Приказ Росстата от 30.09.2025 N 542
МИНИСТЕРСТВО ЭКОНОМИЧЕСКОГО РАЗВИТИЯ РОССИЙСКОЙ ФЕДЕРАЦИИ
ФЕДЕРАЛЬНАЯ СЛУЖБА ГОСУДАРСТВЕННОЙ СТАТИСТИКИ
ПРИКАЗ
от 30 сентября 2025 г. N 542
ОБ УТВЕРЖДЕНИИ ОФИЦИАЛЬНОЙ СТАТИСТИЧЕСКОЙ МЕТОДОЛОГИИ
ФОРМИРОВАНИЯ ОФИЦИАЛЬНОЙ СТАТИСТИЧЕСКОЙ ИНФОРМАЦИИ
О ДЕМОГРАФИЧЕСКИХ ТАБЛИЦАХ РОЖДАЕМОСТИ И СМЕРТНОСТИ
В соответствии с частью 2 статьи 7 Федерального закона от 29 ноября 2007 г. N 282-ФЗ "Об официальном статистическом учете и системе государственной статистики в Российской Федерации", подпунктом 5.2 пункта 5 Положения о Федеральной службе государственной статистики, утвержденного постановлением Правительства Российской Федерации от 2 июня 2008 г. N 420, и в целях реализации позиций 1.8.7, 1.8.8, 2.14 Федерального плана статистических работ, утвержденного распоряжением Правительства Российской Федерации от 6 мая 2008 г. N 671-р, приказываю:
утвердить прилагаемую официальную статистическую методологию формирования официальной статистической информации о демографических таблицах рождаемости и смертности.
Заместитель руководителя
С.Н.ЕГОРЕНКО
Утверждена
приказом Росстата
от 30.09.2025 N 542
ОФИЦИАЛЬНАЯ СТАТИСТИЧЕСКАЯ МЕТОДОЛОГИЯ
ФОРМИРОВАНИЯ ОФИЦИАЛЬНОЙ СТАТИСТИЧЕСКОЙ ИНФОРМАЦИИ
О ДЕМОГРАФИЧЕСКИХ ТАБЛИЦАХ РОЖДАЕМОСТИ И СМЕРТНОСТИ
I. Общие положения
1.1. Официальная статистическая методология формирования официальной статистической информации о демографических таблицах рождаемости и смертности (далее - Методология), разработана в соответствии с частью 1 статьи 7 и принципами официального статистического учета, определенными статьей 4 Федерального закона от 29 ноября 2007 г. N 282-ФЗ "Об официальном статистическом учете и системе государственной статистики в Российской Федерации", подпунктом 5.2 пункта 5 Положения о Федеральной службе государственной статистики, утвержденного постановлением Правительства Российской Федерации от 2 июня 2008 г. N 420.
1.2. Настоящая Методология определяет порядок процесса формирования официальной статистической информации о демографических таблицах рождаемости и смертности, алгоритмы формирования показателей.
Таблицы рождаемости и смертности в соответствии с настоящей Методологией формируется в целях:
демографического анализа, изучения структуры населения и его динамики;
прогнозирования, научного исследования.
1.3. Формирование таблиц рождаемости и смертности осуществляется в соответствии с позициями 1.8.7, 1.8.8, 2.14 Федерального плана статистических работ, утвержденного распоряжением Правительства Российской Федерации от 6 мая 2008 г. N 671-р, по Российской Федерации, субъектам Российской Федерации, федеральным округам, центрам субъектов Российской Федерации, полу, возрастным группам.
1.4. Субъектом официального статистического учета, ответственным за формирование и предоставление официальной статистической информации по показателям рождаемости и смертности, является Федеральная служба государственной статистики (далее - Росстат).
II. Условные обозначения (сокращения)
2.1. В Методологии применяются условные обозначения и сокращения:
ПС "Демография" - подсистема "Демография" государственной информационной системы "Цифровая аналитическая платформа предоставления статистических данных" Росстата;
ТР - таблица рождаемости;
ТС - таблица смертности;
СКР - суммарный коэффициент рождаемости;
ОПЖ - ожидаемая продолжительности жизни при рождении.
III. Основные понятия и определения
3.1. Все понятия и определения, приведенные в настоящей Методологии, используются исключительно в целях формирования официальной статистической информации по показателям:
Суммарный коэффициент рождаемости (СКР) - среднее количество детей, которые могут родиться у одной женщины на протяжении всего репродуктивного периода при сохранении в каждом возрасте уровня рождаемости того периода (года), для которого вычисляется показатель;
Ожидаемая продолжительности жизни при рождении (ОПЖ) - число лет, которое в среднем предстояло бы прожить одному человеку из поколения родившихся в данном году при условии, что на протяжении всей жизни этого поколения уровень смертности в каждом возрасте останется таким, как в год, для которого вычислен показатель;
Возрастной коэффициент рождаемости - число рождений на 1000 женщин соответствующего возраста;
Отчетный период - определенный временной интервал, за который собираются, анализируются и представляются данные. Период может составлять месяц, год.
IV. Основные показатели
4.1. В соответствии с настоящей Методологией формируются таблицы рождаемости и смертности, содержащие следующие показатели:
Возрастной коэффициент рождаемости, промилле (0,1 процента) (код по ОКЕИ - 746);
Суммарный коэффициент рождаемости, единиц (код по ОКЕИ - 642);
Кумулятивный коэффициент рождаемости, единиц (код по ОКЕИ - 642);
Возрастной коэффициент смертности, промилле (0,1 процента) (код по ОКЕИ - 746);
Стандартизированный коэффициент смертности, промилле (0,1 процента) (код по ОКЕИ - 746);
Ожидаемая продолжительность жизни, лет (код по ОКЕИ - 366).
4.2. Показатели формируются по Российской Федерации, субъектам Российской Федерации, федеральным округам, центрам субъектов Российской Федерации, полу, возрастным группам - ежегодно и ежемесячно.
V. Методологические основы, алгоритм формирования
и формулы расчета
5.1. Демографические таблицы, используемые в статистической практике, представляют собой систему взаимосвязанных, упорядоченных по возрасту рядов чисел, организованных как описание процесса уменьшения с возрастом под действием смертности поколения с фиксированной начальной численностью (таблицы смертности) или процесса деторождения в поколении женщин с фиксированной численностью в возрасте 15 лет (ТР).
Таблицы смертности и таблицы рождаемости представляют собой числовую модель описываемого процесса, служат для всесторонней характеристики его общего уровня и возрастных особенностей в населении в некоторый период времени.
Демографические таблицы рождаемости и смертности рассчитываются с использованием ПС "Демография".
5.2. В статистической практике используются таблицы, рассчитанные для календарного года. Различают полные и краткие таблицы рождаемости и смертности.
В полных таблицах смертности возраст принимает все целые значения, шаг изменения возраста - 1 год от 0 до 100 лет. В полных таблицах рождаемости возраст с шагом один год меняется от 15 до 54 лет.
В кратких таблицах смертности возраст меняется с шагом 5, с выделением первых пяти лет жизни погодно: 0, 1, 2, 3, 4, 5 - 9, 10 - 14, ... 80 - 84, 85 лет и старше или 0, 1 - 4, 5 - 9, 10 - 14, ... 80 - 84, 85 лет и старше. В кратких таблицах рождаемости возраст меняется с шагом пять лет также от 15 до 54 лет: 15 - 19 (или до 20 лет), 20 - 24, 25 - 29 и так далее, 50 - 54 (или 50 лет и старше).
Расчет таблиц смертности и таблиц рождаемости включает:
определение ряда значений исходного показателя для всех возрастов на основе данных статистики населения;
обработку этого ряда в целях устранения искажений вследствие возрастной аккумуляции и случайных колебаний интенсивности смертности (означает выравнивание или сглаживание ряда), интерполяцию ряда и его экстраполяцию для получения показателей таблиц в старших возрастах.
Расчет всех остальных показателей таблицы осуществляется на основе исходного ряда.
5.3. Таблицы рождаемости
Для расчета общих таблиц рождаемости по женщинам формируются таблицы 1-ТР и 2-ТР.
Таблица 1-ТР содержит в подлежащем список территорий, в сказуемом - специальный, возрастные и суммарный коэффициенты рождаемости.
Возрастные коэффициенты рождаемости (число рождений на 1000 женщин соответствующего возраста) определяются для возрастов от 15 до 55 лет.
5.3.1. В расчете участвуют следующие показатели:
f - возрастной коэффициент рождаемости;
B(x,t,ter,a) - число родившихся по возрасту матери - x, в году - t, территория - ter, категория поселений - a, пол - (оба пола);
B(x,t,ter,a) - число родившихся по возрасту матери после распределения рождений неизвестного возраста. При этом родившиеся у матерей в возрасте до 15 лет включаются в группу 15 лет, родившиеся у матерей в возрасте старше 55 лет включаются в группу 55 лет;
SM - среднегодовая численность женщин в данном возрасте (рассчитывается как полусумма численности женщин на начало данного и следующего годов без округления).
При расчете определяются возраста iFirst и iLast - первый и последний возраст, для которых B(x,t,ter,a) > 0. B(iFirst,t,ter,a) > 0, B(iLast,t,ter,a) > 0, B(x,t,ter,a) = 0, если x < iFirst и x > iLast.
Для возрастов 14 < x < iFirst и iLast. < x < 56, f(x,t,ter,a) принимается равным 0.
Для возрастов x = iFirst, ..., iLast рассчитываются возрастные коэффициенты рождаемости.
Если скорректированное число рождений B(x,t,ter,a) в возрастной группе x больше или равно 5 и SM(x,t,ter,a,2) > B(x,t,ter,a), то f(x,t,ter,a)= B(x,t,ter,a) / SM(x,t,ter,a,b).
Если скорректированное число рождений в возрастной группе x меньше 5 или SM(x,t,ter,a,b) меньше или равно
, выбирается наименьший возрастной интервал, включающий k одногодичных возрастных групп, такой, что число рождений в интервале x, x + k - 1 больше или равно 5 и численность среднегодового населения больше B.
Интервальный коэффициент рождаемости вычисляется по формуле

