Рейтинг@Mail.ru

Приказ Росстата от 30.09.2025 N 541

МИНИСТЕРСТВО ЭКОНОМИЧЕСКОГО РАЗВИТИЯ РОССИЙСКОЙ ФЕДЕРАЦИИ

ФЕДЕРАЛЬНАЯ СЛУЖБА ГОСУДАРСТВЕННОЙ СТАТИСТИКИ

ПРИКАЗ

от 30 сентября 2025 г. N 541

ОБ УТВЕРЖДЕНИИ ОФИЦИАЛЬНЫХ СТАТИСТИЧЕСКИХ МЕТОДОЛОГИЙ

В соответствии с частью 2 статьи 7 Федерального закона от 29 ноября 2007 г. N 282-ФЗ "Об официальном статистическом учете и системе государственной статистики в Российской Федерации", подпунктом 5.2 Положения о Федеральной службе государственной статистики, утвержденного постановлением Правительства Российской Федерации от 2 июня 2008 г. N 420, и в целях реализации позиций 2.6.28, 2.6.29, 2.8.19, 2.8.20, 2.8.21, 2.8.23, 2.8.24, 2.11.1, 2.11.9, 2.11.39, 2.11.65, 2.11.66 Федерального плана статистических работ, утвержденного распоряжением Правительства Российской Федерации от 6 мая 2008 г. N 671-р, приказываю:

утвердить:

официальную статистическую методологию формирования официальной статистической информации по показателю "Смертность от туберкулеза" согласно приложению N 1 к настоящему приказу;

официальную статистическую методологию формирования официальной статистической информации по показателю "Смертность от дорожно-транспортных происшествий" согласно приложению N 2 к настоящему приказу;

официальную статистическую методологию формирования официальной статистической информации по показателю "Смертность от сердечно-сосудистых заболеваний, злокачественных новообразований, сахарного диабета, хронических респираторных заболеваний" согласно приложению N 3 к настоящему приказу;

официальную статистическую методологию формирования официальной статистической информации по показателю "Смертность от самоубийств" согласно приложению N 4 к настоящему приказу;

официальную статистическую методологию формирования официальной статистической информации по показателю "Смертность от дорожно-транспортных происшествий (3.6.1)" согласно приложению N 5 к настоящему приказу;

официальную статистическую методологию формирования официальной статистической информации по показателю "Коэффициент рождаемости среди подростков (в возрасте от 10 до 14 лет и в возрасте от 15 до 19 лет) на 1000 женщин в соответствующей возрастной группе" согласно приложению N 6 к настоящему приказу;

официальную статистическую методологию формирования официальной статистической информации по показателю "Смертность от случайных отравлений" согласно приложению N 7 к настоящему приказу;

официальную статистическую методологию формирования официальной статистической информации по показателю "Доля детей в общей численности населения" согласно приложению N 8 к настоящему приказу;

официальную статистическую методологию формирования официальной статистической информации по показателю "Распространенность табакокурения среди детей в возрасте от 15 до 18 лет" согласно приложению N 9 к настоящему приказу;

официальную статистическую методологию формирования официальной статистической информации по показателю "Занятие ребенка физической культурой, спортом либо двигательной активностью, из них: по возрасту: от 3 до 6 лет; от 7 до 14 лет; по форме занятий: секционные (организованные) занятия; самостоятельные (дома, на улице)" согласно приложению N 10 к настоящему приказу;

официальную статистическую методологию формирования официальной статистической информации по показателю "Число умерших детей от внешних причин смерти в возрасте от 0 до 17 лет на 100 тыс. человек соответствующего возраста" согласно приложению N 11 к настоящему приказу;

официальную статистическую методологию формирования официальной статистической информации по показателю "Число умерших детей от самоубийств в возрасте до 17 лет на 100 тыс. человек соответствующего возраста" согласно приложению N 12 к настоящему приказу.

Заместитель руководителя

С.Н.ЕГОРЕНКО

Приложение N 1

Утверждена

приказом Росстата

от 30.09.2025 N 541

ОФИЦИАЛЬНАЯ СТАТИСТИЧЕСКАЯ МЕТОДОЛОГИЯ

ФОРМИРОВАНИЯ ОФИЦИАЛЬНОЙ СТАТИСТИЧЕСКОЙ ИНФОРМАЦИИ

ПО ПОКАЗАТЕЛЮ "СМЕРТНОСТЬ ОТ ТУБЕРКУЛЕЗА"

I. Общие положения

1.1. Официальная статистическая методология формирования официальной статистической информации по показателю "Смертность от туберкулеза" (далее - Методология) разработана в соответствии с частью 1 статьи 7 и принципами официального статистического учета, определенными статьей 4 Федерального закона от 29 ноября 2007 г. N 282-ФЗ "Об официальном статистическом учете и системе государственной статистики в Российской Федерации", подпунктом 5.2 пункта 5 Положения о Федеральной службе государственной статистики, утвержденного постановлением Правительства Российской Федерации от 2 июня 2008 г. N 420.

1.2. Настоящая Методология определяет порядок расчета показателя "Смертность от туберкулеза" (далее - показатель).

1.3. Расчет показателя осуществляется в соответствии с позицией 2.6.28 Федерального плана статистических работ, утвержденного распоряжением Правительства Российской Федерации от 6 мая 2008 г. N 671-р (далее - ФПСР), по Российской Федерации, субъектам Российской Федерации.

1.4. Субъектом официального статистического учета, ответственным за формирование и предоставление (распространение) официальной статистической информации по показателю, является Федеральная служба государственной статистики (далее - Росстат).

II. Основные понятия и определения

2.1. Все использованные в настоящей Методологии понятия и определения приводятся исключительно для целей официального статистического учета при формировании официальной статистической информации по показателю.

2.2. Для целей настоящей Методологии используются следующие понятия и определения:

численность населения в среднем за год - средняя арифметическая из численностей населения на начало и конец соответствующего года;

отчетный год - год, за который собираются, анализируются и представляются данные.

III. Основные показатели

3.1. В соответствии с настоящей Методологией формируется официальная статистическая информация по показателю на 100 000 человек населения, единица (код по ОКЕИ - 642).

3.2. Показатель формируется на основе других показателей:

число умерших от туберкулеза всех форм (коды 9 - 11 по краткой номенклатуре причин смерти), человек (код по ОКЕИ - 792);

численность населения в среднем за год, человек (код по ОКЕИ - 792).

3.3. Показатели формируются по Российской Федерации, субъектам Российской Федерации, федеральным округам - ежегодно.

IV. Источники набора данных, информации

4.1. Источниками информации, используемыми в настоящей Методологии для расчета показателя, являются:

официальная статистическая информация о числе умерших по причинам смерти, формируемая в соответствии с позицией 1.8.6 ФПСР, источник данных - Росстат;

официальная статистическая информация о среднегодовой численности населения, формируемая в соответствии с позицией 1.8.1 ФПСР, источник данных - Росстат.

V. Методологические основы, алгоритм формирования

и формулы расчета

5.1. Система классификаторов, используемых для расчета показателя:

Общероссийский классификатор объектов административно-территориального деления (ОКАТО) ОК 019-95 предназначен для обеспечения сопоставимости и автоматизированной обработки информации в разрезах административно-территориального деления и используется для формирования показателей по субъектам Российской Федерации.

Общероссийский классификатор единиц измерения (ОКЕИ) ОК 015-94 предназначен для количественной оценки показателей и обеспечения единства измерений. Идентификационный код единицы измерения представляет собой трехзначный или четырехзначный цифровой десятичный код, присвоенный по порядковой системе кодирования.

Общероссийский классификатор информации о населении (ОКИН) ОК 018-2014 предназначен для использования при сборе, обработке и анализе демографической, социальной и экономической информации о населении, решения задач учета, анализа и подготовки кадров предприятиями, учреждениями и организациями всех форм собственности.

5.2. Расчет значений показателя осуществляется по формуле

,

где

NC - число умерших от туберкулеза всех форм (коды 9 - 11 по краткой номенклатуре причин смерти) в отчетном году, человек;

AP - численность населения в среднем за отчетный год, человек.

VI. Порядок предоставления (распространения)

официальной статистической информации

6.1. Официальная статистическая информация по показателю размещена в Единой межведомственной информационно-статистической системе (ЕМИСС) по адресу: https://www.fedstat.ru/Ведомства/1. Федеральная служба государственной статистики/2.6. Показатели социально-экономического развития Российской Федерации, определенные указами Президента Российской Федерации от 7 мая 2012 г. N 596 - 606/2.6.28. Смертность от туберкулеза.

6.2. Срок предоставления (распространения) информации по показателю ежегодно - 15 августа года, следующего за отчетным.

Приложение N 2

Утверждена

приказом Росстата

от 30.09.2025 N 541

ОФИЦИАЛЬНАЯ СТАТИСТИЧЕСКАЯ МЕТОДОЛОГИЯ

ФОРМИРОВАНИЯ ОФИЦИАЛЬНОЙ СТАТИСТИЧЕСКОЙ

ИНФОРМАЦИИ ПО ПОКАЗАТЕЛЮ "СМЕРТНОСТЬ

ОТ ДОРОЖНО-ТРАНСПОРТНЫХ ПРОИСШЕСТВИЙ"

I. Общие положения

1.1. Официальная статистическая методология формирования официальной статистической информации по показателю "Смертность от дорожно-транспортных происшествий" (далее - Методология) разработана в соответствии с частью 1 статьи 7 и принципами официального статистического учета, определенными статьей 4 Федерального закона от 29 ноября 2007 г. N 282-ФЗ "Об официальном статистическом учете и системе государственной статистики в Российской Федерации", подпунктом 5.2 пункта 5 Положения о Федеральной службе государственной статистики, утвержденного постановлением Правительства Российской Федерации от 2 июня 2008 г. N 420.

