Рейтинг@Mail.ru

Приказ Минобрнауки России от 13.10.2025 N 741

МИНИСТЕРСТВО НАУКИ И ВЫСШЕГО ОБРАЗОВАНИЯ

РОССИЙСКОЙ ФЕДЕРАЦИИ

ПРИКАЗ

от 13 октября 2025 г. N 741

О ВНЕСЕНИИ ИЗМЕНЕНИЙ

В ПОРЯДОК ПРОВЕДЕНИЯ КОНКУРСА ПО РАСПРЕДЕЛЕНИЮ КОНТРОЛЬНЫХ

ЦИФР ПРИЕМА ПО СПЕЦИАЛЬНОСТЯМ И НАПРАВЛЕНИЯМ ПОДГОТОВКИ

И (ИЛИ) УКРУПНЕННЫМ ГРУППАМ СПЕЦИАЛЬНОСТЕЙ И НАПРАВЛЕНИЙ

ПОДГОТОВКИ ДЛЯ ОБУЧЕНИЯ ПО ОБРАЗОВАТЕЛЬНЫМ ПРОГРАММАМ

ВЫСШЕГО ОБРАЗОВАНИЯ, А ТАКЖЕ ПО ГРУППАМ НАУЧНЫХ

СПЕЦИАЛЬНОСТЕЙ И (ИЛИ) НАУЧНЫМ СПЕЦИАЛЬНОСТЯМ ДЛЯ ОБУЧЕНИЯ

ПО ПРОГРАММАМ ПОДГОТОВКИ НАУЧНЫХ И НАУЧНО-ПЕДАГОГИЧЕСКИХ

КАДРОВ В АСПИРАНТУРЕ (АДЪЮНКТУРЕ) ЗА СЧЕТ БЮДЖЕТНЫХ

АССИГНОВАНИЙ ФЕДЕРАЛЬНОГО БЮДЖЕТА, УТВЕРЖДЕННЫЙ ПРИКАЗОМ

МИНИСТЕРСТВА НАУКИ И ВЫСШЕГО ОБРАЗОВАНИЯ

РОССИЙСКОЙ ФЕДЕРАЦИИ ОТ 28 АВГУСТА 2023 Г. N 824

В соответствии с пунктом 19 Правил установления организациям, осуществляющим образовательную деятельность, контрольных цифр приема по профессиям, специальностям и направлениям подготовки и (или) укрупненным группам профессий, специальностей и направлений подготовки для обучения по образовательным программам среднего профессионального и высшего образования, а также по группам научных специальностей и (или) научным специальностям для обучения по программам подготовки научных и научно-педагогических кадров в аспирантуре (адъюнктуре) за счет бюджетных ассигнований федерального бюджета, утвержденных постановлением Правительства Российской Федерации от 10 июня 2023 г. N 964, приказываю:

Утвердить прилагаемые изменения, которые вносятся в Порядок проведения конкурса по распределению контрольных цифр приема по специальностям и направлениям подготовки и (или) укрупненным группам специальностей и направлений подготовки для обучения по образовательным программам высшего образования, а также по группам научных специальностей и (или) научным специальностям для обучения по программам подготовки научных и научно-педагогических кадров в аспирантуре (адъюнктуре) за счет бюджетных ассигнований федерального бюджета, утвержденный приказом Министерства науки и высшего образования Российской Федерации от 28 августа 2023 г. N 824 (зарегистрирован Министерством юстиции Российской Федерации 27 сентября 2023 г., регистрационный N 75355), с изменениями, внесенными приказом Министерства науки и высшего образования Российской Федерации от 30 августа 2024 г. N 573 (зарегистрирован Министерством юстиции Российской Федерации 3 октября 2024 г., регистрационный N 79695).