Для каждой возрастной группы i от x до x + k - 1
f(i,t,ter,a,b) = fInt(x,k,t,ter,a,b).
Если удалось определить интервал xI, xI + kI - 1, а следующий интервал с такими свойствами не существует, то последний, уже выбранный возрастной интервал, увеличивается так, чтобы его конец совпадал с iLast.
Таблица 1-ТР включает коэффициенты рождаемости в возрастных интервалах 15 - 49, 15 - 17, 18 - 19, 15 - 19, 20 - 24, 25 - 29, 30 - 34, 35 - 39, 40 - 44, 45 - 49, 50 - 54 для всех регионов России, и имеет разрезы: все население, городское население и сельское население.
Таблица 2-ТР рассчитывается для однолетних возрастов и имеет разрезы: все население, городское население и сельское население. Таблица 2-ТР формируется по Российской Федерации и каждому ее субъекту (Таблица 1).
Таблица 1 (образец таблицы 2ТР)
Возраст
Возрастной коэффициент рождаемости
Кумулятивный коэффициент рождаемости
Среднее число рождений в данном возрасте
Среднее число рождений к данному возрасту
Ожидаемое число рождений
А
1
2
3
4
5
15
...
54
Возрастные коэффициенты рождаемости рассчитываются по вышеприведенной формуле, где x = 15, 16, ..., 54.
Кумулятивный (накопленный) коэффициент рождаемости представляет собой число рождений у женщин гипотетического поколения, достигших x лет, за всю их предшествующую жизнь. Он равен сумме возрастных коэффициентов рождаемости в интервалах, первый из которых начинается с 15 лет, а последний кончается возрастом x лет.
Кумулятивный коэффициент рождаемости к возрасту x
f(15) = 0;
f(x) = f(x - 1) + F(x - 1) x = 16, ..., 55.
Среднее число рождений в данном возрасте с учетом убыли численности женского поколения под действием смертности, рассчитывается как произведение соответствующего возрастного коэффициента рождаемости на число живущих в данном возрасте в соответствии с таблицами смертности женского населения для данной территории.
Среднее число рождений в интервале возраста x, x + 1