1.2. Настоящая Методология определяет порядок расчета показателя "Смертность от дорожно-транспортных происшествий" (далее - показатель).

1.3. Расчет показателя осуществляется в соответствии с позицией 2.6.29 Федерального плана статистических работ, утвержденного распоряжением Правительства Российской Федерации от 6 мая 2008 г. N 671-р (далее - ФПСР), по Российской Федерации, субъектам Российской Федерации.

1.4. Субъектом официального статистического учета, ответственным за формирование и предоставление (распространение) официальной статистической информации по показателю, является Федеральная служба государственной статистики (далее - Росстат).

II. Основные понятия и определения

2.1. Все использованные в настоящей Методологии понятия и определения приводятся исключительно для целей официального статистического учета при формировании официальной статистической информации по показателю.

2.2. Для целей настоящей Методологии используются следующие понятия и определения:

численность населения в среднем за год - средняя арифметическая из численностей населения на начало и конец соответствующего года;

отчетный год - год, за который собираются, анализируются и представляются данные.

III. Основные показатели

3.1. В соответствии с настоящей Методологией формируется официальная статистическая информация по показателю на 100 000 человек населения, единица (код по ОКЕИ - 642).

3.2. Показатель формируется на основе других показателей:

число умерших от дорожно-транспортных происшествий (коды 256 - 258 по краткой номенклатуре причин смерти), человек (код по ОКЕИ - 792);

численность населения в среднем за год, человек (код по ОКЕИ - 792).

3.3. Показатели формируются по Российской Федерации, субъектам Российской Федерации, федеральным округам - ежегодно.

IV. Источники набора данных, информации

4.1. Источниками информации, используемыми в настоящей Методологии для расчета показателя, являются:

официальная статистическая информация о числе умерших по причинам смерти, формируемая в соответствии с позицией 1.8.6 ФПСР, источник данных - Росстат;

официальная статистическая информация о среднегодовой численности населения, формируемая в соответствии с позицией 1.8.1 ФПСР, источник данных - Росстат.

V. Методологические основы, алгоритм формирования

и формулы расчета

5.1. Система классификаторов, используемых для расчета показателя:

Общероссийский классификатор объектов административно-территориального деления (ОКАТО) ОК 019-95 предназначен для обеспечения сопоставимости и автоматизированной обработки информации в разрезах административно-территориального деления и используется для формирования показателей по субъектам Российской Федерации.

Общероссийский классификатор единиц измерения (ОКЕИ) ОК 015-94 предназначен для количественной оценки показателей и обеспечения единства измерений. Идентификационный код единицы измерения представляет собой трехзначный или четырехзначный цифровой десятичный код, присвоенный по порядковой системе кодирования.

Общероссийский классификатор информации о населении (ОКИН) ОК 018-2014 предназначен для использования при сборе, обработке и анализе демографической, социальной и экономической информации о населении, решения задач учета, анализа и подготовки кадров предприятиями, учреждениями и организациями всех форм собственности.

5.2. Расчет значений показателя осуществляется по формуле

,

где

NC - число умерших от дорожно-транспортных происшествий (коды 256 - 258 по краткой номенклатуре причин смерти) в отчетном году, человек;

AP - численность населения в среднем за отчетный год, человек.

VI. Порядок предоставления (распространения)

официальной статистической информации

6.1. Официальная статистическая информация по показателю размещена в Единой межведомственной информационно-статистической системе (ЕМИСС) по адресу: https://www.fedstat.ru/Ведомства/1. Федеральная служба государственной статистики/2.6. Показатели социально-экономического развития Российской Федерации, определенные указами Президента Российской Федерации от 7 мая 2012 г. N 596 - 606/2.6.29 Смертность от дорожно-транспортных происшествий.

6.2. Срок предоставления (распространения) информации по показателю ежегодно - 15 августа года, следующего за отчетным.

Приложение N 3

Утверждена

приказом Росстата

от 30.09.2025 N 541

ОФИЦИАЛЬНАЯ СТАТИСТИЧЕСКАЯ МЕТОДОЛОГИЯ

ФОРМИРОВАНИЯ ОФИЦИАЛЬНОЙ СТАТИСТИЧЕСКОЙ ИНФОРМАЦИИ

ПО ПОКАЗАТЕЛЮ "СМЕРТНОСТЬ ОТ СЕРДЕЧНО-СОСУДИСТЫХ

ЗАБОЛЕВАНИЙ, ЗЛОКАЧЕСТВЕННЫХ НОВООБРАЗОВАНИЙ, САХАРНОГО

ДИАБЕТА, ХРОНИЧЕСКИХ РЕСПИРАТОРНЫХ ЗАБОЛЕВАНИЙ"

I. Общие положения

1.1. Официальная статистическая методология формирования официальной статистической информации по показателю "Смертность от сердечно-сосудистых заболеваний, злокачественных новообразований, сахарного диабета, хронических респираторных заболеваний" (далее - Методология) разработана в соответствии с частью 1 статьи 7 и принципами официального статистического учета, определенными статьей 4 Федерального закона от 29 ноября 2007 г. N 282-ФЗ "Об официальном статистическом учете и системе государственной статистики в Российской Федерации", подпунктом 5.2 пункта 5 Положения о Федеральной службе государственной статистики, утвержденного постановлением Правительства Российской Федерации от 2 июня 2008 г. N 420.

1.2. Настоящая Методология определяет порядок расчета показателя "Смертность от сердечно-сосудистых заболеваний, злокачественных новообразований, сахарного диабета, хронических респираторных заболеваний" (далее - показатель).

Официальная статистическая информация по показателю характеризует число умерших от сердечно-сосудистых заболеваний, злокачественных новообразований, сахарного диабета, хронических респираторных заболеваний на 100 000 человек населения, что является реализацией Цели 3 "Обеспечение здорового образа жизни и содействие благополучию для всех в любом возрасте", отраженной в Резолюции, принятой Генеральной Ассамблеей ООН 25 сентября 2015 г. "Преобразование нашего мира: Повестка дня в области устойчивого развития на период до 2030 года" <1>.

--------------------------------

<1> https://docs.un.org/ru/A/RES/70/1

1.3. Расчет показателя осуществляется в соответствии с позицией 2.8.19 Федерального плана статистических работ, утвержденного распоряжением Правительства Российской Федерации от 6 мая 2008 г. N 671-р (далее - ФПСР), по Российской Федерации, субъектам Российской Федерации, федеральным округам, городской и сельской местности, полу, возрасту.

1.4. Субъектом официального статистического учета, ответственным за формирование и предоставление (распространение) официальной статистической информации по показателю, является Федеральная служба государственной статистики (далее - Росстат).

II. Условные обозначения, сокращения

2.1. В Методологии применяются условные обозначения и сокращения:

ООН - Организация Объединенных Наций.

III. Основные понятия и определения

3.1. Все использованные в настоящей Методологии понятия и определения приводятся исключительно для целей официального статистического учета при формировании официальной статистической информации по показателю.

3.2. Для целей настоящей Методологии используются следующие понятия и определения:

Численность населения в среднем за год - средняя арифметическая из численностей населения на начало и конец соответствующего года;

Отчетный год - год, за который собираются, анализируются и представляются данные.

IV. Основные показатели

4.1. В соответствии с настоящей Методологией формируется официальная статистическая информация по показателю на 100 000 человек населения, единица (код по ОКЕИ - 642).

4.2. Показатель формируется на основе других показателей:

число умерших от сердечно-сосудистых заболеваний, злокачественных новообразований, сахарного диабета, хронических респираторных заболеваний всех форм (коды 121 - 155, 54 - 86, 91 - 93, 156 - 172 по краткой номенклатуре причин смерти), человек (код по ОКЕИ - 792);

численность населения в среднем за год, человек (код по ОКЕИ - 792).

4.3. Показатели формируются по Российской Федерации, субъектам Российской Федерации, федеральным округам, городской и сельской местности, полу, возрасту.

V. Источники набора данных, информации

5.1. Источниками информации, используемыми в настоящей Методологии для расчета показателя, являются:

официальная статистическая информация о числе умерших по причинам смерти, формируемая в соответствии с позицией 1.8.6 ФПСР, источник данных - Росстат;

официальная статистическая информация о среднегодовой численности населения по полу и возрасту, формируемая в соответствии с позицией 1.8.3 ФПСР, источник данных - Росстат.

VI. Методологические основы, алгоритм формирования

и формулы расчета

6.1. Методология базируется на Резолюции, принятой Генеральной Ассамблеей ООН 25 сентября 2015 г. "Преобразование нашего мира: Повестка дня в области устойчивого развития на период до 2030 года". <1>

--------------------------------

<1> https://www.un.org/sustainabledevelopment/ru/about/development-agenda/

6.2. Система классификаторов, используемых для расчета показателя:

Общероссийский классификатор объектов административно-территориального деления (ОКАТО) ОК 019-95 предназначен для обеспечения сопоставимости и автоматизированной обработки информации в разрезах административно-территориального деления и используется для формирования показателей по субъектам Российской Федерации.