Министр

В.Н.ФАЛЬКОВ

Утверждены

приказом Министерства науки

и высшего образования

Российской Федерации

от 13 октября 2025 г. N 741

ИЗМЕНЕНИЯ,

КОТОРЫЕ ВНОСЯТСЯ В ПОРЯДОК ПРОВЕДЕНИЯ КОНКУРСА

ПО РАСПРЕДЕЛЕНИЮ КОНТРОЛЬНЫХ ЦИФР ПРИЕМА ПО СПЕЦИАЛЬНОСТЯМ

И НАПРАВЛЕНИЯМ ПОДГОТОВКИ И (ИЛИ) УКРУПНЕННЫМ ГРУППАМ

СПЕЦИАЛЬНОСТЕЙ И НАПРАВЛЕНИЙ ПОДГОТОВКИ ДЛЯ ОБУЧЕНИЯ

ПО ОБРАЗОВАТЕЛЬНЫМ ПРОГРАММАМ ВЫСШЕГО ОБРАЗОВАНИЯ, А ТАКЖЕ

ПО ГРУППАМ НАУЧНЫХ СПЕЦИАЛЬНОСТЕЙ И (ИЛИ) НАУЧНЫМ

СПЕЦИАЛЬНОСТЯМ ДЛЯ ОБУЧЕНИЯ ПО ПРОГРАММАМ ПОДГОТОВКИ НАУЧНЫХ

И НАУЧНО-ПЕДАГОГИЧЕСКИХ КАДРОВ В АСПИРАНТУРЕ (АДЪЮНКТУРЕ)

ЗА СЧЕТ БЮДЖЕТНЫХ АССИГНОВАНИЙ ФЕДЕРАЛЬНОГО БЮДЖЕТА,

УТВЕРЖДЕННЫЙ ПРИКАЗОМ МИНИСТЕРСТВА НАУКИ И ВЫСШЕГО

ОБРАЗОВАНИЯ РОССИЙСКОЙ ФЕДЕРАЦИИ ОТ 28 АВГУСТА 2023 Г. N 824

1. В абзаце первом пункта 11 слова "программам бакалавриата, программам специалитета, программам магистратуры и программам ординатуры" заменить словами "образовательным программам высшего образования", дополнить словами ", а также по иностранным государствам, на территории которых филиалы образовательной организации (при наличии) осуществляют образовательную деятельность по указанным образовательным программам".

2. Во втором предложении абзаца первого пункта 17 слова "в личном кабинете" заменить словами "только в электронном виде через личный кабинет".

3. Дополнить пунктом 18(1) следующего содержания:

"18(1). Образовательные организации по результатам предварительного распределения контрольных цифр приема в течение срока, установленного приложением N 1 к настоящему Порядку, вправе подать в Министерство науки и высшего образования Российской Федерации заявление об отказе от контрольных цифр приема в полном объеме или от их части (далее - отказ от контрольных цифр приема). Отказ от контрольных цифр приема может быть подан только в электронном виде через личный кабинет.

Конкурсная комиссия в течение срока, установленного приложением N 1 к настоящему Порядку, рассматривает отказ от контрольных цифр приема и принимает решение об удовлетворении отказа от контрольных цифр приема либо об отказе в его удовлетворении. Решение конкурсной комиссии доводится до сведения образовательной организации через личный кабинет.

Министерство науки и высшего образования Российской Федерации в течение срока, установленного приложением N 1 к настоящему Порядку, размещает в личных кабинетах результаты рассмотрения отказов от контрольных цифр приема.".

4. Дополнить пунктом 19(1) следующего содержания:

"19(1). В случае если после увеличения указанных в заявках предложений по установлению контрольных цифр приема в соответствии с пунктом 19 настоящего Порядка остаются нераспределенные объемы контрольных цифр приема, конкурсная комиссия принимает решение об увеличении предложений образовательных организаций по установлению контрольных цифр приема (максимальных значений) с учетом максимального объема приема на обучение.".

5. В пункте 2 приложения N 1 к указанному Порядку:

а) в подпункте "а" слова "21 календарный день" заменить словами "14 календарных дней";

б) в подпункте "б" цифры "15" заменить цифрами "20";

в) в подпункте "в" после слова "апелляций" дополнить словами "и (или) заявлений об отказе от контрольных цифр приема в полном объеме или от их части (далее - отказ от контрольных цифр приема)";

г) подпункт "г" изложить в следующей редакции:

"г) рассмотрение конкурсной комиссией апелляции и (или) отказа от контрольных цифр приема и принятие решения об удовлетворении апелляции и (или) отказа от контрольных цифр приема либо об отказе в их удовлетворении - в течение 5 календарных дней после дня поступления в Министерство науки и высшего образования Российской Федерации апелляции и (или) отказа от контрольных цифр приема;";

д) подпункт "д" изложить в следующей редакции:

"д) размещение в личных кабинетах образовательных организаций результатов рассмотрения апелляций, результатов рассмотрения отказов от контрольных цифр приема, а также расчета сводных оценок заявок образовательных организаций с учетом итогов апелляции (апелляций) - в течение 5 календарных дней после дня принятия решения по последней поступившей апелляции и (или) последнему поступившему отказу от контрольных цифр приема;".

