Рейтинг@Mail.ru

Приказ Росстата от 15.09.2025 N 479

МИНИСТЕРСТВО ЭКОНОМИЧЕСКОГО РАЗВИТИЯ РОССИЙСКОЙ ФЕДЕРАЦИИ

ФЕДЕРАЛЬНАЯ СЛУЖБА ГОСУДАРСТВЕННОЙ СТАТИСТИКИ

ПРИКАЗ

от 15 сентября 2025 г. N 479

ОБ УТВЕРЖДЕНИИ ОФИЦИАЛЬНЫХ СТАТИСТИЧЕСКИХ МЕТОДОЛОГИЙ

ПО ОПРЕДЕЛЕНИЮ ОСНОВНЫХ ПОКАЗАТЕЛЕЙ ДЕЯТЕЛЬНОСТИ

ИНДИВИДУАЛЬНЫХ ПРЕДПРИНИМАТЕЛЕЙ, МАЛЫХ

ПРЕДПРИНИМАТЕЛЕЙ И МИКРОПРЕДПРИЯТИЙ

В соответствии с частью 2 статьи 7 Федерального закона от 29 ноября 2007 г. N 282-ФЗ "Об официальном статистическом учете и системе государственной статистики в Российской Федерации", подпунктом 5.2 пункта 5 Положения о Федеральной службе государственной статистики, утвержденного постановлением Правительства Российской Федерации от 2 июня 2008 г. N 420, и в целях реализации позиций 1.6.2, 1.6.3, 1.6.8 Федерального плана статистических работ, утвержденного распоряжением Правительства Российской Федерации от 6 мая 2008 г. N 671-р, приказываю:

утвердить прилагаемые:

официальную статистическую методологию по определению основных показателей деятельности индивидуальных предпринимателей согласно приложению N 1 к настоящему приказу;

официальную статистическую методологию по определению основных показателей деятельности малых предприятий (без микропредприятий) согласно приложению N 2 к настоящему приказу;

официальную статистическую методологию по определению основных показателей деятельности микропредприятий согласно приложению N 3 к настоящему приказу.

Заместитель руководителя

С.Н.ЕГОРЕНКО

Приложение N 1

Утверждена

приказом Росстата

от 15.09.2025 N 479

ОФИЦИАЛЬНАЯ СТАТИСТИЧЕСКАЯ МЕТОДОЛОГИЯ

ПО ОПРЕДЕЛЕНИЮ ОСНОВНЫХ ПОКАЗАТЕЛЕЙ ДЕЯТЕЛЬНОСТИ

ИНДИВИДУАЛЬНЫХ ПРЕДПРИНИМАТЕЛЕЙ

I. Общие положения

1.1. Официальная статистическая методология "Основные показатели деятельности индивидуальных предпринимателей" (далее - Методология) разработана в соответствии с частью 1 статьи 7 и принципами официального статистического учета, определенными статьей 4 Федерального закона от 29 ноября 2007 г. N 282-ФЗ "Об официальном статистическом учете и системе государственной статистики в Российской Федерации".

Федеральное статистическое наблюдение о деятельности индивидуального предпринимателя (далее - наблюдение) и расчет показателей является выборочным и осуществляется с применением настоящей Методологии и инструментария (формы федерального статистического наблюдения) в соответствии с подпунктами 5.2 и 5.5 пункта 5 Положения о Федеральной службе государственной статистики, утвержденного постановлением Правительства Российской Федерации от 2 июня 2008 г. N 420 и со статьей 4 Федерального закона от 24 июля 2007 г. N 209-ФЗ "О развитии малого и среднего предпринимательства в Российской Федерации".

1.2. Настоящая Методология определяет основные положения наблюдения, порядок сбора первичных статистических данных, алгоритмы формирования показателей.

Официальная статистическая информация об основных показателях деятельности индивидуальных предпринимателей в единой методологической базе с информацией по юридическим лицам используются для осуществления оценки экономики на макроуровне.

1.3. Наблюдение и расчет показателей осуществляется в соответствии с позицией 1.6.2 Федерального плана статистических работ, утвержденного распоряжением Правительства Российской Федерации от 6 мая 2008 г. N 671-р, по Российской Федерации, субъектам Российской Федерации, федеральным округам, видам экономической деятельности.

1.4. Субъектом официального статистического учета, ответственным за формирование и предоставление (распространение) официальной статистической информации об основных показателях деятельности индивидуальных предпринимателей, является Федеральная служба государственной статистики (далее - Росстат).

II. Условные обозначения (сокращения)

2.1. В Методологии применяются условные обозначения и сокращения:

ЕГРИП

Единый государственный реестр индивидуальных предпринимателей

ФНС России

Федеральная налоговая служба

АС ГС ОФСН

Автоматизированная система генеральной совокупности объектов федерального статистического наблюдения

ОКВЭД2

Общероссийский классификатор видов экономической деятельности

ОКАТО

Общероссийский классификатор объектов административно-территориального деления

ОКЕИ

Общероссийский классификатор единиц измерения

III. Основные понятия и определения

3.1. Для целей настоящей Методологии используются следующие понятия и определения.

Индивидуальный предприниматель - гражданин (физическое лицо) зарегистрированный в установленном порядке в реестре ЕГРИП и осуществляющий предпринимательскую деятельность без образования юридического лица, главы крестьянских (фермерских) хозяйств (статья 11 Налогового Кодекса Российской Федерации (часть первая) от 31 июля 1998 г. N 146-ФЗ);

Репрезентативность - это свойство выборки (выборочной совокупности) отражать характеристики генеральной совокупности. Это определяет, насколько возможно обобщать результаты исследования с привлечением определенной выборки на всю генеральную совокупность, из которой она была собрана.

IV. Основные показатели

4.1. В соответствии с настоящей Методологией формируется официальная статистическая информация об основных показателях деятельности индивидуальных предпринимателей:

Численность фактически действующих индивидуальных предпринимателей, человек (код по ОКЕИ - 792);

Число занятых в бизнесе индивидуального предпринимателя, человек (код по ОКЕИ - 792);

Численность наемных работников, занятых в сфере предпринимательской деятельности без образования юридического лица, человек (код по ОКЕИ - 792);

Объем выручки (с учетом налогов и аналогичных обязательных платежей) от продажи товаров, продукции, работ, услуг по всем видам деятельности, тысяча рублей (код по ОКЕИ - 384).

4.2. Расчет основных показателей деятельности индивидуальных предпринимателей осуществляется по Российской Федерации, субъектам Российской Федерации, федеральным округам, видам экономической деятельности - ежегодно.

V. Методологические основы, алгоритмы формирования

и формулы расчета

5.1. Основные принципы организации статистического наблюдения за деятельностью индивидуальных предпринимателей:

Основные показатели деятельности индивидуальных предпринимателей формируются по данным сводных итогов годовой формы федерального статистического наблюдения N 1-ИП "Сведения о деятельности индивидуального предпринимателя" в части индивидуальных предпринимателей, для которых розничная торговля не является основным видом деятельности и формы N 1-ИП (торговля) "Сведения о деятельности индивидуального предпринимателя в розничной торговле" в части индивидуальных предпринимателей, зарегистрированных кодами ОКВЭД2 47. По результатам проведения этих обследований предусмотрено объединение полученных сводных итогов по всему массиву индивидуальных предпринимателей.

Обследование индивидуальных предпринимателей осуществляется путем проведения выборочного статистического наблюдения на основе представительной (репрезентативной) выборки.

Порядок осуществления выборочных обследований установлен постановлением Правительства Российской Федерации от 16 февраля 2008 г. N 79 "О порядке проведения выборочных статистических наблюдений за деятельностью субъектов малого и среднего предпринимательства".

Объектами наблюдения для формирования основы выборки являются индивидуальные предприниматели, включенные в ЕГРИП ФНС России в соответствии Федеральным законом от 8 августа 2001 г. N 129-ФЗ "О государственной регистрации юридических лиц и индивидуальных предпринимателей", в том числе отвечающие требованиям Федерального закона от 24 июля 2007 г. N 209-ФЗ "О развитии малого и среднего предпринимательства в Российской Федерации" и постановлению Правительства Российской Федерации от 4 апреля 2016 г. N 265 "О предельных значениях дохода, полученного от осуществления предпринимательской деятельности, для каждой категории субъектов малого и среднего предпринимательства".

По результатам выборочного обследования осуществляется распространение оценок данных на генеральную совокупность объектов исследования, формируются сводные итоги.

5.2. Система классификаторов, используемых для расчета показателей деятельности индивидуальных предпринимателей:

Общероссийский классификатор видов экономической деятельности (ОКВЭД2) ОК 029-2014 (КДЕС Ред. 2) содержит записи всех группировок видов экономической деятельности, представленных иерархически. Для идентификации группировок каждая запись классификатора имеет кодовое обозначение, состоящее из цифр (от двух до шести) с последовательным методом кодирования.

Общероссийский классификатор объектов административно-территориального деления (ОКАТО) ОК 019-95 предназначен для обеспечения сопоставимости и автоматизированной обработки информации в разрезах административно-территориального деления и используется для формирования показателей по субъектам Российской Федерации.

Общероссийский классификатор единиц измерения (ОКЕИ) ОК 015-94 предназначен для количественной оценки показателей и обеспечения единства измерений. Идентификационный код единицы измерения представляет собой трехзначный или четырехзначный цифровой десятичный код, присвоенный по порядковой системе кодирования.

5.3. Формирование базовой совокупности:

Базовая совокупность (основа выборки) представляет собой упорядоченный перечень единиц наблюдения, формируемый по критериям отбора соответствующим задачам обследования. Источником для формирования основы выборки является АС ГС ОФСН.

Обследованию подлежат индивидуальные предприниматели (далее - ИП), включенные в выборочную совокупность по форме N 1-ИП "Сведения о деятельности индивидуального предпринимателя" и по форме N 1-ИП (торговля) "Сведения о деятельности индивидуального предпринимателя в розничной торговле".

5.4. Формирование выборочной совокупности:

Формирование выборочной совокупности описано в экономическом описании разработки показателей по формам N 1-ИП "Сведения о деятельности индивидуального предпринимателя", N 1-ИП (торговля) "Сведения о деятельности индивидуального предпринимателя в розничной торговле".

Ограничения, присущие выборочному методу наблюдения, не позволяют формировать показатели, характеризующие деятельность ИП, в группировках по видам экономической деятельности ниже подклассов (3 знака) ОКВЭД2.

5.5. Формирование выходных показателей:

Показатель "Численность фактически действующих индивидуальных предпринимателей" формируется по объектам, у которых проставлена метка "да" по Вопросу "Осуществляли ли Вы предпринимательскую деятельность в отчетном году?" в бланке форм N 1-ИП "Сведения о деятельности индивидуального предпринимателя" и N 1-ИП (торговля) "Сведения о деятельности индивидуального предпринимателя в розничной торговле".

Показатель "Численность работающих в бизнесе индивидуального предпринимателя по категориям" формируется как сумма показателей: "Численность индивидуальных предпринимателей", "Численность партнеров", "Численность помогающих членов семьи", "Численность наемных работников".

Показатель "Численность работающих в бизнесе индивидуального предпринимателя по категориям" по категории - индивидуальные предприниматели формируется на основе ответов на Вопросы 1 и 2 в бланке форм N 1-ИП "Сведения о деятельности индивидуального предпринимателя" и N 1-ИП (торговля) "Сведения о деятельности индивидуального предпринимателя в розничной торговле". В показатель входят все ИП вне зависимости от того, осуществляли ли они предпринимательскую деятельность или нет, и в каком качестве (наемный работник).