Общероссийский классификатор единиц измерения (ОКЕИ) ОК 015-94 предназначен для количественной оценки показателей и обеспечения единства измерений. Идентификационный код единицы измерения представляет собой трехзначный или четырехзначный цифровой десятичный код, присвоенный по порядковой системе кодирования.

Общероссийский классификатор информации о населении (ОКИН) ОК 018-2014 предназначен для использования при сборе, обработке и анализе демографической, социальной и экономической информации о населении, решения задач учета, анализа и подготовки кадров предприятиями, учреждениями и организациями всех форм собственности.

6.3. Расчет значений показателя осуществляется по формуле

,

где

NC - число умерших от сердечно-сосудистых заболеваний, злокачественных новообразований, сахарного диабета, хронических респираторных заболеваний всех форм (коды 121 - 155, 54 - 86, 91 - 93, 156 - 172 по краткой номенклатуре причин смерти) в отчетном году, человек;

AP - численность населения в среднем за отчетный год, человек.

VII. Порядок предоставления (распространения)

официальной статистической информации

7.1. Официальная статистическая информация по показателю размещается в Единой межведомственной информационно-статистической системе (ЕМИСС) по адресу: https://www.fedstat.ru/Ведомства/1. Федеральная служба государственной статистики/2.8. Показатели достижения целей устойчивого развития Российской Федерации/2.8.19. Смертность от сердечно-сосудистых заболеваний, злокачественных новообразований, сахарного диабета, хронических респираторных заболеваний (3.4.1).

7.2. Срок предоставления (распространения) информации по показателю ежегодно - 22 июня года, следующего за отчетным.

Приложение N 4

Утверждена

приказом Росстата

от 30.09.2025 N 541

ОФИЦИАЛЬНАЯ СТАТИСТИЧЕСКАЯ МЕТОДОЛОГИЯ

ФОРМИРОВАНИЯ ОФИЦИАЛЬНОЙ СТАТИСТИЧЕСКОЙ ИНФОРМАЦИИ

ПО ПОКАЗАТЕЛЮ "СМЕРТНОСТЬ ОТ САМОУБИЙСТВ"

I. Общие положения

1.1. Официальная статистическая методология формирования официальной статистической информации по показателю "Смертность от самоубийств" (далее - Методология) разработана в соответствии с частью 1 статьи 7 и принципами официального статистического учета, определенными статьей 4 Федерального закона от 29 ноября 2007 г. N 282-ФЗ "Об официальном статистическом учете и системе государственной статистики в Российской Федерации", подпунктом 5.2 пункта 5 Положения о Федеральной службе государственной статистики, утвержденного постановлением Правительства Российской Федерации от 2 июня 2008 г. N 420.

1.2. Настоящая Методология определяет порядок расчета показателя "Смертность от самоубийств" (далее - показатель).

Официальная статистическая информация по показателю характеризует число умерших от самоубийств на 100 000 человек населения, что является реализацией Цели 3 "Обеспечение здорового образа жизни и содействие благополучию для всех в любом возрасте", отраженной в Резолюции, принятой Генеральной Ассамблеей ООН 25 сентября 2015 г. "Преобразование нашего мира: Повестка дня в области устойчивого развития на период до 2030 года" <1>.

--------------------------------

<1> https://docs.un.org/ru/A/RES/70/1

1.3. Расчет показателя осуществляется в соответствии с позицией 2.8.20 Федерального плана статистических работ, утвержденного распоряжением Правительства Российской Федерации от 6 мая 2008 г. N 671-р (далее - ФПСР), по Российской Федерации, субъектам Российской Федерации, федеральным округам, городской и сельской местности, полу, возрасту.

1.4. Субъектом официального статистического учета, ответственным за формирование и предоставление (распространение) официальной статистической информации по показателю, является Федеральная служба государственной статистики (далее - Росстат).

II. Условные обозначения, сокращения

2.1. В Методологии применяются условные обозначения и сокращения:

ООН - Организация Объединенных Наций.

III. Основные понятия и определения

3.1. Все использованные в настоящей Методологии понятия и определения приводятся исключительно для целей официального статистического учета при формировании официальной статистической информации по показателю.

3.2. Для целей настоящей Методологии используются следующие понятия и определения:

Численность населения в среднем за год - средняя арифметическая из численностей населения на начало и конец соответствующего года;

Отчетный год - год, за который собираются, анализируются и представляются данные.

IV. Основные показатели

4.1. В соответствии с настоящей Методологией формируется официальная статистическая информация по показателю на 100 000 человек населения, единица (код по ОКЕИ - 642).

4.2. Показатель формируется на основе других показателей:

число умерших от самоубийств (коды 283 - 284 по краткой номенклатуре причин смерти), человек (код по ОКЕИ - 792);

численность населения в среднем за год, человек (код по ОКЕИ - 792).

4.3. Показатели формируются по Российской Федерации, субъектам Российской Федерации, федеральным округам, городской и сельской местности, полу, возрасту.

V. Источники набора данных, информации

5.1. Источниками информации, используемыми в настоящей Методологии для расчета показателя, являются:

официальная статистическая информация о числе умерших по причинам смерти, формируемая в соответствии с позицией 1.8.6 ФПСР, источник данных - Росстат;

официальная статистическая информация о среднегодовой численности населения по полу и возрасту, формируемая в соответствии с позицией 1.8.3 ФПСР, источник данных - Росстат.

VI. Методологические основы, алгоритм формирования

и формулы расчета

6.1. Методология базируется на Резолюции, принятой Генеральной Ассамблеей ООН 25 сентября 2015 г. "Преобразование нашего мира: Повестка дня в области устойчивого развития на период до 2030 года". <1>

--------------------------------

<1> https://www.un.org/sustainabledevelopment/ru/about/development-agenda/

6.2. Система классификаторов, используемых для расчета показателя:

Общероссийский классификатор объектов административно-территориального деления (ОКАТО) ОК 019-95 предназначен для обеспечения сопоставимости и автоматизированной обработки информации в разрезах административно-территориального деления и используется для формирования показателей по субъектам Российской Федерации.

Общероссийский классификатор единиц измерения (ОКЕИ) ОК 015-94 предназначен для количественной оценки показателей и обеспечения единства измерений. Идентификационный код единицы измерения представляет собой трехзначный или четырехзначный цифровой десятичный код, присвоенный по порядковой системе кодирования.

Общероссийский классификатор информации о населении (ОКИН) ОК 018-2014 предназначен для использования при сборе, обработке и анализе демографической, социальной и экономической информации о населении, решения задач учета, анализа и подготовки кадров предприятиями, учреждениями и организациями всех форм собственности.

6.3. Расчет значений показателя осуществляется по формуле

,

где

NC - число умерших от самоубийств (коды 283 - 284 по краткой номенклатуре причин смерти) в отчетном году, человек;

AP - численность населения в среднем за отчетный год, человек.

VII. Порядок предоставления (распространения) официальной

статистической информации

7.1. Официальная статистическая информация по показателю размещается в Единой межведомственной информационно-статистической системе (ЕМИСС) по адресу: https://www.fedstat.ru/Ведомства/1. Федеральная служба государственной статистики/2.8. Показатели достижения целей устойчивого развития Российской Федерации/2.8.20. Смертность от самоубийств (3.4.2).

7.2. Срок предоставления (распространения) информации по показателю ежегодно - 22 июня года, следующего за отчетным.

Приложение N 5

Утверждена

приказом Росстата

от 30.09.2025 N 541

ОФИЦИАЛЬНАЯ СТАТИСТИЧЕСКАЯ МЕТОДОЛОГИЯ

ФОРМИРОВАНИЯ ОФИЦИАЛЬНОЙ СТАТИСТИЧЕСКОЙ ИНФОРМАЦИИ

ПО ПОКАЗАТЕЛЮ "СМЕРТНОСТЬ ОТ ДОРОЖНО-ТРАНСПОРТНЫХ

ПРОИСШЕСТВИЙ (3.6.1)"

I. Общие положения

1.1. Официальная статистическая методология формирования официальной статистической информации по показателю "Смертность от дорожно-транспортных происшествий (3.6.1)" (далее - Методология) разработана в соответствии с частью 1 статьи 7 и принципами официального статистического учета, определенными статьей 4 Федерального закона от 29 ноября 2007 г. N 282-ФЗ "Об официальном статистическом учете и системе государственной статистики в Российской Федерации", подпунктом 5.2 пункта 5 Положения о Федеральной службе государственной статистики, утвержденного постановлением Правительства Российской Федерации от 2 июня 2008 г. N 420.

1.2. Настоящая Методология определяет порядок расчета показателя "Смертность от дорожно-транспортных происшествий (3.6.1)" (далее - показатель).

Официальная статистическая информация по показателю характеризует число умерших от дорожно-транспортных происшествий на 100 000 человек населения, что является реализацией Цели 3 "Обеспечение здорового образа жизни и содействие благополучию для всех в любом возрасте", отраженной в Резолюции, принятой Генеральной Ассамблеей ООН 25 сентября 2015 г. "Преобразование нашего мира: Повестка дня в области устойчивого развития на период до 2030 года" <1>.".

--------------------------------

<1> https://docs.un.org/ru/A/RES/70/1

1.3. Расчет показателя осуществляется в соответствии с позицией 2.8.21 Федерального плана статистических работ, утвержденного распоряжением Правительства Российской Федерации от 6 мая 2008 г. N 671-р (далее - ФПСР), по Российской Федерации, субъектам Российской Федерации, федеральным округам, городской и сельской местности, полу, возрасту.