6. В приложении N 2 к указанному Порядку:

а) в пункте 1:

дополнить подпунктом 1.3.4 следующего содержания:

"1.3.4. Востребованность выпускников, рассчитываемая на основании национальных рейтингов образовательных организаций высшего образования и профессиональных образовательных организаций по трудоустройству выпускников, сформированных в соответствии с Правилами формирования и публикации национальных рейтингов образовательных организаций высшего образования и профессиональных образовательных организаций по трудоустройству выпускников, утвержденными постановлением Правительства Российской Федерации от 15 мая 2025 г. N 651 (далее - Правила N 651), по формуле:

, где:

Б3.4ij - востребованность выпускников i-ой образовательной организации по области образования, в которую входит j-я УГСН (НПС), на рынке труда;

k - год, по данным которого рассчитываются значения показателя HPik;

n - год проведения конкурса;

HPijk - итоговый индекс i-ой образовательной организации по области образования, в которую входит j-я УГСН (НПС), в k-ом году в национальном рейтинге образовательных организаций высшего образования и профессиональных образовательных организаций по трудоустройству выпускников, сформированном в соответствии с Правилами N 651.

В случае отсутствия отчетных значений показателя HPijk за один или два года из трех, за которые рассчитывается показатель Б3.4ij, показатель Б3.4ij определяется как среднее арифметическое значений показателя HPijk за те годы, за которые имеются отчетные значения показателя HPijk.

Вес показателя в сводной оценке заявки - 2 балла.

Для расчета нормированных оценок показателя минимальное значение показателя принимается равным 0,3, максимальное значение показателя - 1,5.";

в подпункте 1.4.1:

в абзацах первом и третьем слова "индексируемых в реферативно-библиографических базах научного цитирования Web of Science и Scopus" заменить словами "включенных в "Белый список";

абзацы шестой - восьмой изложить в следующей редакции:

"ПБik - количество публикаций в научных журналах, включенных в "Белый список" в k-ом году, в расчете на 100 НПР i-й образовательной организации, рассчитываемое по формуле:

, где:

WLik - количество опубликованных в k-ом году НИР i-й образовательной организации статей в научных журналах, включенных в "Белый список";";

абзац девятый признать утратившим силу;

в абзацах семнадцатом и девятнадцатом слова "индексируемых в реферативно-библиографических базах научного цитирования Web of Science и Scopus" заменить словами "включенных в "Белый список";

б) в пункте 2:

дополнить подпунктом 2.3.3 следующего содержания:

"2.3.3. Востребованность выпускников на рынке труда, рассчитываемая по формуле, указанной в подпункте 1.3.4 пункта 1 Показателей деятельности образовательных организаций.

Вес показателя в сводной оценке заявки - 2 балла.

Для расчета нормированных оценок показателя минимальное значение показателя принимается равным 0,3, максимальное значение показателя - 1,5.";

в абзаце первом подпункта 2.4.1 слова "индексируемых в реферативно-библиографических базах научного цитирования Web of Science и Scopus" заменить словами "включенных в "Белый список";

в) в пункте 3:

дополнить подпунктом 3.3.3 следующего содержания:

"3.3.3. Востребованность выпускников на рынке труда, рассчитываемая по формуле, указанной в подпункте 1.3.4 пункта 1 Показателей деятельности образовательных организаций.

Вес показателя в сводной оценке заявки - 2 балла.