Показатель "Объем выручки (с учетом налогов и аналогичных обязательных платежей) от продажи товаров, продукции, работ, услуг" разрабатывается по основным и фактическим видам экономической деятельности.

VI. Источники набора данных, информации

6.1. Источником информации, используемой в настоящей методологии, являются первичные статистические данные по формам федерального статистического наблюдения:

N 1-ИП "Сведения о деятельности индивидуального предпринимателя";

N 1-ИП (торговля) "Сведения о деятельности индивидуального предпринимателя в розничной торговле".

6.2. Сведения по вышеуказанным формам предоставляют физические лица, занимающиеся предпринимательской деятельностью без образования юридического лица (индивидуальные предприниматели), ежегодно на основе выборочного наблюдения в сроки, указанные на бланках форм.

VII. Порядок уточнения и предоставления (распространения)

официальной статистической информации

7.1. Информация по показателям ИП представлена в информационно-телекоммуникационной сети "Интернет":

на официальном сайте Росстата по адресу: http://rosstat.gov.ru/Статистика/Официальная статистика/Институциональные преобразования в экономике/Индивидуальные предприниматели (по данным выборочных обследований;

в Единой межведомственной информационно-статистической системе (ЕМИСС) по адресу: www.fedstat.ru/Ведомства/1. Федеральная служба государственной статистики/1.6. Показатели, характеризующие институциональные преобразования в экономике, малое предпринимательство/1.6.2. Основные показатели деятельности индивидуальных предпринимателей.

7.2. Срок предоставления (распространения) официальной статистической информации ежегодно (кроме периодов проведения сплошного статистического наблюдения за деятельностью субъектов малого и среднего предпринимательства) в соответствии со сроками, предусмотренными позицией 1.6.2 Федерального плана статистических работ.

Приложение N 2

Утверждена

приказом Росстата

от 15.09.2025 N 479

ОФИЦИАЛЬНАЯ СТАТИСТИЧЕСКАЯ МЕТОДОЛОГИЯ

ПО ОПРЕДЕЛЕНИЮ ОСНОВНЫХ ПОКАЗАТЕЛЕЙ ДЕЯТЕЛЬНОСТИ

МАЛЫХ ПРЕДПРИЯТИЙ (БЕЗ МИКРОПРЕДПРИЯТИЙ)

I. Общие положения

1.1. Официальная статистическая методология "Основные показатели деятельности малых предприятий (без микропредприятий)" (далее - Методология) разработана в соответствии с частью 1 статьи 7 и принципами официального статистического учета, определенными статьей 4 Федерального закона от 29 ноября 2007 г. N 282-ФЗ "Об официальном статистическом учете и системе государственной статистики в Российской Федерации".

Федеральное статистическое наблюдение за основными показателями деятельности малых предприятий (без микропредприятий) является выборочным (далее - наблюдение). Расчет показателей и осуществляется с применением настоящей Методологии и инструментария (формы федерального статистического наблюдения) в соответствии с подпунктами 5.2 и 5.5 пункта 5 Положения о Федеральной службе государственной статистики, утвержденного постановлением Правительства Российской Федерации от 2 июня 2008 г. N 420.

1.2. Настоящая Методология представляет собой экономическое описание процесса формирования официальной статистической информации об основных показателях деятельности малых предприятий (без микропредприятий), определяет основные положения наблюдения, порядок сбора первичных статистических данных, алгоритмы формирования показателей.

Официальная статистическая информация об основных показателях деятельности малых предприятий используется при:

характеристики сектора малого бизнеса в экономике России;

проведении различных макроэкономических и прогнозных расчетов;

формировании информации по полному кругу хозяйствующих субъектов.

1.3. Расчет показателей осуществляется в соответствии с позицией 1.6.3 Федерального плана статистических работ, утвержденного распоряжением Правительства Российской Федерации от 6 мая 2008 г. N 671-р, по Российской Федерации, субъектам Российской Федерации, федеральным округам, видам экономической деятельности.

1.4. Субъектом официального статистического учета, ответственным за формирование и предоставление (распространение) официальной статистической информации об основных показателях деятельности малых предприятий (без микропредприятий), является Федеральная служба государственной статистики (далее - Росстат).

II. Условные обозначения (сокращения)

2.1. В Методологии применяются условные обозначения и сокращения:

АС ГС ОФСН

Автоматизированная система Генеральной совокупности объектов федерального статистического наблюдения

БД

База данных

ЕМИСС

Единая межведомственная информационно-статистическая система

ЕРМСП

Единый реестр субъектов малого и среднего предпринимательства

ЕХД

Единое хранилище данных

НСИ

Нормативно-справочная информация

ОКАТО

Общероссийский классификатор объектов административно-территориального деления

ОКВЭД2

Общероссийский классификатор видов экономической деятельности

ОКЕИ

Общероссийский классификатор единиц измерения

ОКПО

Общероссийского классификатора предприятий и организаций

ОКТМО

Общероссийский классификатор территорий муниципальных образований

ОКФС

Общероссийский классификатор форм собственности

ОКЭР

Общероссийский классификатор экономических регионов

ПО

Программное обеспечение

Территориальный орган Росстата

Территориальный орган Федеральной службы государственной статистики

УИС СТАТЭК

Программное обеспечение информационно-вычислительной системы Росстата

III. Основные понятия и определения

3.1. Все понятия и определения, приведенные в настоящей Методологии, используются исключительно в целях формирования официальной статистической информации по основным показателям деятельности малых предприятий (без микропредприятий).

3.2. Для целей настоящей Методологии используются следующие понятия и определения:

базовая совокупность (основа выборки) представляет собой упорядоченный перечень единиц наблюдения (юридических лиц), формируемая по критериям отбора соответствующим задачам обследования. Источником для формирования основы Выборки является АС ГС ОФСН;

выборочная совокупность объектов наблюдения (далее - выборка) является основой для создания перечня респондентов, подлежащих статистическому обследованию по форме федерального статистического наблюдения N ПМ "Сведения об основных показателях деятельности малого предприятия" (далее - форма N ПМ);

респонденты - юридические лица, предоставляющие первичные статистические данные (далее - данные) по форме N ПМ.

IV. Основные показатели

4.1. В соответствии с настоящей Методологией формируется официальная статистическая информация по основным показателям деятельности малых предприятий (без микропредприятий):

средняя численность работников малых предприятий (без микропредприятий), человек (код по ОКЕИ - 792);

среднесписочная численность работников малых предприятий (без внешних совместителей) (без микропредприятий), человек (код по ОКЕИ - 792);

оборот (без НДС, акцизов и аналогичных обязательных платежей) малых предприятий (без микропредприятий), тысяча рублей (код по ОКЕИ - 384);

отгружено товаров собственного производства, выполнено работ и услуг собственными силами малыми предприятиями (без микропредприятий), тысяча рублей (код по ОКЕИ - 384);

продано товаров несобственного производства малыми предприятиями (без микропредприятий), тысяча рублей (код по ОКЕИ - 384).

Средняя численность работников включает среднесписочную численность работников, среднюю численность внешних совместителей, среднюю численность работников, выполнявших работы по договорам гражданско-правового характера, за отчетный период.

Среднесписочная численность работников (без внешних совместителей) определяется путем распространения на генеральную совокупность данных по показателю Среднесписочная численность работников (без внешних совместителей формы N ПМ.

Оборот - общий объем в стоимостном выражении отгруженных товаров собственного производства, выполненных работ и оказанных услуг собственными силами, проданных товаров, приобретенных для перепродажи.

Показатели Отгружено товаров собственного производства, выполнено работ и услуг собственными силами малыми предприятиями (без микропредприятий) и Продано товаров несобственного производства малыми предприятиями (без микропредприятий) формируются путем распространения на генеральную совокупность данных по соответствующим показателям формы N ПМ.

4.2. Показатели формируются по Российской Федерации, субъектам Российской Федерации, федеральным округам, видам экономической деятельности ежеквартально (нарастающим итогом).

V. Методологические основы, алгоритмы формирования

и формулы расчета

5.1. Система классификаторов, используемых для расчета основных показателей деятельности малых предприятий (без микропредприятий):

Общероссийский классификатор видов экономической деятельности (ОКВЭД2) ОК 029-2014 (КДЕС Ред. 2) содержит записи всех группировок видов экономической деятельности, представленных иерархически. Для идентификации группировок каждая запись классификатора имеет кодовое обозначение, состоящее из цифр (от двух до шести) с последовательным методом кодирования.

Общероссийский классификатор объектов административно-территориального деления (ОКАТО) ОК 019-95 предназначен для обеспечения сопоставимости и автоматизированной обработки информации в разрезах административно-территориального деления и используется для формирования показателей по субъектам Российской Федерации.

Общероссийский классификатор единиц измерения (ОКЕИ) ОК 015-94 предназначен для количественной оценки показателей и обеспечения единства измерений. Идентификационный код единицы измерения представляет собой трехзначный или четырехзначный цифровой десятичный код, присвоенный по порядковой системе кодирования.

5.2. Основные принципы и этапы организации статистического наблюдения за основными показателями деятельности малых предприятий (без микропредприятий):

Обследование малых предприятий осуществляется путем проведения ежеквартального выборочного статистического наблюдения на основе представительной (репрезентативной) выборки.

Порядок осуществления выборочных обследований установлен постановлением Правительства Российской Федерации от 16 февраля 2008 года N 79 "О порядке проведения выборочных статистических наблюдений за деятельностью субъектов малого и среднего предпринимательства".

Объектами наблюдения являются юридические лица, отвечающие условиям отнесения к субъектам малого предпринимательства в соответствии с Федеральным законом от 24 июля 2007 г. N 209-ФЗ "О развитии малого и среднего предпринимательства в Российской Федерации" и постановлением Правительства Российской Федерации от 4 апреля 2016 г. N 265 "О предельных значениях дохода, полученного от осуществления предпринимательской деятельности, для каждой категории субъектов малого и среднего предпринимательства" и включены в ЕРМСП Федеральной налоговой службой (далее - ФНС России) в соответствии со статьей 4.1 вышеуказанного закона.

Формирование выборки (перечня респондентов) осуществляется методом случайного расслоенного отбора с использованием генератора случайных чисел, посредством УИС СТАТЭК.

Периодичность формирования выборочной совокупности - ежегодно на федеральном уровне со стратификацией по субъектам Российской Федерации и видам экономической деятельности.

Обследованию подлежат юридические лица - малые предприятия (кроме микропредприятий), включенные в выборочную совокупность и осуществляющие все виды экономической деятельности.

По результатам выборочного обследования осуществляется распространение оценок данных на генеральную совокупность объектов исследования, также формируются сводные итоги.

Этапы работ регионального уровня:

1) загрузка списка предприятий для выборочного обследования в программный комплекс УИС СТАТЭК;

2) оповещение предприятий, включенных в выборочную совокупность.

3) сбор информации от малых предприятий, попавших в выборочную совокупность, контроль и корректировка первичных отчетов;

4) распространение выборочных данных на генеральную совокупность, анализ полученных данных, проведение контролей сводных итогов, расчет характеристик точности получаемых результатов, передача сводных итогов регионального уровня на федеральный уровень;

5) выгрузка данных в архивные базы и другие программные комплексы по работам регионального уровня;

6) предоставление информации пользователям регионального уровня.