1.4. Субъектом официального статистического учета, ответственным за формирование и предоставление (распространение) официальной статистической информации по показателю, является Федеральная служба государственной статистики (далее - Росстат).

II. Условные обозначения, сокращения

2.1. В Методологии применяются условные обозначения и сокращения:

ООН - Организация Объединенных Наций.

III. Основные понятия и определения

3.1. Все использованные в настоящей Методологии понятия и определения приводятся исключительно для целей официального статистического учета при формировании официальной статистической информации по показателю.

3.2. Для целей настоящей Методологии используются следующие понятия и определения:

Численность населения в среднем за год - средняя арифметическая из численностей населения на начало и конец соответствующего года;

Отчетный год - год, за который собираются, анализируются и представляются данные.

IV. Основные показатели

4.1. В соответствии с настоящей Методологией формируется официальная статистическая информация по показателю на 100 000 человек населения, единица (код по ОКЕИ - 642).

4.2. Показатель формируется на основе других показателей:

число умерших от дорожно-транспортных происшествий (коды 256 - 258 по краткой номенклатуре причин смерти), человек (код по ОКЕИ - 792);

численность населения в среднем за год, человек (код по ОКЕИ - 792).

4.3. Показатели формируются по Российской Федерации, субъектам Российской Федерации, федеральным округам, городской и сельской местности, полу, возрасту.

V. Источники набора данных, информации

5.1. Источниками информации, используемыми в настоящей Методологии для расчета показателя, являются:

официальная статистическая информация о числе умерших по причинам смерти, формируемая в соответствии с позицией 1.8.6 ФПСР, источник данных - Росстат;

официальная статистическая информация о среднегодовой численности населения по полу и возрасту, формируемая в соответствии с позицией 1.8.3 ФПСР, источник данных - Росстат.

VI. Методологические основы, алгоритм формирования

и формулы расчета

6.1. Методология базируется на Резолюции, принятой Генеральной Ассамблеей ООН 25 сентября 2015 г. "Преобразование нашего мира: Повестка дня в области устойчивого развития на период до 2030 года". <1>

--------------------------------

<1> https://www.un.org/sustainabledevelopment/ru/about/development-agenda/

6.2. Система классификаторов, используемых для расчета показателя:

Общероссийский классификатор объектов административно-территориального деления (ОКАТО) ОК 019-95 предназначен для обеспечения сопоставимости и автоматизированной обработки информации в разрезах административно-территориального деления и используется для формирования показателей по субъектам Российской Федерации.

Общероссийский классификатор единиц измерения (ОКЕИ) ОК 015-94 предназначен для количественной оценки показателей и обеспечения единства измерений. Идентификационный код единицы измерения представляет собой трехзначный или четырехзначный цифровой десятичный код, присвоенный по порядковой системе кодирования.

Общероссийский классификатор информации о населении (ОКИН) ОК 018-2014 предназначен для использования при сборе, обработке и анализе демографической, социальной и экономической информации о населении, решения задач учета, анализа и подготовки кадров предприятиями, учреждениями и организациями всех форм собственности.

6.3. Расчет значений показателя осуществляется по формуле

,

где

NC - число умерших от дорожно-транспортных происшествий (коды 256 - 258 по краткой номенклатуре причин смерти), в отчетном году, человек;

AP - численность населения в среднем за отчетный год, человек.

VII. Порядок предоставления (распространения)

официальной статистической информации

7.1. Официальная статистическая информация по показателю размещается в Единой межведомственной информационно-статистической системе (ЕМИСС) по адресу: https://www.fedstat.ru/Ведомства/1. Федеральная служба государственной статистики/2.8. Показатели достижения целей устойчивого развития Российской Федерации/2.8.21 Смертность от дорожно-транспортных происшествий (3.6.1).

7.2. Срок предоставления (распространения) информации по показателю ежегодно - 22 июня года, следующего за отчетным.

Приложение N 6

Утверждена

приказом Росстата

от 30.09.2025 N 541

ОФИЦИАЛЬНАЯ СТАТИСТИЧЕСКАЯ МЕТОДОЛОГИЯ

ФОРМИРОВАНИЯ ОФИЦИАЛЬНОЙ СТАТИСТИЧЕСКОЙ ИНФОРМАЦИИ

ПО ПОКАЗАТЕЛЮ "КОЭФФИЦИЕНТ РОЖДАЕМОСТИ СРЕДИ ПОДРОСТКОВ

(В ВОЗРАСТЕ ОТ 10 ДО 14 ЛЕТ И В ВОЗРАСТЕ ОТ 15 ДО 19 ЛЕТ)

НА 1000 ЖЕНЩИН В СООТВЕТСТВУЮЩЕЙ ВОЗРАСТНОЙ ГРУППЕ"

I. Общие положения

1.1. Официальная статистическая методология формирования официальной статистической информации по показателю "Коэффициент рождаемости среди подростков (в возрасте от 10 до 14 лет и в возрасте от 15 до 19 лет) на 1000 женщин в соответствующей возрастной группе" (далее - Методология) разработана в соответствии с частью 1 статьи 7 и принципами официального статистического учета, определенными статьей 4 Федерального закона от 29 ноября 2007 г. N 282-ФЗ "Об официальном статистическом учете и системе государственной статистики в Российской Федерации", подпунктом 5.2 пункта 5 Положения о Федеральной службе государственной статистики, утвержденного постановлением Правительства Российской Федерации от 2 июня 2008 г. N 420.

1.2. Настоящая Методология определяет формирования официальной статистической информации по показателю "Коэффициент рождаемости среди подростков (в возрасте от 10 до 14 лет и в возрасте от 15 до 19 лет) на 1000 женщин в соответствующей возрастной группе" (далее - показатель).

1.3. Расчет показателя осуществляется в соответствии с позицией 2.8.23 Федерального плана статистических работ, утвержденного распоряжением Правительства Российской Федерации от 6 мая 2008 г. N 671-р (далее - ФПСР), по Российской Федерации, субъектам Российской Федерации, федеральным округам, городской и сельской местности, полу, возрасту.

1.4. Субъектом официального статистического учета, ответственным за формирование и предоставление (распространение) официальной статистической информации по показателю, является Федеральная служба государственной статистики (далее - Росстат).

II. Основные понятия и определения

2.1. Все использованные в настоящей Методологии понятия и определения приводятся исключительно для целей официального статистического учета при формировании официальной статистической информации по показателю.

III. Основные показатели

3.1. В соответствии с настоящей Методологией формируется официальная статистическая информация по показателю на 1000 человек (женщин), промилле (код по ОКЕИ - 746).

3.2. Показатель формируется на основе других показателей:

число родившихся в данной возрастной группе женщин, человек (код по ОКЕИ - 792);

численность женщин в данной возрастной группе в среднем за год, человек (код по ОКЕИ - 792).

3.3. Показатели формируются по Российской Федерации, субъектам Российской Федерации, федеральным округам, городской и сельской местности, полу, возрасту - ежегодно.

IV. Источники набора данных, информации

4.1. Источниками информации, используемыми в настоящей Методологии для расчета показателя, являются:

официальная статистическая информация о числе родившихся, формируемая в соответствии с позицией 1.8.6 ФПСР, источник данных - Росстат;

официальная статистическая информация о среднегодовой численности населения по полу и возрасту, формируемая в соответствии с позицией 1.8.3 ФПСР, источник данных - Росстат.

V. Методологические основы, алгоритм формирования

и формулы расчета

5.1. Система классификаторов, используемых для расчета показателя:

Общероссийский классификатор объектов административно-территориального деления (ОКАТО) ОК 019-95 предназначен для обеспечения сопоставимости и автоматизированной обработки информации в разрезах административно-территориального деления и используется для формирования показателей по субъектам Российской Федерации.

Общероссийский классификатор единиц измерения (ОКЕИ) ОК 015-94 предназначен для количественной оценки показателей и обеспечения единства измерений. Идентификационный код единицы измерения представляет собой трехзначный или четырехзначный цифровой десятичный код, присвоенный по порядковой системе кодирования.

Общероссийский классификатор информации о населении (ОКИН) ОК 018-2014 предназначен для использования при сборе, обработке и анализе демографической, социальной и экономической информации о населении, решения задач учета, анализа и подготовки кадров предприятиями, учреждениями и организациями всех форм собственности.

5.2. Расчет значений показателя осуществляется по формуле

,

где

NC - число родившихся в данной возрастной группе женщин в отчетном году, человек (код по ОКЕИ - 792);

AP - численность женщин в данной возрастной группе в среднем за отчетный год, человек (код по ОКЕИ - 792).

VI. Порядок предоставления (распространения)

официальной статистической информации

6.1. Официальная статистическая информация по показателю размещается в Единой межведомственной информационно-статистической системе (ЕМИСС) по адресу: https://www.fedstat.ru/Ведомства/1. Федеральная служба государственной статистики/2.8. Показатели достижения целей устойчивого развития Российской Федерации/2.8.23. Коэффициент рождаемости среди подростков (в возрасте от 10 до 14 лет и в возрасте от 15 до 19 лет) на 1000 женщин в соответствующей возрастной группе (3.7.2).

7.2. Срок предоставления (распространения) информации по показателю ежегодно - 22 июня года, следующего за отчетным.