Среднее число рождений к возрасту x:
B-(15) = 0;
B-(x) = B-(x - 1) + b(x - 1), x = 16, ..., 55;
Ожидаемое число рождений в возрасте x:
B+(15) = B-(55);
B+(x) = B+(x - 1) - b(x - 1), x = 16, ..., 55.
Если в процессе расчета возникнет отрицательная величина, то она заменяется нулем.
Средний возраст матери при рождении ребенка - рассчитывается как средняя из возрастов матерей при рождении ребенка, взвешенная возрастными коэффициентами рождаемости (считается, что возраст матери родившей ребенка в некотором интервале возрастов приходится на середину интервала):

где сумма берется по возрасту x от 15 до 55 лет.
Общий (брутто) коэффициент воспроизводства женского населения представляет собой среднее число девочек, которое родила бы одна женщина, прожившая до конца репродуктивного периода при сохранении на протяжении ее жизни современных уровней рождаемости в каждом возрасте. Он равен произведению суммы возрастных коэффициентов рождаемости на долю девочек среди родившихся в те годы, для которых вычислен коэффициент

Доля девочек среди новорожденных вычисляется по формуле

где Btot - общее число родившихся; Bf - число родившихся девочек.
Чистый (нетто) коэффициент воспроизводства женского населения представляет собой среднее число девочек, которое родила бы одна женщина, прожившая до конца репродуктивного периода при данных уровнях рождаемости и смертности. Вычисляется как сумма произведений возрастных коэффициентов рождаемости на соответствующие числа живущих женщин из таблиц смертности за тот же период, умноженная на долю девочек среди родившихся в те годы, для которых вычислен коэффициент. Чистый коэффициент воспроизводства представляет собой обобщенную характеристику не ближайших перспектив роста населения, а уровней рождаемости и смертности, существующих в данный период:

Суммарный коэффициент рождаемости равен сумме возрастных коэффициентов во всех возрастных интервалах или кумулятивному коэффициенту рождаемости к концу репродуктивного периода. Он является наиболее точным измерителем уровня рождаемости.
Для таблицы 1-ТР суммарный коэффициент рождаемости рассчитывается по формуле

