Приказ ФАС России от 05.11.2025 N 885/25
ФЕДЕРАЛЬНАЯ АНТИМОНОПОЛЬНАЯ СЛУЖБА
ПРИКАЗ
от 5 ноября 2025 г. N 885/25
О ВНЕСЕНИИ ИЗМЕНЕНИЙ
В МЕТОДИЧЕСКИЕ УКАЗАНИЯ ПО ВОПРОСУ ГОСУДАРСТВЕННОГО
РЕГУЛИРОВАНИЯ ТАРИФОВ НА УСЛУГИ ЖЕЛЕЗНОДОРОЖНОГО
ТРАНСПОРТА ПО ПЕРЕВОЗКЕ ГРУЗОВ И УСЛУГИ ПО ИСПОЛЬЗОВАНИЮ
ЖЕЛЕЗНОДОРОЖНОЙ ИНФРАСТРУКТУРЫ ОБЩЕГО ПОЛЬЗОВАНИЯ
ПРИ ГРУЗОВЫХ ПЕРЕВОЗКАХ, УТВЕРЖДЕННЫЕ ПРИКАЗОМ
ФСТ РОССИИ ОТ 30 АВГУСТА 2013 Г. N 166-Т/1
В соответствии с абзацем пятым пункта 1 статьи 4 и абзацем вторым части первой статьи 6 Федерального закона от 17 августа 1995 г. N 147-ФЗ "О естественных монополиях", пунктом 3(1) постановления Правительства Российской Федерации от 30 июня 2004 г. N 331 "Об утверждении Положения о Федеральной антимонопольной службе", подпунктом 5.2.9(22).6 пункта 5 Положения о Федеральной антимонопольной службе, утвержденного постановлением Правительства Российской Федерации от 30 июня 2004 г. N 331, пунктами 7, 10 и 19 Положения о государственном регулировании тарифов, сборов и платы в отношении работ (услуг) субъектов естественных монополий в сфере железнодорожных перевозок, утвержденного постановлением Правительства Российской Федерации от 5 августа 2009 г. N 643, приказываю:
внести в Методические указания по вопросу государственного регулирования тарифов на услуги железнодорожного транспорта по перевозке грузов и услуги по использованию железнодорожной инфраструктуры общего пользования при грузовых перевозках, утвержденные приказом ФСТ России от 30 августа 2013 г. N 166-т/1 (зарегистрирован Минюстом России 14 ноября 2013 г., регистрационный N 30374), с изменениями, внесенными приказами ФАС России от 23 декабря 2016 г. N 1834/16 (зарегистрирован Минюстом России 28 декабря 2016 г., регистрационный N 45010), от 26 декабря 2017 г. N 1780/17 (зарегистрирован Минюстом России 18 января 2018 г., регистрационный N 49681), от 13 июля 2018 г. N 997/18 (зарегистрирован Минюстом России 6 августа 2018 г., регистрационный N 51791), от 13 декабря 2021 г. N 1402/21 (зарегистрирован Минюстом России 21 декабря 2021 г., регистрационный N 66470), от 11 ноября 2022 г. N 797/22 (зарегистрирован Минюстом России 24 ноября 2022 г., регистрационный N 71103), от 19 октября 2023 г. N 750/23 (зарегистрирован Минюстом России 7 ноября 2023 г., регистрационный N 75862), от 15 ноября 2024 г. N 862/24 (зарегистрирован Минюстом России 21 ноября 2024 г., регистрационный N 80274), изменения согласно приложению к настоящему приказу.
Руководитель
М.А.ШАСКОЛЬСКИЙ
Приложение
к приказу ФАС России
от 05.11.2025 N 885/25
ИЗМЕНЕНИЯ,
ВНОСИМЫЕ В МЕТОДИЧЕСКИЕ УКАЗАНИЯ ПО ВОПРОСУ
ГОСУДАРСТВЕННОГО РЕГУЛИРОВАНИЯ ТАРИФОВ НА УСЛУГИ
ЖЕЛЕЗНОДОРОЖНОГО ТРАНСПОРТА ПО ПЕРЕВОЗКЕ ГРУЗОВ И УСЛУГИ
ПО ИСПОЛЬЗОВАНИЮ ЖЕЛЕЗНОДОРОЖНОЙ ИНФРАСТРУКТУРЫ ОБЩЕГО
ПОЛЬЗОВАНИЯ ПРИ ГРУЗОВЫХ ПЕРЕВОЗКАХ, УТВЕРЖДЕННЫЕ ПРИКАЗОМ
ФСТ РОССИИ ОТ 30 АВГУСТА 2013 Г. N 166-Т/1
1. Пункт 51 изложить в следующей редакции:
"51. Индексы изменения тарифов, сборов и платы на грузовые перевозки, услуги по использованию железнодорожной инфраструктуры общего пользования при грузовых перевозках устанавливаются с учетом решений Правительства Российской Федерации по допустимому уровню индексации тарифов на данные услуги на соответствующий период регулирования.