Этапы работ федерального уровня:

1) формирование базовой совокупности;

2) формирование выборочной совокупности малых предприятий

а) стратификация (разделение) совокупности на массивы и слои,

б) расчет объема выборочной совокупности,

в) расчет весов объектов;

3) загрузка перечня организаций выборочной совокупности в АС ГС ОФСН (далее в систему web-сбора данные переводятся автоматически);

4) формирование в УИС СТАТЭК итогов обследования как в целом по Российской Федерации, так и по федеральным округам, проведение контролей, расчет характеристик точности получаемых результатов; анализ полученных данных;

5) выгрузка данных в архивные базы и другие программные комплексы по работам федерального уровня;

6) предоставление информации пользователям федерального уровня.

Также на федеральном уровне осуществляется размещение на Интернет-портале Росстата формы и указаний по ее заполнению.

5.3. Формирование базовой совокупности (основы выборки):

Базовая совокупность формируется на федеральном уровне автоматически в АС ГС ОФСН в блоке "Юридические лица" по следующим критериям отбора:

код 1 - малые предприятия (поле 74 "Тип предприятия");

код 1 - объект в статусе юридические лица (поле 9 "Тип объекта");

за исключением:

код 1 - исключенные объекты признак (поле 50 "Тип актуализации");

код ОКВЭД2 раздел T "Деятельность домашних хозяйств как работодателей; недифференцированная деятельность частных домашних хозяйств по производству товаров и оказанию услуг для собственного потребления" и раздел U "Деятельность экстерриториальных организаций и органов", включая входящие, и коды по ОКВЭД2 97, 98, 99 включая входящие (поле 21 "ОКВЭД2 Основной вид деятельности, заявленный при регистрации);

код 3 00 05 - паевые инвестиционные фонды (поле 26 "ОКОПФ");

код 55000000000 - осуществляет деятельность на территории другого государства (поле 10 "ОКАТО юридического адреса, заявленного при регистрации");

код 171 - хозяйствующие субъекты, в отношении которых не проводятся федеральные статистические наблюдения (поле 97).

По каждому объекту наблюдения из АС ГС ОФСН выгружается информация в следующей структуре:

код ОКПО объекта/идентификационный номер ТОСП (поле 1);

код ОКПО юридического лица (поле 2);

код "Тип объекта" "1" - ЮЛ (поле 9);

краткое наименование объекта (поле 6);

код ОКАТО юридического лица, заявленный при регистрации (поле 10);

код ОКТМО юридического лица, заявленный при регистрации (поле 13);

код ОКВЭД2 основного вида деятельности, заявленный при регистрации (поле 21);

код ОКФС (поле 25);

код ОКОПФ (поле 26);

адрес регистрации (поле 40);

средняя численность работников (поле 84);

выручка (нетто) от продажи товаров, продукции, работ, услуг (без НДС, акцизов и других аналогичных платежей) (поле 87);

оборот организации (поле 90);

тип предприятия (поле 74);

код КИСЭ (поле 76);

признак присвоения кодов КИСЭ (поле 77).

5.4. Формирование выборочной совокупности (перечня респондентов) для обследования:

Для формирования выборочной совокупности (выборки) на федеральном уровне осуществляются предварительные преобразования в части данных базовой совокупности:

код по ОКВЭД2 укрупняется до 3-х знаков (на уровень подкласса);

код по ОКАТО укрупняется до 2-х знаков для субъектов Российской Федерации, до 5-ти знаков для автономных округов (Ненецкий АО, Ямало-Ненецкий АО, Ханты-Мансийский АО - Югра).

Если значение показателя "выручка (нетто) от продажи товаров, продукции, работ, услуг (за минусом налога на добавленную стоимость, акцизов и аналогичных обязательных платежей)" меньше "нуля", то значение заменяется на "нуль";

для значений равного нулю или пропущенного значения "выручка" заменяется на ненулевое значение "оборот".

Ограничения, присущие выборочному методу наблюдения, не позволяют формировать показатели, характеризующие деятельность субъектов малого предпринимательства, в группировках по видам экономической деятельности ниже подклассов (3 знака) по кодам ОКВЭД2.

Группировка предприятий по размеру показателя "выручка" осуществляется для слоев с большим числом предприятий, если страта содержит:

от 200 до 799 объектов - на 2 группы с применением формулы медианы;

от 800 объектов и выше - на 4 группы с применением формулы расчета квартилей.

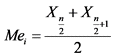
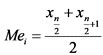
Медиана (Mei) предварительно ранжированного слоя рассчитывается по формулам:

1) если в ранжированном слое нечетное количество объектов

,

где

i - номер слоя;

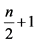
n - число элементов в слое;

- элемент в слое с номером-;

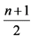
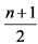
2) если в ранжированном слое четное количество объектов, то медиана данного слоя рассчитывается как среднее значение двух элементов ранжированного ряда с номерами и + 1

.

Расчет для 4-х квартилей применяется аналогичный подход по ранее рассчитанному медианному слою.

Базовая совокупность делится на три массива.

Первый массив - включает единицы (предприятия) с численностью более 100 человек и выручкой более 800 миллионов рублей, которые подлежат обследованию в сплошном режиме.

Второй массив - содержит единицы базовой совокупности с заполненными значениями поля "выручка" не включенные в первый массив.

Третий массив - включает остальные единицы (предприятия) с нулевыми или пропущенными значениями поля "выручка".

Все предприятия первого массива включаются в выборочную совокупность с весом "1".

Для предприятий второго массива используется метод расслоенный случайный отбор. Число отобранных единиц слоя 25% (но не менее 10 единиц из слоя).

Для предприятий третьего массива используется метод расслоенный пропорциональный случайный отбор. Число отобранных единиц слоя 10% (но не менее 10 единиц из слоя).

Из каждого слоя второго и третьего массивов методом простого случайного отбора извлекаются единицы (предприятия) в соответствии с вышеопределенными объемами выборки.

Для единиц второго и третьего массива, попавших в выборочную совокупность, рассчитываются вероятность включения в выборку и выборочный вес.

Вероятности включения в Выборку: если единица (k) относится к страте (h)

.

Выборочный вес

.

В результате проведенных преобразований объединенные три массива формируют единую выборочную совокупность (перечень респондентов) с весовым значением каждого объекта наблюдения для проведения выборочного обследования по форме N ПМ.

На федеральном уровне формируются файлы в соответствии с кодами общероссийского классификатора предприятий и организаций (ОКПО) по каждому субъекту Российской Федерации. Программными средствами осуществляется оценка полноты сбора отчетности от респондентов, включенных в выборочную совокупность.

5.5. Описание алгоритмов обработки регионального уровня:

Источниками входной информации являются выборочные веса и пообъектные данные формы N ПМ.

В обработку отчетного периода включаются первичные статистические отчеты по форме N ПМ в соответствии с перечнем объектов выборочного каталога.

В течение годового отчетного периода у респондента фиксируются зарегистрированные реквизиты: вид экономической деятельности (ОКВЭД2) и территории (ОКАТО).

Таблица 1

Перечень входных показателей формы

N п/п

Код показателя

Наименование показателя

Периодичность

Единица измерения по ОКЕИ

Строка и графа формы

1

1121100010001

Средняя численность работников

Квартальная (нарастающим итогом)

Человек

стр. 02 гр. 3

2

1121100010003

Среднесписочная численность работников без внешних совместителей

Квартальная (нарастающим итогом)

Человек

стр. 03 гр. 3

3

1121100010005

Средняя численность внешних совместителей

Квартальная (нарастающим итогом)

Человек

стр. 04 гр. 3

4

1121100010007

Средняя численность работников, выполнявших работы по договорам гражданско-правового характера

Квартальная (нарастающим итогом)

Человек

стр. 05 гр. 3

5

2152320020022

Фонд начисленной заработной платы работникам

Квартальная (нарастающим итогом)

Тысяча рублей

стр. 06 гр. 3

6

2152320020003

Фонд начисленной заработной платы работникам списочного состава (без внешних совместителей)

Квартальная (нарастающим итогом)

Тысяча рублей

стр. 07 гр. 3

7

2152320020005

Фонд начисленной заработной платы внешним совместителям

Квартальная (нарастающим итогом)

Тысяча рублей

стр. 08 гр. 3

8

2152320020007

Фонд начисленной заработной платы работникам, выполнявшим работы по договорам гражданско-правового характера и другим лицам несписочного состава

Квартальная (нарастающим итогом)

Тысяча рублей

стр. 09 гр. 3

9

2131100020021

Отгружено товаров собственного производства, выполнено работ и услуг собственными силами (без НДС, акцизов и аналогичных обязательных платежей) субъектами малого предпринимательства

Квартальная (нарастающим итогом)

Тысяча рублей

стр. 10 гр. 3

10

2131100020091

Отгружено товаров собственного производства, выполнено работ и услуг собственными силами (без НДС и акциза) в порядке розничной торговли

Квартальная (нарастающим итогом)

Тысяча рублей

стр. 11 гр. 3

11

2131100020092

Продукция общественного питания (из отгруженных товаров собственного производства, выполненных работ и услуг собственными силами)

Квартальная (нарастающим итогом)

Тысяча рублей

стр. 12 гр. 3

12

2135000020005

Продано товаров несобственного производства (без НДС, акцизов и аналогичных обязательных платежей)

Квартальная (нарастающим итогом)

Тысяча рублей

стр. 13 гр. 3

13

2135000020018

Продано товаров несобственного производства (без НДС и акцизов) в порядке розничной торговли

Квартальная (нарастающим итогом)

Тысяча рублей

стр. 14 гр. 3

14

1141100020001

(источники инвестиций - 8)

Инвестиции в основной капитал (в части новых, а также приобретенных по импорту основных средств)

Квартальная (нарастающим итогом)

Тысяча рублей

стр. 15 гр. 3

15

1313110010002

Количество отработанных работниками списочного состава человеко-часов

Годовая (За отчетный год)

Человеко-час

стр. 16 гр. 3

16

2152320020025

Выплаты социального характера работникам

Годовая (За отчетный год)

Тысяча рублей

стр. 17 гр. 3

17

2153000020001

(перечень затрат - 203)

Затраты на научные исследования и разработки

Годовая (За отчетный год)

Тысяча рублей

стр. 18 гр. 3

18

2151000020001

(направление расходов - 85)

Расходы на приобретение товаров для перепродажи

Годовая (За отчетный год)

Тысяча рублей

стр. 19 гр. 3

19

2151000020045

Расходы на приобретение объектов недвижимости, приобретенных для перепродаж и (без НДС и других аналогичных платежей)

Годовая (За отчетный год)

Тысяча рублей

стр. 20 гр. 3

20

2151000020044

Стоимость проданных объектов недвижимости, приобретенных для перепродажи (без НДС и других аналогичных платежей)

Годовая (За отчетный год)

Тысяча рублей

стр. 21 гр. 3

21

2151000020075

Расходы на приобретение сырья, материалов, топлива, энергии, воды, покупных полуфабрикатов и комплектующих изделий, использованных для производства и реализации продукции (товаров, работ, услуг), тыс. руб.

Годовая (За отчетный год)

Тысяча рублей

стр. 22 гр. 3

22

2151000020076

Расходы на аренду машин и оборудования, транспортных средств, тыс. руб.