где
Fсум - суммарный коэффициент рождаемости;
n - длина интервала;
Fx - возрастные коэффициенты рождаемости.
5.4. Таблицы смертности
Таблицы смертности - самый совершенный инструмент для анализа состояния и тенденций уровня смертности. Они показывают, как поколение одновременно родившихся (основание или корень таблицы смертности) с увеличением возраста под влиянием смертности постепенно уменьшается в своем составе.
При построении таблиц смертности, во избежание дробных чисел показателей lx (доля доживающих) и dx (доля умирающих) число одновременно родившихся в практических расчетах условно принимают за 100 000.
Из числа показателей таблиц смертности формируются следующие таблицы:
Таблица 2
N
Наименование таблицы
Идентификатор таблицы
1
Число умерших на 1000 человек соответствующего пола и возраста, до 1 года на 1000 родившихся
2-ТС
2
Таблицы смертности и продолжительности жизни населения
3-ТС
3
Ожидаемая продолжительность предстоящей жизни при рождении
3-ТСЕ
4
Вероятностное число умерших в трудоспособном возрасте для лиц, достигших 16 лет
3-ТСТ
5
Возрастные коэффициенты смертности по причинам смерти
4-ТС
6
Основные кумулятивные характеристики смертности по причинам смерти
5-ТС
5.4.1. Распределение неизвестных
Числа умерших в возрасте до 1 года с неизвестным годом рождения распределяются между родившимися в предыдущем и текущем годах пропорционально зарегистрированному числу родившихся.
Числа умерших с неизвестным возрастом распределяются по возрастам от 1 до 100 лет пропорционально зарегистрированному числу умерших в этих возрастах.
Расчет производится независимо по каждой территории, полу, категории поселений.
5.4.2. Алгоритм расчета таблиц смертности
В настоящей Методологии используются следующие входные показатели для расчета:
S(0,t,ter,a,b) - численность населения на начало года t в возрасте 0, S(0,t + 1,ter,a,b), S(1,t + 1,ter,a,b) - численность населения на начало года t + 1 в возрастах 0 лет и 1 год, SM(x,t,ter,a,b) - среднегодовая численность населения в году t по возрасту x;
Btot(t,ter,a,b) - общее число родившихся в году t по полу;
M(x,t,ter,a,b) - числа умерших по возрасту - x, в году - t, территория - ter, категория поселений - a, пол - b;
- числа умерших в возрасте до 2 лет по году рождения - tb, территория - ter, категория поселений - a, пол - b.
Таблица 2-ТС включает вероятности смерти в возрасте до 1 года (1-ая строка) и коэффициенты смертности в стандартных возрастных интервалах для всего, городского и сельского населения каждой территории для обоих полов, мужчин и женщин. При формировании таблицы коэффициенты и вероятность смерти умножаются на 1000.
5.4.3. Расчет вероятности смерти в возрасте 0 лет
Если верхняя и нижняя совокупности умерших Mb(0,t,t,ter,a,b) и Mb(0,t,t - 1,ter,a,b) больше или равно 5, то расчет осуществляется по следующим формулам:
Рассчитываются верхняя и нижняя вероятности смерти по формулам:
qs(0,t,ter,a,b) = 2 * Mb(0,t,t,ter,a,b) / (Btot(t,ter,a,b) + S(0,t + 1,ter,a,b) + Mb(0,t,t,ter,a,b));
qu(0,t,ter,a,b) = 2 * Mb(0,t,t - 1,ter,a,b) / (S(0,t,ter,a,b) + S(1,t + 1,ter,a,b) + Mb(1,t,t - 1,ter,a,b) + Mb(0,t,t - 1,ter,a,b));
Вероятность смерти в возрасте 0 лет окончательно определяется как:
q(0,t,ter,a,b) = 1 - (1 - qu(0,t,ter,a,b)) * (1 - qs(0,t,ter,a,b)).
Если Mb(0,t,t,ter,a,b) или Mb(0,t,t - 1,ter,a,b) меньше 5, то расчет q(0,t,ter,a,b) осуществляется по формулам:
m(0,t,ter,a,b) = M(0,t,ter,a,b) / SM(0,t,ter,a,b);
q(0,t,ter,a,b) = m(0,t,ter,a,b) / (1 + (1 - alpha) * m(0,t,ter,a,b));
где alpha = 0,07 + 1,7 * m(0,t,ter,a,b);
qs(0,t,ter,a,b) = q(0,t,ter,a,b) * (1 - alpha).
Если Mb(0,t,t,ter,a,b) + Mb(0,t,t - 1,ter,a,b) < 5, то расчет q(0,t,ter,a,b).
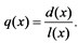
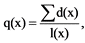
Возрастные коэффициенты измеряют уровень смертности по отдельным возрастным группам. Исчисляются как отношение абсолютного числа умерших в данной возрастной группе (Mx) за период к средней ее численности (
)

где
x принимает значения стандартных возрастных интервалов (1 - 4, 5 - 9, 10 - 14, 15 - 19, 20 - 24, 25 - 29, 30 - 34, 35 - 39, 40 - 44, 45 - 49, 50 - 54, 55 - 59, 60 - 64, 65 - 69, 70 - 74, 75 - 79, 80 - 84, 85+, а также "возраст младше трудоспособного" (0 - 15 лет), "в трудоспособном возрасте", "возраст старше трудоспособного" (границы возрастных групп "в трудоспособном возрасте", "старше трудоспособного возраста" на начало года определяются в соответствии с методикой определения возрастных групп населения, утвержденной приказом Росстата от 17.07.2019 N 409), 1, 0 - 4, 0 - 14 лет).
5.4.4. Формирование таблицы 3-ТС
Таблица 3-ТС формируется по одногодичным возрастам. Сказуемое таблицы 3-ТС содержит ряд показателей:
Числа доживающих до каждого данного возраста x лет (lx) - показывают, сколько из 100000 одновременно родившихся (то есть из определенного поколения родившихся) доживает до 1 года, 2 лет, 3, 4, 5, ..., 20, ..., 50 лет и т.д.:

l(0) = 100000;
x
iLast.
Числа умирающих при переходе от возраста x к возрасту x + 1 лет (dx) - показывают, сколько из доживающих, например, до 50 лет умирает, не дожив до 51 года. Сумма чисел умирающих от нулевого и до предельного возраста равна исходному числу родившихся, т.е. 100 000:
d(x) = l(x) - l(x + 1), x < iLast;
d(iLast) = l(iLast).
Вероятность умереть в течение предстоящего года жизни (qx), не дожив до следующего возраста x + 1 лет - показывает, какая доля доживших до данного возраста умирает, не дожив до следующего возраста, и представляет собой отношение числа умирающих при переходе от возраста x к возрасту x + 1 к числу доживающих до данного возраста x

Вероятность умереть отличается от повозрастного коэффициента смертности тем, что число умерших в данном возрасте относится к числу всех лиц этого возраста, которые могли умереть в течение следующего года жизни, а не к среднегодовой численности населения этого возраста.
Если коэффициент смертности в возрасте 0 лет был определен, то для возраста 0 лет: q(0) - определяется как в подпункте 5.4.3.
Если возраст 0 лет входит в некоторый возрастной интервал, то вероятность смерти для возраста 0 определяется по тем же формулам, что и для возрастов старше 0
для возрастов x = 1, ... 99: q(x) = 2 * m(x) / (2 + m(x)).
Если в последнем возрастном интервале