Приложение N 7

Утверждена

приказом Росстата

от 30.09.2025 N 541

ОФИЦИАЛЬНАЯ СТАТИСТИЧЕСКАЯ МЕТОДОЛОГИЯ

ФОРМИРОВАНИЯ ОФИЦИАЛЬНОЙ СТАТИСТИЧЕСКОЙ ИНФОРМАЦИИ

ПО ПОКАЗАТЕЛЮ "СМЕРТНОСТЬ ОТ СЛУЧАЙНЫХ ОТРАВЛЕНИЙ"

I. Общие положения

1.1. Официальная статистическая методология формирования официальной статистической информации по показателю "Смертность от случайных отравлений" (далее - Методология) разработана в соответствии с частью 1 статьи 7 и принципами официального статистического учета, определенными статьей 4 Федерального закона от 29 ноября 2007 г. N 282-ФЗ "Об официальном статистическом учете и системе государственной статистики в Российской Федерации", подпунктом 5.2 пункта 5 Положения о Федеральной службе государственной статистики, утвержденного постановлением Правительства Российской Федерации от 2 июня 2008 г. N 420.

1.2. Настоящая Методология определяет порядок расчета показателя "Смертность от случайных отравлений" (далее - показатель).

Официальная статистическая информация по показателю характеризует число умерших от случайных отравлений на 100 000 человек населения, что является реализацией Цели 3 "Обеспечение здорового образа жизни и содействие благополучию для всех в любом возрасте", отраженной в Резолюции, принятой Генеральной Ассамблеей ООН 25 сентября 2015 г. "Преобразование нашего мира: Повестка дня в области устойчивого развития на период до 2030 года" <1>".

--------------------------------

<1> https://docs.un.org/ru/A/RES/70/1

1.3. Расчет показателя осуществляется в соответствии с позицией 2.8.24 Федерального плана статистических работ, утвержденного распоряжением Правительства Российской Федерации от 6 мая 2008 г. N 671-р (далее - ФПСР), по Российской Федерации, субъектам Российской Федерации, федеральным округам, городской и сельской местности, полу, возрасту.

1.4. Субъектом официального статистического учета, ответственным за формирование и предоставление (распространение) официальной статистической информации по показателю, является Федеральная служба государственной статистики (далее - Росстат).

II. Условные обозначения, сокращения

2.1. В Методологии применяются условные обозначения и сокращения:

ООН - Организация Объединенных Наций.

III. Основные понятия и определения

3.1. Все использованные в настоящей Методологии понятия и определения приводятся исключительно для целей официального статистического учета при формировании официальной статистической информации по показателю.

3.2. Для целей настоящей Методологии используются следующие понятия и определения:

Численность населения в среднем за год - средняя арифметическая из численностей населения на начало и конец соответствующего года;

Отчетный год - год, за который собираются, анализируются и представляются данные.

IV. Основные показатели

4.1. В соответствии с настоящей Методологией формируется официальная статистическая информация по показателю на 100 000 человек населения, единица (код по ОКЕИ - 642).

4.2. Показатель формируется на основе других показателей:

число умерших от случайных отравлений (коды 280 - 282 по краткой номенклатуре причин смерти), человек (код по ОКЕИ - 792);

численность населения в среднем за год, человек (код по ОКЕИ - 792).

4.3. Показатели формируются по Российской Федерации, субъектам Российской Федерации, федеральным округам, городской и сельской местности, полу, возрасту.

V. Источники набора данных, информации

5.1. Источниками информации, используемыми в настоящей Методологии для расчета показателя, являются:

официальная статистическая информация о числе умерших по причинам смерти, формируемая в соответствии с позицией 1.8.6 ФПСР, источник данных - Росстат;

официальная статистическая информация о среднегодовой численности населения по полу и возрасту, формируемая в соответствии с позицией 1.8.3 ФПСР, источник данных - Росстат.

VI. Методологические основы, алгоритм формирования

и формулы расчета

6.1. Методология базируется на Резолюции, принятой Генеральной Ассамблеей ООН 25 сентября 2015 г. "Преобразование нашего мира: Повестка дня в области устойчивого развития на период до 2030 года". <1>

--------------------------------

<1> https://www.un.org/sustainabledevelopment/ru/about/development-agenda/

6.2. Система классификаторов, используемых для расчета показателя:

Общероссийский классификатор объектов административно-территориального деления (ОКАТО) ОК 019-95 предназначен для обеспечения сопоставимости и автоматизированной обработки информации в разрезах административно-территориального деления и используется для формирования показателей по субъектам Российской Федерации.

Общероссийский классификатор единиц измерения (ОКЕИ) ОК 015-94 предназначен для количественной оценки показателей и обеспечения единства измерений. Идентификационный код единицы измерения представляет собой трехзначный или четырехзначный цифровой десятичный код, присвоенный по порядковой системе кодирования.

Общероссийский классификатор информации о населении (ОКИН) ОК 018-2014 предназначен для использования при сборе, обработке и анализе демографической, социальной и экономической информации о населении, решения задач учета, анализа и подготовки кадров предприятиями, учреждениями и организациями всех форм собственности.

6.3. Расчет значений показателя осуществляется по формуле

,

где

NC - число умерших от случайных отравлений (коды 280 - 282 по краткой номенклатуре причин смерти) в отчетном году, человек;

AP - численность населения в среднем за отчетный год, человек.

VII. Порядок предоставления (распространения)

официальной статистической информации

7.1. Официальная статистическая информация по показателю размещается в Единой межведомственной информационно-статистической системе (ЕМИСС) по адресу: https://www.fedstat.ru/Ведомства/1. Федеральная служба государственной статистики/2.8. Показатели достижения целей устойчивого развития Российской Федерации/2.8.24 Смертность от случайных отравлений (3.9.3).

7.2. Срок предоставления (распространения) информации по показателю ежегодно - 22 июня года, следующего за отчетным.

Приложение N 8

Утверждена

приказом Росстата

от 30.09.2025 N 541

ОФИЦИАЛЬНАЯ СТАТИСТИЧЕСКАЯ МЕТОДОЛОГИЯ

ФОРМИРОВАНИЯ ОФИЦИАЛЬНОЙ СТАТИСТИЧЕСКОЙ ИНФОРМАЦИИ

ПО ПОКАЗАТЕЛЮ "ДОЛЯ ДЕТЕЙ В ОБЩЕЙ ЧИСЛЕННОСТИ НАСЕЛЕНИЯ"

I. Общие положения

1.1. Официальная статистическая методология формирования официальной статистической информации по показателю "Доля детей в общей численности населения" (далее - Методология) разработана в соответствии с частью 1 статьи 7 и принципами официального статистического учета, определенными статьей 4 Федерального закона от 29 ноября 2007 г. N 282-ФЗ "Об официальном статистическом учете и системе государственной статистики в Российской Федерации", подпунктом 5.2 пункта 5 Положения о Федеральной службе государственной статистики, утвержденного постановлением Правительства Российской Федерации от 2 июня 2008 г. N 420.

1.2. Настоящая Методология определяет порядок формирования официальной статистической информации по показателю "Доля детей в общей численности населения" (далее - показатель).

1.3. Расчет показателя осуществляется в соответствии с позицией 2.11.1 Федерального плана статистических работ, утвержденного распоряжением Правительства Российской Федерации от 6 мая 2008 г. N 671-р (далее - ФПСР), по Российской Федерации, субъектам Российской Федерации, федеральным округам, городской и сельской местности.

1.4. Субъектом официального статистического учета, ответственным за формирование и предоставление (распространение) официальной статистической информации по показателю, является Федеральная служба государственной статистики (далее - Росстат).

II. Основные понятия и определения

2.1. Все использованные в настоящей Методологии понятия и определения приводятся исключительно для целей официального статистического учета при формировании официальной статистической информации по показателю.

III. Основные показатели

3.1. В соответствии с настоящей Методологией формируется официальная статистическая информация по показателю по состоянию на 1 января отчетного года, единица измерения - процент (код по ОКЕИ - 744).

3.2. Показатель формируется на основе других показателей:

численность населения в возрасте 0 - 17 лет включительно на 1 января отчетного года, человек (код по ОКЕИ - 792);

общая численность населения на 1 января отчетного года, человек (код по ОКЕИ - 792).

3.3. Показатели формируются по Российской Федерации, субъектам Российской Федерации, федеральным округам, городской и сельской местности - ежегодно.

IV. Источники набора данных, информации

4.1. Источниками информации, используемыми в настоящей Методологии для расчета показателя, являются:

официальная статистическая информация о возрастно-половом составе населения, формируемая в соответствии с позицией 1.8.3 ФПСР, источник данных - Росстат;

официальная статистическая информация об общей численности населения, формируемая в соответствии с позицией 1.8.1 ФПСР, источник данных - Росстат.

V. Методологические основы, алгоритм формирования

и формулы расчета

5.1. Система классификаторов, используемых для расчета показателя:

Общероссийский классификатор объектов административно-территориального деления (ОКАТО) ОК 019-95 предназначен для обеспечения сопоставимости и автоматизированной обработки информации в разрезах административно-территориального деления и используется для формирования показателей по субъектам Российской Федерации.

Общероссийский классификатор единиц измерения (ОКЕИ) ОК 015-94 предназначен для количественной оценки показателей и обеспечения единства измерений. Идентификационный код единицы измерения представляет собой трехзначный или четырехзначный цифровой десятичный код, присвоенный по порядковой системе кодирования.