Годовая (За отчетный год)

Тысяча рублей

стр. 23 гр. 3

23

2151000020053

Расходы на аренду помещений, тыс. руб.

Годовая (За отчетный год)

Тысяча рублей

стр. 24 гр. 3

24

2151000020054

Расходы на оплату работ и услуг сторонних организаций, тыс. руб.

Годовая (За отчетный год)

Тысяча рублей

стр. 25 гр. 3

25

1141100020001

(источники инвестиций - 11)

Инвестиции в основной капитал (в части новых, а также приобретенных по импорту основных средств) за счет бюджетных средств

Годовая (За отчетный год)

Тысяча рублей

стр. 26 гр. 3

26

1141100020001

(источники инвестиций - 12)

Инвестиции в основной капитал, осуществленные организацией за счет федерального бюджета

Годовая (За отчетный год)

Тысяча рублей

стр. 27 гр. 3

Ежеквартально на региональном уровне формируются сводные данные по малым предприятиям (без микропредприятий).

Веденные (загруженные из web-сбора) первичные отчеты контролируются.

Производится проверка заполнения бланка и обработка неответов.

Выявляются нетипичные единицы.

Производится перевзвешивание.

Осуществляется распространение данных на генеральную совокупность.

Формируются сводные итоги регионального уровня.

Проверяется соблюдение заложенных контролей.

Рассчитываются коэффициенты вариации.

Сформированная информация передается на федеральный уровень для получения сводных итогов деятельности малых предприятий по Российской Федерации, выгружается для использования в иных программных комплексах (например, для формирования информации по полному кругу хозяйствующих субъектов), а также предоставляется пользователям регионального уровня.

При проверке заполнения бланка программно предприятию проставляется первоначальный код ответа:

0 - отчет не получен;

1 - отчет получен.

Отчет считается полученным (значение кода "1"), если заполнена любая графоклетка (включая метку по строке 1). В противном случает получаем полный неответ.

В I квартале отчетного года автоматически проставляется код ответа равный 0, если имеет место полный неответ (по данному коду ОКПО не заполнен ни один показатель) и код ответа равный 1, если полного неответа нет.

Если предприятие в каком-либо квартале сдало отчет, а затем прекратило существование, то возможно вручную проставить метку 3 "установлено, что предприятие закрыто или приостановило свою деятельность".

Для предприятий с кодом ответа "3" пропущенные значения показателей заполняются значениями соответствующих показателей этого предприятия в предшествующий период отчетного года при их наличии (Например, данные за январь - март копируются в январь - июнь и так далее).

Если предварительно установленная метка "0" не изменена на метку "3", то данное предприятие включается в процедуру перевзвешивания.

Подсчитывается количество единиц, соответствующее каждому значению переменной ответов (по кодам 0, 1, 3) как процентное отношение к объему выборки как в целом по совокупности (по всей совокупности, а также в разрезе видов экономической деятельности).

Анализируются данные полученных таблиц в целях полноты сбора по каталогу респондентов за отчетный период и для повышения процента сбора.

Выявление и обработка нетипичных единиц осуществляется в соответствии с утвержденными Госкомстатом России от 25 декабря 2001 г. "Методологическими рекомендациями по выявлению и обработке нетипичных единиц наблюдения при проведении выборочного обследования малых предприятий".

Проводится анализ полученной таблицы и из списка выбираются предприятия, которые следует отнести к нетипичным.

При обработке нетипичных единиц выявленные нетипичные организации переводятся в первый массив с выборочным весом, равным 1.

Выборочный вес единиц остальных организаций в соответствующей стратах (слоях) второго массива пересчитываются по следующей формуле

,

где:

k - число нетипичных единиц;

nhres - число ответивших единиц в каждом слое.

При обработке полных неответов методом перевзвешивания (для второго и третьего массивов) пересчитываются выборочные веса единиц наблюдения с учетом только ответивших единиц (с кодом ответа = 1).

Для этого сначала рассчитывают число ответивших единиц в каждом слое nhres, а затем новый выборочный вес

.

Таким образом, новый вес ответивших предприятий равен отношению объема слоя в генеральной совокупности к числу ответивших единиц, принадлежащих к этому слою. При этом вес неответивших предприятий обнуляется.

Для малых предприятий (без микропредприятий), отчитавшихся по форме N ПМ, предусмотрены своды данных:

сводные данные без учета распространения;

сводные данные с учетом распространения.

Сводные данные без учета распространения на генеральную совокупность формируются простым суммирование полученных первичных отчетов по схеме сборки по видам экономической деятельности.

Распространение данных на генеральную совокупность малых предприятий осуществляется по виду экономической деятельности по регистрации предприятия.

Значение оценки показателя по данным выборки (распространение данных) производится по формуле для второго и третьего массивов

,

где

- оценка по выборке суммарного значения показателя для отрасли с номером j;

nj - число единиц выборки, принадлежащих разрезу разработки с номером j;

yk - значение признака y (выручка или средняя численность работников) k-ой единицы наблюдения;

wk - выборочный вес единицы (k), который обратно пропорционален вероятности включения наблюдений в выборку.

В фонде данных "Сводные данные с учетом распространения" производится расчет итогов по видам экономической деятельности из округленных данных в целых единицах для показателей:

"Число предприятий"

"Средняя численность работников списочного состава (без внешних совместителей)", 1121100010003

"Средняя численность внешних совместителей", 1121100010005

"Средняя численность работников, выполнявших работы по договорам гражданско-правового характера", 1121100010007

Показатель "Средняя численность работников - всего" (1121100010001) рассчитывается как сумма показателей:

1121100010001 = 1121100010003 + 1121100010005 + 1121100010007

(стр. 02 гр. 3 = стр. (03 + 04 + 05) по гр. 3)

Показатель "Фонд начисленной заработной платы - всего" рассчитывается как сумма показателей (результат с одним десятичным знаком): 2152320020022 = 2152320020003 + 2152320020005+ 2152320020007 (стр. 06 гр. 3 = (стр. 07 + 08 + 09) по гр. 3).

Фонд начисленной заработной платы работников списочного состава и внешних совместителей рассчитывается как сумма показателей:

2152320020018 = 2152320020003 + 2152320020005.

В случаях, когда предприятие не предоставило отчет по причине приостановки деятельности и его данные были автоматически перенесены из предыдущего отчетного периода, перенесенные данные о среднесписочной численности работников без внешних совместителей (строка 03 графа 3 формы N ПМ, код 1121100010003) уточняются по следующему алгоритму:

для отчетного периода за январь - июнь:

отчиталось за январь - март Чкорр. = Ч x 3 / 6 = Ч / 2;

для отчетного периода за январь - сентябрь:

если отчиталось за январь - март Чкорр. = Ч x 3 / 9 = Ч / 3;

если отчиталось за январь - июнь Чкорр. = Ч x 6 / 9;

для отчетного периода за январь - декабрь:

если отчиталось за январь - март Чкорр. = Ч x 3 / 12;

если отчиталось за январь - июнь Чкорр. = Ч x 6 / 12;

если отчиталось за январь - сентябрь Чкорр. = Ч x 9 / 12;

где

Чкорр. - откорректированное значение численности работников без внешних совместителей;

Ч - исходное значение численности работников без внешних совместителей.

Расчет показателя среднемесячной заработной платы работников по малым предприятиям, рубль (2211110020001) осуществляется по формулам:

В целом по территории (Россия, федеральные округа, субъекты РФ)

.

Для видов экономической деятельности в соответствии ОКВЭД2

,

где n - количество месяцев за период с начала года (3, 6, 9, 12 месяцев для ежеквартального расчета и 12 - за год).

Расчет выплат социального характера в расчете на одного работника по малым предприятиям (без микропредприятий), рубль (2152320020037) осуществляется по формуле

.

Расчет среднемесячной заработной платы и выплат социального характера на одного работника малого предприятия (без микропредприятий), рубль (2211110020007) осуществляется по формулам:

В целом по территории (Россия, федеральные округа, субъекты РФ)

.

По видам экономической деятельности:

.

Для поиска нетипичных объектов также рассчитывается из пообъектных данных малых предприятий показатель (ежеквартально): "Среднемесячная заработная плата работников", рубль (при расчете пообъектные данные не округляются).

{[(строка 07 + 08) по графе 3) / (3, 6, 9, 12)] /

/ строка 03 графа 3] * 1000},

где

для отчетных периодов:

"январь - март" равно 3,

"январь - июнь" равно 6,

"январь - сентябрь" равно 9,

январь - декабрь" равно 12.

Для отчетного периода за январь - декабрь рассчитываются из пообъектных данных малых предприятий показатель "Среднемесячная заработная плата работников в расчете на 1 замещенное рабочее место", рубль (2211110020018).

"Среднемесячная заработная плата работников в расчете на 1 замещенное рабочее место, рубль" (2211110020018) = ["Фонд начисленной заработной платы работникам" (2152320020022) / ("Средняя численность работников" (1121100010001) * 12] * 1000.

Ежеквартально рассчитывается из пообъектных данных малых предприятий показатель "Оборот" (2113300020009) = строка 10 + строка 13.

Таблица 2

Выходные показатели

Код показателя

Наименование показателя

Периодичность

Разрез

1351000010001

Количество малых предприятий <*>

Квартальная

по Российской Федерации, субъектам Российской Федерации, федеральным округам, видам экономической деятельности; по сумме представленных отчетов;

с учетом распространения на генеральную совокупность малых предприятий

1121100010001

Средняя численность работников

Квартальная (нарастающим итогом)

-II-

1121100010003

Среднесписочная численность работников без внешних совместителей

Квартальная (нарастающим итогом)

-II-

1121100010005

Средняя численность внешних совместителей <*>

Квартальная (нарастающим итогом)

-II-

1121100010007

Средняя численность работников, выполнявших работы по договорам гражданско-правового характера <*>

Квартальная (нарастающим итогом)

-II-

2152320020022

Фонд начисленной заработной платы работникам

Квартальная (нарастающим итогом)

-II-

2152320020018

Фонд заработной платы, начисленной работникам списочного состава и внешним совместителям <*>

Квартальная (нарастающим итогом)

-II-

2152320020003

Фонд начисленной заработной платы работникам списочного состава (без внешних совместителей) <*>

Квартальная (нарастающим итогом)

-II-

2152320020005

Фонд начисленной заработной платы внешним совместителям <*>

Квартальная (нарастающим итогом)

-II-

2152320020007

Фонд начисленной заработной платы работникам, выполнявшим работы по договорам гражданско-правового характера и других лиц несписочного состава <*>

Квартальная (нарастающим итогом)

-II-

2211110020001

Среднемесячная заработная плата работников

Квартальная (нарастающим итогом)

-II-

2211110020007

Среднемесячная заработная плата и выплаты социального характера в расчете на одного работника за отчетный период <*>

Годовая (За отчетный год)

-II-

2113300020009

Оборот организации (без НДС, акцизов и аналогичных обязательных платежей)

Квартальная (нарастающим итогом)

-II-

2131100020021

Отгружено товаров собственного производства, выполнено работ и услуг собственными силами (без НДС, акцизов и аналогичных обязательных платежей) субъектами малого предпринимательства

Квартальная (нарастающим итогом)

-II-

2131100020091

Отгружено товаров собственного производства, выполнено работ и услуг собственными силами (без НДС и акциза) в порядке розничной торговли <*>