Для расчета нормированных оценок показателя минимальное значение показателя принимается равным 0,3, максимальное значение показателя - 1,5.";

в абзаце первом подпункта 3.4.1 слова "индексируемых в реферативно-библиографических базах научного цитирования Web of Science и Scopus" заменить словами "включенных в "Белый список";

г) в пункте 5:

в абзаце первом подпункта 5.3.1 слова "индексируемых в реферативно-библиографических базах научного цитирования Web of Science и Scopus" заменить словами "включенных в "Белый список";

дополнить подпунктом 5.3.7 следующего содержания:

"5.3.7. Наличие совета по защите диссертаций на соискание ученой степени кандидата наук, на соискание ученой степени доктора наук (далее - диссертационный совет) по соответствующим группам научных специальностей.

При оценке заявок по группам научных специальностей показатель может принимать следующие значения:

1 - если по научной специальности, входящей в данную группу научных специальностей, у образовательной организации имеется действующий диссертационный совет на момент подачи заявки;

0 - в иных случаях.

Вес показателя в сводной оценке заявки - 2 балла.

Для расчета нормированных оценок показателя минимальное значение показателя принимается равным 0, максимальное значение показателя - 1.".

7. В приложении N 3 к указанному Порядку:

а) в пункте 1:

дополнить подпунктом "а(1)" следующего содержания:

"а(1)) распределение части общей квоты КЦП посредством сопоставления сводных оценок заявок образовательных организаций, расположенных на территории отдельных субъектов Российской Федерации, групп субъектов Российской Федерации (далее - регионы), пропорционально итоговой целевой кадровой потребности федеральных государственных органов, органов государственной власти субъектов Российской Федерации, органов местного самоуправления, иных юридических лиц, индивидуальных предпринимателей, сформированной в соответствии с пунктом 29 Правил установления квоты приема на целевое обучение по образовательным программам высшего образования за счет бюджетных ассигнований федерального бюджета, утвержденных постановлением Правительства Российской Федерации от 27 апреля 2024 г. N 555 (далее соответственно - целевая кадровая потребность, целевой этап);";

в подпункте "в" слова "расположенных на территории отдельных субъектов Российской Федерации, групп субъектов Российской Федерации (далее соответственно - регионы, региональный этап)" заменить словами "расположенных на территории регионов (далее - региональный этап)";

б) в пункте 2:

в подпункте "а":

абзац первый изложить в следующей редакции:

"а) при проведении конкурса по программам бакалавриата, программам специалитета, программам магистратуры, программам ординатуры:";

в абзаце девятом слова "принимаемая равной:" заменить словами "принимаемая равной 0,5.";

абзацы десятый - двенадцатый признать утратившими силу;

подпункты "б" и "в" признать утратившими силу;

абзац девятый подпункта "д" признать утратившим силу;

в) в пункте 3:

в абзаце первом слово "федеральном" заменить словом "целевом";

абзац второй изложить в следующей редакции:

", где:";

дополнить абзацем следующего содержания:

"KPij - корректирующий коэффициент для одной приоритетной j-й УГСН (НПС, группе научных специальностей) по решению i-й образовательной организации и принимаемый равным 1,05.";

г) дополнить пунктами 6(1) и 6(2) следующего содержания:

"6(1). Часть общей квоты КЦП, распределяемая на целевом этапе, определяется по следующим формулам:

КВ(ц)jr = КВjr - КЦП(б)jr, где:

КВ(ц)jr - часть общей квоты КЦП по j-й УГСН (НПС, группе научных специальностей), распределяемая на целевом этапе по r-му региону;

КВjr - часть общей квоты КЦП по j-й УГСН (НПС, группе научных специальностей) для r-го региона;

КЦП(б)jr - объем контрольных цифр приема по j-й УГСН (НПС, группе научных специальностей), распределенный для образовательных организаций, расположенных в r-м регионе, по итогам базового этапа;

Значения КВ(ц)jr, определенные по указанным в настоящем пункте формулам, подлежат округлению до целого числа в сторону уменьшения.