Общероссийский классификатор информации о населении (ОКИН) ОК 018-2014 предназначен для использования при сборе, обработке и анализе демографической, социальной и экономической информации о населении, решения задач учета, анализа и подготовки кадров предприятиями, учреждениями и организациями всех форм собственности.

5.2. Расчет значений показателя осуществляется по формуле

,

где

NC - численность населения в возрасте 0 - 17 лет включительно на 1 января отчетного года, человек (код по ОКЕИ - 792);

AP - общая численность населения на 1 января отчетного года, человек (код по ОКЕИ - 792).

VI. Порядок уточнения и предоставления (распространения)

официальной статистической информации

6.1. Официальная статистическая информация по показателю размещается в Единой межведомственной информационно-статистической системе (ЕМИСС) по адресу: https://www.fedstat.ru/Ведомства/1. Федеральная служба государственной статистики/2.11. Показатели, характеризующие ход выполнения мероприятий, проводимых в рамках Десятилетия детства/2.11.1. Доля детей в общей численности населения.

6.2. Срок предоставления (распространения) информации по показателю ежегодно - 2-я декада марта (предварительные данные), 2-я декада июня (окончательные данные) отчетного года.

Приложение N 9

Утверждена

приказом Росстата

от 30.09.2025 N 541

ОФИЦИАЛЬНАЯ СТАТИСТИЧЕСКАЯ МЕТОДОЛОГИЯ

ФОРМИРОВАНИЯ ОФИЦИАЛЬНОЙ СТАТИСТИЧЕСКОЙ ИНФОРМАЦИИ

ПО ПОКАЗАТЕЛЮ "РАСПРОСТРАНЕННОСТЬ ТАБАКОКУРЕНИЯ

СРЕДИ ДЕТЕЙ В ВОЗРАСТЕ ОТ 15 ДО 18 ЛЕТ"

I. Общие положения

1.1. Официальная статистическая методология формирования официальной статистической информации по показателю "Распространенность табакокурения среди детей в возрасте от 15 до 18 лет" (далее - Методология) разработана в соответствии с частью 1 статьи 7 и принципами официального статистического учета, определенными статьей 4 Федерального закона от 29 ноября 2007 г. N 282-ФЗ "Об официальном статистическом учете и системе государственной статистики в Российской Федерации", и подпунктом 5.2 пункта 5 Положения о Федеральной службе государственной статистики, утвержденного постановлением Правительства Российской Федерации от 2 июня 2008 г. N 420.

1.2. Настоящая Методология определяет порядок расчета показателя "Распространенность табакокурения среди детей в возрасте от 15 до 18 лет".

Официальная статистическая информация по показателю "Распространенность табакокурения среди детей в возрасте от 15 до 18 лет" (далее - показатель) характеризует долю детей в возрасте 15 - 17 лет, которые являются потребителями курительных табачных изделий, от общей численности детей в возрасте 15 - 17 лет.

1.3. Расчет показателя осуществляется в соответствии с позицией 2.11.9 Федерального плана статистических работ, утвержденного распоряжением Правительства Российской Федерации от 6 мая 2008 г. N 671-р (далее - ФПСР), по Российской Федерации.

1.4. Субъектом официального статистического учета, ответственным за формирование и предоставление официальной статистической информации по показателю, является Федеральная служба государственной статистики (далее - Росстат).

II. Условные обозначения (сокращения)

2.1. В Методологии применяются условные обозначения и сокращения:

ВОЗ - Всемирная организация здравоохранения

III. Основные понятия и определения

3.1. Все использованные в настоящей Методологии понятия и определения приводятся исключительно для целей официального статистического учета при формировании официальной статистической информации по показателю.

3.2. Для целей настоящей Методологии используются следующие понятия и определения:

STEPS - принцип поэтапного осуществления мониторинга рекомендованный ВОЗ как инструмент контроля за распространением неинфекционных заболеваний;

Курительные табачные изделия - табачные изделия, предназначенные для курения - промышленно произведенные сигареты (папиросы, сигариллы, сигары), сигареты, скрученные вручную, трубки с табаком;

Отчетный год - это год, за который собираются, анализируются и представляются данные.

IV. Основные показатели

4.1. В соответствии с настоящей Методологией формируется официальная статистическая информация по следующему показателю:

"Распространенность табакокурения среди детей в возрасте от 15 до 18 лет", процент (код по ОКЕИ - 744) - характеризует долю детей в возрасте 15 - 17 лет, которые являются потребителями курительных табачных изделий, от общей численности детей в возрасте 15 - 17 лет.

4.2. Показатель формируется на основе других показателей:

Число лиц в возрасте 15 - 17 лет, которые являются потребителями курительных табачных изделий, человек (код по ОКЕИ - 762);

Численность постоянного населения в возрасте 15 - 17 лет, на 1 января года, человек (код по ОКЕИ - 762);

4.3. Показатели формируются по Российской Федерации - ежегодно.

V. Методологические основы, алгоритм формирования

и формулы расчета

5.1. Система классификаторов, используемых для расчета показателя:

Общероссийский классификатор единиц измерения (ОКЕИ) ОК 015-94 предназначен для количественной оценки показателей и обеспечения единства измерений. Идентификационный код единицы измерения представляет собой трехзначный или четырехзначный цифровой десятичный код, присвоенный по порядковой системе кодирования.

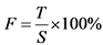
5.2. Показатель "Распространенность табакокурения среди детей в возрасте от 15 до 18 лет" рассчитывается по формуле

,

где

T - число лиц в возрасте 15 - 17 лет, которые являются потребителями курительных табачных изделий, за отчетный год;

S - численность постоянного населения в возрасте 15 - 17 лет, на 1 января года, человек;

VI. Источники набора данных, информации

6.1. Источником формирования данных для расчета компонента S показателя являются итоги выборочного наблюдения состояния здоровья населения, проведенного Росстатом в отчетном году в соответствии с вопросником выборочного наблюдения состояния здоровья населения (вопросник STEPS, предложенный ВОЗ). Полученные данные обрабатываются в Единой системе сбора и обработки статистической информации (ЕССО) Информационно-вычислительной системы Росстата (ИВС Росстата), Специальном программном обеспечении автоматизации процедур подготовки и проведения обследований (система сбора) и Централизованной системе обработки данных на федеральном уровне (система обработки) материалов выборочных обследований населения и домохозяйств (СПО НДХ).

Источником формирования данных для расчета компонента S показателя является официальная статистическая информация о численности населения в возрасте 15 - 17 лет и более на 1 января отчетного года, формируемая Росстатом в соответствии с позицией 1.8.3 ФПСР.

VII. Порядок уточнения и предоставления (распространения)

официальной статистической информации

7.1. Официальная статистическая информация по показателю "Распространенность табакокурения среди детей в возрасте от 15 до 18 лет" размещается в информационно-телекоммуникационной сети "Интернет":

на официальном сайте Росстата по адресу: https://rosstat.gov.ru/:

в Единой межведомственной информационно-статистической системе (ЕМИСС) по адресу: https://www.fedstat.ru/Ведомства/1. Федеральная служба государственной статистики/2.11. Показатели, характеризующие ход выполнения мероприятий, проводимых в рамках Десятилетия детства/2.11.9. Распространенность табакокурения среди детей в возрасте от 15 до 18 лет/Распространенность табакокурения среди детей в возрасте от 15 до 18 лет.

7.2. Срок предоставления (распространения) информации по показателю ежегодно - 30 декабря, следующего за отчетным.

Приложение N 10

Утверждена

приказом Росстата

от 30.09.2025 N 541

ОФИЦИАЛЬНАЯ СТАТИСТИЧЕСКАЯ МЕТОДОЛОГИЯ

ФОРМИРОВАНИЯ ОФИЦИАЛЬНОЙ СТАТИСТИЧЕСКОЙ ИНФОРМАЦИИ

ПО ПОКАЗАТЕЛЮ "ЗАНЯТИЕ РЕБЕНКА ФИЗИЧЕСКОЙ КУЛЬТУРОЙ,

СПОРТОМ ЛИБО ДВИГАТЕЛЬНОЙ АКТИВНОСТЬЮ, ИЗ НИХ: ПО ВОЗРАСТУ:

ОТ 3 ДО 6 ЛЕТ; ОТ 7 ДО 14 ЛЕТ; ПО ФОРМЕ ЗАНЯТИЙ: СЕКЦИОННЫЕ

(ОРГАНИЗОВАННЫЕ) ЗАНЯТИЯ; САМОСТОЯТЕЛЬНЫЕ (ДОМА, НА УЛИЦЕ)"

I. Общие положения

1.1. Официальная статистическая методология формирования официальной статистической информации по показателю "Занятие ребенка физической культурой, спортом либо двигательной активностью, из них: по возрасту: от 3 до 6 лет; от 7 до 14 лет; по форме занятий: секционные (организованные) занятия; самостоятельные (дома, на улице)" (далее - Методология) разработана в соответствии с частью 1 статьи 7 и принципами официального статистического учета, определенными статьей 4 Федерального закона от 29 ноября 2007 г. N 282-ФЗ "Об официальном статистическом учете и системе государственной статистики в Российской Федерации", и подпунктом 5.2 пункта 5 Положения о Федеральной службе государственной статистики, утвержденного постановлением Правительства Российской Федерации от 2 июня 2008 г. N 420.