Квартальная (нарастающим итогом)

-II-

2131100020092

Продукция общественного питания (из отгруженнных товаров собственного производства, выполненных работ и услуг собственными силами) <*>

Квартальная (нарастающим итогом)

-II-

2135000020005

Продано товаров несобственного производства (без НДС, акцизов и аналогичных обязательных платежей)

Квартальная (нарастающим итогом)

-II-

2135000020018

Продано товаров несобственного производства (без НДС и акцизов) в порядке розничной торговли <*>

Квартальная (нарастающим итогом)

-II-

1141100020001

Инвестиции в основной капитал

(в части новых, а также приобретенных по импорту основных средств)

Всего <*>

Квартальная (нарастающим итогом)

по Российской Федерации, субъектам Российской Федерации, федеральным округам, видам экономической деятельности;

по сумме представленных отчетов

1313110010002

Количество отработанных работниками списочного состава человеко-часов <*>

Годовая (За отчетный год)

по Российской Федерации, субъектам Российской Федерации, федеральным округам, видам экономической деятельности;

по сумме представленных отчетов;

с учетом распространения на генеральную совокупность малых предприятий

2153000020001

Затраты на научные исследования и разработки <*>

Годовая (За отчетный год)

по Российской Федерации, субъектам Российской Федерации, федеральным округам, видам экономической деятельности;

по сумме представленных отчетов

2152320020025

Выплаты социального характера работникам

Годовая (За отчетный год)

по Российской Федерации, субъектам Российской Федерации, федеральным округам, видам экономической деятельности;

по сумме представленных отчетов;

с учетом распространения на генеральную совокупность малых предприятий

2152320020037

Выплаты социального характера в среднем на одного работника за месяц в отчетном периоде <*>

Годовая (За отчетный год)

по Российской Федерации, субъектам Российской Федерации, федеральным округам, видам экономической деятельности;

по сумме представленных отчетов;

с учетом распространения на генеральную совокупность малых предприятий

2151000020001

Расходы на приобретение товаров для перепродажи <*>

Годовая (За отчетный год)

по Российской Федерации, субъектам Российской Федерации, федеральным округам, видам экономической деятельности; по сумме представленных отчетов;

с учетом распространения на генеральную совокупность малых предприятий

2151000020045

Расходы на приобретение объектов недвижимости, приобретенных для перепродаж и (без НДС и других аналогичных платежей) <*>

Годовая (За отчетный год)

по Российской Федерации, субъектам Российской Федерации, федеральным округам, видам экономической деятельности;

по сумме представленных отчетов

2151000020044

Стоимость проданных объектов недвижимости, приобретенных для перепродажи (без НДС и других аналогичных платежей) <*>

Годовая (За отчетный год)

по Российской Федерации, субъектам Российской Федерации, федеральным округам, видам экономической деятельности;

по сумме представленных отчетов

2151000020075

Расходы на приобретение сырья, материалов, топлива, энергии, воды, покупных полуфабрикатов и комплектующих изделий, использованных для производства и реализации продукции (товаров, работ, услуг) <*>

Годовая (За отчетный год)

по Российской Федерации, субъектам Российской Федерации, федеральным округам, видам экономической деятельности;

по сумме представленных отчетов

2151000020076

Расходы на аренду машин и оборудования, транспортных средств, <*>

Годовая (За отчетный год)

по Российской Федерации, субъектам Российской Федерации, федеральным округам, видам экономической деятельности;

по сумме представленных отчетов

2151000020053

Расходы на аренду помещений <*>

Годовая (За отчетный год)

по Российской Федерации, субъектам Российской Федерации, федеральным округам, видам экономической деятельности; по сумме представленных отчетов

2151000020054

Расходы на оплату работ и услуг сторонних организаций <*>

Годовая (За отчетный год)

по Российской Федерации, субъектам Российской Федерации, федеральным округам, видам экономической деятельности;

по сумме представленных отчетов

1341100020003

Оборот розничной торговли <*>

Квартальная (нарастающим итогом)

1141100020001

Инвестиции в основной капитал

(в части новых, а также приобретенных по импорту основных средств)

за счет бюджетных средств <*>

Годовая (За отчетный год)

по Российской Федерации, субъектам Российской Федерации, федеральным округам, видам экономической деятельности;

по сумме представленных отчетов

1141100020001

Инвестиции в основной капитал, осуществленные организацией за счет федерального бюджета <*>

Годовая (За отчетный год)

по Российской Федерации, субъектам Российской Федерации, федеральным округам, видам экономической деятельности; по сумме представленных отчетов

2211110020018

Среднемесячная заработная плата работников в расчете на 1 замещенное рабочее место <*>

Годовая (За отчетный год)

пообъектные данные

--------------------------------

<*> Используется для расчетов по полному кругу организаций или в рамках макроэкономических расчетов, по кругу малых предприятий не публикуется.

Виды экономической деятельности по ОКВЭД2 для сводных итогов формируются на уровне подклассов (3 знака) Общероссийского классификатора видов экономической деятельности.

Производится расчет показателей коэффициентов вариации (контроль качества распространенной сводной информации):

Оценка точности для показателя "Количество малых предприятий" рассчитываются по нижеприведенной формуле, где суммирование ведется по единицам выборки, относящимся к разрезу с номером j

,

где

-

оценка числа единиц наблюдения разреза с номером j (должно быть округлено до целых);

wk

-

выборочный вес единицы (k), который обратно пропорционален вероятности включения наблюдений в выборку;

nj

-

число единиц выборки, относящихся к разрезу с номером j.

Значения точности для других показателей обследования рассчитываются по нижеприведенной формуле, где суммирование по (k) ведется по единицам выборки, относящимся к разрезу с номером j; суммирование по (i) ведется по единицам выборки в слое (h), относящимся к разрезу с номером j; суммирование по (h) ведется по всем слоям

,

,

где

wk

-

выборочный вес единицы (k), который обратно пропорционален вероятности включения наблюдений в выборку;

yk

-

значение признака единицы (k);

nj

- число единиц выборки, относящихся к разрезу с номером j.

,

где

- дисперсия оценки по выборке суммарного показателя для разреза с номером j;

Nh - число единиц базовой совокупности, принадлежащих слою h;

nh - число единиц слою h, включенных в выборку при планировании;

yhij - значение признака у i-ой единицам выборки в слое (h), относящейся к разрезу с номером j;

L - общее число слоев.

Полученные коэффициенты вариации приводятся с 2 знаками после запятой.

Формирование информации на региональном уровне в разрезе муниципальных образований Федеральным планом статистических работ не предусмотрено.

5.6. Алгоритмы преобразования информации федерального уровня:

На федеральном уровне ежеквартально загружаются фонды, сформированные территориальными органами Росстата:

справочники предприятий,

первичные данные,

сводные итоги по малым предприятиям (без микропредприятий), показатели оценки точности.

Федеральные сводные итоги формируются в разрезе Российской Федерации, федеральных округов, субъектов Российской Федерации и видов экономической деятельности.

Типы формируемых сводов:

без учета распространения на генеральную совокупность;

с учетом распространения на генеральную совокупность.

На федеральном уровне расчет коэффициентов вариации для показателей формы N ПМ осуществляется по следующим формулам:

по показателю по России в целом,

где

cv (Y) - коэффициент вариации суммарного значения показателя в целом по России;

cv(Yi) - коэффициент вариации суммарного значения показателя по i-му субъекту РФ;

Yi - суммарное значение показателя по i-му субъекту РФ;

R - число субъектов РФ, участвующих в расчете.

по виду экономической деятельности

,

где

cv(Yj) - коэффициент вариации суммарного значения показателя по j-го вида экономической деятельности по России в целом;

cv(Yij) - коэффициент вариации суммарного значения показателя по i-му региону, по j-му виду экономической деятельности;

Yij - суммарное значение показателя по i-му субъекту РФ, по j-му виду экономической деятельности;

R - число субъектов РФ, участвующих в расчете.

VI. Источники набора данных, информации

6.1. Источником информации, используемой в настоящей методологии, являются первичные статистические данные по форме федерального статистического наблюдения N ПМ "Сведения об основных показателях деятельности малого предприятия", которые собираются ежеквартально на основе выборочного наблюдения.

6.2. Сведения по этой форме предоставляют юридические лица, являющиеся малыми предприятиями (за исключением микропредприятий) в соответствии с Федеральным законом от 24 июля 2007 г. N 209-ФЗ "О развитии малого и среднего предпринимательства в Российской Федерации", ежеквартально в сроки, указанные на бланке формы.

6.3. В форму включаются данные в целом по юридическому лицу, то есть по всем филиалам и другим обособленным подразделениям малого предприятия независимо от их местонахождения (в том числе осуществляющим деятельность за пределами Российской Федерации).

6.4. Юридическое лицо заполняет настоящую форму и предоставляет ее в территориальный орган Росстата по месту регистрации юридического лица.

6.5. Подробные указания по заполнению формы N ПМ утверждаются приказом Росстата "Об утверждении Указаний по заполнению формы федерального статистического наблюдения N ПМ "Сведения об основных показателях деятельности малого предприятия" (интернет-сайт Росстата - www.rosstat.gov.ru/Респондентам/Формы федерального статистического наблюдения и формы бухгалтерской (финансовой) отчетности/Альбом форм федерального статистического наблюдения/Поиск по формам ПМ).

VII. Порядок уточнения и предоставления (распространения)

официальной статистической информации

7.1. Информация по основным показателям деятельности малых предприятий (без микропредприятий) размещается в информационно-телекоммуникационной сети "Интернет":

на официальном сайте Росстата по адресу: http://rosstat.gov.ru/Статистика/Официальная статистика/Институциональные преобразования в экономике/Малые предприятия, без микропредприятий (по данным выборочных обследований:

средняя численность работников малых предприятий (без микропредприятий);

оборот (без НДС, акцизов и аналогичных обязательных платежей) малых предприятий (без микропредприятий);

отгружено товаров собственного производства, выполнено работ и услуг собственными силами малыми предприятиями (без микропредприятий);

продано товаров несобственного производства малыми предприятиями (без микропредприятий);

в Единой межведомственной информационно-статистической системе (ЕМИСС) по адресу: www.fedstat.ru/Ведомства/1. Федеральная служба государственной статистики/1.6. Показатели, характеризующие институциональные преобразования в экономике, малое предпринимательство/1.6.3 Основные показатели деятельности малых предприятий (без микропредприятий):

средняя численность работников малых предприятий (без микропредприятий);

среднесписочная численность работников малых предприятий (без внешних совместителей) (без микропредприятий);

оборот (без НДС, акцизов и аналогичных обязательных платежей) малых предприятий (без микропредприятий).

7.2. Срок предоставления (распространения) официальной статистической информации в соответствии со сроками, предусмотренными позицией 1.6.3. Федерального плана статистических работ.

Приложение N 3

Утверждена

приказом Росстата

от 15.09.2025 N 479

ОФИЦИАЛЬНАЯ СТАТИСТИЧЕСКАЯ МЕТОДОЛОГИЯ

ПО ОПРЕДЕЛЕНИЮ ОСНОВНЫХ ПОКАЗАТЕЛЕЙ

ДЕЯТЕЛЬНОСТИ МИКРОПРЕДПРИЯТИЙ

I. Общие положения

1.1. Официальная статистическая методология "Основные показатели деятельности микропредприятий" (далее - Методология) разработана в соответствии с частью 1 статьи 7 и принципами официального статистического учета, определенными статьей 4 Федерального закона от 29 ноября 2007 г. N 282-ФЗ "Об официальном статистическом учете и системе государственной статистики в Российской Федерации".

