или конец года) и расчет населения с учетом миграции":
Popul(iage,t+1,isex,ireg) = Popul1(iage,t,2,isex,ireg)
Число мигрантов в году t по возрасту на начало года и полу определяется как
InMigr(-1,t,isex,ireg,Type) = InMigr(-1,t,2,isex,ireg,Type)
InMigr(iage,t,isex,ireg,Type) = InMigr(iage,t,1,isex,ireg,Type) + InMigr(iage,t,2,isex,ireg,Type),
iage = 0, ..., 98;
InMigr(99,t,isex,ireg,Type) = InMigr(99,t,1,isex,ireg,Type) + InMigr(100,t,1,isex,ireg,Type) + InMigr(99,t,2,isex,ireg,Type)
OutMigr(-1,t,isex,ireg,Type) = OutMigr(-1,t,2,isex,ireg,Type),
OutMigr(iage,t,isex,ireg,Type) =
= OutMigr(iage,t,1,isex,ireg,Type) + OutMigr(iage,t,2,isex,ireg,Type),
iage = 0, ..., 98;
OutMigr(99,t,isex,ireg,Type) = OutMigr(99,t,1,isex,ireg,Type) + OutMigr(100,t,1,isex,ireg,Type) + OutMigr(99,t,2,isex,ireg,Type)
Число умерших в году t по возрасту на начало года и полу определяется как
Death(-1,t,isex,ireg) = B(·,t,isex,ireg) · (1 - PP(-1,t,isex,ireg)
Death(iage,t,isex,ireg) = Popul1(iage,t,1,isex, ireg) · (1 - PP(iage,t,isex,ireg)),
iage = 0,...,98
Death(99,t,isex,ireg) = (Popul1(99,t,1,isex,ireg) + Popul1(100,t,1,isex,ireg)) · (1 - PP(iage,t,isex,ireg))
4.4.2. Процедура балансировки результатов региональных прогнозов к ранее рассчитанному прогнозу по России.
4.4.2.1. Балансировке подлежат следующие показатели:
1) B(·,t,3,r) - общее число родившихся обоего пола в году t;
2) B(·,t,s,r) - общее число родившихся по полу в году t;
3) B(i,t,3,r) - число родившихся обоих полов у женщин в возрастной группе i в году t;
4) M1(x,t,s,r,y) - число прибывших в территорию r в году t по полу, возрасту и типу;
5) D(x,t,s,r) - число умерших в году t по возрасту на начало года и полу;
6) M2(x,t,s,r) - число выбывших из территории r в году t по полу и возрасту.
Пусть r = 1, ..., Nr - основной перечень регионов. Допустим, что Nk регионов rk, k = 1, ..., Nk содержат внутри себя другие субъекты Российской Федерации. Необходимо пересчитать возрастные численности населения на начало года t S(x,t,s,r) и все подлежащие балансировке ряды с тем, чтобы все регионы стали независимы друг от друга, т.е. вычтем из данных по регионам rk, k = 1, ..., Nk данные по входящим в них регионам, где таковые данные имеются - по возрастам (возрастным группам) и полу. Если в процессе вычитания получается отрицательное число, то оно заменяется на 0.
Новый список регионов -
= 1,..., Nr.
= 0 - Россия.
4.4.2.2. Общее число родившихся обоего пола балансируется следующим образом:
BB(·,t,3,
) = B(·,t,3,
) · RR, где индекс B отличает сбалансированный ряд от несбалансированного, а 
4.4.2.3. B(·,t,s,
) - общее число родившихся по полу балансируется с помощью процедуры "Процедура балансировки прямоугольных таблиц при возможном верхнем ограничении на элементы". Строка балансируемой матрицы - пол, столбец - регион. В качестве новой суммы матрицы по строкам берутся числа родившихся в России по полу, в качестве новой суммы матрицы по столбцам берутся числа родившихся в регионах обоих полов вместе. Верхнее ограничение отсутствует.
4.4.2.4. B(i,t,3,
) - число родившихся обоих полов у женщин в возрастной группе i балансируется с помощью вышеназванной процедуры. Строка балансируемой матрицы соответствует возрастной группе, столбец - региону. В качестве новой суммы матрицы по строкам берутся числа родившихся в России по возрастным группам матери, в качестве новой суммы матрицы по столбцам берутся общие числа родившихся в регионах обоих полов вместе. Верхнее ограничение отсутствует.
4.4.2.5. M1(x,t,s,
,1) - число прибывших в территорию
в году t по полу, возрасту и типу.
Для каждого пола подсчитывается сумма
. Если эта сумма больше или равна M1(x,t,s,0) = M1(x,t,s,0,1) + M1(x,t,s,0,2), то балансировка не требуется.
В другом случае:
Подсчитываются суммы
.
Ряд M1(·,t,s,
,1) следующим образом балансируется к итогу по России
, где
.
Ряд M1(x,t,s,
,1) - число прибывших в территорию
балансируется с помощью вышеназванной процедуры "Процедура балансировки прямоугольных таблиц при возможном верхнем ограничении на элементы" для каждого пола отдельно. Строка балансируемой матрицы соответствует возрасту, столбец - региону. В качестве новой суммы матрицы по строкам берутся возрастные численности прибывших в Россию, в качестве новой суммы матрицы по столбцам берутся сбалансированные общие числа прибывших
. Верхнее ограничение отсутствует.
4.4.2.6. Подсчитывается население регионов на конец года t без учета смертности и эмиграции:



5.4.2.7. Ряды D(x,t,s,r) - число умерших в году t по возрасту на начало года и полу подлежат балансировке при всех условиях.
Подсчитываются суммы
.
Ряд D(·,t,s,
,1) следующим образом балансируется к итогу по России DB(·,t,s,
,1) = D(·,t,s,
,1) · RR, где
.
Ряды D(x,t,s,r) - число умерших в году t по возрасту на начало года балансируются с помощью вышеназванной процедуры "Процедура балансировки прямоугольных таблиц при возможном верхнем ограничении на элементы" для каждого пола отдельно. Строка балансируемой матрицы соответствует возрасту, столбец - региону. В качестве новой суммы матрицы по строкам берутся возрастные численности умерших по России D(x,t,s,0), в качестве новой суммы матрицы по столбцам берутся сбалансированные общие числа умерших DB(·,t,s,
). Верхнее ограничение равно S1(x+1,t+1,s,
). Результат балансировки DB(x,t,s,
)
4.4.2.8. Подсчитывается население регионов на конец года t без учета эмиграции
S2(x+1,t+1,s,
) = S1(x+1,t+1,s,
) - DB(x,t,s,
)
4.4.2.9. Ряды M2(x,t,s,r) чисел выбывших из территории r в году t по полу и возрасту подлежат балансировке при всех условиях. Сумма выбывших из всех регионов России по каждой возрастно-половой группе должна равняться числу прибывших во все регионы России плюс число прибывших в Россию минус число выбывших из России по данным общероссийского расчета. Соответствующий ряд обозначим

Подсчитываются суммы
.
Ряд M2(·,t,s,
,1) следующим образом балансируется к итогу по России M2(
,t,s,0):
, где
.
Ряды M2(x,t,s,r) - числа выбывших из территории r в году t по полу и возрасту на начало года балансируются с помощью "Процедуры балансировки прямоугольных таблиц при возможном верхнем ограничении на элементы" для каждого пола отдельно. Строка балансируемой матрицы соответствует возрасту, столбец - региону. В качестве новой суммы матрицы по строкам берутся возрастные численности M2(x,t,s,0), в качестве новой суммы матрицы по столбцам берутся сбалансированные общие числа выбывших
. Верхнее ограничение равно S2(x+1,t+1,s,
). Результат балансировки 
4.4.2.10. Окончательное увязанное население на конец года

4.5. На третьем этапе на данных прогноза населения происходит расчет таблиц рождаемости и смертности для всего прогнозного периода.
4.5.1. Процедура расчета показателей таблиц смертности в году t
Данная процедура используется при региональном прогнозе, главное ее назначение - рассчитывать таблицы смертности по регионам после увязки прогнозных чисел умерших по регионам и России.
Она может быть применена для расчета таблиц смертности в базовом году по регионам и по России в целом, но надо учитывать, что этот расчет сопряжен с очень сильным выравниванием.
Входные показатели:
Popul(iage,t,isex,ireg), Popul(iage,t+1,isex,ireg) - население региона ireg по полу и возрасту на начало лет t, t+1.
Death(iage,t,isex,ireg) - числа умерших в году t в регионе ireg по полу и возрасту на начало года t.
Ряд констант:
lgtS1(iage,isex), iage = 1, ..., 120 - логиты стандартных чисел живущих таблицы смертности.
lgS(iage,isex) - константы для преобразования логитов вероятностей смерти
q(iage,t,isex,ireg) - ранее рассчитанные вероятности смертности за год t по другим регионам. Предполагается вертикальная организация расчета от больших территорий к меньшим: Россия в целом, федеральные округа, республики, края, области, автономные округа.
Выходные показатели:
q(iage,t,isex,ireg) - [окончательные] возрастные вероятности смерти в году t; iage = 0, ..., 100, для возраста 100 лет указывается возрастной коэффициент смертности;
PP(iage,t,isex,ireg) - [окончательные] возрастные вероятности дожития в году t, iage = -1, 0, ..., 99, где возраст "-1" означает родившихся в году t;
e0(t,isex,ireg) - ожидаемая продолжительность жизни при рождении в году t
Определение [окончательные] относится к ситуации собственно расчета прогноза по субъектам.
Расчет:
a. Осуществляется переход от показателей по возрасту на начало года к показателям по возрасту на момент наступления событии:




и среднегодовое население

iage = 0, ..., 100 +
А также подсчитывается общее число умерших данного пола

и численность населения обоего пола

Далее используются два разных алгоритма для случаев
PopSex > 20000 и PopSex
20000.
b. Если PopSex > 20000
Суммированием по соответствующим возрастам осуществляется переход к возрастным группам iA = 0, 1 - 4, 5 - 9, ..., 80 - 84, 85+ как в числах умерших, так и в данных о населении.
Рассчитываются коэффициенты смертности.
Для возраста 0 лет, если
(iA,t,isex,ireg) > 0.1 и
(iA,isex,iY,ireg) > 0.1
для других возрастов, если
(iA,t,isex,ireg) > 0 и
(iA,isex,iY,ireg) > 0.1,
то

иначе
mx(iA,t,isex,ireg) = 0.0000001
iA = 0, 1 - 4, 5 - 9, ..., 80 - 84.
Если iA = 85+, то используется та же формула, но при этом если mx(iA,t,isex,ireg) < 0.294118, то он принимается равным 0.294118.
c. Рассчитываются вероятности смерти
Если mx(iA,t,isex,ireg) < 0.4, то

qx(1-4,t,isex,ireg) = 4 · mx(1-4,t,isex,ireg) / (1 + 2.4 · mx(1-4,t,isex,ireg)),
qx(iA,t,isex,ireg) = 5 · mx(iA,t,isex,ireg) / (1 + 2.5 mx(iA,t,isex,ireg)),
iA = 5 - 9, ..., 80 - 84
Если mx(iA,t,isex,ireg)
0.4, то соответствующая вероятность
qx(0,t,isex,ireg) = 1 - exp(-mx((0, t,isex,ireg)),
(А)
qx(1-4,t,isex,ireg) = 1 - exp(-4 · mx(1-4,t,isex,ireg)),
qx(iA,t,isex,ireg) = 1 - exp(-5 · mx(iA,t,isex,ireg)), iA = 5 - 9, ..., 80 - 84
d. Для каждого возраста рассчитываются основные функции таблицы смертности: числа доживающих l(iA,t,isex,ireg) и числа живущих LL(iA,t,isex,ireg).
В дальнейшем в формулах этого пункта символы t, isex, ireg опускаются.
l(0) = 1

l(1) = 1-qx(0)
l(5) = l(1) * (1-qx(1))
LL(1) = 4 * l(5) + (l(1) - l(5)) * 1.6
l(iA + 5) = l(iA) * (1 - qx(iA))
LL(iA) = 2.5 * (l(iA) + l(iA + 5))
LL(85+) = l(85+)/mx(85+)
Продолжительность жизни при рождении рассчитывается как

и
lgtl(iage) = ln((1 - l(iage)) / l(iage)), iage = 1, 5, 10, ..., 85.
Далее для выравнивания показателей рассчитываются


и определяются параметры Par1 и Par2
Для мужчин isex = 1
Par1 = 0.075744 · SS1 + 0.015323 · SS2
Par2 = 0.015323 · SS1 + 0.01163 · SS2
Для женщин isex = 2
Par1 = 0.157053 · SS1 + 0.0433 · SS2
Par2 = 0.0433 · SS1 + 0.018472 · SS2
Выровненные числа доживающих для возрастов 0, ..., 120 определяются по формулам:
![]()

Вероятности смерти рассчитываются как

Если ранее рассчитанная лежит в интервале 0.002
qx(0)
0.09, то
, иначе
, причем если
окажется меньше 0.0005, то оно заменяется на 0.0005

Вместо вероятности смерти в возрасте 100 лет указывается коэффициент смертности.
e. Далее с помощью вышеописанной процедуры определения возрастных показателей смертности на основе ожидаемой продолжительности жизни и коэффициента младенческой смертности (по полу) вероятности
несколько уточняются с тем, чтобы вероятность смерти и ожидаемая продолжительность жизни при рождении, соответствующие выходному ряду q(iage,t,isex,ireg), iage = 0,1,...,100, в точности равнялись q(0,t,isex,ireg), e(0,t,isex,ireg), определенным в формулах (А) и (Б). Одновременно в процедуре рассчитывается PP(iage,t,isex,ireg) - возрастные вероятности дожития в году t, iage = -1, 0, ..., 99, где возраст "-1" означает родившихся в году t.