1.2. Настоящая Методология определяет порядок расчета показателя "Занятие ребенка физической культурой, спортом либо двигательной активностью, из них: по возрасту: от 3 до 6 лет; от 7 до 14 лет; по форме занятий: секционные (организованные) занятия; самостоятельные (дома, на улице)".

Официальная статистическая информация по показателю "Занятие ребенка физической культурой, спортом либо двигательной активностью, из них: по возрасту: от 3 до 6 лет; от 7 до 14 лет; по форме занятий: секционные (организованные) занятия; самостоятельные (дома, на улице)" (далее - показатель) характеризует долю детей в возрасте 3 - 14 лет, занимающихся физической культурой, спортом либо двигательной активностью от общей численности детей соответствующего возраста.

1.3. Расчет показателя осуществляется в соответствии с позицией 2.11.39 Федерального плана статистических работ, утвержденного распоряжением Правительства Российской Федерации от 6 мая 2008 г. N 671-р (далее - ФПСР), по Российской Федерации, возрастным группам, формам занятий.

1.4. Субъектом официального статистического учета, ответственным за формирование и предоставление официальной статистической информации по показателю, является Федеральная служба государственной статистики (далее - Росстат).

II. Условные обозначения (сокращения)

2.1. В Методологии применяются условные обозначения и сокращения:

ВОЗ - Всемирная организация здравоохранения

III. Основные понятия и определения

3.1. Все использованные в настоящей Методологии понятия и определения приводятся исключительно для целей официального статистического учета при формировании официальной статистической информации по показателю.

3.2. Для целей настоящей Методологии используются следующие понятия и определения:

STEPS - принцип поэтапного осуществления мониторинга рекомендованный ВОЗ как инструмент контроля за распространением неинфекционных заболеваний;

Секционные (организованные) занятия - это форма внеурочной деятельности, направленная на развитие физических качеств, освоение навыков и умений в избранном виде спорта. Такие занятия могут проводиться в спортивных секциях или группах общей физической подготовки;

Самостоятельные занятия - это выполнение физических упражнений без специальных условий, дома и на улице;

Отчетный год - это год, за который собираются, анализируются и представляются данные.

IV. Основные показатели

4.1. В соответствии с настоящей Методологией формируется официальная статистическая информация по следующим показателям:

"Занятие ребенка физической культурой, спортом либо двигательной активностью, по возрасту: от 3 до 6 лет; от 7 до 14 лет", процент (код по ОКЕИ - 744) - характеризует долю детей в возрасте 3 - 14 лет, занимающихся физической культурой, спортом либо двигательной активностью по возрастным группам от общей численности детей соответствующего возраста.

"Занятие ребенка физической культурой, спортом либо двигательной активностью, по форме занятий: секционные (организованные) занятия; самостоятельные (дома, на улице)", процент (код по ОКЕИ - 744) - характеризует долю детей в возрасте 3 - 14 лет, занимающихся физической культурой, спортом либо двигательной активностью по формам занятий от общей численности детей соответствующего возраста.

4.2. Показатель формируется на основе других показателей:

Численность детей, занимающихся физической культурой, спортом либо двигательной активностью, человек (код по ОКЕИ - 762);

Численность населения, в возрасте 3 - 14 лет, человек (код по ОКЕИ - 762);

4.3. Показатели формируются по Российской Федерации, возрастным группам, формам занятий - ежегодно.

V. Методологические основы, алгоритм формирования

и формулы расчета

5.1. Система классификаторов, используемых для расчета показателя:

Общероссийский классификатор единиц измерения (ОКЕИ) ОК 015-94 предназначен для количественной оценки показателей и обеспечения единства измерений. Идентификационный код единицы измерения представляет собой трехзначный или четырехзначный цифровой десятичный код, присвоенный по порядковой системе кодирования.

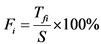
5.2. Показатель "Занятие ребенка физической культурой, спортом либо двигательной активностью, по возрасту: от 3 до 6 лет; от 7 до 14 лет" рассчитывается по формуле

,

где

Tfi - численность детей, занимающихся физической культурой, спортом либо двигательной активностью, за отчетный год;

S - численность постоянного населения соответствующего возраста, на 1 января года, человек;

i - возрастные группы.

Показатель "Занятие ребенка физической культурой, спортом либо двигательной активностью, по форме занятий: секционные (организованные) занятия; самостоятельные (дома, на улице)" рассчитывается по формуле

,

где

Pij - численность детей, занимающихся физической культурой, спортом либо двигательной активностью, за отчетный год;

Tij - численность постоянного населения соответствующего возраста, на 1 января года, человек;

j - форма занятий.

VI. Источники набора данных, информации

6.1. Источником формирования данных для расчета компонента St Показателя являются итоги выборочного наблюдения состояния здоровья населения, проведенного Росстатом в отчетном году в соответствии с вопросником выборочного наблюдения состояния здоровья населения (вопросник STEPS, предложенный ВОЗ). Полученные данные обрабатываются в Единой системе сбора и обработки статистической информации (ЕССО) Информационно-вычислительной системы Росстата (ИВС Росстата), Специальном программном обеспечении автоматизации процедур подготовки и проведения обследований (система сбора) и Централизованной системе обработки данных на федеральном уровне (система обработки) материалов выборочных обследований населения и домохозяйств (СПО НДХ).

Источником формирования данных для расчета компонента S Показателя является официальная статистическая информация о численности населения в возрасте 3 - 14 лет и более на 1 января отчетного года, формируемая Росстатом в соответствии с позицией 1.8.3 ФПСР.

VII. Порядок уточнения и предоставления (распространения)

официальной статистической информации

7.1. Официальная статистическая информация по показателю "Занятие ребенка физической культурой, спортом либо двигательной активностью, из них: по возрасту: от 3 до 6 лет; от 7 до 14 лет; по форме занятий: секционные (организованные) занятия; самостоятельные (дома, на улице)" размещается в информационно-телекоммуникационной сети "Интернет":

на официальном сайте Росстата по адресу: https://rosstat.gov.ru/:

в Единой межведомственной информационно-статистической системе (ЕМИСС) по адресу: https://www.fedstat.ru/Ведомства/1. Федеральная служба государственной статистики/2.11. Показатели, характеризующие ход выполнения мероприятий, проводимых в рамках Десятилетия детства/Занятия ребенка физической культурой, спортом либо двигательной активностью, их них: по возрасту: от 3 до 6 лет; от 7 до 14 лет; по форме занятий: секционные (организованные) занятия; самостоятельные (дома, на улице).

7.2. Срок предоставления (распространения) информации по показателю ежегодно - 30 декабря, следующего за отчетным.

Приложение N 11

Утверждена

приказом Росстата

от 30.09.2025 N 541

ОФИЦИАЛЬНАЯ СТАТИСТИЧЕСКАЯ МЕТОДОЛОГИЯ

ФОРМИРОВАНИЯ ОФИЦИАЛЬНОЙ СТАТИСТИЧЕСКОЙ ИНФОРМАЦИИ

ПО ПОКАЗАТЕЛЮ "ЧИСЛО УМЕРШИХ ДЕТЕЙ ОТ ВНЕШНИХ ПРИЧИН

СМЕРТИ В ВОЗРАСТЕ ОТ 0 ДО 17 ЛЕТ НА 100 ТЫС. ЧЕЛОВЕК

СООТВЕТСТВУЮЩЕГО ВОЗРАСТА"

I. Общие положения

1.1. Официальная статистическая методология формирования официальной статистической информации по показателю "Число умерших детей от внешних причин смерти в возрасте от 0 до 17 лет на 100 тыс. человек соответствующего возраста" (далее - Методология) разработана в соответствии с частью 1 статьи 7 и принципами официального статистического учета, определенными статьей 4 Федерального закона от 29 ноября 2007 г. N 282-ФЗ "Об официальном статистическом учете и системе государственной статистики в Российской Федерации", подпунктом 5.2 пункта 5 Положения о Федеральной службе государственной статистики, утвержденного постановлением Правительства Российской Федерации от 2 июня 2008 г. N 420.

1.2. Настоящая Методология определяет порядок расчета показателя "Число умерших детей от внешних причин смерти в возрасте от 0 до 17 лет на 100 тыс. человек соответствующего возраста" (далее - показатель).

1.3. Расчет показателя осуществляется в соответствии с позицией 2.11.65 Федерального плана статистических работ, утвержденного распоряжением Правительства Российской Федерации от 6 мая 2008 г. N 671-р (далее - ФПСР), по Российской Федерации, субъектам Российской Федерации.

1.4. Субъектом официального статистического учета, ответственным за формирование и предоставление (распространение) официальной статистической информации по показателю, является Федеральная служба государственной статистики (далее - Росстат).

II. Основные понятия и определения

2.1. Все использованные в настоящей Методологии понятия и определения приводятся исключительно для целей официального статистического учета при формировании официальной статистической информации по показателю.

2.2. Для целей настоящей Методологии используются следующие понятия и определения:

численность населения в среднем за год - средняя арифметическая из численностей населения на начало и конец соответствующего года;

отчетный год - год, за который собираются, анализируются и представляются данные.

III. Основные показатели

3.1. В соответствии с настоящей Методологией формируется официальная статистическая информация по показателю на 100 000 человек населения, единица (код по ОКЕИ - 642).