Федеральное статистическое наблюдение за основными показателями деятельности микропредприятий и расчет показателей является выборочным (далее - наблюдение). Расчет показателей осуществляется с применением настоящей Методологии и инструментария (формы федерального статистического наблюдения) в соответствии с подпунктами 5.2 и 5.5 пункта 5 Положения о Федеральной службе государственной статистики, утвержденного постановлением Правительства Российской Федерации от 2 июня 2008 г. N 420.

1.2. Настоящая Методология представляет собой формализованное экономическое описание (далее - ЭЭО) процесса формирования официальной статистической информации об основных показателях деятельности микропредприятий, определяет основные положения наблюдения, порядок сбора первичных статистических данных, алгоритмы формирования показателей.

Официальная статистическая информация об основных показателях деятельности микропредприятий используется при:

характеристики сектора малого бизнеса в экономике России;

проведении различных макроэкономических и прогнозных расчетов;

формировании информации по полному кругу хозяйствующих субъектов.

1.3. Расчет показателей осуществляется в соответствии с позицией 1.6.8 Федерального плана статистических работ, утвержденного распоряжением Правительства Российской Федерации от 6 мая 2008 г. N 671-р, по Российской Федерации, субъектам Российской Федерации, федеральным округам, видам экономической деятельности.

1.4. Субъектом официального статистического учета, ответственным за формирование и предоставление (распространение) официальной статистической информации об основных показателях деятельности микропредприятий, является Федеральная служба государственной статистики (далее - Росстат).

II. Условные обозначения (сокращения)

2.1. В Методологии применяются условные обозначения и сокращения:

АС ГС ОФСН

Автоматизированная система Генеральной совокупности объектов федерального статистического наблюдения

БД

База данных

ЕМИСС

Единая межведомственная информационно-статистическая система

ЕРМСП

Единый реестр субъектов малого и среднего предпринимательства

ЕХД

Единое хранилище данных

НСИ

Нормативно-справочная информация

ОКАТО

Общероссийский классификатор объектов административно-территориального деления

ОКВЭД2

Общероссийский классификатор видов экономической деятельности

ОКЕИ

Общероссийский классификатор единиц измерения

ОКПО

Общероссийского классификатора предприятий и организаций

ОКТМО

Общероссийский классификатор территорий муниципальных образований

ОКФС

Общероссийский классификатор форм собственности

ОКЭР

Общероссийский классификатор экономических регионов

ПО

Программное обеспечение

ПС НСИ СМАД

Нормативно-справочная информация в рамках Системы многомерного анализа данных

УИС СТАТЭК

Программное обеспечение информационно-вычислительной системы Росстата

III. Основные понятия и определения

3.1. Все понятия и определения, приведенные в настоящей Методологии, используются исключительно в целях формирования официальной статистической информации по основным показателям деятельности микропредприятий.

3.2. Для целей настоящей Методологии используются следующие понятия и определения:

базовая совокупность (основа выборки) представляет собой упорядоченный перечень единиц наблюдения (юридических лиц), формируемая по критериям отбора соответствующим задачам обследования. Источником для формирования основы выборки является АС ГС ОФСН.

выборочная совокупность объектов наблюдения (далее - выборка) является основой для создания перечня респондентов, подлежащих статистическому обследованию по форме федерального статистического наблюдения N МП(микро) "Сведения об основных показателях деятельности микропредприятия" (далее - форма N МП(микро).

респонденты - юридические лица, предоставляющие первичные статистические данные (далее - данные) по форме N МП(микро).

IV. Основные показатели

4.1. В соответствии с настоящей Методологией формируется официальная статистическая информация по основным показателям деятельности микропредприятий:

средняя численность работников микропредприятий, человек (код по ОКЕИ - 792);

среднесписочная численность работников микропредприятий (без внешних совместителей), человек (код по ОКЕИ - 792);

оборот (без НДС, акцизов и аналогичных обязательных платежей) микропредприятий, тысяча рублей (код по ОКЕИ - 384);

отгружено товаров собственного производства, выполнено работ и услуг собственными силами микропредприятий, тысяча рублей (код по ОКЕИ - 384);

продано товаров несобственного производства микропредприятиями, тысяча рублей (код по ОКЕИ - 384).

Средняя численность работников включает среднесписочную численность работников, среднюю численность внешних совместителей, среднюю численность работников, выполнявших работы по договорам гражданско-правового характера, за отчетный период.

Среднесписочная численность работников (без внешних совместителей) определяется путем распространения на генеральную совокупность данных по показателю Среднесписочная численность работников (без внешних совместителей формы N МП(микро).

Оборот - общий объем в стоимостном выражении отгруженных товаров собственного производства, выполненных работ и оказанных услуг собственными силами, проданных товаров, приобретенных для перепродажи.

Показатели Отгружено товаров собственного производства, выполнено работ и услуг собственными силами микропредприятиями и Продано товаров несобственного производства микропредприятиями формируются путем распространения на генеральную совокупность данных по соответствующим показателям формы N МП(микро).

4.2. Показатели формируются ежегодно по Российской Федерации, субъектам Российской Федерации, федеральным округам, видам экономической деятельности.

V. Методологические основы, алгоритмы формирования

и формулы расчета

5.1. Система классификаторов, используемых для расчета основных показателей деятельности микропредприятий:

Общероссийский классификатор видов экономической деятельности (ОКВЭД2) ОК 029-2014 (КДЕС Ред. 2) содержит записи всех группировок видов экономической деятельности, представленных иерархически. Для идентификации группировок каждая запись классификатора имеет кодовое обозначение, состоящее из цифр (от двух до шести) с последовательным методом кодирования.

Общероссийский классификатор объектов административно-территориального деления (ОКАТО) ОК 019-95 предназначен для обеспечения сопоставимости и автоматизированной обработки информации в разрезах административно-территориального деления и используется для формирования показателей по субъектам Российской Федерации.

Общероссийский классификатор единиц измерения (ОКЕИ) ОК 015-94 предназначен для количественной оценки показателей и обеспечения единства измерений. Идентификационный код единицы измерения представляет собой трехзначный или четырехзначный цифровой десятичный код, присвоенный по порядковой системе кодирования.

5.2. Основные принципы и этапы организации статистического наблюдения за основными показателями деятельности микропредприятия:

Обследование микропредприятий осуществляется путем проведения выборочного статистического наблюдения на основе представительной (репрезентативной) выборки.

Порядок осуществления выборочных обследований установлен постановлением Правительства Российской Федерации от 16 февраля 2008 г. N 79 "О порядке проведения выборочных статистических наблюдений за деятельностью субъектов малого и среднего предпринимательства".

Объектами наблюдения для формирования основы выборки являются: юридические лица, отвечающие условиям отнесения к субъектам малого предпринимательства в соответствии с Федеральным законом от 24 июля 2007 г. N 209-ФЗ "О развитии малого и среднего предпринимательства в Российской Федерации" и постановлением Правительства Российской Федерации от 4 апреля 2016 г. N 265 "О предельных значениях дохода, полученного от осуществления предпринимательской деятельности, для каждой категории субъектов малого и среднего предпринимательства" и включены в ЕРМСП Федеральной налоговой службой (далее - ФНС России) в соответствии со статьей 4.1 вышеуказанного закона.

По результатам выборочного обследования осуществляется распространение оценок данных на генеральную совокупность объектов исследования, и формируются сводные итоги.

Этапы работ регионального уровня:

1) загрузка списка предприятий для выборочного обследования в программный комплекс УИС СТАТЭК;

2) оповещение предприятий, включенных в выборочную совокупность.

3) сбор информации от малых предприятий, попавших в выборочную совокупность, контроль и корректировка первичных отчетов;

4) распространение выборочных данных на генеральную совокупность, анализ полученных данных, проведение контролей сводных итогов, расчет характеристик точности получаемых результатов, передача сводных итогов регионального уровня на федеральный уровень;

5) выгрузка данных в архивные базы и другие программные комплексы по работам регионального уровня;

6) предоставление информации пользователям регионального уровня. Этапы работ федерального уровня:

1) формирование базовой совокупности;

2) формирование выборочной совокупности малых предприятий

а) стратификация (разделение) совокупности на массивы и слои,

б) расчет объема выборочной совокупности,

в) расчет весов объектов;

3) загрузка перечня организаций выборочной совокупности в АС ГС ОФСН (далее в систему web-сбора данные переводятся автоматически);

4) формирование в УИС СТАТЭК итогов обследования как в целом по Российской Федерации, так и по федеральным округам, проведение контролей, расчет характеристик точности получаемых результатов; анализ полученных данных;

5) выгрузка данных в архивные базы и другие программные комплексы по работам федерального уровня;

6) предоставление информации пользователям федерального уровня.

Также на федеральном уровне осуществляется размещение на Интернет-портале Росстата формы и указаний по ее заполнению.

5.3. Формирование базовой совокупности (основы выборки):

Базовая совокупность формируется на федеральном уровне автоматически в АС ГС ОФСН в блоке "Юридические лица" по следующим критериям отбора:

код 4 - микропредприятие (поле 105 "Тип предприятия по ЕРСМП");

код 1 - объект в статусе юридические лица (поле 9 "Тип объекта");

за исключением:

код 1 - исключенные объекты признак (поле 50 "Тип актуализации");

код ОКВЭД2 раздел T "Деятельность домашних хозяйств как работодателей; недифференцированная деятельность частных домашних хозяйств по производству товаров и оказанию услуг для собственного потребления" и раздел U "Деятельность экстерриториальных организаций и органов", включая входящие, и коды по ОКВЭД2 97, 98, 99 включая входящие (поле 21 "ОКВЭД2 "Основной вид деятельности, заявленный при регистрации);

код 3 00 05 - "Паевые инвестиционные фонды" (поле 26 "ОКОПФ");

код 55000000000 - осуществляет деятельность на территории другого государства (поле 10 "ОКАТО юридического адреса, заявленного при регистрации");

код 171 - хозяйствующие субъекты, в отношении которых не проводятся федеральные статистические наблюдения (поле 97).

По каждому объекту наблюдения из АС ГС ОФСН выгружается информация в следующей структуре:

код ОКПО объекта (поле 1),

код ОКПО юридического лица (поле 2),

краткое наименование объекта (поле 6),

код ОКАТО юридического адреса, заявленный при регистрации (поле 10),

код ОКТМО юридического адреса, заявленный при регистрации (поле 13),

код ОКФС (поле 25),

код ОКОПФ (поле 26),

код ОКВЭД2 основного вида деятельности, заявленный при регистрации (поле 21),

код КИСЭ (поле 76),

тип предприятия по ЕРСМП (поле 105),

средняя численность работников (поле 84),

выручка (нетто) от продажи товаров, продукции, работ, услуг (за минусом налога на добавленную стоимость, акцизов и аналогичных обязательных платежей) (поле 87),

оборот организации (поле 90),

значение признаков присвоения кодов КИСЭ (поле 77),

адрес регистрации (поле 40).