6(2). Распределение части общей квоты КЦП на целевом этапе осуществляется между образовательными организациями, расположенными на территории регионов, имеющими максимальные показатели сводной оценки заявки (SVij), в порядке убывания значений сводной оценки заявки, с учетом следующих ограничений:

а) распределение осуществляется в пределах предложений образовательных организаций по установлению контрольных цифр приема (максимальных значений), уменьшенных на объем контрольных цифр приема, распределенных образовательной организации на базовом этапе;

б) распределение не осуществляется в отношении образовательных организаций, сводная оценка заявки которых ниже минимального допустимого значения, установленного в объявлении о проведении конкурса;

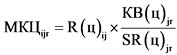
в) объем контрольных цифр приема, распределяемый образовательной организации, не может превышать значения, определяемого по формуле:

, где:

МКЦijr - максимальный объем контрольных цифр приема, который может быть распределен на целевом этапе i-й образовательной организации, расположенной на территории r-го региона, по j-й УГСН (НПС, группе научных специальностей);

R(ц)ij - предложение по установлению целевой кадровой потребности i-й образовательной организации по j-й УГСН (НПС, группе научных специальностей);

КВ(ц)jr - часть общей квоты КЦП по j-й УГСН (НПС, группе научных специальностей), распределяемая на целевом этапе по r-му региону;

SR(ц)jr - сумма предложений по установлению целевой кадровой потребности по j-й УГСН (НПС, группе научных специальностей) по r-му региону.

Предложение по установлению целевой кадровой потребности i-й образовательной организации по j-й УГСН (НПС, группе научных специальностей) определяется по формуле:

, где:

R(ц)ij - предложение по установлению целевой кадровой потребности i-й образовательной организации по j-й УГСН (НПС, группе научных специальностей);

Rij - предложение i-й образовательной организации по j-й УГСН (НПС, группе научных специальностей), уменьшенное на объем контрольных цифр приема, распределенных этой образовательной организации на базовом этапе;

ЦКПij - целевая кадровая потребность i-й образовательной организации по j-й УГСН (НПС, группе научных специальностей), уменьшенная на объем контрольных цифр приема, распределенных этой образовательной организации на базовом этапе.

При равенстве значений сводной оценки заявки предпочтение отдается заявке, поступившей ранее, а при равенстве значений сводной оценки заявки филиалов одной образовательной организации ранжирование осуществляется в порядке убывания объема контрольных цифр приема, установленных этим филиалам по соответствующей УГСН (НПС, группе научных специальностей) и форме обучения на три предыдущих учебных года.";

д) в пункте 7:

в подпункте "а":

абзац второй изложить в следующей редакции:

"КВ(ф)j = (КВРj x (1 - db) - КЦПР(ц)j) x dfj, где:";

дополнить абзацем следующего содержания:

"КЦПР(ц)j - объем контрольных цифр приема по j-й УГСН (НПС), по итогам целевого этапа за вычетом объема контрольных цифр приема, распределенного на Московский регион и Ленинградский регион;";

подпункт "б" изложить в следующей редакции:

"б) при проведении конкурса по программам ассистентуры-стажировки, подготовки научных и научно-педагогических кадров в аспирантуре (адъюнктуре):

КВ(ф)j = (КВj x (1 - db) - КЦП(ц)j) x dfj, где:

КВ(ф)j - часть общей квоты КЦП по j-й УГСН (НПС, группе научных специальностей), распределяемая на федеральном этапе;

KBj - общая квота КЦП по j-й УГСН (НПС, группе научных специальностей);

db - доля общей квоты КЦП, распределяемая на базовом этапе, определяемая в соответствии с пунктом 2 Методики;

КЦП(ц)j - объем контрольных цифр приема по j-й УГСН (НПС, группе научных специальностей), по итогам целевого этапа;

dfj - доля общей квоты КЦП по j-й УГСН (НПС, группе научных специальностей), распределяемая на федеральном этапе.

Значение КВ(ф)j, определенное по указанным в настоящем пункте формулам, подлежит округлению до целого числа в сторону уменьшения.";

е) абзац десятый подпункта "д" пункта 9 признать утратившим силу;

ж) в пункте 10:

в подпункте "а":

абзац второй изложить в следующей редакции:

"КВ(р)jr = КВjr - КЦП(б)jr, - КЦП(ц)jr, где:";

дополнить абзацем следующего содержания:

"КЦП(ц)jr - объем контрольных цифр приема по j-й УГСН (НПС, группе научных специальностей), распределенный для образовательных организаций, расположенных в r-м регионе, по итогам целевого этапа;";

в подпункте "б":