то соответствующие q(x)= 1 - exp(-m(x));
для возраста x = iLast: q(iLast) = 1.
Вероятность дожить до следующего возраста x + 1 лет (px) - показывает, какая доля из достигших данного возраста проживет еще год и достигнет следующего возраста, и является отношением числа доживающих до следующего возраста x + 1 лет к числу доживающих до данного возраста x лет:
p(p(x) = 1 - q(x), x < iLast.
Так как лица, достигшие определенного возраста, могут или умереть, не дожив до следующего возраста, или дожить до этого возраста, то сумма вероятности дожить и вероятности умереть равна единице.
Вероятность в возрасте x дожить до следующего возраста x + 1:
p(x) = 1 - q(x), x
100;
Числа живущих в возрасте x лет (Lx) - представляют собой среднюю величину из чисел доживающих до данного возраста и до следующего возраста:
Числа живущих в интервале возраста от x до x + 1:
для возраста 0 лет: L(0) = l(0) * (1 - qs(0,t,ter,a,b)); (см. подпункт 5.4.3),
если q(0) определено в соответствии с правилами подпункта 5.4.3 или (l(0) + l(1)) / 2, если это не так;
для возрастов x = 1, .., 3: L(x) = (l(x) + l(x + 1)) / 2;
для возрастов x = 4, .., iLast - 1: L(x)= (l(x) + l(x + 1)) / 2 + 1/24 * (d(x + 1) - d(x - 1));
L(iLast) временно принимается равным 0.
Полученные для всех возрастов числа живущих представляют возрастную структуру так называемого стационарного населения, в котором условно сохраняется одно и то же число родившихся и неизменный порядок вымирания, т.е. из числа родившихся доживает до определенного возраста одинаковый процент. Прирост стационарного населения равен нулю. Возрастной состав стационарного населения зависит от уровня повозрастной смертности населения.
Числа прожитых человеко-лет (Tx) - характеризует общее число человеко-лет, прожитых совокупностью lx от возраста x и до предельного возраста включительно. Он является вспомогательным показателем для расчета ожидаемой продолжительности предстоящей жизни и получается путем суммирования чисел живущих, начиная с любого данного возраста и кончая предельным возрастом:
T(x) = L(x) + L(x + 1) + ... + L(iLast);
Ожидаемая продолжительность предстоящей жизни населения (ex) - характеризует продолжительность предстоящей жизни лиц, достигших определенного возраста, при условии, что повозрастная смертность населения, которая положена в основу построения таблиц смертности, для всего периода предстоящей жизни данного поколения остается неизменной.
При исчислении ожидаемой продолжительности предстоящей жизни подсчитывается число человеко-лет, которое предстоит прожить дожившим до данного возраста за весь период предстоящей жизни (от данного возраста и до предельного). Полученная сумма человеко-лет делится на число доживших до данного возраста:

Иногда показатель ожидаемой (средней) продолжительности предстоящей жизни смешивают со средним возрастом живущих или средним возрастом умерших; между тем эти три показателя различны.
Средний возраст умерших представляет собой взвешенную среднюю из возрастов умерших. При наличии высокой рождаемости и большого числа детей, средний возраст умерших будет ниже, чем в том случае, когда в составе населения мало детей и много стариков; однако это не означает, что в первом случае продолжительность жизни будет низкой. Средний возраст живущих зависит от возрастного состава населения, который обусловливается высотой рождаемости, миграцией, изменением смертности отдельных поколений в течение ряда лет.
Величина ожидаемой продолжительности предстоящей жизни для различных возрастов не одинакова и уменьшается по мере увеличения возраста. Исключение составляет только ожидаемая продолжительность предстоящей жизни для первых детских возрастов, которая выше, чем для новорожденных. Объясняется это сравнительно более высокой смертностью новорожденных; детям, прожившим первый год жизни, в среднем предстоит жить больше, чем новорожденным.
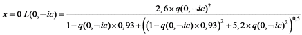
Величина e(iLast) определяется на основе прилагаемой ниже Таблицы 3, исходя из рассчитанной величины e(0). После чего:
L(iLast) = e(iLast) * l(iLast);
ряды T(x) и e(x) рассчитываются заново для возрастов x = 0, ..., iLast;
для возраста x = iLast P(iLast) = L(iLast) / T(iLast - 1);
Возрастной коэффициент дожития P(x):
для возраста x = 0: P(0) = L(0) / 100000;
для возрастов x = 1, ..., iLast - 1: P(x) = L(x) / L(x - 1).
Таблица 3. (Таблица для определения e(iLast) оба пола)
iLast
e(0)
-35
35 - 40
40 - 45
45 - 50
50 - 55
55 - 60
60 - 65
65 - 70
70 - 75
75+
75
5,99
6,23
6,48
6,72
6,96
7,20
7,44
7,79
8,50
9,79
76
5,67
5,89
6,11
6,33
6,55
6,77
6,98
7,31
7,98
9,21
77
5,36
5,56
5,76
5,95
6,15
6,35
6,55
6,85
7,49
8,65
78
5,06
5,24
5,42
5,60
5,78
5,96
6,14
6,42
7,02
8,13
79
4,78
4,94
5,10
5,26
5,42
5,59
5,75
6,00
6,57
7,62
80
4,51
4,65
4,80
4,94
5,09
5,23
5,38
5,61
6,14
7,13
81
4,26
4,38
4,51
4,64
4,77
4,90
5,03
5,24
5,74
6,67
82
4,01
4,12
4,24
4,35
4,47
4,58
4,69
4,89
5,36
6,23
83
3,78
3,88
3,98
4,08
4,18
4,29
4,39
4,57
5,00
5,81
84
3,56
3,65
3,74
3,83
3,92
4,01
4,10
4,26
4,67
5,42
85
3,35
3,43
3,51
3,59
3,67
3,75
3,83
3,98
4,36
5,06
86
3,15
3,22
3,29
3,37
3,44
3,51
3,58
3,72
4,07
4,72
87
2,97
3,03
3,09
3,15
3,22
3,28
3,34
3,47
3,80
4,41
88
2,79
2,85
2,90
2,96
3,02
3,07
3,13
3,25
3,55
4,11
89
2,62
2,68
2,73
2,78
2,83
2,88
2,93
3,04
3,32
3,83
90
2,39
2,47
2,55
2,63
2,71
2,79
2,87
2,95
3,08
3,38
91
2,25
2,33
2,40
2,47
2,55
2,62
2,69
2,77
2,89
3,15
92
2,12
2,19
2,25
2,32
2,39
2,46
2,53
2,60
2,71
2,95
93
1,99
2,05
2,12
2,18
2,25
2,31
2,38
2,44
2,55
2,77
94
1,87
1,93
1,99
2,06
2,12
2,18
2,24
2,30
2,40
2,60
95
1,70
1,78
1,86
1,94
2,02
2,10
2,18
2,26
2,34
2,42
96
1,60
1,68
1,75
1,83
1,91
1,98
2,06
2,13
2,21
2,29
97
1,50
1,58
1,65
1,72
1,80
1,87
1,94
2,02
2,09
2,16
98
1,41
1,48
1,55
1,62
1,70
1,77
1,84
1,91
1,98
2,05
99
1,29
1,35
1,42
1,49
1,56
1,62
1,69
1,76
1,83
1,89
100
1,18
1,24
1,30
1,36
1,41
1,47
1,53
1,59
1,65
1,71
Мужчины
iLast
e(0)
-35
35 - 40
40 - 45
45 - 50
50 - 55
55 - 60
60 - 65
65 - 70
70 - 75
75+
75
5,97
6,17
6,37
6,57
6,78
6,98
7,18
7,60
8,43
9,48
76
5,64
5,82
6,01
6,19
6,37
6,56
6,74
7,13
7,93
8,94
77
5,32
5,49
5,66
5,82
5,99
6,16
6,32
6,69
7,45
8,40
78
5,02
5,17
5,32
5,47
5,62
5,77
5,92
6,27
6,99
7,91
79
4,74
4,87
5,01
5,14
5,27
5,41
5,54
5,87
6,55
7,42
80
4,47
4,59
4,71
4,83
4,95
5,06
5,18
5,49
6,13
6,95
81
4,21
4,32
4,42
4,53
4,63
4,74
4,84
5,12
5,73
6,52
82
3,97
4,06
4,15
4,24
4,33
4,43
4,52
4,78
5,36
6,11
83
3,74
3,82
3,90
3,98
4,06
4,14
4,22
4,46
5,00
5,71
84
3,52
3,59
3,66
3,73
3,80
3,87
3,94
4,16
4,67
5,33
85
3,32
3,38
3,44
3,50
3,56
3,62
3,68
3,88
4,36
4,99
86
3,12
3,18
3,23
3,28
3,33
3,38
3,43
3,62
4,07
4,66
87
2,94
2,99
3,03
3,07
3,12
3,16
3,20
3,38
3,80
4,36
88
2,77
2,80
2,84
2,88
2,92
2,96
2,99
3,16
3,55
4,07
89
2,60
2,64
2,67
2,70
2,74
2,77
2,80
2,95
3,32
3,81
90
2,29
2,39
2,49
2,58
2,68
2,77
2,87
2,96
3,06
3,15
91
2,17
2,26
2,34
2,43
2,52
2,60
2,69
2,78
2,86
2,95
92
2,04
2,12
2,20
2,28
2,36
2,45
2,53
2,61
2,69
2,77
93
1,92
1,99
2,07
2,15
2,22
2,30
2,38
2,45
2,53
2,61
94
1,81
1,88
1,95
2,03
2,10
2,17
2,24
2,31
2,38
2,45
95
1,71
1,77
1,84
1,91
1,97
2,04
2,11
2,17
2,24
2,31
96
1,62
1,69
1,75
1,81
1,88
1,94
2,00
2,07
2,13
2,19
97
1,51
1,57
1,63
1,70
1,76
1,82
1,88
1,94
2,00
2,07
98
1,41
1,48
1,54
1,60
1,66
1,72
1,79
1,85
1,91
1,97
99
1,26
1,32
1,38
1,44
1,50
1,55
1,61
1,67
1,73
1,79
100
1,14
1,18
1,23
1,28
1,33
1,38
1,43
1,48
1,53
1,57
Женщины
iLast
e(0)
-35
35 - 40
40 - 45
45 - 50
50 - 55
55 - 60
60 - 65
65 - 70
70 - 75
75 - 80
80+
75
6,02
6,30
6,58
6,86
7,14
7,42
7,70
7,98
8,57
10,10
11,94
76
5,71
5,96
6,21
6,47
6,72
6,97
7,23
7,48
8,04
9,49
11,24
77
5,39
5,63
5,86
6,09
6,32
6,55
6,78
7,01
7,53
8,91
10,57
78
5,10
5,31
5,52
5,73
5,94
6,15
6,36
6,56
7,05
8,35
9,92
79
4,82
5,01
5,20
5,39
5,57
5,76
5,95
6,14
6,59
7,81
9,29
80
4,55
4,72
4,89
5,06
5,23
5,40
5,57
5,74
6,16
7,30
8,69
81
4,30
4,45
4,60
4,76
4,91
5,06
5,21
5,36
5,75
6,81
8,11
82
4,05
4,19
4,32
4,46
4,60
4,73
4,87
5,01
5,36
6,35
7,57
83
3,82
3,94
4,06
4,19
4,31
4,43
4,55
4,68
5,00
5,92
7,05
84
3,59
3,70
3,81
3,92
4,04
4,15
4,26
4,37
4,67
5,52
6,55
85
3,38
3,48
3,58
3,68
3,78
3,88
3,98
4,08
4,35
5,14
6,09
86
3,18
3,27
3,36
3,45
3,54
3,63
3,72
3,81
4,06
4,78
5,66
87
2,99
3,07
3,15
3,24
3,32
3,40
3,48
3,56
3,79
4,45
5,25
88
2,81
2,89
2,96
3,04
3,11
3,19
3,26
3,34
3,55
4,14
4,87
89
2,65
2,71
2,78
2,85
2,92
2,99
3,06
3,13
3,32
3,86
4,52
90
2,49
2,55
2,62
2,68
2,74
2,81
2,87
2,93
3,11
3,60
4,20
91
2,34
2,40
2,46
2,52
2,58
2,64
2,70
2,76
2,92
3,36
3,90
92
2,20
2,25
2,31
2,36
2,42
2,47
2,53
2,59
2,73
3,14
3,63
93
2,06
2,11
2,17
2,22
2,27
2,33
2,38
2,43
2,57
2,94
3,39
94
1,93
1,98
2,03
2,09
2,14
2,19
2,24
2,30
2,42
2,75
3,16
95
1,69
1,78
1,87
1,97
2,06
2,15
2,25
2,34
2,43
2,53
2,62
96
1,58
1,67
1,76
1,85
1,94
2,02
2,11
2,20
2,29
2,38
2,47
97
1,50
1,58
1,67
1,75
1,84
1,92
2,01
2,09
2,18
2,26
2,35
98
1,40
1,48
1,57
1,65
1,73
1,81
1,89
1,97
2,06
2,14
2,22
99
1,32
1,39
1,47
1,54
1,62
1,70
1,77
1,85
1,92
2,00
2,08
100
1,22
1,29
1,36
1,43
1,50
1,57
1,64
1,70
1,77
1,84
1,91
Дальнейшим развитием обычных таблиц смертности являются таблицы смертности по причинам смерти. Они характеризуют влияние отдельных причин смерти на интенсивность возрастной смертности, дожитие до определенных возрастов, ожидаемую продолжительность жизни.
В отличие от обычных таблиц смертности, для которых существует общепринятый стандартный набор показателей, состав показателей таблиц смертности по причинам смерти может меняться в зависимости от целей анализа. Формируются таблицы 4-ТС и 5-ТС.
5.4.5. Для таблиц 4-ТС и 5-ТС используется краткая стандартная система интервалов: Всего, 0, 1 - 4, 5 - 9, 10 - 14, 15 - 19, 20 - 24, 25 - 29, 30 - 34, 35 - 39, 40 - 44, 45 - 49, 50 - 54, 55 - 59, 60 - 64, 65 - 69, 70 - 74, 75 - 79, 80 - 84, 85+, 0 - 14, 15 - 59 лет, 60 лет и старше, а также "младше трудоспособного возраста" (0 - 15 лет), "в трудоспособном возрасте", "старше трудоспособного возраста" (границы возрастных групп "в трудоспособном возрасте", "старше трудоспособного возраста" на начало года определяются в соответствии с методикой определения возрастных групп населения, утвержденной приказом Росстата от 17.07.2019 N 409).
Таблицы формируются по 9 разрезам: все население оба пола, все население мужчины, все население женщины, городское население оба пола, городское население мужчины, городское население женщины, сельское население оба пола, сельское население мужчины, сельское население женщины.
Для формирования таблицы 4-ТС производят расчет возрастных коэффициентов смертности.
Коэффициент смертности в интервале возраста (в возрасте) x, в году t, причине смерти из перечня требуемых групп причин ic определяется по формуле:

где DM(x) - доля умерших от данной причины смерти ic в общем числе умерших;
m(x,t,ter,a,b) - возрастной коэффициент смертности от всех причин, рассчитывается в таблице 2-ТС.
Коэффициенты умножаются на 100. Результат записывается с одним знаком после запятой.
Для формирования таблицы 5-ТС производят расчет стандартизированных коэффициентов смертности.
Стандартизованные коэффициенты смертности в интервале возраста Y = "все возраста", "0 - 14 лет", "15 - 59 лет", "60 лет и старше" рассчитываются по формулам

где
VeJ(x) - веса для стандартизации коэффициентов смертности;
J = 1 - европейский, 2 - мировой стандарт, сумма берется по всем интервалам ряда 0, 1 - 4, 5 - 9, 10 - 14, 15 - 19, 20 - 24, 25 - 29, 30 - 34, 35 - 39, 40 - 44, 45 - 49, 50 - 54, 55 - 59, 60 - 64, 65 - 69, 70 - 74, 75 - 79, 80 - 84, 85 и более, входящим в данный интервал Y.
Коэффициенты умножаются на 100. Результат записывается с одним знаком после запятой.
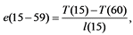
5.4.6. Расчет возрастных чисел умерших, ожидаемой вероятности смерти и ожидаемого среднего возраста смерти от данной причины
Расчет возрастных чисел умерших от данной причины осуществляется по формулам:

где
x - соответствует кратким стандартным возрастным интервалам, сумма берется по всем однолетним возрастам, входящим в данный интервал x;

где
x - соответствует кратким стандартным возрастным интервалам, а ic - выделенным причинам смерти - ic = 1, ..., Nic;
Ожидаемая вероятность смерти от данной причины:

где сумма берется по всем интервалам ряда: 0, 1 - 4, 5 - 9, 10 - 14, 15 - 19, 20 - 24, 25 - 29, 30 - 34, 35 - 39, 40 - 44, 45 - 49, 50 - 54, 55 - 59, 60 - 64, 65 - 69, 70 - 74, 75 - 79, 80 - 84, 85 и более, входящим в данный интервал Y.
Рассчитанный показатель записывается с одним знаком после запятой.
Ожидаемая вероятность смерти для "всего" от всех причин смерти задается равной 100000;
Для расчета ожидаемого среднего возраста смерти от данной причины предварительно рассчитывается средний возраст смерти в интервале возрастов x от x1 до x2 + 1:

где
T() - число человеко-лет жизни;
l() - число доживающих;
Ожидаемый средний возраст смерти от данной причины рассчитывается по формулам

где сумма берется по всем интервалам ряда: 0, 1 - 4, 5 - 9, 10 - 14, 15 - 19, 20 - 24, 25 - 29, 30 - 34, 35 - 39, 40 - 44, 45 - 49, 50 - 54, 55 - 59, 60 - 64, 65 - 69, 70 - 74, 75 - 79, 80 - 84, 85 и более, входящим в данный интервал Y. Средний возраст смерти рассчитывается с двумя знаками после запятой;
Расчет продолжительности жизни с устранением причин смерти:
Вероятность умереть от данной причины:
q*(x,ic) = 1 - (1 - q(x0))DM(x,ic);

где
d(x) берется из таблицы 3-ТС. Сумма берется по возрастным интервалам:
l(x) - начало возрастного интервала 0, 1, 5, 9 и т.д.
- вероятность умереть при устранении причины смерти;
l(x,
ic) - число доживающих до возраста x с устранением причин смерти,
где
1ic означает "без причины ic":
l0 = 1,
l1 = q(x0), где q(x0) - для возрастного интервала 0 лет;
l5 = (1 - q(x1)
l1, где q(x1) - для возрастного интервала 1 - 4 года;
l10 = (1 - q(x5))
l5, где q(x5) - для возрастного интервала 5 - 9 лет;
l15 = (1 - q(x10))
l10, где q(x10) - для возрастного интервала 10 - 14 лет;
l85 = (1 - q(x80))
l80, где q(x80) - для возрастного интервала 80 - 84 лет.
Число доживающих при устранении причин смерти L(x,
ic).

x = 1 - 4 года L = 2
(l(1) + l(5));
x = 5 - 9 лет L = 2,5
(l(5) + l(10));
x = 10 - 14 лет L = 2,5
(l(10) + l(15));
x = 85 L = e(85+)
l(85+,
ic).
Продолжительность жизни при устранении причин смерти e(x,
ic):
для 0 лет
;
для 15 - 59 лет
.
Средняя продолжительность жизни фактическая берется из 3-ТС, e(0) из строки 1 графы 7;
Продолжительность жизни фактическая для возраста 15 - 59 лет:

где
T - из таблицы 3-ТС по соответствующим возрастам 15 и 60 лет, графа 6.
5.5. Система классификаторов, используемых для расчета показателей
Общероссийский классификатор объектов административно-территориального деления (ОКАТО) ОК 019-95 предназначен для обеспечения сопоставимости и автоматизированной обработки информации в разрезах административно-территориального деления и используется для формирования показателей по субъектам Российской Федерации.
Общероссийский классификатор единиц измерения (ОКЕИ) ОК 015-94 предназначен для количественной оценки показателей и обеспечения единства измерений. Идентификационный код единицы измерения представляет собой трехзначный или четырехзначный цифровой десятичный код, присвоенный по порядковой системе кодирования.
Общероссийский классификатор информации о населении (ОКИН) ОК 018-2014 предназначен для использования при сборе, обработке и анализе демографической, социальной и экономической информации о населении, решения задач учета, анализа и подготовки кадров предприятиями, учреждениями и организациями всех форм собственности.
VI. Источники набора данных, информации
6.1. Источниками информации, используемые в настоящей Методологии, являются:
данные результатов всероссийских переписей населения, проводимых один раз в десять лет;
административные данные Федеральной налоговой службы, формируемые на базе Федеральной государственной информационной системы Единого государственного реестра записей актов гражданского состояния (ФГИС "ЕГР ЗАГС"), которые в установленном порядке передаются в Росстат:
Записи акта о рождении;
Записи акта о смерти.
VII. Порядок уточнения и предоставления (распространения)
официальной статистической информации
7.1. Официальная статистическая информация о демографических таблицах рождаемости и смертности публикуется в информационно-телекоммуникационной сети "Интернет":
на сайте Росстата по адресу: https://rosstat.gov.ru/Главная страница/Статистика/Официальная статистика/Население/Демография/Естественное движение населения;
в Единой межведомственной информационно-статистической системы (ЕМИСС) по адресу: https://www.fedstat.ru/ Ведомства/Федеральная служба государственной статистики:
1.8. Демографические показатели/1.8.7. Специальные показатели рождаемости;
1.8. Демографические показатели/1.8.7. Специальные показатели смертности;
2.14. Показатели социально-экономического развития Российской Федерации, необходимые для мониторинга достижения показателей новых национальных проектов и входящих в их состав федеральных проектов на период до 2030 года/Я. Национальный проект "Семья"/2.14.Я.2. Суммарный коэффициент рождаемости (Я1);
2.14. Показатели социально-экономического развития Российской Федерации, необходимые для мониторинга достижения показателей новых национальных проектов и входящих в их состав федеральных проектов на период до 2030 года/Я. Национальный проект "Семья"/2.14.Я.3. Суммарный коэффициент рождаемости третьих и последующих детей (Я2).
7.2. Срок предоставления (распространения) публикуемых значений показателей, формируемых в демографических таблицах рождаемости и смертности:
ежегодно (данные по субъектам Российской Федерации, федеральным округам, городам - центрам субъектов Российской Федерации, городам с населением свыше 100 тысяч человек) - 3-я декада июня;
ежемесячно - на 14 рабочий месяца, следующего за отчетным.