Для формирования выборочных совокупностей (Выборки) - осуществляются предварительные преобразования в части данных базовой совокупности:

код по ОКВЭД2 укрупняется до 3-х знаков (на уровень подкласса);

код по ОКАТО укрупняется до 2-х знаков для субъектов Российской Федерации, до 5-ти знаков для автономных округов (Ненецкий АО, Ямало-Ненецкий АО, Ханты-Мансийский АО - Югра).

Для юридических лиц (микропредприятий):

а) если значение показателя "выручка (нетто) от продажи товаров, продукции, работ, услуг (за минусом налога на добавленную стоимость, акцизов и аналогичных обязательных платежей)" меньше "нуля", то значение заменяется на "нуль";

б.) для значений равного нулю или пропущенного значения "выручка" заменяется на ненулевое значение "оборот".

5.4. Формирование выборки для обследования по форме N МП(микро):

Для формирования выборочной совокупности (выборки) на федеральном уровне осуществляются предварительные преобразования в части данных базовой совокупности:

код по ОКВЭД2 укрупняется до 3-х знаков (на уровень подкласса);

код по ОКАТО укрупняется до 2-х знаков для субъектов Российской Федерации, до 5-ти знаков для автономных округов (Ненецкий АО, ЯмалоНенецкий АО, Ханты-Мансийский АО - Югра).

Если значение показателя "выручка (нетто) от продажи товаров, продукции, работ, услуг (за минусом налога на добавленную стоимость, акцизов и аналогичных обязательных платежей)" меньше "нуля", то значение заменяется на "нуль";

для значений равного нулю или пропущенного значения "выручка" заменяется на ненулевое значение "оборот".

Ограничения, присущие выборочному методу наблюдения, не позволяют формировать показатели, характеризующие деятельность субъектов малого предпринимательства, в группировках по видам экономической деятельности ниже подклассов (3 знака) ОКВЭД2.

Группировка предприятий по размеру показателя "выручка" осуществляется для слоев с большим числом предприятий, если страта содержит:

от 200 до 799 объектов - на 2 группы с применением формулы медианы;

от 800 объектов и выше - на 4 группы с применением формулы расчета квартилей.

Расчет медианы слоя по показателю "выручка".

Медиана (Mei) предварительно ранжированного слоя рассчитывается по формулам:

а) если в ранжированном слое нечетное количество объектов

,

где

i - номер слоя;

n - число элементов в слое;

- элемент в слое с номером ;

б) если в ранжированном слое четное количество объектов, то медиана данного слоя рассчитывается как среднее значение двух элементов ранжированного ряда с номерами и

.

Расчет для 4-х квартилей применяется аналогичный подход по ранее рассчитанному медианному слою.

Базовая совокупность делится на три массива.

Первый массив - включает единицы (предприятия) с численностью более 15 человек и выручкой более 120 миллионов рублей, которые подлежат обследованию в сплошном режиме.

Второй массив - содержит единицы базовой совокупности с заполненными значениями поля "выручка" не включенные в первый массив.

Третий массив - включает остальные единицы (предприятия) с нулевыми или пропущенными значениями поля "выручка".

Все предприятия первого массива включаются в выборочную совокупность с весом "1".

Для предприятий второго массива используется метод, расслоенный случайный отбор. Число отобранных единиц слоя 25% (но не менее 10 единиц из слоя).

Для предприятий третьего массива используется метод, расслоенный пропорциональный случайный отбор. Число отобранных единиц слоя 10% (но не менее 10 единиц из слоя).

Из каждого слоя второго и третьего массивов методом простого случайного отбора извлекаются единицы (предприятия) в соответствии с вышеопределенными объемами выборки.

Для единиц второго и третьего массива, попавших в выборочную совокупность, рассчитываются вероятность включения в Выборку и выборочный вес.

Вероятности включения в Выборку: если единица (k) относится к страте (h):

.

Выборочный вес:

.

В результате проведенных преобразований объединенные три массива формируют единую выборочную совокупность (перечень респондентов) с весовым значением каждого объекта наблюдения для проведения выборочного обследования по форме N МП(микро).

На федеральном уровне формируются файлы в соответствии с кодами ОКПО по каждому субъекту Российской Федерации. Программными средствами осуществляется оценка полноты сбора отчетности от респондентов, включенных в выборочную совокупность.

5.5. Описание алгоритмов обработки регионального уровня:

Источниками входной информации являются выборочные веса и пообъектные данные формы N МП(микро):

Таблица N 1

Перечень входных показателей

Код показателя

Наименование показателя

Периодичность

Единица измерения по ОКЕИ

Строка формы

1

1121100010001

Средняя численность работников

Годовая (за отчетный год)

Человек

Стр. 02

2

1121100010003

Среднесписочная численность работников без внешних совместителей

Годовая (за год)

Человек

Стр. 03

3

1121100010005

Средняя численность внешних совместителей

Годовая (за год)

Человек

Стр. 04

4

1121100010007

Средняя численность работников, выполнявших работы по договорам гражданско-правового характера

Годовая (за год)

Человек

Стр. 05

5

1141100020001 (источники инвестиций - 8)

Инвестиции в основной капитал (в части новых, а также приобретенных по импорту основных средств)

Годовая (за отчетный год)

Тысяча рублей

Стр. 14

6

1141100020001 (источники инвестиций - 11)

Инвестиции в основной капитал (в части новых, а также приобретенных по импорту основных средств) за счет бюджетных средств

Годовая (за отчетный год)

Тысяча рублей

Стр. 15

7

1141100020001 (источники инвестиций - 12)

Инвестиции в основной капитал (в части новых, а также приобретенных по импорту основных средств), осуществленные организацией за счет федерального бюджета

Годовая (за отчетный год)

Тысяча рублей

Стр. 16

8

1331000010011

Количество месяцев, в течение которых организация осуществляла свою деятельность

Годовая (за отчетный год)

Единица

Стр. 01

9

1313110010002

Количество отработанных человеко-часов работниками списочного состава (без внешних совместителей и работников несписочного состава)

Годовая (за год)

Человеко-часов

Стр. 11

10

1341100020003

Оборот розничной торговли

Годовая (за отчетный год)

Тысяча рублей

Стр. 17

11

1341100020005

Оборот розничной торговли алкогольными напитками

Годовая (за отчетный год)

Тысяча рублей

Стр. 19

12

1341100020006

Оборот розничной торговли пищевыми продуктами, включая напитки, и табачными изделиями

Годовая (за отчетный год)

Тысяча рублей

Стр. 18

13

1341100020009

Оборот общественного питания

Годовая (за отчетный год)

Тысяча рублей

Стр. 21

14

1342110020005

Оборот оптовой торговли

Годовая (за отчетный год)

Тысяча рублей

Стр. 20

15

2131100020021

Отгружено товаров собственного производства, выполнено работ и услуг собственными силами (без НДС, акцизов и аналогичных обязательных платежей) субъектами малого

16предпринимательства

Годовая (за отчетный год)

Тысяча рублей

Стр. 12

16

2135000020005

Продано товаров несобственного производства (без НДС, акцизов и аналогичных обязательных платежей)

Годовая (за отчетный год)

Тысяча рублей

Стр. 13

17

2152320020003

Фонд начисленной заработной платы работникам списочного состава (без внешних совместителей)

Годовая (за отчетный год)

Тысяча рублей

Стр. 07

18

2152320020005

Фонд начисленной заработной платы внешним совместителям

Годовая (за отчетный год)

Тысяча рублей

Стр. 08

19

2152320020022

Фонд начисленной заработной платы работникам

Годовая (за отчетный год)

Тысяча рублей

Стр. 06

20

2152320020007

Фонд начисленной заработной платы работникам, выполнявшим работы по договорам гражданско-правового характера и других лиц несписочного состава

Годовая (за отчетный год)

Тысяча рублей

Стр. 09

21

2152320020025

Выплаты социального характера работникам

Годовая (за отчетный год)

Тысяча рублей

Стр. 10

Веденные (загруженные из web-сбора) первичные отчеты контролируются.

Производится проверка заполнения бланка и обработка неответов.

Выявляются нетипичные единицы.

Производится перевзвешивание.

Осуществляется распространение данных на генеральную совокупность.

Формируются сводные итоги регионального уровня.

Проверяется соблюдение заложенных контролей.

Рассчитываются коэффициенты вариации.

Сформированная информация передается на федеральный уровень для формирования сводных итогов деятельности микропредприятий по Российской Федерации, выгружается для использования в иных программных комплексах (например, для формирования информации по полному кругу хозяйствующих субъектов), а также предоставляется пользователям регионального уровня.

Программными средствами осуществляется проверка заполнения данных респондентом. Ответившим проставляется "1", не ответившим - проставляется "0".

Производится обработка неответов, выявляются нетипичные единицы.

К нетипичным относятся предприятия:

строка 02 >= "15" человек и/или

строка 12 + строка 13 >= "120 млн рублей.

Для поиска нетипичных объектов также рассчитывается из пообъектных данных показатель: "Среднемесячная заработная плата работников" (руб)

{[(стр. 07 + 08) / 12] / стр. 03] * 1000}.

В процессе перевзвешивания пересчитываются выборочные веса единиц наблюдения, с учетом только ответивших единиц (с кодом ответа = 1).

Для этого сначала рассчитывают число ответивших единиц в каждом слое nhres, а затем новый выборочный вес:

.

Таким образом, новый вес ответивших предприятий равен отношению объема слоя в генеральной совокупности (Nh) к числу ответивших единиц, принадлежащих к этому слою. При этом вес неответивших предприятий обнуляется.

Распространение данных на генеральную совокупность осуществляется по полю вида экономической деятельности по регистрации предприятия.

Значение оценки показателя по данным выборки (распространение данных)

,

где

nj - число единиц выборки, принадлежащих разрезу разработки с номером j;

yk - значение признака y (выручка или средняя численность работников), k-ой единицы наблюдения;

wk - выборочный вес единицы (k), который обратно пропорционален вероятности включения наблюдений в выборку;

- оценка по выборке суммарного показателя для отрасли с номером j.

Осуществляется формирование сводных данных:

без распространения;

с учетом распространения.

Сводные данные без учета распространения на генеральную совокупность формируются простым суммирование полученных первичных отчетов по схеме сборки по видам экономической деятельности.

Показатели "Количество микропредприятий", "Количество отработанных человеко-часов работниками списочного состава" формируются в целых числах. Все остальные показатели формируются с одним десятичным знаком.

Для сводных данных производится расчет показателя:

"Фонд начисленной заработной платы работников" (код 2152320020022) равно "Фонд начисленной заработной платы работников списочного состава" (код 2152320020003) плюс "Фонд начисленной заработной платы внешним совместителям" (код 2152320020005) плюс "Фонд начисленной заработной платы работникам, выполнявшим работы по договорам гражданско-правового характера и других лиц несписочного состава" (код 2152320020007).

Расчет среднемесячной заработной платы работников по микропредприятиям

(код 2211110020001)

1 - В целом по территории (Россия, федеральные округа, субъекты РФ)

.

2 - Для видов экономической деятельности

.

Для расчета среднемесячной заработной платы используется распространенный показатель "Средняя численность работников списочного состава (без внешних совместителей)" с десятичным знаком.

Из пообъектных данных формируется показатель "Среднемесячная заработная плата работников в расчете на 1 замещенное рабочее место, рубль" (код 2211110020018) как отношение показателя "Фонд начисленной заработной платы работникам" (код 2152320020022) к показателю "Средняя численность работников" (код 1121100010001), умноженное на 12. Полученный результат умножить на 1000 (при расчете исходные данные не округляются).