f. Если PopSex
20000.
Выбирается объемлющая территория ireg0(PopSex > 20000), по которой расчет проведен.
Рассчитывается ряд
lgt(iage,t,isex,ireg0) = (1 - q(iage,t,isex,ireg0)) / ln(q(iage,t,isex,ireg0),
iage = 0, ..., 100
Далее с помощью итераций подбирается такой параметр par, что таблица смертности, соответствующая логит-преобразованию ряда вероятностей смерти, равному
lgt(iage,par) = lgt(iage,t,isex,ireg0) - Par * lgtS(iage)
соответствовала общему числу умерших в населении, равному Death(·,t,isex,ireg)
Число умерших DDD(par), соответствующее данному значению параметра par определяется следующим образом
q(iage,par) = 1 / (1 + exp(2 · lgt(iage,par))), iage = 0, ..., 100;
l(0,par) = 1
l(iage,par) = l(age - 1,par) · (1 - q(iage - 1,par)), iage = 1, ..., 100;
Далее:

LL(iage,par) = (l(iage,par) + l(iage + 1,par)) / 2, iage = 1, ..., 99
LL(100,t) = l(100) / q(100,t)

Итерации организуются следующим образом.
Первоначально par(0) = 0 и Step(0) = 0
Сравнивается Death(·,t,isex,ireg) и DDD(0). Если абсолютная величина их разности больше 0.5, то

Следующий шаг итераций проводится при значении параметра par(1) = par(0) + Step(1).
В общем случае итерации продолжаются до тех пор пока Abs(Death(·,t,isex,ireg) - DDD(par(n))) > 0.5
Следующий par(n+1) = par(n) + Step(n+1) и

где
= (Death(·,t,isex,ireg) - DDD(par(n))) · (Death(·,t,isex,ireg) - DDD(par(n-1)))
Ожидаемая продолжительность жизни при рождении в году t есть 
Процедура выполнена.
4.5.2. Процедура расчета показателей рождаемости в году t
Данная процедура используется при региональном прогнозе, главное ее назначение - рассчитывать показатели рождаемости по регионам после увязки прогнозных чисел родившихся субъектам и России.
Входные показатели:
Popul(iage,t,isex,ireg), Popul(iage,t+1,isex,ireg) - население региона ireg по полу и возрасту на начало лет t, t+1.
B(i,t,3,ireg) - числа родившихся обоих полов в году t в регионе ireg по возрастным группам матери.
При работе с данными статистики рождения до 15 лет следует включить в группу 15 - 19 лет, а после 50 - в группу 45 - 49 лет.
Выходные показатели:
f(i,t,ireg) - ряд возрастных коэффициентов в году t, i = 1, ..., 7, - номер возрастной группы
TFR(t,ireg), Xm(t,ireg) - суммарный коэффициент рождаемости и средний возраст матери при рождении ребенка в году t в регионе ireg;
Возрастные группы:
i
1
2
3
4
5
6
7
iage
15 - 19
20 - 24
25 - 29
30 - 34
35 - 39
40 - 44
45 - 49
iage1(i)
15
20
25
30
35
40
45
iage2(i)
19
24
29
34
39
44
49
Расчет:
Суммированием по соответствующим возрастам осуществляется переход в данных о населении к возрастным группам 1 - 7.
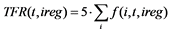
Возрастной коэффициент рождаемости в группе i равен



V. Источники набора данных, информации
5.1. Источниками входной информации является официальная статистическая информация о численности и возрастно-половом составе населения на начало года, числе родившихся и умерших, прибывших и выбывших и по специальным показателям рождаемости и смерти, разработка которой ведется Росстатом в соответствии с позициями 1.8.1, 1.8.3, 1.8.5, 1.8.6, 1.8.7, 1.8.8, 1.8.9 и 1.8.10 ФПСР, а также данные по сценарным переменным, актуализация которых производится экспертами из научных организация в соответствии с государственными контрактами на выполнение научно-исследовательских работ один раз в два года.
VI. Порядок предоставления (распространения) официальной
статистической информации
6.1. Расчет прогноза численности населения производится в соответствии со сроками ФПСР:
до 2080 года по Российской Федерации - 1-я декада октября
до 2045 года по Российской Федерации, субъектам Российской Федерации, федеральным округам - 1-я декада декабря.
6.2. Официальная статистическая информация о прогнозе численности населения публикуется:
на сайте Росстата: https://rosstat.gov.ru/Статистика/Официальная статистика/Население/Информация/Официальные публикации/Бюллетень "Предположительная численность населения Российской Федерации";
на сайте Единой межведомственной информационно-статистической системы (ЕМИСС) www.fedstat.ru/Ведомства/Федеральная служба государственной статистики/1.8. Демографические показатели/1.8.4. Прогноз численности населения.