3.2. Показатель формируется на основе других показателей:

число умерших от внешних причин смерти в возрасте 0 - 17 лет (коды 265 - 305, 307, 316 - 318 по краткой номенклатуре причин смерти), человек (код по ОКЕИ - 792);

численность населения по полу и возрасту в среднем за год, человек (код по ОКЕИ - 792).

3.3. Показатели формируются по Российской Федерации, субъектам Российской Федерации, федеральным округам - ежегодно.

IV. Источники набора данных, информации

4.1. Источниками информации, используемыми в настоящей Методологии для расчета показателя, являются:

официальная статистическая информация о числе умерших по причинам смерти, формируемая в соответствии с позицией 1.8.6 ФПСР, источник данных - Росстат;

официальная статистическая информация о среднегодовой численности населения по полу и возрасту, формируемая в соответствии с позицией 1.8.3 ФПСР, источник данных - Росстат.

V. Методологические основы, алгоритм формирования

и формулы расчета

5.1. Система классификаторов, используемых для расчета показателя:

Общероссийский классификатор объектов административно-территориального деления (ОКАТО) ОК 019-95 предназначен для обеспечения сопоставимости и автоматизированной обработки информации в разрезах административно-территориального деления и используется для формирования показателей по субъектам Российской Федерации.

Общероссийский классификатор единиц измерения (ОКЕИ) ОК 015-94 предназначен для количественной оценки показателей и обеспечения единства измерений. Идентификационный код единицы измерения представляет собой трехзначный или четырехзначный цифровой десятичный код, присвоенный по порядковой системе кодирования.

Общероссийский классификатор информации о населении (ОКИН) ОК 018-2014 предназначен для использования при сборе, обработке и анализе демографической, социальной и экономической информации о населении, решения задач учета, анализа и подготовки кадров предприятиями, учреждениями и организациями всех форм собственности.

5.2. Расчет значений показателя осуществляется по формуле

,

где

NC - число умерших от внешних причин смерти в возрасте 0 - 17 лет (коды 265 - 305, 307, 316 - 318 по краткой номенклатуре причин смерти) в отчетном году, человек;

AP - численность населения в данном возрастной группе в среднем за отчетный год, человек.

VI. Порядок предоставления (распространения)

официальной статистической информации

6.1. Официальная статистическая информация по показателю размещена в Единой межведомственной информационно-статистической системе (ЕМИСС) по адресу: https://www.fedstat.ru/Ведомства/1. Федеральная служба государственной статистики/2.11. Показатели, характеризующие ход выполнения мероприятий, проводимых в рамках Десятилетия детства/2.11.65. Число умерших детей от внешних причин смерти в возрасте от 0 до 17 лет на 100 тыс. человек соответствующего возраста.

6.2. Срок предоставления (распространения) информации по показателю ежегодно - 3-я декада июня года, следующего за отчетным.

Приложение N 12

Утверждена

приказом Росстата

от 30.09.2025 N 541

ОФИЦИАЛЬНАЯ СТАТИСТИЧЕСКАЯ МЕТОДОЛОГИЯ

ФОРМИРОВАНИЯ ОФИЦИАЛЬНОЙ СТАТИСТИЧЕСКОЙ ИНФОРМАЦИИ

ПО ПОКАЗАТЕЛЮ "ЧИСЛО УМЕРШИХ ДЕТЕЙ ОТ САМОУБИЙСТВ В ВОЗРАСТЕ

ДО 17 ЛЕТ НА 100 ТЫС. ЧЕЛОВЕК СООТВЕТСТВУЮЩЕГО ВОЗРАСТА"

I. Общие положения

1.1. Официальная статистическая методология формирования официальной статистической информации по показателю "Число умерших детей от самоубийств в возрасте до 17 лет на 100 тыс. человек соответствующего возраста" (далее - Методология) разработана в соответствии с частью 1 статьи 7 и принципами официального статистического учета, определенными статьей 4 Федерального закона от 29 ноября 2007 г. N 282-ФЗ "Об официальном статистическом учете и системе государственной статистики в Российской Федерации", подпунктом 5.2 пункта 5 Положения о Федеральной службе государственной статистики, утвержденного постановлением Правительства Российской Федерации от 2 июня 2008 г. N 420.

1.2. Настоящая Методология определяет порядок расчета показателя "Число умерших детей от самоубийств в возрасте до 17 лет на 100 тыс. человек соответствующего возраста" (далее - показатель).

1.3. Расчет показателя осуществляется в соответствии с позицией 2.11.66 Федерального плана статистических работ, утвержденного распоряжением Правительства Российской Федерации от 6 мая 2008 г. N 671-р (далее - ФПСР), по Российской Федерации, субъектам Российской Федерации.

1.4. Субъектом официального статистического учета, ответственным за формирование и предоставление (распространение) официальной статистической информации по показателю, является Федеральная служба государственной статистики (далее - Росстат).

II. Основные понятия и определения

2.1. Все использованные в настоящей Методологии понятия и определения приводятся исключительно для целей официального статистического учета при формировании официальной статистической информации по показателю.

2.2. Для целей настоящей Методологии используются следующие понятия и определения:

численность населения в среднем за год - средняя арифметическая из численностей населения на начало и конец соответствующего года;

отчетный год - год, за который собираются, анализируются и представляются данные.

III. Основные показатели

3.1. В соответствии с настоящей Методологией формируется официальная статистическая информация по показателю на 100 000 человек населения, единица (код по ОКЕИ - 642).

3.2. Показатель формируется на основе других показателей:

число умерших от самоубийств в возрасте 0 - 17 лет (коды 283 - 284 по краткой номенклатуре причин смерти), человек (код по ОКЕИ - 792);

численность населения по полу и возрасту в среднем за год, человек (код по ОКЕИ - 792).

3.3. Показатели формируются по Российской Федерации, субъектам Российской Федерации, федеральным округам - ежегодно.

IV. Источники набора данных, информации

4.1. Источниками информации, используемыми в настоящей Методологии для расчета показателя, являются:

официальная статистическая информация о числе умерших по причинам смерти, формируемая в соответствии с позицией 1.8.6 ФПСР, источник данных - Росстат;

официальная статистическая информация о среднегодовой численности населения по полу и возрасту, формируемая в соответствии с позицией 1.8.3 ФПСР, источник данных - Росстат.

V. Методологические основы, алгоритм формирования

и формулы расчета

5.1. Система классификаторов, используемых для расчета показателя:

Общероссийский классификатор объектов административно-территориального деления (ОКАТО) ОК 019-95 предназначен для обеспечения сопоставимости и автоматизированной обработки информации в разрезах административно-территориального деления и используется для формирования показателей по субъектам Российской Федерации.

Общероссийский классификатор единиц измерения (ОКЕИ) ОК 015-94 предназначен для количественной оценки показателей и обеспечения единства измерений. Идентификационный код единицы измерения представляет собой трехзначный или четырехзначный цифровой десятичный код, присвоенный по порядковой системе кодирования.

Общероссийский классификатор информации о населении (ОКИН) ОК 018-2014 предназначен для использования при сборе, обработке и анализе демографической, социальной и экономической информации о населении, решения задач учета, анализа и подготовки кадров предприятиями, учреждениями и организациями всех форм собственности.

5.2. Расчет значений показателя осуществляется по формуле

,

где

NC - число умерших от самоубийств в возрасте 0 - 17 лет (коды 283 - 284 по краткой номенклатуре причин смерти) в отчетном году, человек (код по ОКЕИ - 792);

AP - численность населения в данном возрастной группе в среднем за отчетный год, человек.

VI. Порядок предоставления (распространения)

официальной статистической информации

6.1. Официальная статистическая информация по показателю размещена в Единой межведомственной информационно-статистической системе (ЕМИСС) по адресу: https://www.fedstat.ru/Ведомства/1. Федеральная служба государственной статистики/2.11. Показатели, характеризующие ход выполнения мероприятий, проводимых в рамках Десятилетия детства/2.11.66. Число умерших детей от самоубийств в возрасте до 17 лет на 100 тыс. человек соответствующего возраста.

6.2. Срок предоставления (распространения) информации по показателю ежегодно - 3-я декада июня года, следующего за отчетным.

Другие документы по теме
"Об утверждении федерального стандарта спортивной подготовки по виду спорта "серфинг" (Зарегистрировано в Минюсте России 01.11.2025 N 84074)
"О признании утратившим силу приказа ФТС России от 20 сентября 2011 г. N 1914 "Об утверждении типовой формы соглашения, заключаемого между таможенным органом и уполномоченным экономическим оператором" (Зарегистрировано в Минюсте России 10.11.2025 N 84123)
"О внесении изменений в Положение о комиссии по соблюдению требований к служебному поведению федеральных государственных гражданских служащих центрального аппарата, руководителей и заместителей руководителей территориальных органов Федеральной службы по контролю за алкогольным и табачным рынками, работников организаций, созданных для выполнения задач, поставленных перед Федеральной службой по контролю за алкогольным и табачным рынками, и урегулированию конфликта интересов, утвержденное приказом Федеральной службы по контролю за алкогольным и табачным рынками от 16 февраля 2024 г. N 69" (Зарегистрировано в Минюсте России 10.11.2025 N 84119)
"Об утверждении формы, порядка ее заполнения и формата представления сведений о регистрации иностранного гражданина (лица без гражданства) по месту жительства на территории Российской Федерации в электронной форме" (Зарегистрировано в Минюсте России 10.11.2025 N 84121)
Ошибка на сайте