Индекс изменения тарифов, сборов и платы на грузовые перевозки, услуги по использованию железнодорожной инфраструктуры общего пользования при грузовых перевозках на очередной период регулирования (Иt+1) рассчитывается по следующей формуле:

где:
ИЦДt - композитный индекс на текущий год t (год принятия тарифного решения, предшествующий очередному периоду регулирования);
ИЦДt-1 - композитный индекс за год t-1 (год, предшествующий году t принятия тарифного решения);
t - текущий год, год принятия тарифного решения, предшествующий очередному периоду регулирования.".
2. Дополнить пунктом 51(1) следующего содержания:
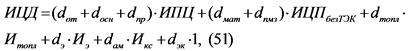
"51(1). Расчет композитного индекса на соответствующий финансовый год (ИЦД) осуществляется по следующей формуле:

где:
dот - доля затрат на оплату труда в структуре расходов субъекта регулирования по предоставлению услуг железнодорожного транспорта по перевозке грузов и услуг по использованию инфраструктуры железнодорожного транспорта общего пользования;
dосн - доля отчислений на социальные нужды в структуре расходов субъекта регулирования по предоставлению услуг железнодорожного транспорта по перевозке грузов и услуг по использованию инфраструктуры железнодорожного транспорта общего пользования;
dпр - доля прочих затрат в структуре расходов субъекта регулирования по предоставлению услуг железнодорожного транспорта по перевозке грузов и услуг по использованию инфраструктуры железнодорожного транспорта общего пользования;
dмат - доля затрат на материалы в структуре расходов субъекта регулирования по предоставлению услуг железнодорожного транспорта по перевозке грузов и услуг по использованию инфраструктуры железнодорожного транспорта общего пользования;
dпмз - доля прочих материальных затрат в структуре расходов субъекта регулирования по перевозочным видам деятельности;
dтопл - доля затрат на топливо в структуре расходов субъекта регулирования по предоставлению услуг железнодорожного транспорта по перевозке грузов и услуг по использованию инфраструктуры железнодорожного транспорта общего пользования;
dэ - доля затрат на электроэнергию в структуре расходов субъекта регулирования по предоставлению услуг железнодорожного транспорта по перевозке грузов и услуг по использованию инфраструктуры железнодорожного транспорта общего пользования;
dам - доля амортизационных отчислений в структуре расходов субъекта регулирования по предоставлению услуг железнодорожного транспорта по перевозке грузов и услуг по использованию инфраструктуры железнодорожного транспорта общего пользования;
dэк - экономия затрат субъекта регулирования в соответствующем финансовом году в размере 2% от общей суммы затрат по предоставлению услуг железнодорожного транспорта по перевозке грузов и услуг по использованию инфраструктуры железнодорожного транспорта общего пользования;
ИПЦ - индекс потребительских цен (в среднем за год);
ИПЦбезТЭК - индекс цен производителей промышленной продукции без продукции топливо-энергетического комплекса;
Иэ - индекс цен на обеспечение электрической энергией, газом и паром, на кондиционирование воздуха;
Итопл - индекс цен на производство нефтепродуктов;
Икс - ключевая ставка Банка России (в среднем за год).
При определений параметров индексации тарифов, сборов и платы на грузовые перевозки, услуги по использованию железнодорожной инфраструктуры общего пользования при грузовых перевозках на базе композитного индекса на последующие 3 года используется структура расходов субъекта регулирования по элементам и составляющим затрат, зафиксированная на последний отчетный финансовый год, предшествующий долгосрочному периоду регулирования.
Значение композитного индекса округляется до третьего знака после запятой. При округлении до 0,001 числа менее 0,0005 не учитываются, а 0,0005 и более увеличиваются в большую сторону до тысячной части числа.".
3. Пункт 52 признать утратившим силу.