Из пообъектных данных микропредприятий (тип предприятия "4") рассчитывается показатель "Оборот микропредприятий" (код 2113300020009) равно "Отгружено товаров собственного производства, выполнено работ и услуг собственными силами (без НДС, акцизов и аналогичных обязательных платежей)" (код 2131100020021) плюс "Продано товаров несобственного производства (без НДС, акцизов и аналогичных обязательных платежей)" (код 2135000020005).

Показатель Инвестиции в основной капитал (в части новых и приобретенных по импорту основных средств) (код 1141100020001 (8)) формируется с учетом распространения итогов выборки на генеральную совокупность.

Показатели "Инвестиции в основной капитал (в части новых, а также приобретенных по импорту основных средств)" (код 1141100020001 (8), "Инвестиции основной капитал за счет бюджетных средств" (код 1141100020001 (11), "Инвестиции в основной капитал за счет средств федерального бюджета", (код 1141100020001 (12) формируются по сумме представленных отчетов, то есть без распространения.

Таблица N 2

Перечень выходных показателей

Код

показателя

Наименование показателя

Периодичность

Единица измерения по ОКЕИ

Разрезность

1121100010001

Средняя численность работников

Годовая (за отчетный год)

Человек

по Российской Федерации, субъектам Российской Федерации, федеральным округам, видам экономической деятельности;

по сумме представленных отчетов;

с учетом распространения на генеральную совокупность малых предприятий

1121100010003

Среднесписочная численность работников без внешних совместителей

Годовая (за год)

Человек

-II-

1121100010005

Средняя численность внешних совместителей

Годовая (за год)

Человек

-II-

1121100010007

Средняя численность работников, выполнявших работы по договорам гражданско-правового характера

Годовая (за год)

Человек

-II-

1141100020001

Инвестиции в основной капитал всего

Годовая (за отчетный год)

Тысяча рублей

-II-

1141100020001

Инвестиции в основной капитал за счет бюджетных средств

Годовая (за отчетный год)

Тысяча рублей

по Российской Федерации, субъектам Российской Федерации, федеральным округам, видам экономической деятельности;

с учетом распространения на генеральную совокупность малых предприятий

1141100020001

Инвестиции в основной капитал за счет средств Федерального бюджета

Годовая (за отчетный год)

Тысяча рублей

по Российской Федерации, субъектам Российской Федерации, федеральным округам, видам экономической деятельности;

с учетом распространения на генеральную совокупность малых предприятий

1313110010002

Количество отработанных человеко-часов работниками списочного состава (без внешних совместителей и работников несписочного состава)

Годовая (за отчетный год)

Человеко-часов

по Российской Федерации, субъектам Российской Федерации, федеральным округам, видам экономической деятельности;

по сумме представленных отчетов;

с учетом распространения на генеральную совокупность малых предприятий

1341100020003

Оборот розничной торговли

Годовая (за отчетный год)

Тысяча рублей

-II-

1341100020005

Оборот розничной торговли алкогольными напитками

Годовая (за отчетный год)

Тысяча рублей

-II-

1341100020006

Оборот розничной торговли пищевыми продуктами, включая напитки, и табачными изделиями

Годовая (за отчетный год)

Тысяча рублей

-II-

1341100020009

Оборот общественного питания

Годовая (за отчетный год)

Тысяча рублей

-II-

1342110020005

Оборот оптовой торговли

Годовая (за отчетный год)

Тысяча рублей

-II-

1351000010127

Количество микропредприятий

Годовая (за отчетный год)

Единица

-II-

2113300020009

Оборот организации (без НДС, акцизов и аналогичных обязательных платежей)

Годовая (за год)

Тысяча рублей

-II-

2131100020021

Отгружено товаров собственного производства, выполнено работ и услуг собственными силами (без НДС, акцизов и аналогичных обязательных платежей)

Годовая (за отчетный год)

Тысяча рублей

-II-

2135000020005

Продано товаров несобственного производства (без НДС, акцизов и аналогичных обязательных платежей)

Годовая (за отчетный год)

Тысяча рублей

-II-

2152320020003

Фонд начисленной заработной платы работникам списочного состава (без внешних совместителей)

Годовая (за отчетный год)

Тысяча рублей

-II-

2152320020005

Фонд начисленной заработной платы внешним совместителям

Годовая (за отчетный год)

Тысяча рублей

-II-

2152320020022

Фонд начисленной заработной платы работникам

Годовая (за отчетный год)

Тысяча рублей

-II-

2152320020007

Фонд начисленной заработной платы работникам, выполнявшим работы по договорам гражданско-правового характера и других лиц несписочного состава

Годовая (за отчетный год)

Тысяча рублей

-II-

2152320020025

Выплаты социального характера работникам

Годовая (за отчетный год)

Тысяча рублей

-II-

2211110020001

Среднемесячная заработная плата работников

Годовая (за отчетный год)

Рубль

по Российской Федерации, субъектам Российской Федерации, федеральным округам, видам экономической деятельности;

с учетом распространения на генеральную совокупность малых предприятий

2211110020018

Среднемесячная заработная плата работников в расчете на 1 замещенное рабочее место, рубль

Годовая (за отчетный год)

Рубль

пообъектные данные

Виды экономической деятельности по ОКВЭД2 для сводных итогов формируются на уровне подклассов (3 знака) Общероссийского классификатора видов экономической деятельности.

Формирование информации на региональном уровне в разрезе муниципальных образований Федеральным планом статистических работ не предусмотрено.

Производится расчет показателей коэффициентов вариации (контроль качества распространенной сводной информации):

Показатель "Число единиц наблюдения" рассчитывается по формуле

,

где

- оценка числа единиц наблюдения разреза с номером j (должно быть округлено до целых);

wk - выборочный вес единицы (k), который обратно пропорционален вероятности включения наблюдений в выборку;

nj - число единиц выборки, относящихся к разрезу с номером j.

Суммирование ведется по единицам выборки, относящимся к разрезу с номером j:

Оценка точности для других показателей осуществляется по формуле

,

,

где

wk - выборочный вес единицы (k), который обратно пропорционален вероятности включения наблюдений в выборку;

yk - значение признака единицы (k);

nj - число единиц выборки, относящихся к разрезу с номером j.

,

где

- дисперсия оценки по выборке суммарного показателя для разреза с номером j;

Nh - число единиц базовой совокупности, принадлежащих слою h;

nh - число единиц слою h, включенных в выборку при планировании;

yhij - значение признака y i-ой единицам выборки в слое (h), относящейся к разрезу с номером j;

L - общее число слоев.

Суммирование по (k) ведется по единицам выборки, относящимся к разрезу с номером j; суммирование по (i) ведется по единицам выборки в слое (h), относящимся к разрезу с номером j; суммирование по (h) ведется по всем слоям:

Полученные коэффициенты вариации приводятся с 2-мя знаками после запятой.

5.6. Алгоритмы преобразования информации федерального уровня:

Источники входной информации - фонды данных, сформированные на региональном уровне (первичные данные, сводные итоги, включая коэффициенты вариации).

На федеральном уровне ежегодно осуществляется загрузка перечня организаций, первичных статистических данных, сводных итогов, показателей оценки точности.

Сводные итоги формируются по Российской Федерации, федеральным округам, субъектам Российской Федерации и видам экономической деятельности.

Типы формируемых сводов:

без учета распространения на генеральную совокупность;

с учетом распространения на генеральную совокупность.

На федеральном уровне коэффициенты вариации по рассчитываются по формулам.

По показателю по России в целом:

где

,

где

cv(Y) - коэффициент вариации суммарного значения показателя в целом по Российской Федерации;

cv(Yi) - коэффициент вариации суммарного значения показателя по i-му субъекту Российской Федерации;

Yi - суммарное значение показателя по i-му субъекту Российской Федерации;

R - число субъектов Российской Федерации, участвующих в расчете.

По виду экономической деятельности:

где

,

где

cv(Yj) - коэффициент вариации суммарного значения показателя по j-го вида экономической деятельности по Российской Федерации в целом;

cv(Yij) - коэффициент вариации суммарного значения показателя по i-му региону, по j-му виду экономической деятельности;

Yij - суммарное значение показателя по i-му субъекту Российской Федерации, по j-ому виду экономической деятельности;

R - число субъектов Российской Федерации, участвующих в расчете.

VI. Источники набора данных, информации

6.1. Источником информации, используемой в настоящей методологии, являются первичные статистические данные по форме N МП(микро).

6.2. Сведения предоставляют юридические лица - микропредприятия в соответствии с Федеральным законом от 24 июля 2007 г. N 209-ФЗ "О развитии малого и среднего предпринимательства в Российской Федерации", ежегодно в сроки, указанные на бланке формы.

6.3. В форму включаются данные в целом по юридическому лицу, то есть с учетом данных по всем филиалам и другим обособленным подразделениям независимо от их местонахождения (в том числе осуществляющим деятельность за пределами Российской Федерации).

6.4. Юридическое лицо предоставляет данные по форме N МП(микро) в территориальные органы Росстата по месту регистрации юридического лица.

6.5. Подробные указания по заполнению формы N МП(микро) утверждаются приказом Росстата "Об утверждении Указаний по заполнению формы федерального статистического наблюдения N МП(микро) "Сведения об основных показателях деятельности микропредприятия" (интернет-сайт Росстата: www.rosstat.gov.ru/Респондентам/Формы федерального статистического наблюдения и формы бухгалтерской (финансовой) отчетности/Альбом форм федерального статистического наблюдения/Поиск по формам МП(микро)).

VII. Порядок уточнения и предоставления (распространения)

официальной статистической информации

7.1. Информация по основным показателям деятельности микропредприятий размещается в информационно-телекоммуникационной сети "Интернет":

на официальном сайте Росстата по адресу: http://rosstat.gov.ru/Статистика/Официальная статистика/Институциональные преобразования в экономике/Микропредприятия (по данным выборочных обследований):

Средняя численность работников микропредприятий;

Оборот (без НДС, акцизов и аналогичных обязательных платежей) микропредприятий;

Отгружено товаров собственного производства, выполнено работ и услуг собственными силами микропредприятиями;

Продано товаров несобственного производства микропредприятиями;

в Единой межведомственной информационно-статистической системе (ЕМИСС) по адресу: www.fedstat.ru/Ведомства/1. Федеральная служба государственной статистики/1.6. Показатели, характеризующие институциональные преобразования в экономике, малое предпринимательство/1.6.8. Основные показатели деятельности микропредприятий/:

Средняя численность работников микропредприятий;

Среднесписочная численность работников микропредприятий (без внешних совместителей);

Оборот (без НДС, акцизов и аналогичных обязательных платежей) микропредприятий.

7.2. Срок предоставления (распространения) официальной статистической информации ежегодно (кроме периодов проведения сплошного статистического наблюдения за деятельностью субъектов малого и среднего предпринимательства) в соответствии со сроками, предусмотренными позицией 1.6.8 Федерального плана статистических работ.

Другие документы по теме
"Об отказе во внесении сведений в единый федеральный реестр туроператоров"
(приложение к приказу Минпромторга России от 30.12.2024 N 6354)
"Об определении регламента работы комиссии по проведению конкурсного отбора на получение стипендий имени М.В. Пироговой" (Зарегистрировано в Минюсте России 01.10.2025 N 83713)
Ошибка на сайте