абзац восьмой изложить в следующей редакции:

"ОСТjr = КВjr x db - КЦП(б)jr, - КЦП(ц)jr, где:";

дополнить абзацем следующего содержания:

"КЦП(ц)jr - объем контрольных цифр приема по j-й УГСН (НПС, группе научных специальностей), распределенный для образовательных организаций, расположенных в r-м регионе, по итогам целевого этапа;";

подпункт "в" изложить в следующей редакции:

"в) для прочих регионов, за исключением случаев, предусмотренных подпунктом "б" настоящего пункта:

КВ(р)jr = КВjr x (1 - db) x (1 - dfj) - КЦП(ц)jr, где:

КВ(р)jr - часть общей квоты КЦП по j-й УГСН (НПС, группе научных специальностей), распределяемая на региональном этапе по r-му региону;

КВjr - часть общей квоты КЦП по j-й УГСН (НПС, группе научных специальностей) для r-го региона;

db - доля общей квоты КЦП, распределяемая на базовом этапе, определяемая в соответствии с пунктом 2 Методики;

dfj - доля общей квоты КЦП по j-й УГСН (НПС, группе научных специальностей), распределяемая на федеральном этапе, определяемая в соответствии с пунктом 8 Методики.

КЦП(ц)jr - объем контрольных цифр приема по j-й УГСН (НПС, группе научных специальностей), распределенный для образовательных организаций, расположенных в r-м регионе, по итогам целевого этапа.

Значения КВ(р)jr, определенные по указанным в настоящем пункте формулам, подлежат округлению до целого числа в сторону уменьшения.";

з) абзац первый подпункта "е" пункта 11 признать утратившим силу;

и) пункт 12 признать утратившим силу;

к) пункт 15 признать утратившим силу.

Другие документы по теме
"О включении выявленного объекта культурного наследия (памятника истории и культуры) народов Российской Федерации "Главный вал с 4-мя бастионами, 3-мя воротами и фоссебреей", 1701 - 1714 гг. (Архангельская область, городской округ "Город Архангельск", в 100 метрах к северу от ул. Ивана Рябова в г. Архангельске) в единый государственный реестр объектов культурного наследия (памятников истории и культуры) народов Российской Федерации в составе объекта культурного наследия (памятника истории и культуры) народов Российской Федерации федерального значения "Новодвинская крепость", 1701 - 1714 гг. (Архангельская область, городской округ "Город Архангельск", город Архангельск, улица Ивана Рябова, дом 17) в качестве объекта культурного наследия (памятника истории и культуры) народов Российской Федерации федерального значения и утверждении границ его территории" (Зарегистрировано в Минюсте России 13.11.2025 N 84169)
"О включении выявленного объекта культурного наследия (памятника истории и культуры) народов Российской Федерации "Комендантский дом у Двинских ворот", 1705 г. (Архангельская область, городской округ "Город Архангельск", город Архангельск, улица Ивана Рябова, дом 17, строение 5) в единый государственный реестр объектов культурного наследия (памятников истории и культуры) народов Российской Федерации в составе объекта культурного наследия (памятника истории и культуры) народов Российской Федерации федерального значения "Новодвинская крепость", 1701 - 1714 гг. (Архангельская область, городской округ "Город Архангельск", город Архангельск, улица Ивана Рябова, дом 17) в качестве объекта культурного наследия (памятника истории и культуры) народов Российской Федерации федерального значения и утверждении границ его территории" (Зарегистрировано в Минюсте России 13.11.2025 N 84166)
"О внесении изменений в классификатор строительных ресурсов, сформированный приказом Министерства строительства и жилищно-коммунального хозяйства Российской Федерации от 17 ноября 2022 г. N 969/пр"
"О внесении изменений в Методику проведения конкурсов на замещение вакантных должностей федеральной государственной гражданской службы в Федеральной антимонопольной службе и Порядок работы Конкурсной комиссии Федеральной антимонопольной службы по проведению конкурсов на замещение вакантных должностей федеральной государственной гражданской службы, утвержденные приказом ФАС России от 1 ноября 2018 г. N 1492/18" (Зарегистрировано в Минюсте России 14.11.2025 N 84173)
Ошибка на сайте